Previous Page Table of Contents Next Page


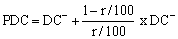
6. Groundwater resources development for rangelands


6.1 Occurrence of groundwater
6.2 Groundwater exploration techniques
6.3 Groundwater development techniques
6.4 Water lifting devices
6.5 Groundwater monitoring
6.6 Case study and cost
6.7 Conclusion on groundwater development


6.1 Occurrence of groundwater


6.1.1 Continuous and discontinuous aquifers


Groundwater originates for all practical purposes from infiltration of rainfall below the root zone, either directly on the soil or in ponds, lakes and river beds. The rocks of the earth may be classified most simply as sedimentary, intrusive and metamorphic. The sedimentary formations are of particular interest for groundwater and include unconsolidated and consolidated sediments. A special kind of sedimentary rock is limestone which is relatively easily soluble and therefore often has extensive systems of openings in which groundwater may move and be stored.

Hydrogeologists further classify rocks as to their ability to yield water to wells. Thus an aquifer is a rock which is permeable enough to supply water to wells, while an aquiclude tends to be very poorly permeable.

The groundwater is found in the pore spaces between the solid rock or solid rock particles. In unconsolidated and poorly consolidated sediments the pore spaces are simply the openings between the grains. Weather rock is in this respect similar to sediments.

Some rocks have essentially no such pore spaces, but instead may be fractured or dissolved for several reasons. Examples of rocks with "fracture" permeability are hard solid rocks in a fault zone, basalt flows fractured during the cooling process and limestone fractured and further dissolved by groundwater. Ancient metamorphic rocks tend to consist of fine crystalline materials which weather easily to clay near the surface and which often do not contain open fractures. Coarse granite, however, has the useful property of fracturing within 90 m or so of the earth's surface and these fractures can carry groundwater. The great internal crystal pressures when the crystal was formed at great depth. Removal of the overlying rock eventually results in load release fractures.

6.1.1 Continuous and discontinuous aquifers

In the French literature on groundwater in Africa aquifers are often called continuous or discontinuous. in reality there is a general gradition from one to the other and absolute sealing of an aquifer from other areas is relatively rare. from the point of view of low discharge wells usually needed for animal water supply, however, the concept may be useful.

a. Continuous aquifers are those aquifers in which all points are connected hydraulically through a porous medium (sand, gravel, clayey sand, sandstone, calcarenite etc.).

b. Discontinuous aquifers are those aquifers in which hydraulic connections are discontinuous and no correlation is possible from one well to another. groundwater occurrence is exclusively related to weathering or fracturing of the rocks and the matrix of the rock is almost completely impervious. this type of aquifer usually occurs in crystalline rocks (igneous or metamorphic) like granite, basalt, gneiss, crystalline schists etc., or in sedimentary rocks such as quartzitic sandstones, crystalline dolomites and occasionally hard and massive dolomitic limestones.

In many tropical regions the depth of weathering of the rock is considerable. On the positive side some rocks weather to reasonably permeable material. Unfortunately the weathering usually makes it difficult to determine what underlies the weathered zone.

6.2 Groundwater exploration techniques


6.2.1 General approach
6.2.2 Purpose of preliminary survey
6.2.3 Preliminary hydrogeological survey - methodology
6.2.4 Additional investigations required for continuous aquifers
6.2.5 Additional investigations required for discontinuous aquifers


6.2.1 General approach

The operations to be carried out for a groundwater development project may be subdivided into:

- a preliminary survey at a regional scale
- a detailed survey to select the best well locations.

6.2.2 Purpose of preliminary survey

The main objective of a preliminary survey is to minimize the cost of groundwater development. Planning a preliminary groundwater survey includes minimizing the total cost of study and implementation of the groundwater development project. It is essential to keep this concept in mind in order to avoid oversizing the study in relation to the expected final groundwater development. The importance of the exploration phase of the project should not be neglected, particularly in areas of discontinuous aquifers where little information is available.

The results to be expected from a preliminary survey are summarized below:

a. Identification of aquifers and estimation of their characteristics:

- geological setting,
- hydraulic continuity,
- groundwater quantity and quality assessment and expected water demand,
- depth to water from the ground,
- physical characteristics of the formation to be penetrated to reach water.

b. Identify appropriate development methods:

- performance of dug or drilled wells,
- well depth, diameter, and where wells are open Co aquifer,
- construction methods,
- technical specifications,
- use of local or imported techniques,
- costs.

c. Selection of pumps or water lifting devices.

d. Assessment of the risks of failure.

A preliminary survey may identify the groundwater conditions and, taking these and other conditions into account, a reasonable basis for choice of groundwater development may be obtained. Identifying groundwater conditions includes determining the location and physical properties of the aquifer, estimating the quantity and quality, and determining depth to the water table from the surface. The groundwater conditions will determine what kinds of wells may be constructed. Depending on these possibilities and on the local resources and economics, costs are compared and a choice may be made. Finally typical technical specifications for the wells and pumps may be prepared.

6.2.3 Preliminary hydrogeological survey - methodology

a. Review existing geological and hydrogeological information

In most countries geological and hydrogeological maps of a scale ranging from 1/200 000 to 1/1 000 000 exist or are in the process of preparation and can provide essential information on aquifers, their extension, their boundaries and their lithology, and on the depth to water level. This information is usually sufficient to determine whether or not the aquifers are continuous within the area considered for the livestock water supply project. In addition to the classical geological and hydrogeological maps, satellite images may provide complementary information on geological formations and structures. Aerial photographs may also be available and geophysical sueveys have been made for many regions.

b. Water well inventory

Information from an inventory of water wells is the basis for a more accurate identification of the aquifer(s) which will then be tapped in the framework of the future groundwater development project. From the data collected on the existing dug and drilled wells it will be possible to establish the hydraulic continuity of the aquifer and to map the depth to water, the distribution of the good wells (the discharge of which exceeds a minimum value admissible for the considered purpose) and water quality. In the case of discontinuous aquifers, the data collected should also include dry wells (dug or drilled) in order to establish a correlation between as many parameters as possible. Well discharge is usually correlated with:

i. the nature of the water bearing formation;
ii. the formation fracture characteristics, if any (from air photo interpretation);
iii. the distance to important tectonic structures (from satellite imagery and air photo interpretation); and
iv. the depth of penetration of the wells into the aquifer.

In many countries this information has already been collected by the Service responsible for the Water Resources Inventory in which case the additional field investigations required will be limited to updating the inventory or checking questionable information.

6.2.4 Additional investigations required for continuous aquifers

a. Purpose

For continuous aquifers there is usually no need for additional investigation since extrapolations can be made from the data collected in the existing wells to predict the results of new wells. With regard to regional groundwater resources and the possibility of over-exploitation of the aquifer in relation to the expected use of water for the livestock, the risk is usually small in the case of continuous aquifers since the water demand is extremely small when compared to potential aquifer recharge. For example a rangeland area receiving 300 mm annual rainfall and located in a zone where a continuous aquifer can be exploited may have the following characteristics:

i. a carrying capacity of 10 ha/TLU;

ii. for 1 km2 there might be 10 TLU corresponding to a potential water demand, including losses at the watering places, of approximately 100 m3/year;

iii. over the same area, the average amount of precipitation will be 300 000 m3/year and may be as low as 150 000 m3 one year in ten;

iv. in the case of low rainfall, the water demand for livestock represently only 0.07 percent of precipitation;

v. the recharge of the aquifer is very likely to be higher than 0.07 percent of precipitation.

In the case of continuous aquifers, a preliminary survey of the area, which is often limited to the study of the existing information (geological and hydrogeological maps and well inventory), is usually sufficient to prepare the water supply project. The location of each watering place will then be based essentially on non-hydrogeological criteria (good grazing area, spacing between wells to avoid overgrazing, proximity of a village or of a transhumance route). However, additional investigations may be necessary in areas lacking wells and near the boundary of the sedimentary basin or in the vicinity of an area of unacceptable water quality.

b. Investigations in the vicinity of basin boundaries

The problem usually consists of determining the extent of the aquifer or the extent of the saline water intrusion into the aquifer in order to locate future production wells successfully and avoid deterioration of the water quality with time.

Electrical soundings distributed along profiles perpendicular to the limit of the basin and calibrated on reconnaissance boreholes or test wells are usually sufficient to solve this kind of problem.

c. Investigations in areas lacking wells

This problem may arise in subsaharian areas where the surface geology indicates the likely occurrence of aquifers but no data are available to prepare the ground-water development project.

There is no precise method for solving this problem since investigations will essentially depend upon the geological subsurface structure. The investigation programme may therefore vary from one single reconnaissance borehole for the entire area where geological structure is flat and gently dipping, to a sophistocated survey involving geophysics and several reconnaissance boreholes where the geological structure is complex.

Planning additional investigations in areas lacking wells should be handled by a competent groundwater specialist.

6.2.5 Additional investigations required for discontinuous aquifers

a. Remote sensing methods

Satellite imagery

The digital nature of the satellite image allows computer manipulations of the image to conform any desired map projection and to enhance or extract specific levels of information. It is therefore advisable, when a high definition of the ground elements is required, to use enhanced imagery especially processed to identify and locate accurately:

i. hydrographic networks which may indicate the thickness and characteristics of the weathered zone as well as subsurface tectonic structure,

ii. vegetation which may give information on shallow groundwater occurrence, and

iii. lineaments connected with geological structure.

