4.1 Flottes de pêche
4.2 Statistiques disponibles
4.3 Rendements obtenus
4.4 Taille des crevettes capturées
Plusieurs flottes exploitent les stocks étudiés:
|
STOCKS |
FLOTTES |
|
COTE DIVOIRE |
Ivoirienne, occasionnellement libérienne; |
|
GHANA |
Ghanéenne et sporadiquement ivoirienne et
béninoise; |
|
TOGO |
Pas dinformation, pêche
négligeable; |
|
BENIN |
Occasionnellement béninoise et ivoirienne; |
|
NIGERIA |
Nigériane, camerounaise et occasionnellement
béninoise et ivoirienne; |
|
CAMEROUN |
Camerounaise, nigériane; |
|
GUINEE EQUATORIALE |
Pas dinformation; |
|
GABON |
Prospection gabonaise en 1969. Stock inexploité
depuis; |
|
CONGO |
Prises incidentes par la flotte chalutière
congolaise. |
4.2.1 Côte dIvoire
Les statistiques de prise et deffort existent pour la Côte dIvoire depuis lorigine de la pêcherie; en particulier les captures effectuées par la pêcherie artisanale sont approximativement connues (Tableau 2). Jusquen 1968, la crevette nétait exploitée que par des chalutiers classiques, dont certains la cherchaient particulièrement pendant la bonne saison. A partir de 1969, uns exploitation crevettière spécialisée sest développée. De juin 1969 à juin 1970, leffectif de la flottille passe de 3 à 23 bateaux; pour des raisons diverses le nombre de bateaux diminue après 1970 et, depuis la fin de 1975, leffectif est stabilisé à 6 unités de 380 CV.
Parallèlement la pêcherie artisanale en lagune est restée embryonnaire et limitée à la lagune Aby jusquen 1966. Elle sest développée dans les trois lagunes à partir de 1967. Leffort de pêche a augmenté très rapidement jusquen 1974 et semble sêtre stabilisé depuis. Les données sont regroupées dans le tableau 2.
Tableau 2
CAPTURES REALISEES EN COTE DIVOIRE PAR LA PECHE CREVETTIERE EN MER ET LA PECHE ARTISANALE EN LAGUNE
|
Année |
Mer |
Lagune |
TOTAL |
|
1955 |
15 |
1001 |
115 |
|
1956 |
20 |
100 |
120 |
|
1957 |
20 |
100 |
120 |
|
1958 |
35 |
100 |
135 |
|
1959 |
90 |
100 |
190 |
|
1960 |
55 |
100 |
155 |
|
1961 |
20 |
100 |
120 |
|
1962 |
15 |
100 |
115 |
|
1963 |
? |
100 |
? |
|
1964 |
160 |
100 |
260 |
|
1965 |
150 |
100 |
250 |
|
1966 |
160 |
100 |
260 |
|
1967 |
170 |
3202 |
490 |
|
1968 |
? |
340 |
? |
|
1969 |
490 |
290 |
780 |
|
1970 |
620 |
310 |
930 |
|
1971 |
710 |
620 |
1330 |
|
1972 |
480 |
480 |
960 |
|
1973 |
460 |
520 |
980 |
|
1974 |
280 |
630 |
910 |
|
1975 |
390 |
780 |
1170 |
|
1976 |
480 |
630 |
1110 |
|
1977 |
460 |
620 |
1080 |
Les statistiques de capture ont pu être reconstituées depuis 1967. Elles concernent les pêcheries industrielles et artisanales. La séparation par espèce na pas toujours été possible mais il faut noter que, contrairement aux antres pays, lespèce dominante est la petite crevette côtière Parapenaeopsis atlantica. Le stock de P. duorarum na eu quune existence fugace liée à louverture artificielle et temporaire de la lagune de 1967 et 1969. Les statistiques disponibles sont regroupées dans le tableau 3. Aucune mesure deffort nest disponible.
Tableau 3
PRISES DE CREVETTES AD GHANA DE 1967 A 1976
|
Année |
P. duorarum |
Mélange1 |
TOTAL |
|
1967 |
0 |
240 |
240 |
|
1968 |
0 |
250 |
250 |
|
1969 |
40 |
570 |
610 |
|
1970 |
190 |
280 |
470 |
|
1971 |
0 |
470 |
470 |
|
1972 |
20 |
580 |
600 |
|
1973 |
80 |
400 |
480 |
|
1974 |
90 |
700 |
790 |
|
1975 |
10 |
410 |
420 |
|
1976 |
10 |
730 |
740 |
Les fonds de pêche situés au large du Togo sont extrêmement réduits et il nexiste pas de pêche crevettière notable (débarquements inférieurs à 5 tonnes par an).
4.2.4 Bénin, Nigéria, Cameroun
