Previous Page Table of Contents Next Page


The effect of white clover on parameters of dry matter yield formation and quality changes during different growth periods

Barbara Wilhelmy and A. Kornher Department of Grass and Forage Science, Christian-Albrechts-University, W-24098 Kiel, Germany


Introduction
Materials and methods
Results
References


Introduction

The effect of white clover on dry matter yield and quality parameters at harvest date is well documented for grass/white clover swards (Frame and Boyd, 1987; Reid, 1972). Studies dealing with changes of quality parameters during growth, however, have been carried out mainly with pure swards of grass or clover (Harkess and Alexander, 1969; Kühbauch and Pletl, 1981). The main purpose of the presented project was to describe the pattern of dry matter yield formation and changes in quality parameters of mixed grass/white clover swards for successive growth periods during the season.

Materials and methods

Two sward types, pure grass swards and grass/white clover swards, with 28 % white clover in seeding mixture were established in 1987 on a well drained podzol. The experimental treatments included five nitrogen fertilizer levels (0, 120, 240, 360 and 480 kg N/ha/year) equal rates being applied to each cut. Swards were cut three times per year. Over a three years period samples were taken weekly to study yield formation and changes in crude protein content (CP) and in vitro digestibility of organic matter (IVDOM). Data were fitted to a growth function as developed by Boguslawski und Schneider (1964). These growth curves have been used to predict dry matter yield (DM-yield), maximum crop growth rate (C-max), maximum CP-content (CP-max), maximum IVDOM (IVDOM-max), maximum change rates of CP-content and IVDOM (CP-CHRmax, IVDOM-CHRmax), CP-content and IVDOM at the cutting date (CP-min, IVDOM-min) and the duration of the maximum change rates within a range of 90-100% of DM, CP and IVDOM.

Results

DM-yield increased with increasing fertilizer N rates in both sward types, mainly due to increasing crop growth rates. The duration of C-max was not affected by N fertilizer level. The N-response was lower in grass/white clover swards than in pure grass swards. The effect of white clover content on DM-yield was significant when N fertilizer input level was low (0-120 kg N/ha/year). No differences between the sward types were found with high N fertilizer rates applied (240-480 kg N/ha/year) (see Table 1).

Table 1: The effect of fertilizer M input level on parameters of growth and quality changes of grass/white clover swards (GC) and pure grass swards (G) (mean of 3 years and 3 cuts).

Nitrogen level [kg/ha/year]

0

120

240

360

480

sward type


G

GC

G

GC

G

GC

G

GC

G

GC

Parameter












DH-Yield

[t/ha/cut]

0.76

2.01

2.31

2.75

3.53

3.52

3.88

3.65

4.27

3.88

C-max

[g/m2/day]

2.59

6.58

7.30

7.65

10.47

10.54

12.26

10.58

13.69

12.40

Duration of C-max

[days]

16.50

15.17

14.50

16.14

14.86

15.81

15.17

16.11

15.33

15.58

CP-max

[%]

18.32

23.15

26.14

27.84

29.97

30.00

30.72

30.66

30.78

30.90

CP-min

[%]

12.24

16.82

10.07

12.95

11.53

12.14

12.88

14.04

15.09

15.27

CP-CHRmax

[%/day]

-0.21

-0.20

-0.59

-0.48

-0.59

-0.55

-0.49

-0.47

-0.40

-0.42

Duration of CP-CHRmax

[days]

8.67

13.33

8.67

11.67

11.78

12.22

15.89

14.33

18.78

18.00

IVDOM-max

[%]

78.33

77.60

79.18

79.28

78.82

79.07

78.69

78.92

79.08

79.42

IVDOM-min

[%]

69.33

70.56

70.78

70.11

70.11

70.44

69.56

70.44

70.00

68.89

IVDOM-CHRmax

[%/day]

-0.26

-0.23

-0.31

-0.30

-0.33

-0.28

-0.28

-0.32

-0.31

-0.38

Duration of IVDOM-CHRmax

[days]