Aerial photographs

Aerial photographs are of great help for siting new wells in discontinuous aquifers. They are probably the most efficient and cheapest tool to identify the small tectonic structures which may result in fracture of the bedrock and ground-water occurrence. Moreover the use of air-photos does not require particular skill: the fractured zones of the bedrock are usually clearly visible, sometimes indicated by vegetation alignment (because of the presence of water underground) and occasionally marked by sills or dykes of different rock types.

b. Geophysics

Geophysics may be necessary in three main categories of situation:

i. when more recent deposits, usually continental, cover the bedrock and are thick enough to hide its structure,

ii. when weathered or fractured zones are poorly identified by remote sensing, and

iii. when groundwater occurs within the weathered zone of bedrock and productivity of wells depends upon the thickness of the weathered zone.

Four geophysical techniques can be used for the detailed investigations of discontinuous aquifers:

i. the weathering of fractured bedrock zones results in the development of clay pockets which have a much lower electrical resistivity than the surrounding bedrock. This geological structure due to the preferential effect of the weathering on the tectonized axes can easily be located by electrical resistivity profiles method;

ii. the increase of total porosity of the granite, gneiss or sandstones in connection with the weathering process, may result in the development of an aquifer thick enough to alter the electrical resistivity of the formation according to Archie law:

Rf/Rw = P-m

being:

Rf - the resistivity of the formation
Rw - the resistivity of the water
P - the porosity of the formation
m - the cementation factor ranging from 1.5 Co 2 according to the nature of the rock.

When P increases the resistivity of the formation decreases and may offer sufficient contrast with the resistivity of the underlying bedrock to be identified by electrical sounding;

iii. the speed of longitudinal waves is notably reduced in correspondence to the fractured zones of the hard rocks. The presence and location of a fractured zone can be determined by the seismic refraction method;

iv. fractured zones of bedrock are often intruded by basic rocks like dolerites which have a magnetic susceptibility significantly different from that of the bedrock. This may create a magnetic anomaly which can be identified and located by electromagnetic methods. These methods although little used in hydrogeology may be helpful to indirectly locate the fractured zones of the basement, provided that the weathered zone or the sedimentary overburden are thin.

While almost anybody can apply remote sensing techniques after a few days training, geophysical methods require high technical skill. Many developing countries have created their own geophysical services which are able to apply electrical methods (resistivity profiles and electrical soundings) at a much lower cost that the expatriate specialized companies.

Figures 9: Groundwater occurrence in granite and gneiss weathered and fractured zones

Figure 10: Groundwater occurrence in three typical quartzitic sandstone cross sections

Figure 11: Groundwater occurrence in two typical crystalline schists cross sections

Note: For describing the recommended methods for selecting the best locations of well sites, capital letters indicate the leading method which may even be sufficient in most cases.

Figures 9, 10 and 11 illustrate cases of groundwater occurrence in discontinuous aquifers under different situations and show some hypothetical wells. Below each figure the recommended methods for locating well sites are also indicated.

c. Reconnaissance boreholes

In almost all situations, reconnaissance boreholes are necessary before establishing the production wells in discontinuous aquifers. The objectives of reconnaissance boreholes are to determine the groundwater occurrence and the depth to water which affects the choice of both the production wells and the pump or water lifting device, and to determine the hydraulic characteristics of the aquifer in order to predict its yield and behaviour.

Three drilling methods commonly used are cable tool, rotary and down-the-hole-hammer.

A brief description of these drilling methods is given in section 6.3.3 (Drilled wells).

d. Groundwater resources in discontinuous aquifers

While the water demand for livestock is usually extremely small when compared to the potential yield of a continuous aquifer (see paragraph 6.2.4a), the problem deserves more careful attention in the case of a discontinuous aquifer. The amount of water in storage, which is limited to the fractures and fissures of the bedrock or to small pockets of weathered formation, may not be sufficient to supply water to wells for the duration of the dry season and may be very sensitive to the interannual rainfall variations with the result that wells dry out during drought period. This of course depends on rainfall since in wetter areas the weathered zone usually contains considerable water. In dry regions, the annual recharge of the aquifer may occur only over its actual extent usually limited to the fractured zones a few metres wide. Where the zone corresponds to the bottom of a valley which concentrates the rainfall it can be recharged from a wider catchment basin.

Unfortunately there are no completely reliable methods for evaluating the groundwater resources of discontinuous aquifers since investigations are usually carried out with the objective of looking for the most productive zones without attention to the vertical and horizontal extension of the aquifer which actually governs its storage capacity.

However the production tests (aquifer tests) performed on reconnaissance boreholes may give clues to the response of the aquifer to water abstraction and may guide the water planner in predicting the long term behaviour of the aquifer.

6.3 Groundwater development techniques


6.3.1 Selection of the type of well and pump
6.3.2 Dug wells
6.3.3 Drilled wells
6.3.4 Well cistern associated with a drilled well
6.3.5 Springs


6.3.1 Selection of the type of well and pump

The first factors to be considered for selecting the type of well and pump are the expected depth to water and depth of the well. When both depths are less than 10 m the most suitable solution in pastoral areas consists of digging wells from which water will simply be extracted by hand or animal powered lifting devices. At the other extreme, when both depths are greater than 70-80 m the only solution consists of drilling wells which will be equipped with motor driven pumps.

In between these two extremes all solutions are possible and other criteria have to be considered to decide whether to dig or to drill the wells and which pumps to install on the wells. Table 8 proposes a classification based on two additional criteria:

i. the maintenance capacity of the country which will determine whether mechanical solutions can be proposed;

ii. the hardness of the formations to be penetrated to reach the aquifer which determines the difficulty of drilling wells.

It is clear that the solutions proposed in Table 10 should only be considered for preliminary selection of the most suitable well and pump according to technical criteria, but other parameters may be introduced which will modify the choice. Among the various factors which affect the final selection, the following should be considered:

i. the preference of the users - as an example, in the 6th region of Mali, certain ethnic groups (Touaregs) clearly expressed their preference for dug wells while in the same area (west of the internal Delta of Niger River), the Fulanis were ready to use, maintain and even buy complete pumping equipment with diesel engines to be installed on reconnaissance boreholes recently drilled by the Malian administration;

ii. the economic considerations - one contractor drilled well in very hard rock (quartzite, granite) costs three to four times less than a contractor dug well in the same formation and it may be cheaper to set up a pump and engine maintenance service than to dig a number of wells.

In general, drilling boreholes into hard rock requires heavy and sophisticated equipment and therefore costs are nearly the same regardless of availability and cost of labour. Larger diameter dug wells, when carried out with heavy equipment, tend to be more costly because of the larger number of people and the longer time involved. When the water table is relatively shallow, however, wells are dug by local people when the formation is soft. Even in the harder rock use of hand methods to break out blocks of rock can be relatively inexpensive provided the labour is provided by the farmer.

Table 8: SELECTION OF THE TYPES OF WELL AND PUMP OR WATER LIFTING DEVICE

Depth to water level

Depth to water bearing formation

Hardness of formations to be penetrated to reach the aquifer

Maintenance capacity of the country

Recommended well

Recommended water lifting method

less than 10 m

less than 10 m

soft to hard

not applicable



from 0 to 70-80 m

from 10 to 70-80 m

soft to medium

poor

dug wells

hand/animal powered water lifting device

good

drilled wells

wind/solar/motor pump

hard

poor

dug wells

animal pow. wat. lifting

good

drilled wells

motor driven pumps

more than 70-80 m

soft to medium

poor

well cistern associated

animal powered

hard

poor

with drilled well

lifting device

good

drilled wells

motor driven pumps

more than 70-80 m

more than 70-80 m

soft to hard

good

drilled wells

motor driven pumps

6.3.2 Dug wells

In this method the hole is constructed by digging to the desired diameter and depth with hand or power Cool (air hammer, explosive...). The dug out materials are 42 removed by lifting them from the hole in some type of container. The hole is shored, lined or cased as the depth is increased. For shallow depth and when casing is used, a common practice is to add casing (metallic or cement shaft) at the surface, allowing it to sink of its own weight as the hole is excavated below the bottom of the casin.

One of the limitations of the traditional well digging is the difficulty of penetrating far enough into the aquifer to ensure an adequate depth of water in the well at all times in the future. The difficulty is made worse by the fact that the water table fluctuates seasonally and may even drop considerably at the end of a long dry period.

A system known as "telescoping" has been devised for modern wells to minimize this drawback. This consists of constructing the production section of the well (that located below the water level) separately from the upper part. When the well reaches the water, the diameter is reduced and a concrete perforated shaft is used to line the part of the well which is under water at the time of the construction. The material is excavated within the smaller tube to allow it to sink under its own weight and new shafts are added on top until a sufficient depth of water is reached. If by chance the water level drops down at the end of a dry period, water production can be resumed simply by digging deeper and adding new concrete perforated shafts.

Fig. 12: Dug well

In the case of very hard formations, lining the well may not be necessary over the whole section as indicated on Figure 12. Weathered rock is generally fairly easy to excavate and for very large wells stairs may be formed during excavation. Excavation of solid rock below the weathered zone requires the use of wedges, bars and hammers to break out blocks. This can usually be done by hand to two to five metres below the weathered rock. Sometimes the solid rock appears to be unfractured but careful inspection will show minute cracks where wedges may be driven. Use of explosives in hard rock is of course possible, but the objective is the opposite of rock quarrying where large unfractured blocks are desired. Instead the blocks should be broken and the remaining walls fractured as much as possible.

