7.1 Côte-dIvoire
7.2 Ghana - Togo - Bénin
7.3 Nigéria - Cameroun - Guinée équatoriale
7.4 Gabon - Congo - Angola (Cabinda) - Zaïre
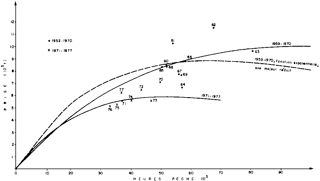
Les données disponibles (tableau 9) sur la pêche chalutière ont permis lutilisation de deux modèles globaux pour lensemble du plateau continental ivoirien, lun pour la période 1959-70, le second pour la période 1972-77 caractérisée par des modifications notables de lécosystème en liaison avec la prolifération des balistes (figure 6a).
Tableau 9
PRISE (TONNES), EFFORT (HEURES DE PECHE) ET PUE (kg/HEURE DE PECHE) STANDARDISES DES CHALUTIERS EN COTE-DIVOIRE (CAVERIVIERE, SOUS PRESSE)
A) 10-120 m CHALUTIERS + CREVETTIERS
|
ANNEE |
1959 |
1960 |
1961 |
1962 |
1963 |
1964 |
1965 |
1966 |
1967 |
1968 |
1969 |
1970 |
1971 |
1972 |
1973 |
1974 |
1975 |
1976 |
1977 |
|
PRISE |
8000 |
8500 |
10200 |
11500 |
9600 |
6600 |
8300 |
8890 |
7730 |
8350 |
7650 |
7060 |
5560 |
6430 |
5530 |
5550 |
5320 |
5090 |
6130 |
|
EFFORT |
49690 |
52800 |
54550 |
74190 |
84210 |
43710 |
53900 |
62170 |
52950 |
51540 |
59300 |
44970 |
33490 |
48710 |
45700 |
37760 |
34320 |
32840 |
39550 |
|
P.U.E. |
161 |
161 |
187 |
155 |
114 |
151 |
154 |
143 |
146 |
162 |
129 |
157 |
166 |
132 |
121 |
147 |
155 |
155 |
155 |
|
ANNEE |
1966 |
1967 |
1968 |
1969 |
1970 |
1971 |
1972 |
1973 |
1974 |
1975 |
1976 |
1977 |
|
PRISE |
8340 |
|
7310 |
5810 |
5720 |
4680 |
5070 |
3880 |
4050 |
4130 |
4390 |
4370 |
|
EFFORT |
56760 |
(47130) |
45150 |
45360 |
36420 |
28540 |
39940 |
32310 |
28130 |
26490 |
28340 |
29150 |
|
P.U.E. |
147 |
|
162 |
128 |
157 |
164 |
127 |
120 |
144 |
156 |
155 |
150 |
|
ANNEE |
1966 |
1967 |
1968 |
1969 |
1970 |
1971 |
1972 |
1973 |
1974 |
1975 |
1976 |
1977 |
|
PRISE |
540 |
|
1060 |
1810 |
1280 |
880 |
1370 |
1690 |
1470 |
1170 |
680 |
1740 |
|
EFFORT |
5410 |
(5820) |
6390 |
13940 |
8540 |
4960 |
8770 |
13390 |
9630 |
7830 |
4500 |
10400 |
|
P.U.E. |
100 |
|
166 |
130 |
150 |
177 |
156 |
126 |
153 |
149 |
152 |
167 |
Pour la première période on obtient pour lensemble du plateau (profondeur 10-120 m) un potentiel maximum moyen de capture (PMMC) de près de 10 000 tonnes.