La fraction la plus importante du stock est située autour du delta du Niger. Lensemble de la région est exploité par les flottilles des trois pays riverains et il na pas été possible de ventiler les captures par zones de pêche avec une précision suffisante pour pouvoir traiter séparément les différents stocks unitaires probablement présents dans ce secteur.
Tableau 4
PRISES DE CREVETTES REALISEES DANS LE SECTEUR SETENDANT DU BENIN AU CAMEROUN
|
|
1970 |
1971 |
1972 |
1973 |
1974 |
1975 |
1976 |
1977 |
|
NIGERIA1 |
912 |
1345 |
1245 |
1359 |
2021 |
2139 |
2213 |
|
|
CEMEROUN2 |
(295)4 |
859 |
1018 |
972 |
1114 |
1001 |
882 |
831 |
|
BENIN3 |
3 |
47 |
218 |
465 |
502 |
237 |
4 |
|
|
TOTAL |
(1210)4 |
2251 |
2481 |
2796 |
3637 |
3377 |
3099 |
|
4.2.5 Gabon
Seules sont disponibles les données concernant la prospection réalisée au Gabon en 1969 par un seul navire (Fontana et Bâ, 1972). Treize tonnes de crevettes étêtées ont été capturées, le stock est resté inexploité depuis.
4.2.6 Congo
Les captures de P. duorarum y sont pratiquement nulles (quelques tonnes), et les prises artisanales très limitées (quelques centaines de kilos).
4.2.7 Angola
Bien que des rendements intéressants aient été obtenus sur certains fonds, il ne semble pas exister dexploitation spécialisée.
4.2.8 Remarques
Excepté pour la Côte dIvoire, les informations concernant la pêche artisanale sont partout inexistantes. Cette pêche est cependant vraisemblablement développée au Bénin, au Nigeria et au Cameroun.
4.3.1 Côte dIvoire
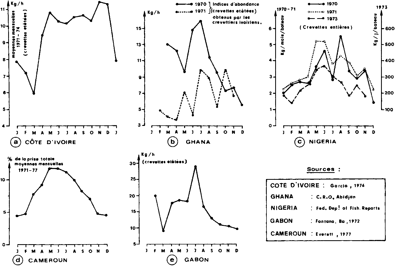
Les rendements les plus élevés sont obtenus de mai à octobre et atteignent 11 kg/h (crevettes étêtées, navire normalisé de 250 CV); ils sont minimaux de janvier à mars: 6 à 8 kg/h (Figure 3a, Garcia, 1977). De 1970 à 1975 les rendements ont oscillé entre 140 et 290 kg/jour. Pendant la première année dexploitation, en 1969, les rendements avaient atteint 435 kg/jour.
4.3.2 Ghana
Selon Jones (1970), un rendement de 370 kg/jour a été obtenu en moyenne sur lannée 1969 au cours des premières prospections commerciales. En 1969 des captures de plus de 1,5 t/jour ont été obtenues en février/mars par un navire de 1 200 CV. Les rendements obtenus par la flottille ivoirienne ont oscillé entre 6 et 16 kg/h en 1970 et entre 4 et 10 kg/h en 1971 Après 1971 et à la suite de la fermeture de la lagune de Keta, les faillites successives des armements crevettiers laissent supposer que les rendements sont fortement touchés. En 1970, les rendements les plus élevés ont été obtenus de mars il juillet et, en 1971, de juillet à novembre (Figure 3b).
4.3.3 Togo
La flottille ivoirienne a prospecté très occasionnellement les fonds togolais entre août 1970 et mars 1971. Les rendements enregistrés sont les suivants (en kg/h de crevettes étêtées, pour un crevettier normalisé de 250 CV):
|
Août 1970 |
11 kg/h |
|
Septembre 1970 |
7 kg/h |
|
Octobre 1970 |
8,8 kg/h |
|
Mars 1971 |
4,9 kg/h |
4.3.4 Bénin
Des rendements de 5 à 7 kg/h (crevettes étêtées, navire de 250 CV) ont été obtenus entre novembre 1970 et mars 1971 par la flottille ivoirienne. Des rendements de 3 à 10 kg/h ont été réalisés dans le dernier trimestre 1971.
4.3.5 Nigéria
Les premières prospections effectuées en 1963 par le navire de recherche KIARA ont permis dobtenir des rendements de 90 à 500 kg/h (valeurs maximales). Ces résultats concernent en réalité un mélange de P. duorarum et de P. atlantica. Les prospections effectuées en 1970 par deux navires commerciaux de 25 m ont permis dobtenir des rendements variant de 3 à 51 kg/h (crevettes entières) (Bayagbona et al., 1971).