6.3.3 Drilled wells

Water well drilling is a difficult technique requiring a long experience, which cannot be gained by reading a few lines of a textbook. This paragraph is simply intended to provide the range and animal experts with the basic information needed to understand the major components of a drilling programme.

a. Drilling methods

The cable tool of percussion method of drilling is based upon the principle of applying sufficient energy to pulverize the soil or rock by percussion. The energy applied is varied by controlling the length of the stroke and the weight of the drill stem and bit. The bit is connected to a cable and, by means of a rocker arm on the drill rig, it is raised and released to exert its energy on the bottom of the hole.

In cable tool drilling there are basically three major operations: first drilling of the hole by crushing the rock or clay or other material by the impact of the drill bit; second, removing the cuttings with a bailer as cuttings accumulate in the hole; and third, driving or forcing the well casing down into the hole as the drilling proceeds.

Cable tool is the simplest drilling method which is designed primarily for medium hard rock and cobbly or bouldery materials. However the method can apply in many cases, the major constraint being the extreme slowness of the operation. On the other hand this method does not require large investment in purchase of rig and tools nor does it need lengthy training for operating the machine. Small private enterprises should be encouraged to use cable tools capable of drilling at low cost.

Conventional mud-rotary drilling is accomplished by rotating a drill pipe and bit by means of a power drive. The drill bit cuts and breaks up the rock material as it penetrates the formation. Drilling fluid, usually made of mixed water and special clay (bentonite), is pumped through the rotating drill pipes and holes in the bit. The fluid swirls into the bottom of the hole, picking up the drill cuttings, then flows upward in the well bore, carrying the cuttings to the surface. The cuttings settle out of the mud in puts before the mud is recirculated.

In the rotary drilling method the well casing is usually not introduced into the hole until drilling operations are completed, the walls of the hole being supported by the weight of the drilling fluid.

The mud-rotary method is effective for drilling most rocks. Drilling is rapid in all except the hardest rocks. Difficulty may be encountered in penetrating loose, hard boulders. The rotary method is best suited for deep wells (deeper than 200 m), for wells aimied at developing artesian aquifers (aquifers under pressure) and for reconnaissance wells except in hardest rocks.

The air-rotary and down-the-hole-hammer methods are usually associated in the drilling of the same well since air-rotary is applied in the soft and slightly consolidated part of the borehole (usually the upper part, corresponding to the weathered formation) whereas the down-the-hole-hammer method is used in the hardest formation (usually corresponding to the basement). Air-rotary is similar to mud-rotary in principle, the main difference consisting of substituting mud with air and consequently mud pump with air compressor. Down-the-hole-hammer drilling consists of using air to drive a percussion hammer set at the lower end of the drilling string. Therefore air has two purposes: to drive the hammer and to carry the cuttings to the surface. Air consumption varies with the bit diameter and air pressure. In order to ensure the proper upward transportation of the cuttings it is usually considered that the vertical air velocity should be equal to 15 m/s minimum. Foam is sometimes added to the air in order to help carry up the cuttings and to limit the erosion of the wall of the borehole by the air flow.

The main advantage of the down-the-hole-hammer method is rapidity of drilling in very hard formations: a penetration rate of 15-20 metres per hour is not exceptional. On the other hand the diameter of the hole is limited by the air velocity required to carry up the cuttings: most of the rigs commonly used can drill with a maximum diameter of 8½" which needs an air discharge of 27 m3/minute with 3½" diameter drill pipes.

The reverse circulation method is used for drilling very large diameter boreholes in unconsolidated formations to obtain highly productive wells for irrigation purposes. This method does not suit the usual requirements of groundwater development in rangeland areas (limited discharge of the wells in order to avoid overgrazing around the water supply).

b. Casing selection

Diameter

The minimum diameter of the casing should primarily be selected in relation to the expected or requested discharge of the well. Larger diameter may be necessary because of particular drilling conditions requiring the installation of a casing in the upper part of the well (risk of collapsing or artesian pressure in the aquifer), but in most cases of wells drilled in rangeland areas, casing diameters ranging from 6" to 8" are sufficient to set pumps of a capacity varying from 0 to 50 m3/h (see Tables 11, 12, 13 and 14).

Table 11: SIZE AND WEIGHT OF API CASINGS USED FOR SHALLOW TO MEDIUM DEEP WATER WELLS

Outer diameter

Wall thickness

Inner diameter

Weight

inch

mm

inch

nun

inch

aim

kg/m

6 5/8

168.3

0.24

6.22

6.13

155.86

25.3

7

177.8

0.27

6.91

6.45

163.98

29.7

9 5/8

244.5

0.28

7.14

9.06

230.22

43.6

Table 12: SIZE AND WEIGHT OF WIRE-WOUND SCREENS USED FOR WATER WELLS

Nominal

Outer diameter over socket

Inner diameter

Weight

inch

mm

inch

mm

kg/m

5

4 3/4

120.6

4

101.1

10

6

5 5/8

142.8

4 7/8

123.8

12

8

7 1/2

190.5

6 5/8

168.3

16

Table 13: PVC CASING AND SCREENS CHARACTERISTICS - STANDARD WALL THICKNESS FOR WELLS UP TO 100 m DEPTH

Nominal diameter

Outside diameter over socket

Wall thickness

Inside diameter

Weight

inch

mm

inch

mm

inch

mm

inch

mm

kg/m

5

125

5.79

147

0.26

6.5

4.99

127

4.1

6

150

6.85

174

0.30

7.5

5.90

150

5.5

7

175

7.99

203

0.33

8.5

7.02

178

7.4

8

200

9.41

239

0.39

10.0

8.08

205

10.0

Table 14: SIZE AND CAPACITIES OF DEEP WELL PUMPS

Nominal diameter

VERTICAL TURBINE PUMPS

SUBMERSIBLE PUMPS

Outside bowl diameter

Discharge range

Minimum diameter of tubewell

Nominal diameter

Outside bowl diameter

Discharge range

Minimum diameter of tubewell

inch

inch

mm

m3/h

inch

mm

inch

inch

mm

m3/h

inch

mm

4

3 3/4

95

4-13

4 3/8

111

4

3 3/4

95

4-18

4 3/8

111

6

5 1/2

140

10-45

6 1/8

155

6

5 3/8

137

12-84

6

152

Material

Casing maintains the hole through loose, caving or flowing materials and seals out contaminated or undesirable waters. It must be strong enough to resist earth pressure and, depending upon method of placement, may have to withstand considerable shock and compressive stress. Casing should also be sufficiently resistant to corrosion to last 25 to 50 years.

Until recently drilled wells were cased with steel or wrought iron pipe casings using welded or threaded and coupled joints.

For the last 10-15 years, plastic (PVC) pipes have proved to be very convenient because of their lightweight and their high resistance against corrosion. PVC pipes can be used for wells to 300 m depth, however the standard wall thickness allows a maximum setting depth of approximately 100 m. For deeper wells specially manufactured thicker pipes should be used.

Table 13 shows an example of PVC pipe characteristics for shallow wells similar to those which are drilled in alluvial aquifers or in the basement.

c. Screens

The most important part of any well is that area where the water flows from the aquifer into the well. The proper construction and development of this section of the well is essential for the efficient production of the optimum amount of groundwater.

Consolidated rock aquifers may often be completed as open hole, that is, no perforated casing or screen is required. In unconsolidated sand and gravel aquifer and more generally in all water bearing formations likely to cave or collapse when water flows, a screen or perforated casing is necessary to allow the water from the aquifer to enter the well and to stabilize the aquifer material.

Screens are manufactured according to several designs and from a variety of corrosion resistant material.

Tables 12 and 13 show the main characteristics of two types of screens commonly used in water wells - wire-wound screens and PVC screens.

If the water bearing formation is unconsolidated and fine (sand), it is usually necessary to install properly sized gravel behind the screens in order to prevent the finest elements from entering the well. If the aquifer formation is such that it may collapse or cave, gravel pack may also be needed to stabilize the wall of the well. The grain size distribution of the gravel pack is selected in relation to the slot opening of the screens and the grain size distribution of the aquifer. formation.

d. Well development

Well development is the process of removing clay, silt, fine sand, drilling mud and other detererious material from the vicinity of the well screen and from behind the gravel pack. This operation increases the permeability of the material surrounding the screen, thus increasing the well efficiency.

The most commonly used methods for well development are as follows:

- surging
- backwashing
- jetting
- air lifting
- overpumping
- acidizing
- use of dispersing agents (polyphosphates).

These different procedures are described in detail in the specialized literature on water well drilling.

e. Pumping test

The pumping test is an important operation to be carried out after completion of the well and has two main purposes. The first is to determine the characteristics of the well in order to select the proper pumping equipment, and the second to determine the characteristics of the aquifer in order to estimate the effect of the planned programme of water development on the aquifer.

The procedures of the test are slightly different according to the purpose to be reached. When the wells are drilled in the framework of a large programme of water development, short duration tests aiming at the selection of the suitable pumping equipment are usually sufficient for most of the wells. More sophisticated tests are performed only on a few wells selected by the hydrogeologist.

6.3.4 Well cistern associated with a drilled well

This technique consists of using a large diameter lined well to extract, with traditional drawing methods, water coming from a nearby drilled well connected with the large diameter well. Although the corresponding investment is high (cost of a dug well + cost of a drilled well), the well cistern has proved to be convenient for water production in areas where mechanical water lifting devices cannot be installed because of their maintenance requirements.

The well cistern/drilled well technique is suitable when the following conditions are met:

a. either when the aquifer is confined and cannot be exploited by dug wells because it is too deep (more than 80 m) or because water is under pressure;

b. or when the water bearing formation consists of hard rocks in which water flows through fissures and from which bigger discharge can be obtained by drilled wells tapping a deeper aquifer section than dug wells.

Figure 13 shows a typical drilled well and a well cistern.