Pour la seconde période pour laquelle on dispose de statistiques de prise et deffort séparées pour les tranches de profondeur 10-50 m et 50-120 m, on obtient (figure 6, b et c):
|
PMMC 10-50 m |
4 400 tonnes |
|
PMMC 50-120 m |
2 200 tonnes |
|
Total (10-120 m) |
6 600 tonnes |
Fig. 6b: Pèche au chalut sur le plateau continental ivoirien (0-50 m): relations entre la pue et leffort de pêche (- -) et courbes de production résultante (-) (a) avant et (b) depuis le développement du stock de baliste (fonction exponentielle, axe majeur réduit;

Fig. 6c: Pèche au chalut sur le plateau continental ivoirien (50-120 m): relation entre la pue et leffort de pêche (- -) et courbe de production résultante (-) (fonction exponentielle, axe majeur réduit, r = - 0,66)

Ce dernier chiffre traduit une diminution apparente denviron un tiers de la productivité densemble du plateau continental. Si lon tient compte de ce quune récente campagne destimation de la biomasse démersale donne une valeur de 8 000 tonnes pour les balistes, le déficit est de lordre de grandeur de la fraction de la biomasse de baliste qui pourrait être pêchée de façon soutenue mais est actuellement évitée ou rejetée. Ceci signifierait que la productivité du plateau continental na que peu varié quantitativement à la suite de la prolifération du baliste.
La valeur du PMMC pour la strate 50-120 m est vraisemblablement une sous-estimation au potentiel biologique de capture de cette strate où beaucoup despèces ne sont pas pêchées ou débarquées en raison de leur faible valeur marchande et où la pèche ne seffectue quen saison fraîche lorsque la disponibilité des sparidés est élevée. Il en résulte une distribution biologiquement sous-optimale de leffort de pêche par rapport aux espèces constituant lécosystème.
Afin de suivre les tendances dans lévolution des captures de certaines espèces ou de certaines groupes despèces, on a comparé année après année (figure 7) les pourcentages en poids par rapport à un ensemble despèces cibles (soles, capitaine, ombrine, carpe, sélaciens) après avoir vérifié que le pourcentage du total de ces espèces cibles par rapport au total des espèces débarquées était resté stable au cours de la période détude, ceci pour la strate 0-50 m.
Fig. 7: Pêcherie ivoirienne au chalut: évolution relative et absolue des pue pour quelques espèces ou groupes despèces dimportance majeure (voir texte)

De 1968 à 1977, les prises par unité deffort de la friture (Brachydeuterus auritus) et du rasoir (Ilisha africana) ont fortement diminué. La baisse des rendements de friture est à mettre en regard avec la prolifération du baliste qui a la même distribution bathymétrique. La pue de sparidés (pageots et dorades) a augmenté. Cet accroissement peut être dû à une remontée des sparidés en relation avec un refroidissement de la région ou bien au déplacement de lactivité des chalutiers travaillant plus au large pour éviter les fonds de 30 à 35 m où les balistes dominent. Le déclin des cynoglosses peut provenir du fait que lespèce la plus abondante C. canariensis a la même distribution bathymétrique que le baliste et serait donc indirectement moins exploitée par les chalutiers cherchant à éviter cette dernière. Enfin, laugmentation du pourcentage dombrines après une phase de déclin est vraisemblablement à imputer à une diminution de leffort déployé ces dernières années par lensemble de la flottille ivoirienne.
Au cours de la période 1971-77, la production par unité de surface est de 4 400 tonnes pour 4 700 km2 que représente la strate 10-50 m, soit 0,94 tonnes/km2, et de 2 200 tonnes pour 7 600 km dans la tranche 50-120 m, soit 0,29 tonnes/km2. Une estimation récente de la biomasse sans les balistes est de 9 300 tonnes de 10 à 50 m, de 11 500 tonnes de 50 à 120 m. Les rapports prise/biomasse sont respectivement: de 4 400/9 300 = 0,5 pour la tranche 10-50 m et de 2 200/11 500 = 0,2 pour celle située au-delà des 50 m.
On peut donc considérer que la strate 10-50 m est pleinement exploitée, alors que les prises au-delà de 50 m pourraient biologiquement être au moins doublées, ce qui donnerait pour cette strate un potentiel supérieur à 4 400 tonnes. Toutefois, ce chiffre reste théorique dans la mesure où les rendements économiques actuels sont insuffisants (densité plus faible, plus grand nombre despèces de moindre valeur marchande) pour permettre la pleine exploitation de cet écosystème. Si lon tient maintenant compte des balistes, leur biomasse non exploitée de 8 000 tonnes représente un potentiel de capture supplémentaire de lordre de 8 000 x 0,25 = 2 000 tonnes, dont 900 entre 10 et 50 m et 1 100 au-delà.