11.44

13.89

9.00

11.22

10.00

11.78

14.33

10.44

14.00

13.00

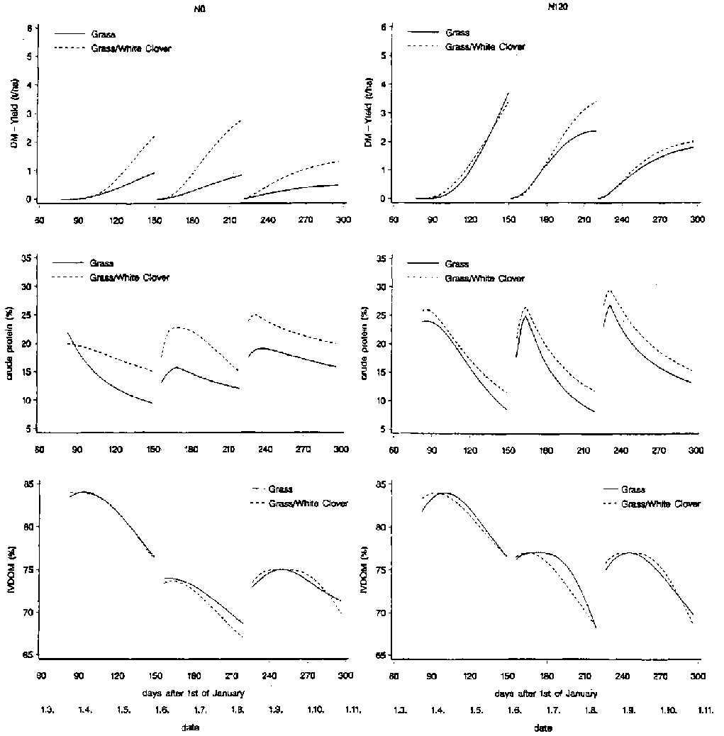
N-fertilization increased the level of CP-max and CP-min in both sward types and decreased CP-CHRmax. Thus CHRmax was more affected by fertilizer N level than by sward type. It was lowest with no nitrogen applied and over all growth periods not affected by clover content. The effect of clover varies with growth period (see Figure 1). This is sustained by the changes in clover content during the season which is shown in Figure 2 for the different fertilizer N input levels. The differences in duration of CP-CHRmax between the swards were effected by the clover content. Concerning IVDOM neither IVDOM-max nor IVDOM-min were affected by the clover content. Fertilizer N input showed little effect on IVDOM-CHRmax and the duration of IVDOM-CHRmax. Change rate was lowest and duration increased with no fertilizer N applied.

The main effect of clover on dry matter yield and quality parameters was found in the second growth in June and July, when there are best environmental conditions for the growth of clover (see Figure 1). For all nitrogen treatments highest level of IVDOM-max and IVDOM-min was found in primary growth whereas in the regrowth periods levels were lower. IVDOM was lowest in the second cut in grass/white clover sward with no nitrogen applied, because clover was flowering.

Fig. 1: Effect of fertilizer N input level (0-, 120 kg N/ha/year) on development of DM-yield, crude protein content and IVDOM in a 3 cutting system.

Fig. 2: White clover content (% i. DM) as effected by fertilizer N-Level and growth period (Bean of 3 years)

References

von BOGUSLAWSKI, E. v. and SCHNEIDER, B. (1962): Die dritte Annaherung des Ertragsgesetzes. 1. Mitteilung. Zeitschrift fur Acker-und Pflanzenbau. 114. 221-236.

FRAME, J. and BOYD, A. G. (1987): The effect of fertilizer nitrogen rate, clover variety and closeness of cutting on herbage productivity from perennial ryegrass/white clover swards. Grass and Forage Sience, 42, 85-96. HARKESS, R. D. and ALEXANDER, R. H. (1969): The digestibility and productivity of selected herbage varieties. Journal of British Grassland Society, 24, 282-2.89.

KÜHBAUCH, [%]. and PLETL, L. (1981): Berechnung der Futterqualität bei Weißklee, Rotklee und Luzerne nach morphologischen Kriterien und/oder aus Pflanzeninhaltsstoffen. Journal of Agronomy &. Crop Science. 150. 271-280.

REID, D. (1983): The combined use of fertilizer nitrogen and white clover as nitrogen sources for herbage growth. Journal of Agricultural Science. Cambridge. 100. 613-623.


Previous Page Top of Page Next Page