Fig. 13: Well cistern associated with a drilled well

It is also common practice to pore the drilled well inside the dug well, but it is difficult to keep the dirt and debris in the dug well from entering the borehole and reducing its efficiency.

6.3.5 Springs

Springs with a significant flow of water - say over 20 m3/h have usually been developed long ago and are currently used for either irrigated agriculture or human needs, but smaller flows are often overlooked as potential sources of water for livestock consumption, mostly in arid and semi-arid countries where a small water flow immediately evaporates if not properly collected and conveyed. A spring discharge of less than 0.5 m3/h does not usually show any flow. Water disappears by evaporation and evapotranspiration in the middle of the vegetation which naturally develops around the spring. Properly collected and distributed the same water could meet the requirements of 300 to 400 cattle.

a. Small spring sites

Small springs usually occur as outflows of catchment basins of limited extension and with poor hydraulic characteristics in mountainous areas. Examples may be found in Mauritania (small springs flowing out of very compact Cambro-Ordovician quartzitic sandstones all around the Plateau of Tagant which received 200 mm average annual rainfall) and in Niger (small springs of the Air mountains).

b. Discharge measurements

A simple and accurate way to determine flow volume of small water supplies is the 90°"V" notch. A "V" notch suitable for determing flows up to 10 m3/h can easily be made from a piece of flat metal measuring 40 x 25 cm from which a triangular notch with a right angle has been cut out. The graduations Co be written on the side of the notch opening are shown on Figure 14a. The positions of the graduation referred to the bottom of the notch are as follows:

Graduation (discharge m3/h)

Vertical distance in mm from the bottom of the notch to the graduation

0.5

19

1

34

2

43

3

52.5

4

59

5

65

10

85

The "V" notch is placed in a channel through which all the water from the spring is forced to flow. On the spring side a small level pool of water, at least one metre long should be formed as shown on Figure 14b. After positioning the "V" notch and making sure Chat all the water is flowing through it, flow readings are made. For design purposes, flow measurements should preferably be made at the end of the dry season or when the spring discharge is lowest.

c. Selection of the diameter of the delivery pipe

Once the location of the water troughs has been fixed, two parameters should be determined; one is the distance (preferably measured horizontally) from the spring to the water outlet, and the other is the vertical difference or head between the spring and the outlet.

Figure 15 can be used to select the smallest pipe diameter to carry the desired discharge as shown in the following example:

spring discharge = 0.5 m3/h

distance spring-outlet = 30 m

elevation difference between the spring and the outlet = 3 m

the hydraulic gradient is the elevation difference divided by the distance or 3/30 =0.1 (this gradient is equivalent to 10 m of drop per 100 m of pipe)

Figure 15 shows that the pipe diameter necessary to convey 0.5 m3/h under 10 m drop per 100 m of pipe is between 3/4 inch (19 mm) and 1 inch (25 mm). Therefore a one inch pipe would be selected, since the 3/4 inch pipe is too small.

d. Spring development

The most important point to remember is "DO NOT increase the water level of the spring". The normal water level of the undisturbed spring should be marked and no attempt should be made to increase or lift this level for any reason. If the water level is increased, the extra pressure may cause the spring to flow out through another outlet which may be far away from the present one.

The Figures 14c, d, e show the steps to be followed for the development of small springs, using only local material. After the position of the undisturbed water level has been marked, the spring should be excavated to approximately one metre below the old water level and a drain constructed in order to channel the water outside the spring area. The drain can then be used to install the delivery pipe. The pit dug at the spring location should be large enough to allow for the installation of a collection chamber made from concrete pipe 30 to 50 cm diameter and 1 m long, and filling of the space around the collection chamber with stones, so that water can flow into the chamber.

Figure 14a: SPRING DISCHARGE MEASUREMENT WITH A 90° "V" NOTCH

Figure 14b:90° "V" NOTCH GRADUATION

Figure 14c: THE UNDISTURBED SPRING

Figure 14d: PREPARATION WORK FOR SPRING DEVELOPMENT

Figure 14e: COLLECTION CHAMBER USING A CONCRETE PIPE

Figure 14f: COLLECTION CHAMBER AND OVERFLOW ENTIRELY MADE OF STONE

Fig. 15: PIPE FLOW CHARTS

An overflow is needed to divert the excess flow from the spring. A seepage seal should cover the spring and extend so that surface seepage does not enter the spring. The chamber should have a tight cover so that sunlight cannot enter through the opening and allow algae to develop.

Should the concrete pipe not be available locally, a chamber can also be constructed with only stones and clay as shown on Figure 14f.

6.4 Water lifting devices


6.4.1 Main requirements
6.4.2 Different types of water lifting
6.4.3 Man or animal powered water lifting devices
6.4.4 Motor driven pumps
6.4.5 Wind powered pumps
6.4.6 Solar pumps


6.4.1 Main requirements

The ideal water lifting device for groundwater production in rangeland areas of developing countries should be capable of delivering a minimum of 20-30 m3/day - the amount necessary to meet the daily requirements of 500-700 cattle, be able to be operated by only one person if necessary, and should require little or no maintenance.

In fact there are no devices which can meet all these conditions and the solutions proposed can only take into consideration one or two of the above conditions and be as close as possible to the third one. For example, hand water lifting does not require any maintenance, can be carried out by one person but can deliver 20 m3/day only under very restrictive conditions - i.e. water level depth not exceeding 10 m and 5 to 6 people drawing at the same time. Another example may be the animal powered water lifting which can meet the discharge requirements (5 to 6 animals working at the same time can easily draw 20-30 m3/day even if the water level is very deep) and does not require any maintenance, but cannot be operated by a single person.

It is clear also that the water lifting method should suit the type of well (dug or drilled) already existing or planned.

6.4.2 Different types of water lifting

Many types of water lifting devices are in use in various parts of the world for irrigation, domestic supply or livestock watering. Those which may be envisaged in rangeland areas can be classified as follows:

a. man or animal powered water lifting devices

· traditional devices for dug wells
· hand or foot pumps for drilled wells

b. motor driven pumps

· diesel engine and vertical turbine pump
· generator and submersible pump

c. wind powered pumps

d. solar pumps

The possible uses of each type of water lifting method in association with suitable water work are suggested in Table 10 in relation to various hydrogeological criteria and maintenance capacity of the country. More detailed information is given hereafter.

6.4.3 Man or animal powered water lifting devices

a. Traditional water drawing

In pastoral areas a skin or rubber bucket is hung on a rope and operated either manually or with the help of an animal (usually bullock or camel). Traditional water lifting is suited to large diameter dug wells where 5 to 6 people or animals can draw water at the same time provided that the well supplies enough water. Well cisterns associated with a nearby drilled well are built with the intention of being exploited by traditional water drawing, mainly by animal powered water lifting. The graphs in Figure 16 show the range of maximum discharge attainable by 5 to 6 people or animals in relation to the depth of the water level. In the case of hand water drawing, the discharge decreases rapidly with the depth of water but when animals are used the discharge is not very sensitive to the increase of water depth. This is due to the fact that the duration of each elementary operation in a complete drawing cycle is not equally affected by the variation of the water depth as indicated in Table 15.

Fig. 16: Hand and animal powered water lifting - Discharge range from one well

Table 15: OPERATING TIMES OF ANIMAL POWERED WATER DRAWING FROM A WELL

Operations

Depth to water

40 m

70 m

Getting up and down a 40 1 bucket

1' to 1' 30"

2' 30" to 3' 30"

Surface operations (emptying the bucket)

2' to 3'

2' to 3'

Filling the bucket

1'

1'

Total

4' to 5' 30"

5' 30" to 7' 30"

The operating times measured in several locations in Niger and Mali show that increasing the depth to water affects the time necessary to get the bucket up and down which represents only 26 percent (40 m depth) to 45 percent (70 m depth) of the complete cycle.

It is therefore rather easy to attain a daily water production of 20-30 m3 of water from a single well, whatever is the depth to the water level, provided that the hydraulic characteristics of the well are such that it can effectively supply that amount of water, and that 5 to 6 animals are used at the same time.

The only difficulty with animal powered water drawing is that it requires two people, one for emptying the bucket and one for guiding the animal. This particular condition may not be compatible with pastoral customs of certain ethnic groups. During the transhumance period, the Fulani shephers, for example, are used to being alone with their herds.

Hand drawing for watering livestock is used when the water level is very shallow, and in sedentary areas where the density of the wells is sufficient to reduce the number of animals to be watered from each well.

b. Hand and foot pumps

The graphs of Figure 16 clearly show the important progress represented by hand or foot pumps when compared with the simple drawing of water, since one or two people operating a hand or foot pump can produce as much water as 5 to 6 people or 3 to 4 animals drawing water with a bucket. The graphs of Figure 16 have been obtained by plotting the theoretical performances of the pumps as indicated by the manufacturers, and corresponding to new pumps operated by one or two men in excellent physical condition.

The power delivered by the average man is estimated at 0.08 hp which corresponds to a water discharge of:

- 2.16 m3/h if the water level is at 10 m
- 0.72 m3/h if the water level is at 30 m
- 0.43 m3/h if the water level is at 50 m
- 0.27 m3/h if the water level is at 80 m

when assuming a mechanical efficiency of the pump of 1/1.

Actually, because of the decreasing efficiency of the pumps with their state of wear (especially the tightness rings) and with the depth of water, and because of the unequal power of the pump operators, the discharge of a hand pump over several hours operation rarely exceeds 0.7-0.8 m3/h even for shallow water level.

Moreover, there are few hand pumps capable of working at depths exceeding 50-60 m.