Le tableau ci-dessous résume les potentialités démersales actuelles du plateau continental ivoirien.
|
|
Strate de |
Potentiel |
Densité |
|
Sans baliste |
0-50 m |
4 400 |
0,94 |
|
Avec baliste |
0-50 m |
5 300 |
1,13 |
La nature des données disponibles ne permet pas lemploi de modèles globaux.
Au Ghana, Rijavec (1971) a estimé, à partir de prospections par chalutage effectuées en 1969 et 1970, que la biomasse démersale comprise entre 10 et 40 brasses (18-70 m) pour une surface de 15 000 km2 était de 47 000 tonnes (densité 31 kg/ha) et que les plus fortes densités sobservaient de 50 à 70 m.
Le taux dexploitation étant élevé au moment où ces campagnes ont eu lieu, on peut raisonnablement espérer une prise maximale moyenne annuelle de lordre de 0,4 fois la biomasse, soit environ 20 000 tonnes ou 1,3 tonne/km2. Ce dernier chiffre est un peu supérieur à deux obtenus en Côte-dIvoire, ce qui est en accord avec les résultats obtenus par Caverivière (1978) à partir de la comparaison des rendements obtenus par les chalutiers ivoiriens. Il conclut que, pour la période 1968-74 et pour la zone 0-50 m, la densité moyenne sur les fonds de pêche ghanéens est supérieure de 10 a 15 pour cent à celle des fonds de pêche ivoiriens de même nature.
Si lon extrapole la valeur de 1,3 tonne/km2 a lensemble du secteur Ghana/Togo/Bénin on obtient un potentiel maximal de capture de 32 500 tonnes, en supposant que la productivité globale de la région na pas changé depuis la prolifération des balistes, ce qui parait être le cas en Côte-dIvoire. Encore que les données soient insuffisantes pour le démontrer, il nest pas impossible que les balistes représentent la moitié de ce potentiel de capture.
Longhurst (1964) fut le premier à publier des estimations du potentiel démersal possible du plateau continental nigérian. Il a estimé quau début des années 60, la flottille de chalutiers basés à Lagos extrayait en moyenne 3 500 tonnes à partir des fonds côtiers inférieurs à 20 brasses compris entre Cotonou (Bénin) et Lekke (Nigéria). Ce secteur représente une surface de lordre de 500 milles nautiques. La production annuelle correspondante par unité daire est donc de 7 tonnes/m n2 ou de 2 tonnes/km2. Il précise que le taux de rejet est faible, notamment en ce qui concerne les petites espèces comme Brachydeuterus. Ce chiffre de 2 tonnes/km2 ne représente pas la productivité maximale car plusieurs facteurs, dont les effets peuvent être appréciables, ne sont pas pris en considération:
- si lauteur indique que la pêche chalutière était active à lépoque, on ignore si le taux maximum dexploitation était atteint ou dépassé; sil ne létait pas ou sil est dépassé, il en résultera une erreur par défaut;A laide de cette première valeur, grossière, de la productivité possible dun secteur du plateau continental nigérian et dune prospection portant sur lensemble du plateau, il avance (1965a) comme ordre de grandeur du potentiel démersal global les chiffres suivants:- les zones périphériques nétant pas exploitées, du moins au chalut, une immigration vers le secteur appauvri par chalutage doit entraîner une erreur par excès;
- enfin, la production artisanale, importante globalement mais sans doute centrée sur les espèces pélagiques, est ignorée (cause derreur par défaut).
|
pêche au chalut |
- zone côtière (0-50 m) |
11 000 |
tonnes (0,4 tonnes/km2)1 |
|
|
|
- zone profonde (50-200 m) |
3 500 |
tonnes (0,25 tonnes/km2) |
|
|
pêche artisanale (surtout zone littorale) |
25 000 |
tonnes |
||
|
|
Total |
de lordre de |
40 000 |
tonnes |
1 Non compris la pêche artisanaleCes conclusions, quoique très approximatives, sont intéressantes à plusieurs titres:
- elles donnent une première idée du potentiel possible: le chiffre de 40 000 tonnes correspond à une productivité par unité de surface denviron 1 tonne/km2 (surface plateau = 41 000 km; tableau 3);Par ailleurs, au cours de la campagne GTS en 1963 et 1964 (Williams, 1968) les densités démersales ont été estimées à 19,8 kg/ha de 0 à 50 m et à 16,7 kg/ha au-delà des 50 m. La biomasse estimée pour lensemble de la zone Nigéria-Cameroun-Guinée Equatoriale est donc de:- elles montrent la pauvreté de la zone profonde, dont le potentiel est estimé par lauteur à un tiers seulement de celui (chalut) de la zone côtière. Cette zone profonde nétait pas exploitée à lépoque;
- il observe que la densité de la biomasse instantanée diminue de façon appréciable lorsquon se rapproche du plateau camerounais.
