Previous Page Table of Contents Next Page


The effect of fertilizer nitrogen application in spring and/or autumn on the production from a perennial ryegrass/white clover sward

J. Frame

Ard Choille, 13 St Vincent Crescent, Ayr KA7 4QW, Scotland

Introduction
Materials and methods
Results
Discussion
References

Introduction

The use of strategic applications of fertilizer N to grass/white clover swards has been advocated in order to increase herbage production from the grass component yet minimize the adverse effects on the clover component. For example, Laidlaw (1980) tested this premise using spring application of N and concluded that moderate amounts (50-60 kg N ha-1) fulfilled the objective provided there was sufficient clover in the sward to be able to recover from the setback. This paper presents data from harvest years 4 and 5 of an experiment involving a grass/clover sward given a range of N rates applied in spring only, in autumn only and in both spring and autumn. The results from the first three years were previously reported by Frame and Boyd (1987).

Materials and methods

The seed mixture sown was 10 kg ha-1 each of Barlano diploid and Bastion tetraploid perennial ryegrass and 2 kg ha-1 each of Donna and Aran white clover. A randomised-block design with four replications of sixteen treatment plots, each 5 m × 1.5 m, was used. The treatments each harvest year comprised 0,25, 50 and 75 kg ha applied in spring (March) only, autumn (August) only and in all combinations of these rates and times. Annually in March, 175 kg ha-1 each of P2O5 and K2O were applied to the plots and a further 175 kg ha-1 K2O given in mid season,. The plots were cut in early May, late May, late June, late July, late August and mid October each year. Sub-samples were taken at all harvests for separation into constituent species and for DM, in vitro OMD and N determinations.

Results

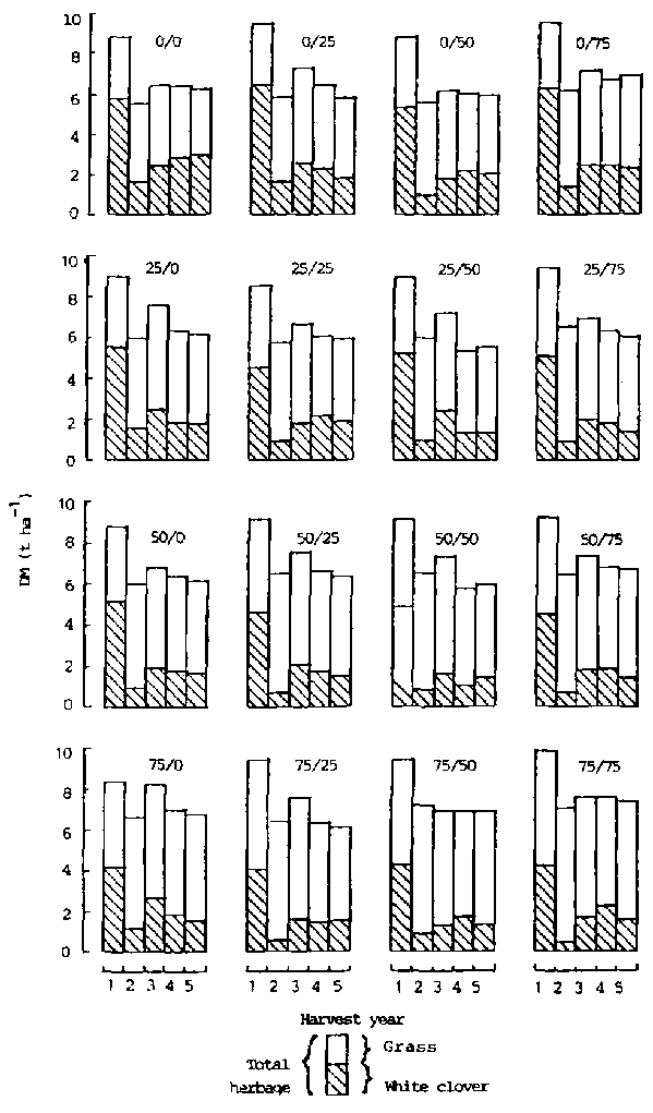
Nitrogen application rate did not affect total herbage DM, DOM or N yields significantly in years 4 and 5 though there were significant increases from spring N in the dry year 2 (297 mm rainfall from April to September). Figure 1 shows herbage DM. yields each year for all treatments and Table 1 shows mean annual 5-year data.

Annual clover DM was not significantly affected by N application in years 4 and 5, though it was reduced by spring N in years 1 and 2 and by autumn N in year 3. However, over the 5 years mean annual Clover DM was reduced by 17.6, 17.4 and 11.7 kg DM per kg N at the 25, 50 and 75 kg ha-1 spring N rates, respectively, by 8.8, 13.4 and 2.4 kg DM for equivalent autumn N rates and for these rates applied in both spring and autumn, 18.0, 11.5 and 7.5 kg DM; decreases from the spring N plus autumn N combinations were always greater with 'high-low' spring N plus autumn N combinations than 'low-high'.