In arid and semi-arid rangelands environment of developing countries, the hand or foot pumps present several disadvantages since they cannot deliver more than 8-10 m3/day which is not sufficient for a normal water supply in rangeland area. If the utilization of hand pumps is nevertheless envisaged, the density of wells should be considerably increased in order to supply the required quantity of water to the livestock. In addition, pumps require regular maintenance in order to keep their efficiency at an acceptable level. The maintenance operations may require truck mounted lifting equipment when the pumps are installed at depths exceeding 20-30 m: the weight of a piston pump with 30 m transmission rods may indeed reach 200-250 kg for those operated through a lever and 450-500 kg for those operated through a wheel and a handle. Proper maintenance is a prerequisite for reliable hand pump based water supplies.

However, in spite of these major disadvantages, hand pumps are certainly a technical solution to be considered in very hard rocks which make the digging of large diameter wells time consuming while drilling by down-the-hole-hammer method requires only a few days to complete a 100 m borehole. Hand pumps are also appropriate in poorly permeable aquifers which cannot be developed by dug wells widely scattered over a large area but would be better exploited by a denser network of drilled wells. Hand pumps are preferred to motor driven pumps because of the small well discharge which would not justify the cost of motor driven pumps.

But again, this solution - drilled wells and hand pumps - whichever technical justification is put forward, may be acceptable ONLY IF proper maintenance of the pumping equipment is guaranteed.

6.4.4 Motor driven pumps

a. When should motor driven pumps be considered?

Motor driven pumps installed in a drilled well are the only technical solution for producing groundwater in areas where both water level and water bearing formation are deeper than 70-80 m. If the water level comes closer to ground surface other solutions than motor driven pumps are technically feasible and have schematically been presented in Table 10. The motor driven pump solutions should always be considered in the case of high quality rangeland extending over an area offering substantial groundwater potential. Indeed with the assumptions of a daily water requirement of 40 l/TLU during the hot season, water production by animal powered drawing of 30 m3/day from one well (either dug well or well cistern associated with a drilled well), and 10 km walking capacity for livestock from the grazing area to water supply, corresponding to a total area of approximately 30 000 ha which might be grazed from one water source, then one well can water 750 TLU. This means that the animal powered well is convenient only if the carrying capacity of the considered rangeland is less than 40 ha/TLU.

In the case of rangeland offering better carrying capacity - say 20 ha/TLU - the solution for watering all the livestock which could graze over that rangeland would consist either of 2 dug wells with animal powered drawing or 1 drilled well equipped with motor driven pump. Perhaps this example is not really feasible since most probably 2 drilled wells with their pumping equipment would also be necessary for security reasons (in the case of engine or pump failure, water has still to be made available for livestock). But let us imagine the case of an excellent range-land with a 5 ha/TLU carrying capacity so that 6000 TLU would have to be watered. The solution would be EITHER 1 (or better 2 for security reasons) drilled wells with motor driven pumps OR 8 dug wells.

b. Selecting the discharge of the pump

The maximum quantity of water to be pumped every day Vmaxday usually depends upon the carrying capacity of the rangeland. Assuming a walking capacity of the livestock of 10 km and a drinking requirement of 40 1/TLU, Vmaxday in m3/day would roughly be equal to 1200 divided by the carrying capacity in ha/TLU.

During the pumping test carried out on the well after its completion the exploitable discharge of the well Qexp would be determined. If Qexp is such that the daily maximum water requirement - Vmaxday - can be pumped in less than 12-16 hours, then the discharge - Qpump of the pump to be installed can be fixed in such a way that the maximum daily pumping time will range from 5-6 to 12-16 hours. If Qexp is not sufficient to pump Vmaxday m3 in less than 12-16 hours, then drilling an additional well has to be considered.

The internal diameter of the casing limits the size of the pump bowl which may be a constraint to selecting the pump discharge, but for wells to be used in a rangeland environment, the maximum discharge required rarely exceeds 25 m3/h and a 6 inch (150 mm) diameter casing is sufficient in most cases to accommodate a suitable pump. However it is recommended whenever possible to select the casing diameter of the well before drilling starts according to the expected required discharge, i.e. for discharge ranging from 5 to 15 m3/h plan 6 inch casing minimum and for discharge ranging from 15 to 40 m3/h use preferably 7 to 8 inch casing minimum.

c. Vertical turbine pump with diesel engine or electrical submersible pump with power generator?

Both solutions have advantages and inconveniences:

i. installation and removal of submersible pumps are easier since only the pump and the column has to be set down or removed while vertical turbine pumps also require a shaft and bearings and are more delicate to install;

ii. if a submersible pump is to be used the well may be located outside the shelter of the power generator. This may be considered as an advantage since any repair on the well or on the pump is made easier;

iii. electrical submersible pumps require sophisticated systems of automatic control and security which need periodical visits by a good electrician for maintenance and repair;

iv. the electric pumping unit, which consists of a pump, an electric motor, a generator and a diesel engine, is more expensive and more energy consuming than a mechanical pumping unit consisting of only a pump and an engine.

It therefore seems that in spite of inconveniences connected with a more delicate installation, vertical turbine pumps are preferred for the equipment of wells located in remote areas lacking electrical maintenance facilities.

d. Determining the main characteristics of the pumps and engines

Efficiency of the pumping units

The two systems in use for equipment of pumping stations are schematically issultrated in Figure 17 which also indicates the average efficiency of each component and the overall efficiency of each system.

Fig. 17 Efficiency of turbine pump and diesel engine compared to that of submersible pump and power generator

Vertical turbine pump

The only parameters to be provided for ordering the pump are:

a. the well casing inside diameter which will determine the maximum size of the pump bowl;
b. the requested discharge;
c. the total vertical water lift.

The total vertical lift is the sum of the following elements:

- depth to water level below ground under static conditions,
- maximum seasonal or interannual water level fluctuation,
- drawdown corresponding to the expected discharge (from pumping test results),
- elevation of the storage tank above ground in order to allow water to flow out to the watering troughs when needed.

On the basis of these data, the manufacturer will calculate the total dynamic head corresponding to the sum of the total vertical water lift and the friction losses at the given discharge and or different pump and column characteristics. The total dynamic head will determine the number of pump stages required.

Diesel engine for vertical turbine pump

Although the characteristics of the motor will be determined by the manufacturer as a function of the expected discharge, the total dynamic head and the pump efficiency, it may be useful for the water project planner to estimate the required power of the engine, first to check the offer of the manufacturer, and then to calculate the expected energy consumption necessary to determine the operating cost of the pumping station.

Defining:

Pmot as the power delivered by the engine in HP,

Qpump the discharge of the pump in m3/h,

Hlift the total vertical water lift in m from pumping level in the well to point of delivery in the tank. Assuming the friction losses equal 15 percent of hlift, the total dynamic head would correspond to 1.15 x hlift.

Defining: Teff as the efficiency of the pump and the diesel engine (0.48 according to Figure 17)

A simple formula to estimate the nominal power of the engine would therefore be as follows:

Submersible pump and power generator

The same data as for the vertical turbine pumps are required to order the submersible pumps. These are well casing inside diameter, discharge and vertical water lift.

The manufacturer will usually take care of calculating the power required to run the motor of the pump and the characteristics of the generator as well as the power of the engine which will drive the generator. However it may be useful for the water project planner to estimate the characteristics of the various components of the system in order to check the offers of different manufacturers and also to calculate the likely energy consumption of the pumping station.

The power required to run the electrical motor of the pump is estimated as follows:

Pmot: the electrica1 power absorbed by the motor of the pump in kW

Qpump: the discharge of the pump in m/h

Hlift: the total vertical water lift in m from pumping level in the well to point of delivery in the tank; assuming the friction losses equal 15 percent of Hlift, the total dynamic head would correspond to 1.15 x Hlift,

Teff: the efficiency of the turbines

Meff: the efficiency of the electrical motor

or simply, if assuming Teff = 0.8 and Meff - 0.9 (see Figure 17),

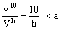
However, starting an electrical motor requires additional power which may be estimated as 15 percent of the power calculated by the proceeding formula. Eventually the power Pmotgen of the engine associated with the generator will be:

Pmotgen in where

Geff - is the efficiency of the generator
Deff is the efficiency of the diesel engine

or simply, if assuming Geff = 0.9 and Deff = 0.6,

Pmotgen in

Pmotgen in

Hence, by comparing the power required for a given discharge and head by the system - vertical turbine pump + diesel engine with that required by the system -submersible pump + electrical motor + generator + diesel engine it clearly appears that the latter will consume more energy for the same output.

6.4.5 Wind powered pumps

a. Wind energy

With the help of windmills, wind energy can be converted into mechanical or electrical power. The power which can theoretically be supplied may be estimated by the following formula:

Pth = K x A x V3

where:

Pth is the power in kW

A is the area swept by the rotor in m2

V is the wind velocity in m/s

K is a coefficient depending on the density of the air and the characteristics of the rotor; for a rough estimation of Pth, K may be made equal to 0.00064

Since the power relation with the windspeed is cubic, it is very important to obtain reliable windspeed data in the project area for a sound evaluation of the technical and economical analysis of the windmill water lifting project.

b. Wind analysis

To evaluate the possibilities of windmill for supplying water to livestock in rangeland areas, an analysis has to be made of the wind. This study should cover the following items:

i. Average annual windspeed

Wind speeds should be measured 10 m above ground surface in order to reflect the actual wind characteristics to be used by the mill. The wind velocity in secondary meteorological stations is usually measured at much lower heights, and corrections can be made with the following empirical formula:

where:

V10 = average wind velocity at 10 m above ground (m/s)
Vh = average wind velocity at height h (m/s)
h = height of windspeed measuring device (m)
a = surface roughness coefficient ranging from 0.2 and 0.25 in open areas on land

The technical feasibility of a windmill project can be roughly evaluated from the average annual windspeed as indicated in Table 16.