De 1970 à 1974, la pêcherie crevettière de Lagos obtient des rendements compris entre 200 et 250 kg de crevettes entières par jour dabsence du port. La flottille ivoirienne a obtenu en 1971 des rendements compris entre 7 et 20 kg/h (crevettes étêtées, navire de 250 CV). En 1973, les rendements réalisés de mai à décembre ont varié de 6 à 16 kg/h. Les rendements sont minimaux de septembre à avril et maximaux de mai à août (Figure 3c).
4.3.6 Cameroun
De 1970 à 1977, la flottille basée à Douala a obtenu sur les fonds quelle exploite des rendements compris entre 120 et 675 kg/jour de mer (crevettes entières). Les rendements mensuels moyens pour la période 1970/1976 sont minimaux doctobre à mars (245 à 350 kg/jour) et maximaux davril à septembre (420 à 520 kg/jour) (Figure 3d).
4.3.7 Gabon
Les rendements au Gabon sont maximaux davril à août (environ 20 kg/h, crevettes étêtées, navire de 650 CV) et minimaux de septembre à mars (10 à 14 kg/h) (Figure 3e).
4.4.1 Côte dIvoire
Trois séries de données sont disponibles:
- Lhistogramme annuel des captures réalisées par un bateau de recherche au cours de prospections systématiques réalisées en 1966/67 et 1969/70 pendant une année complète au large de Grand-Bassam. Le mode des mâles est compris entre 28 et 30 mm (longueur céphalothoracique). Les femelles comprises entre 30 et 40 mm sont les plus abondantes (Figures 4 et 5).
- Lhistogramme annuel des captures des crevettiers professionels en 1973. Le mode des mâles se situe à 27 mm et celui des femelles entre 20 et 30 mm. Le résultat de lexploitation intensive du stock après 1969 apparaît nettement dans le rajeunissement des captures, lequel est plus perceptible chez les femelles (Figure 6).
- La structure des captures dun armement ivoirien
(SICRUS) par catégories commerciales pour le dernier trimestre 1970 et
les années 1971 et 1973. On note une forte baisse dabondance des
crevettes de grande taille (U15) et laugmentation
simultanée des petites (51 à 70) en 1971, année où
lexploitation atteint son maximum (Figure 7).
4.4.2 Nigéria (Figure 8)
Daprès Bayagbona et al. (1971) le mode principal des mâles capturés est proche de 30 mm, celui des femelles est voisin de 42 mm. En réalité lhistogramme disponible porte sur un mélange de mâles et de femelles; aussi est-il difficile dêtre très précis.
Fig. 4 - Polygone de fréquence de taille des crevettes capturées sur le fond de pêche de Grand-Bassam (Côte dIvoire) en 1966-67 par le chalutier de recherches Reine Pokou

Fig. 5 - Polygone de fréquence de taille des crevettes capturées sur le fond de pêche de Grand-Bassam (Côte dIvoire) en 1969-70 par le chalutier de recherches Reine Pokou

Fig. 6 - Polygone de fréquence de taille des crevettes capturées sur lensemble du plateau ivoirien par la flottille crevettière dAbidjan en 1973.

Fig. 7 - Structure des captures débarquées par la SICRUS par catégories commerciales (crevettes étêtées) en Côte dIvoire (données Garcia, non publiées)

Fig. 8 - Distribution de fréquence de taille de P. duorarum au Nigeria (daprès Bayagbona et Afinowi, 1971)

Fig. 9 - Pourcentage des différents calibres dans les prises au Gabon (Fontana et Ba, 1972)

Fig. 10 - Evolution de la taille moyenne des femelles de P. duorarum dans les lagunes de Keta et de Sakumo (Ghana)

4.4.3 Gabon (Figure 9)
Les seules données disponibles sont celles de Fontana et Bâ (1972) sur le stock vierge du Gabon, On note un pourcentage très faible de petites crevettes (5 à 10 pour cent) et un pourcentage élevé de grosses (20 à 50 pour cent suivant la saison).