|
1,98 x 37 800 |
= |
74 844 |
tonnes (0-50 m) |
Brachydeuterus exclu |
|
1,67 x 22 300 |
= |
37 241 |
tonnes (>50 m) |
|
|
Total |
|
112 085 |
tonnes |
|
Les données GTS confirment que, comme lavait avancé Longhurst (1965a), dans la mesure où il peut être économiquement capturé, le potentiel de la tranche profonde serait, en valeur absolue, compris entre le quart et le tiers du potentiel de la tranche côtière, ceci pour lensemble du secteur Nigéria-Cameroun-Guinée Equatoriale.
Remarque
Les estimations obtenues pour le Cameroun, soit 7 000 à 9 000 tonnes au total, ne concordent pas avec les prises déclarées par ce pays qui dépassent 15 000 tonnes depuis de nombreuses années. Il semble quune grande partie des captures provienne des zones très côtières et des embourchures de fleuves très nombreuses et importantes, qui nont jusquici fait lobjet daucune investigation. Ces ressources seraient surtout exploitées par la pêche artisanale et, dans une certaine mesure, mal prises en compte dans des évaluations basées sur des prospections par chalutage. Les chiffres donnés par Longhurst (1965a) pour le Nigéria (15 000 tonnes pour le potentiel chalutable et 25 000 tonnes pour le potentiel artisanal) confirment cette observation. Indépendamment du fait que la flottille chalutière basée à Douala pourrait exploiter une zone plus étendue que le plateau continental camerounais, il a été suggéré que les apports de sels nutritifs dorigine terrigène et la présence de mangroves et de zones deltaïques étendues pourraient être des facteurs denrichissement qui viendraient compenser au moins partiellement la faible productivité océanique de cette partie du golfe de Guinée.
En 1963-64, la campagne GTS a permis destimer la biomasse disponible sur le plateau continental, par tranches de profondeur (0-50 m et 50-200 m) et par secteurs (Douala - cap Lopez, cap Lopez - sud Gabon et sud Gabon - embouchure du Congo). A lépoque, la pêche au chalut était active dans la bande côtière de ce dernier secteur où la plupart des espèces nobles étaient proches de la pleine exploitation (Le Guen, 1971; Troadec, 1971). Les fonds situés immédiatement au sud du cap Lopez étaient également exploités, mais à un degré moindre, dabord parce quune grande partie du plateau gabonais (60 pour cent daprès Rossignol et al., 1962) est inchalutable. La partie située au nord du cap Lopez, pauvre, nétait pas fréquentée par les chalutiers. Quant aux fonds de plus de 50 m, seuls ceux situés devant lextrême sud Gabon, le Congo et le Cabinda, étaient exploités quelques mois par an, en saison froide. Sur la base de ces informations et en prenant comme coefficient de mortalité naturelle une valeur moyenne de 0,4, on a admis que le potentiel du secteur le plus exploité (par les chalutiers ponténégrins) était égal à 40 pour cent de la biomasse disponible lors de la campagne et celui du secteur vierge (zone profonde du sud Gabon) à seulement 20 pour cent de cette biomasse; pour les autres secteurs, on a pris des rapports intermédiaires, choisis sur la base du taux dexploitation probable. On aboutit ainsi aux estimations de potentiel suivantes:
|
Secteur |
Tranche de profondeur |
Biomasse, réduite1 (tonnes) |
|
Potential théorique (tonnes) |
|
Nord Gabon (nord cap Lopez) |
0-200 m |
6 5002 |
0,20 |
1 300 |
|
Sud Gabon (sud cap Lopez)
|
0-50 m |
20 000 |
0,30 |
6 000 |
|
50-200 m |
37 000 |
0,20 |
7 400 |
|
|
Congo-Cabinda-Zaïre
|
0-50 m |
41 000 |
0,40 |
16 400 |
|
50-200 m |
57 000 |
0,25 |
14 250 |