Table 16: TECHNICAL FEASIBILITY OF A WINDMILL PROJECT IN RELATION TO THE AVERAGE ANNUAL (OR SEASONAL) WINDSPEED

Average annual or seasonal windspeed (m/s)

Technical feasibility of a windmill project

less than 2.5 m/s

generally not feasible

2.5 to 4 m/s

technically possible but may be doubtful from an economic view point

more than 4 m/s

generally feasible

ii. Average monthly windspeeds

For water project planning connected with rangeland development it is important to know whether windspeed will be sufficient and that, consequently, water will be available during the months of presence of the animals on the considered rangeland area. To evaluate this factor, the average windspeeds are plotted on graphs.

iii. Daily wind pattern

In general, windspeeds are not constant throughout the 24 h of a day. Often there is little wind at night, wehreas strong winds may blow in the afternoon. In any case the windspeed distribution over the day will most probably not correspond to the likely distribution of the water demand for watering livestock. It is therefore necessary to associate a storage tank to any wind powered pumping system.

iv. Windless periods

If windmills are being considered for supplying water to livestock in rangeland areas, windless periods are one of the most important items of the wind analysis. If the probability of having one lull period of more than 2 consecutive days during the dry and hot season exceeds 20 percent -a 2 day lull period will probably occur during the hot season 2 years out of 10 - then the water project has to be seriously reexamined. Storage tanks may possibly help to overcome the difficulty of the lull periods but the cost of one water supply may rapidly become excessive.

c. Windmill pump performance

The maximum extraction efficiency of the theoretical wind power cannot exceed 59.3 percent. Actually the efficiency of the conversion of wind energy into mechanical energy ranges from 15 to 40 percent according to the type of windmill. If the pump efficiency is also taken into consideration, then the overall efficiency of a. windmill-pump will be ranging from 10 to 30 percent only.

Pusable = (0.1 to 0.3) x K x A x V3

The total power output of a specific windmill-pump combination can therefore be predicted from the windspeed frequency distribution over the different period of the rear (months for example) corresponding to the rangeland occupation plan. However another two parameters should also be taken into account to determine the expected performance of the system: the cut-in and cut-out windspeed. The cut-in windspeed or starting windspeed is the minimum windspeed required for the mill to start running, depending on load and starting torque. The cut-out windspeed or maximum windspeed is the speed above which the windmill is designed to be governed out of the wind for safety reasons. Usually the cut-in speed is around 3 m/s while the cut-out speed is around 8-10 m/s. It is obvious that only the windspeed frequency distribution figures between these 2 limits should be used for the performance calculations.

Actually the windmill performance is difficult to assess accurately under real field conditions. Moreover the figures presented in manufacturers manuals are often difficult to adjust to local conditions and sometimes are rather optimistic. However, when the windmill and the pump are well designed and well keyed to one another, there should not be much difference between the performances of the various makes, and these should all correlate with figures derived directly from theoretical formulas.

Table 17 (Van Vilsteren 1981) gives an indication of average windmill-piston pump performance for the most common combinations available on the market.

Table 17: GENERAL WINDMILL-PISTON PUMP PERFORMANCE FIGURES FOR DIFFERENT ROTOR DIAMETERS AND DIFFERENT ELEVATION HEAD (Cut-in windspeed 3 m/s; Vdesign 3 m/s; Cut-out 10 m/s)

DISCHARGE IN m3/h

Total elevation head m

5

10

15

20

Rotor diameter m

3.5

5.0

7.0

3.5

5.0

7.0

3.5

5.0

7.0

3.5

5.0

7.0

W

I

3-4

3.2

6.5

13.0

1.6

3.2

6.5

1.1

2.2

4.4

0.8

1.6

3.2

N

4-5

4.2

8.5

17.0

2.1

4.2

8.5

1.4

2.8

5.6

1.0

2.1

4.2

D

5-6

6.5

13.0

26.0

3.5

6.5

13.0

2.2

4.4

8.8

1.7

3.5

6.5

S

6-7

8.5

17.0

34.0

4.2

8.5

17.0

2.8

5.6

11.2

2.1

4.2

8.5

P

7-8

10.7

21.5

43.0

5.4

10.7

21.5

3.6

7.2

14.4

2.7

5.4

10.7

E

8-9

13.0

26.0

52.0

6.5

13.0

26.0

4.3

8.6

15.2

3.2

6.5

13.0

E

9-10

16.5

31.0

62.0

7.7

15.5

31.0

5.2

10.3

21.0

3.8

7.8

16.5

D

(m/s)


Table 17 shows the practical limit of pumping depth when windmills are expected to supply water to livestock in rangeland areas. If elevation of the storage tank and friction losses all together are taken equal to 5 m and if a discharge of 5 m3/h is considered as the minimum required, it appears from Table 17 that with 5 m rotor diameter the maximum pumping depth will be in the order of 15 m (20 m total head), while with 7 m rotor diameter, the maximum pumping depth may possibly reach 35-40m. The practical limit of piston pumps, however, is 25-30m. For greater depth the rods used for transmission of the vertical movement to the piston may be subject to frequent breaks.

d. Maintenance requirements

Like any mechanical device, windmill-pump equipment requires maintenance (lubricating, change of piston leather of the pump, checking of the cut-off device). In remote areas of developing countries the maintenance requirements of windmills even if limited are an important constraint.

In the Eastern part of Mali (south of Gao) 38 windmills were installed in 1956-60 in rangeland areas and also close to villages. From 1959 to 1962 the windmills were periodically visited by mechanics belonging to a contractor in charge of the maintenance and worked perfectly during all that period of time. Later on, the lack of spare parts and the difficulty of ensuring a continuous maintenance resulted in a rapid decline of the efficiency of the windmills which broke down one after another.

6.4.6 Solar pumps

The use of solar energy in developing countries is now seen as a serious and worthwhile endeavour. Various governmental and international agencies as well as commercial firms are involved in research and development, including water lifting of the various methods for harnessing solar energy; the most promising is the photovoltaic system, which directly converts solar energy into electricity. Up to now the main limiting factor to the utilization of solar energy was the excessive investment required but it cannot be excluded that a technological breakthrough similar to that of microprocessors in electronics may be achieved and that thereby solar powered devices may become highly competitive in water lifting at least for irrigation. When water is to be used for watering livestock in remote areas, an additional constraint is the maintenance requirement of such sophisticated devices.

6.5 Groundwater monitoring


6.5.1 Need for groundwater monitoring
6.5.2 Rainfall observations
6.5.3 Water level fluctuations
6.5.4 Water abstraction


6.5.1 Need for groundwater monitoring

In principle a groundwater project designer should always be in a position to predict the long term behaviour of the aquifer in relation to the planned programme of water abstraction and to the possible climatic fluctuations which may affect the recharge of the aquifer. Water wells should be designed in such a way that in no case the water level would drop down out of the reach of the designed water lifting devices. This means for example that dug wells should be deep enough to always contain sufficient water for the users to draw it. This means also, in the case of the drilled wells, usually much deeper than the water level, to design the pumping equipment in such a way that no risk would occur for the pumps to run dry and either to be damaged or to let thousands of animals without water.

The problem of water resources has already been discussed in paragraph 6.2.4 for the continuous aquifers and 6.2.5 for the discontinuous aquifers. While the water resources of a continuous aquifer are relatively easy to estimate and in most cases they are, by an order of magnitude, bigger than the water demand for extensive stockbreeding, the problem may become serious in the case of discontinuous aquifers. Because hydraulic extrapolations are hazardous in discontinuous aquifers, the classical methods of groundwater resources evaluation do not apply and therefore the water project should be designed on a step by step basis in such a way that each new step of water development would be designed and implemented on the basis of a careful analysis of the effect of the previous step on the aquifer. This is possible only by planning, together with the water development operations of the project, a careful monitoring of the rainfall over the area concerned, the water level fluctuations in selected wells (possibly all if they are far away from each other) and the quantity of water withdrawn every year from the wells.

Although less important in the case of continuous aquifers, it is worthwhile, also in that case, to follow the fluctuations of the precipitations and of the water level in selected wells in order to be able to notice any abnormal drop which may affect the utilization of the wells.

6.5.2 Rainfall observations

In a rangeland area, a rainfall observation network is usually planned in order to correlate precipitation and dry matter production and thus to predict the carrying capacity of the area during the next dry season. The same rainfall observations can be used for groundwater recharge monitoring.

6.5.3 Water level fluctuations

In an area where wells are scattered and where no hydraulic connections exist from one well to another but statistical correlation's, water level observations should be made on almost any well, at least during the starting phase of the project. The observations should be made twice a year, one of them being made during a period of non-utilization of the wells (usually the end of the rainy season).

When water level has to be measured during the period of intensive water drawing, the measurements should possibly be made early in the morning and the situation of the well (whether or not in production) should be noted together with the water level.

In the case of continuous aquifers, the drilling of a few piezometer holes should be considered if the corresponding marginal increase of the total project cost is reasonable (say less than 5 percent of the total cost of the water project). Well protected piezometers are the best way for observing the fluctuations of the water level without being disturbed by the local depression due to water abstraction from the well itself.

6.5.4 Water abstraction

This is the most difficult parameter to be determined but at least in the case of discontinuous aquifers it is important to estimate the quantity of water withdrawn from the wells.