Figure 1. Annual DM production of total herbage and white clover over five years for all treatments; (0/0, 0/25 etc represent spring N/autumn N rates in kg ha-1).

Figure 2. Seasonal white clover contents (5-year means) for all treatments (0/0, 0/25 etc represent spring N/autumn N rates in kg ha-1)

Table 1. Yield and quality data (5-year means)



DM
(t ha-1)

OMD
(%)

N
g (kg DM)-1

Clover DM
(t ha-1)

Clover
(%)

Spring N (kg ha-1)

0

6.95

78.0

29.3

2.94

39.3

25

6.85

78.2

27.9

2.43

31.5

50

7.14

78.5

27.7

2.21

27.7

75

7.55

78.6

25.3

2.08

25.1

SED

0.263

0.13

3.45

0.169

1.63

Sig.

NS

+++

+++

+++

+++

Autumn N(kg ha-1)

0

7.10

78.3

28.6

2.66

35.2

25

7.03

78.4

28.1

2.36

30.2

50

6.92

78.2

27.8

2.24

28.8

75

7.43

78.4

28.6

2.40

25.5

SED

0.263

0.13

0.45

0.169

1.63

Sig.

NS

NS

NS

NS

++

Over all treatments, total herbage OMD values for the 5 years in succession (78.6, 78.0, 78.1, 77.8 and 79.1) did not differ markedly. Mean values for successive cuts were 83.6, 80.5, 76.6, 73.8 and 79.1. Annual N concentrations were significantly affected by spring N rate in year 4 (as in years 1 and 2) and generally were highest with the 0 and 75 kg ha-1 N rates. Over the 5 years mean annual N concentrations in the total herbage DM were 29.3, 27.9, 27.7 and 28.3 g (kg DM)-1) for the 0.25, 50 and 75 kg ha-1 spring rates, respectively. Nitrogen concentration increased at the first cut as the N rate increased but at cuts 2 to 5, the highest N concentration was always from treatments which did not receive spring N, and there was little difference among treatments given spring N. Autumn N did not increase N concentration relative to no N.

Increasing N rate in spring gave increased grass DM yield each year, mainly at first cuts. Clover DM was reduced but N rate did not have a marked effect. The 5-year mean DM responses of total herbage to progressively increasing N rates, using first cut yields, were 11.2, 9.0 and 10.4 kg DM per kg N, while corresponding responses to autumn N, using sixth cut yields, were 4.0, 5.6 and 6.7 kg DM. Increasing spring N reduced clover content each year, but this only occurred in year 2 from autumn N. Spring N and autumn N combinations reduced clover content more than N at one time only. The 5-year mean seasonal contents of clover are shown in Figure 2.

Discussion

Strategic rather than repetitive N application is a way of temporarily increasing total herbage from mixed swards via increased grass production while minimizing the adverse effect on the clover component. Clover content and yield can recover from moderate N rates provided there is a sufficient clover base, as occurred in this experiment. Autumn N had a less depressive effect on clover than spring N, but the grass response to autumn N was lower too. By year 5, the annual clover content was 50% compared with 26% when 75 kg ha-1 N was applied in both spring and autumn. The low contents in spring, even with no applied N, demonstrates the need for new clover varieties capable of growth at low temperatures.

All added N is boosting the soil N pool and helping to tip the balance against clover in the successional cycle of the mixed sward, the disadvantage to clover being in less stolon branching and fewer growing points than in the ability of the foliage to compete for light (Davies, 1992). It has also to be borne in mind that in practice clover contents will often be less than in the experiment because of factors such as excretal N return, trampling, perhaps selective grazing e.g. with sheep and less attention to soil fertility (Frame and Newbould, 1986) and so the adverse effect of any N application could be relatively greater. An obvious alternative for periods such as spring, when increased herbage yield is required, is the use of separate N-fertilized grass swards. The grass/clover sward could then still be managed for grazing and/or cutting but without the complexity caused by fertilizer N application.

References

DAVIES, A. (1992) White Clover. Biologist, 39, 129-133.

FRAME, J. and BOYD, A.G. (1987). The effect of strategic use of fertilizer nitrogen in spring and/or autumn on the productivity of a perennial ryegrass/white clover sward. Grass and Forage Science, 42, 429-438.

FRAME, J. and NEWBOULD, P. (1986). Agronomy of White Clover. Advances in Agronomy, 40, 1-88.

LAIDLAW, A.S. (1980). The effects of fertilizer nitrogen applied in swards of ryegrass sown with four cultivars of white clover. Grass and Forage Science, 35, 295-299.


Previous Page Top of Page Next Page