1 Cest-à-dire sans les espèces pélagiques ni Brachydeuterus auritusOn aboutit ainsi à un potentiel théorique de lordre de 45 000 tonnes (sans Brachydeuterus) pour lensemble de la région. Ce chiffre nest certainement pas réalisable actuellement et cela pour trois raisons.2 Obtenue par extrapolation de la biomasse dans le secteur sud Gabon, le facteur dextrapolation étant pris égal au rapport des aires respectives multiplié par celui des densités, Rossignol et al. (1962) ayant montré quà la même époque la biomasse y était en moyenne 2,7 fois moins dense quau sud de ce cap
a) soixante pour cent du plateau continental gabonais étant inchalutable, la réalisation du potentiel de 15 000 tonnes correspondant à lensemble du plateau continental de ce pays dépend de la possibilité dexploiter pleinement les fonds durs, cest-à-dire dune mise en oeuvre pleinement réussie dengins de pèche (lignes, filets, casiers, etc.) autres que le chalut;Pour les mêmes raisons, les potentiels calculés ci-dessus doivent être aussi révisés en hausse si le pelon (Brachydeuterus auritus) pouvait être exploité et commercialisé, les biomasses utilisées dans les estimations ne comprenant pas cette espèce. En première approximation, basée sur le rapport entre les chiffres de biomasse totale et de biomasse réduite donnés par Williams (1968) et sur les estimations de Fontana (1974, voir plus loin), on peut admettre quun surcroît de production compris entre 1/4 et 1/3 du potentiel côtier, soit environ 6 000 à 7 000 tonnes supplémentaires, peut être fourni par Brachydeuterus auritus pour lensemble de la région.b) les estimations relatives au plateau ivoirien ont montré que, pour la strate profonde, il nétait pas possible actuellement pour des raisons économiques de pêcher guère plus des 2/5 du potentiel biologiquement réalisable. Il serait donc impossible actuellement de tirer plus de 9 000 tonnes de cette strate dans tout lensemble considéré ici. La même considération sapplique à la strate côtière au nord du cap Lopez qui, très pauvre, est délaissée par les chalutiers;
c) enfin, ces estimations, tirées des biomasses instantanées, admettent que toutes les espèces prises en compte dans ces biomasses peuvent être pleinement exploitées et utilisées, cest-à-dire quaucune ne sera rejetée et que leffort sera distribué de façon optimale dans lespace et le temps.
Les données disponibles ne permettent pas daboutir à des conclusions plus précises. Le maillon le plus faible du raisonnement est évidemment lappréciation du taux dexploitation subi en 1963-64 par les différents fonds de pêche. En analysant lévolution des captures en provenance du seul plateau congolais en fonction de laccroissement de lintensité de pêche développé par la flottille chalutière congolaise, Fontana a observé que, sous les conditions courantes de répartition de leffort de pêche et sans le Brachydeuterus alors rejeté, les prises totales annuelles tendaient à plafonner aux alentours de 8 000 tonnes pour une puissance motrice totale de lordre de 3 000 CV. Si lon interpole les potentiels tirés des biomasses GTS figurant dans les tableaux précédents, proportionnelement aux aires de plateau continental, et en admettant comme en Côte-dIvoire que la strate profonde (50-200 m) ne peut en pratique produire plus de 40 pour cent du potentiel théorique, on aboutit, pour le seul plateau congolais, à une production maximale moyenne de 6 000 ou de 12 000 tonnes (Brachydeuterus exclu) selon que lon base linterpolation sur le potentiel du secteur sud Gabon-Congo-Cabinda-Zaïre ou sur celui du secteur Congo-Cabinda-Zaïre seulement. Bien quapproximatives, les deux méthodes aboutissent à des résultats du même ordre. On peut donc penser que lordre de grandeur des estimations précédentes et, surtout les différences dans la richesse relative des divers fonds, sont correctes.