If by direct counting (for vaccination) or by statistical sounding, the number of animals which either transit or stay in the considered area is known, the estimation of the water abstraction is quite easy.

If no information is available from the Animal Husbandry or Veterinary Service a tentative estimation of the number of animals watered by the wells should be made once every three or four years, by counting the animals watered during a full day by randomly selected wells (one over ten). The well inventory should have been completed befrehand so that to know at least the number of wells supplying water in the area and to make extrapolation of sounding results possible.

6.6 Case study and cost


6.6.1 Well construction
6.6.2 Water lifting


Before going through a few examples and their costs, it is worth mentioning that all construction works related to groundwater development carried out in rangeland areas, and all water lifting equipment are much more expensive than when the future water users are sedentary people living in villages. The two main reasons for the higher prices are distance and maintenance difficulties. When the well sites are far away from the capital and from the main roads, they are often not accessible with normal vehicles. The water users are often not the same from one day to another so that any involvement of the population in the construction works as well as in the maintenance of equipment is difficult.

6.6.1 Well construction

a. Dug wells

The unit cost per metre for digging and lining large diameter wells depends on the depth of the wells, the hardness of the formation, the difficulty of access and the distance from the capital. It is therefore difficult to give one single price for well digging even within one country.

Moreover, in discontinuous aquifers, it is always necessary to drill a reconnaissance borehole to ascertain the presence of water before digging a well, and the cost of the drilling should obviously be added to the construction cost of the dug well. However, in the following examples dealing with groundwater development programmes in discontinuous aquifers, the cost of the reconnaissance boreholes will not be considered.

In Mauritania (Burgeap 1982b), the average prices in 1980 are as indicated in Table 18.

Table 18: AVERAGE 1980 COSTS OF 1 m OF DUG WELL, 1.8 m DIAMETER EXECUTED BY THE MAURITANIAN ADMINISTRATION (DIRECTION DE L'HYDRAULIQUE) (Exchange rate: US$ 1 = 50 UM)

Area

Trarza

Afrar Tagant

Assaba-Hodh

Nature of the rock

soft

hard

hard

Maximum depth

40 m

30 m

30 m

Distance from Nouakchott

200-300 km

600-800 km

700-1000 km

Average UM

28 000

34 000

40 000

cost/m US$

560

680

800

Actually, according to the new policy of the Administration, 35 percent of the cost of dug wells are provided for in nature (unskilled manpower, material, fuel) by the local collectivities.

In Niger, a special authority (OFEDES) is responsible for the construction of the wells. In 1982 the prices charges by OFEDES for digging wells in Maradi-Zinder area (600-800 km from Niamey) were as indicated in Table 19.

Thus a well, 30 m deep, crossing 20 m of soft formation, 5 m of hard rock and penetrating 5 m into the aquifer, would cost in equivalent US dollars:

Moving equipment

865

865

Digging and lining

25 x 202

5 050

Supplement for hard rock

5 x 383

1 915

Concrete shafts

5 x 107

535

Ring shoe

78

78

Table 19: UNIT PRICES FOR WATER WELL DIGGING BY OFEDES IN MARADI-ZINDER AREA (NIGER) IN 1982 (Exchange rate: US$ 1 = 285 CFA Francs)

Description of work

Unit

Unit price

FCFA

US$

Moving equipment and preparation of well site

Unit

246 504

865

Digging and lining in soft terrain

 

0 to 30 m

m

57 480

202

30 to 50 m

m

63 240

222

50 to 70 m

m

72 726

255

70 to 90 m

m

87 276

306

Price increase for hard rock

m

109 200

383

Supply and installation of concrete screened

shaft and gravel pack

m

30 600

107

Supply and installation of the ring shoe

Unit

22 200

78

Digging below water level (max 10 m)

m

72 600

255

Curb and surface anchorage

Unit

148 200

520

Supply and installation of surface super structure (block-holder)

Unit

450 000

1 579

Supply and installation of water troughs for livestock

Unit

21 000

74

Pumping test

Unit

81 000

284

Digging below water level

5 x 255

1 275

Curb

520

520

Water troughs (5)0

5 x 74

370

Pumping test

284

284

Total

in US$

10 892

Average cost per metre

in US$

363

In Mali, data have been collected on cost of dug wells executed either by foreign contractors or by the local administration (Opération Puits).

In 1979, 11 wells totalling 637 m were dug by the Administration in the area called Senomango located in the 6th Region. The formations which had to be crossed are extremely hard (crystalline dolomite) and explosives had to be used. The Livestock Development Project in Mopti Region (ODEM) bore all related expenses which amounted to:

373.4 million Malian Francs (FM) for equipment
293.0 million FM as operating cost.

Even if only 3/5 of the expenses for equipment are taken into consideration the 11 wells costed 517 million FM (approximately US$ 860 000) - i.e. 8000 000 FM/metre in 1979 (approximately US$ 1350/m) without taking into account the cost of the reconnaissance boreholes which were drilled on each well site before digging the wells.

In 1983 a second phase of the Livestock Development Project in Mopti Region (ODEM) was prepared by a FAO team (Investment Centre) and was later on financed by the World Bank. In front of the excessive costs of well digging, other alternatives were examined. The most attractive one included a major involvement of the future users grouped in pastoral associations in the construction work as well as in its financing, and the participation of local traditional well diggers properly assisted by one expatriate foreman. A similar approach is successfully being experienced by Non Governmental Agencies working in nearby areas (Bandiagara Plateau, North Tombouctou) where actual costs of well digging have been brought down to 250 000-350 000 Malian Francs per metre (US$ 350-500/m). The figure eventually adopted in the economic appraisal of ODEM Phase II for the cost of well digging down to 70-90 m in very hard rock was FM 500,000/m (US$ 715/m).

In Upper Volta, 1982 costs for hand dug wells are reported to stand at a much lower level than in the 6th region of Mali - i.e. US$ 171/m. This important difference in cost is probably due to the fact that the rocks are softer (weathered granite in most cases), the depths are usually smaller (20-40 m) and local well diggers can easily work without air compressor and explosives, and most of the wells are dug for villages which actively participate in the construction work.

b. Drilled wells

In the case of discontinuous aquifers, reconnaissance boreholes are always necessary to ascertain the presence of water before realizing the production works which are much more expensive and must be undertaken only after being sure of water occurrence. When the results of the reconnaissance borehole are satisfactory, it is usually converted either into a production well, where the cost increase is mostly related to the casing and screen supply and installation, or into a dug well, the cost of which is a completely new item to be added to the cost of the reconnaissance borehole.

However, it happens very frequently that one reconnaissance borehole is not enough to identify the best location for water production and another borehole has to be drilled.

Being:

r: the rate of success in percent - i.e. the number of productive wells over 100 drillings,

DC+: the cost of a productive well - i.e. capable of delivering a minimum discharge of 1 m3/h, completed with casing and screens (if necessary), developed and pump tested,

DC-: the cost of a dry reconnaissance borehole,

PDC: the actual cost of one production well including the cost of the unsuccessful boreholes which were necessary to identify the best location,

Then

The formula clearly shows how sensitive the actual cost of a production well is to the rate of success, which should be called probability of success when planning a water development project - i.e. before implementing the project. It is therefore extremely important when dealing with the economical aspects of a water project in an area of discontinuous aquifer to collect the data necessary to establish the probability of success of the wells to be drilled.

In Mali, an Important programme of drilled wells in the Western part of the country was financed by the Saoudi Development Fund and the Fonds d'Aide et de Coopération (France) and was carried out from 1980 to 1982. More than 200 wells were drilled, mostly in the basement formation (discontinuous aquifer) with the down-the-hole-hammer drilling technique. Drilling costs were accurately collected and analysed by BURGEAP (BURGEAP 1982a). The cost of unsuccessful boreholes averaged Malian Francs 51,500 per m - i.e. approximately US$ 103/m. The actual cost of production wells including the cost of unsuccessful boreholes is summarized in Table 20.

Table 20: COST OF PRODUCTION DRILLED WELLS IN THE BASEMENT IN RELATION TO THE NATURE OF THE GEOLOGICAL FORMATION - WESTERN PART OF MALI (BURGEAP 1982a)

Nature of formation

Coefficient of success (%)

Average depth of productive well in m

Average cost of one production well in US$

Average cost of one metre of production well in US$

Granite

24.5

38

24 360

641

Schist

39

37

16 020

433

Kayes sandstone

55

46

15 540

337

Nara sandstone

33

40

16 720

418

Claystone

25

58

36 800

634

Tillite

55

47

15 940

339

Pelite (Kayes)

42

35

14 500

414

Pelite (Nara)

47

47

15 060

320

Dolerite

36

30

14 260

475

Notes:

- A well is considered as productive if it can deliver a minimum discharge of 1 m3/h under a stable drawdown.

- The cost figures were originally given in Malian Francs and have been converted to US$ by using a constant exchange rate (US$ 1 = 500 Malian Francs) for comparison purposes with other countries.

In Upper Volta a programme of 260 drilled wells was financed by the European Fund of Development. The cost of a production well, 50 m deep, drilled in basement hard rock from 20 m to total depth, amounted to CFA Francs 2,700 000 (end of 1981), including the cost of negative boreholes (35 percent rate of success). Assuming a rate of exchange of 210 CFA for US$ 1 in 1981, the unit cost of a production well was 257 US$/metre. In Mauritania a programme of 19 drilled wells for a total of 870 m was carried out in 1979 in Afollé region, at 600 km away from Nouakchott. The drilling of hard to very hard formation made it necessary to use the down-the-hole-hammer technique. The unit cost of a production well averaged 427 US$/m.

In continuous aquifers it is usually not necessary to drill a reconnaissance borehole before undertaking a production well (either drilled or dug); the probability of success of any well is high enough to take the risk of drilling or digging the production well directly. But in spite of the better probability of success, the unit cost of production well is usually higher than in the case of wells drilled in hard basement rocks, essentially for two reasons:

i. the wells are drilled by rotary method which requires a much heavier equipment as well as a sufficient water supply for preparing the mud. Since the well sites for watering livestock are usually located in remote areas of difficult access, the cost of transporting the drilling equipment and all necessary items (fuel, water, spare parts, etc.) becomes an important item in the budget of the well construction;

ii. the programmes of well drilling in rangeland areas are usually limited to the areas where the aquifer is deep and out of reach of hand dug wells. As a consequence of this limitation, the drilling programmes in continuous aquifers, usually include a small number of wells among which the high mobilization cost has to be shared.

In Mali, a programme of 10 wells 150 m deep and located 300 km away from Bamakowas was carried out in 1979-80. The wells were drilled in a clayer and sandy continental formation and their cost (1980) averaged 668 US$/m.

c. Well cistern associated with drilled well

The cost of a well cistern is simply the sum of the cost of the production drilled well and the cost of the dug well. As the production well and the well cistern will not be equally deep it is meaningless to indicate a cost per metre.

In Mali the figures adopted by a FAO team (Organisation des Nations Unies pour l'Alimentation et l'Agriculture 1983) in the preparation of the second phase of a Livestock Development Project in Mopti Region (ODEM) are summarized in Table 21.

Table 21: ESTIMATED COST OF A WELL CISTERN ASSOCIATED WITH A DRILLED WELL IN 1983 IN MALI (Exchange rate US$ 1 = 700 Malian Francs)

Description

Cost in Malian Francs

in US$

a. Drilled well (120 m deep) Successful production well

17 500 000

25 000

70% cost negative borehole

9 000 000

12 857

b. Well cistern (65 m deep) Digging, lining and connecting

32 500 000

46 428

Sub total

59 000 000

84 285

Contingencies (10%)

5 900 000

8 428

TOTAL

64 900 000

92 713

It should be noted however that the very high cost estimated in Table 21 may not be representative of an average situation since the well cistern is supposed to be dug in extremely hard basement rock.

6.6.2 Water lifting

a. Hand pumps

The most recent review of the existing hand and foot pumps is dated 1978 (BURGEAP 1978) and the prices - ex factory - collected in this study should be multiplied by a factor ranging from 1.5 to 2 to approximately correspond to the present prices. The pumps reviewed by BURGEAP were all designed for a piston setting depth of 30 m for comparison purposes. The main results of the study are given in Table 22.

Table 22: AVERAGE 1978 EX FACTORY PRICES OF HAND AND FOOT PUMPS

Type of pump (all pumps designed for 30 m pump setting depth)

Average 1978 ex factory price in US$

Piston pump hand operated through a level

680

Piston pump hand operated through wheel and handle

1800 to 2800

Piston pump foot operated with hydraulic transmission

800

b. Motor driven pumps

Motor driven pumps are usually imported and their actual cost including supply, transport, insurance, taxes and installation may be much higher than the price FOB claimed by the manufacturer. The following examples illustrate the price increase resulting from the various manipulations of the pumping equipment from the factory to the well site.

In Mauritania the African Fund of Development financed the equipment of pumping stations in pastoral areas. The wells had been previously drilled in the framework of a programme financed by the European Fund of Development. The pumps and engines were purchased in 1979 and installed on the wells in 1979-80. Detailed information is available on the cost of supply and installation of the equipment which consists of either vertical turbine pumps and diesel engines, or submersible pumps with generators.

A total of 25 pumping stations were equipped. A good correlation was established between the cost of pumps, engines or generators and the product pump discharge in m3/h by vertical lift in m. For comparison purposes the costs including supply and installation have been converted into US$ with an exchange rate of 46 UM for US$1 (approximately exchange rate in 1979).

The following symbols are used in the formulas:

Q = pump discharhe in m3/h
H = vertical lift in metres

For the vertical turbine pumps the costs including the installation are related to the product H x Q according to the following formulas:

Cost of pump in US$ = 0.85 x H x Q + 14 900
Cost of an engine in US$ = 0.75 x H x Q + 3790
Cost of a shelter in US$ = 13 200 (for one well)
Cost of the superstructure (tank, troughs) in US$ = 20 670 (for one well)

For the submersible pumps the following relations were established.

Cost of a pump in US$ = 1.3 x H x Q + 16 900
Cost of a generator in US$ = 2.3 x H x Q + 7340
Cost of a shelter in US$ = 13 200
Cost of the superstructure (tank, troughs) in US$ = 20 670

However it should be mentioned that in the particular case of the above equipment installed in Mauritania, the motors and the generators were oversized by a factor 2 to 3 and this may partly explain the excessive price of all this material when referred to the physical pumping conditions.

In Mali two wells were equipped in the framework of a Livestock Development Project in Mopti Region in order to experiment motor driven pumps for watering livestock in rangeland environment. Available figures expressed in Malian Francs do not include transport and installation and have been converted into US$ for comparison purposes on the basis of the average 1979-80 exchange rate (US$ 1 = 432 MF). A vertical turbine pump with a diesel engine capable of delivering 10 m3/h under 26 m head costs the equivalent of US$ 4900 in 1978. The same equipment with transport and installation would have cost US$ 19 100 according to the formulas established in Mauritania. A submersible pump (10 m3/h for a vertical head of 50m) with a power generator driven by a diesel engine costs the equivalent of US$ 9880 in 1978-79. The same equipment with transport and installation would have cost US$ 26,040 according to the formulas established in Mauritania.

The main purpose of these examples was to draw the attention of water project planners to the huge difference which may occur between the prices FOB of pumping equipment and the actual cost of the same equipment after all expenses (transport, insurance, taxes, installation) have been paid.

c. Wind powered pumps

FOB prices of windmills may also be very misleading since the actual cost of the equipment on the well site including tank construction, transport and installation may be much higher than the price claimed by the manufacturer. The following examples should therefore be considered with care if prices have to be extrapolated to real situations in remote areas of developing countries.

An Italian manufacturer offers windmills at 1984 prices indicated in Table 23 (prices in Italian Lire have been converted into US$ on the basis of the average 1984 exchange rate of US$ 1 = 1650 Italian Lire):

Table 23: PRICES (1984) FOB OF WINDMILLS PRODUCED IN ITALY (Tower height = 12 metres; pumping capacity is estimated for a vertical pumping lift of 15 m and an overall efficiency of the system (windmill, pump and transmission) of 15%)

Rotor diameter in m

Power in kW for an average windspeed of 6 m/s

Pumping capacity in m3/h

Price FOB in US$ (1984)

3.1

0.6

2

2 200

5

1.5

5

4 930

9

5.0

18

10 900

In Mali a windmill was purchased in 1977-78 in the framework of the already mentioned Livestock Development Project in Mopti Region. The windmill and pump cost the equivalent of US$ 7050; the installation alone costs the equivalent of US$ 3500.

d. Solar pumps

Technology is now clearly oriented towards photovoltaic/electrodynamic rather than thermodynamic transformation of the solar energy into mechanical energy. Therefore only costs of photovoltaic systems are examined here.

Consultants (Sir William Halcrow & Partners) working for the World Bank and funded by the UN Development Programme tested 12 pump/motor systems and 6 types of solar panels in 1982-83. Among the various systems tested, one category (20 m3/day output through 20 m design static head) may correspond to a livestock watering situation. Costs and results of the tests are thoroughly analysed in their reports as well as in a short note of World Water (World Water 1983); they are summarized in Table 24.

There is room for improvement of efficiency of the photovoltaic system (pump and motor) which will tend to decrease the cost related to unit solar energy taken as 5 kWh/m2/day by the UNDP/World Bank Consultants. The cost of solar cells is expected to decrease in the future mainly as an effect of volume increase in production. The prices indicated in Table 24 are FOB and in the case of installation of solar pumping unit in a remote area of Africa for example the transportation and installation cost together with taxes and miscellaneous expenses may possibly double the original supplier price.

Table 24: COSTS AND RESULTS OF SOLAR PUMPS TESTED AT SIR WILLIAM HALCROW 7 PARTNERS TESTING FACILITY

Supplier (country)

Complete system tender price FOB (US$ (1982)

Volume delivered in m3 for 5 kWh/m2/day at design static head

claimed

observed

Grundfos (Denmark)

13 360

20

33

Wm Lamb (USA)

14 470

15

16

Sofretes (France)

21 050

20

23

Trisolar Corp (USA)

25 500

23

19

6.7 Conclusion on groundwater development

Unless an important effort is made by developing countries to improve their maintenance capacity of mechanical and electrical devices, the traditional water drawing (possibly with animals) from large diameter wells (associated or not with drilled wells) is still and will likely remain for several years the most reliable way for supplying water to livestock in remote rangeland areas.

Cost of dug wells is usually high whichever approach has been chosen for their construction, either by contractors or by state organization. However, involvement o£ the users in well digging has proved to be an efficient way for lowering the cost of groundwater development in the case of village water supply. When the water users are constantly moving from one well to another, it is clearly difficult to get them involved in the construction works and well maintenance. Nevertheless in many African countries, stockbreeders tend now to organize themselves through associations or cooperatives which may be financially involved in groundwater development works. Properly guided, traditional well diggers may also contribute efficiently to lower the cost of well or well cistern construction.


Previous Page Top of Page Next Page