Previous Page Table of Contents Next Page


Chapter 6 - Investment decisions - Capital budgeting


Chapter objectives
Structure of the chapter
Capital budgeting versus current expenditures
The classification of investment projects
The economic evaluation of investment proposals
Net present value vs internal rate of return
Allowing for inflation
Key terms

Capital budgeting is vital in marketing decisions. Decisions on investment, which take time to mature, have to be based on the returns which that investment will make. Unless the project is for social reasons only, if the investment is unprofitable in the long run, it is unwise to invest in it now.

Often, it would be good to know what the present value of the future investment is, or how long it will take to mature (give returns). It could be much more profitable putting the planned investment money in the bank and earning interest, or investing in an alternative project.

Typical investment decisions include the decision to build another grain silo, cotton gin or cold store or invest in a new distribution depot. At a lower level, marketers may wish to evaluate whether to spend more on advertising or increase the sales force, although it is difficult to measure the sales to advertising ratio.

Chapter objectives

This chapter is intended to provide:

· An understanding of the importance of capital budgeting in marketing decision making

· An explanation of the different types of investment project

· An introduction to the economic evaluation of investment proposals

· The importance of the concept and calculation of net present value and internal rate of return in decision making

· The advantages and disadvantages of the payback method as a technique for initial screening of two or more competing projects.

Structure of the chapter

Capital budgeting is very obviously a vital activity in business. Vast sums of money can be easily wasted if the investment turns out to be wrong or uneconomic. The subject matter is difficult to grasp by nature of the topic covered and also because of the mathematical content involved. However, it seeks to build on the concept of the future value of money which may be spent now. It does this by examining the techniques of net present value, internal rate of return and annuities. The timing of cash flows are important in new investment decisions and so the chapter looks at this "payback" concept. One problem which plagues developing countries is "inflation rates" which can, in some cases, exceed 100% per annum. The chapter ends by showing how marketers can take this in to account.

Capital budgeting versus current expenditures

A capital investment project can be distinguished from current expenditures by two features:

a) such projects are relatively large
b) a significant period of time (more than one year) elapses between the investment outlay and the receipt of the benefits..

As a result, most medium-sized and large organisations have developed special procedures and methods for dealing with these decisions. A systematic approach to capital budgeting implies:

a) the formulation of long-term goals

b) the creative search for and identification of new investment opportunities

c) classification of projects and recognition of economically and/or statistically dependent proposals

d) the estimation and forecasting of current and future cash flows

e) a suitable administrative framework capable of transferring the required information to the decision level

f) the controlling of expenditures and careful monitoring of crucial aspects of project execution

g) a set of decision rules which can differentiate acceptable from unacceptable alternatives is required.

The last point (g) is crucial and this is the subject of later sections of the chapter.

The classification of investment projects

a) By project size

Small projects may be approved by departmental managers. More careful analysis and Board of Directors' approval is needed for large projects of, say, half a million dollars or more.

b) By type of benefit to the firm

· an increase in cash flow
· a decrease in risk
· an indirect benefit (showers for workers, etc).

c) By degree of dependence

· mutually exclusive projects (can execute project A or B, but not both)
· complementary projects: taking project A increases the cash flow of project B.
· substitute projects: taking project A decreases the cash flow of project B.

d) By degree of statistical dependence

· Positive dependence
· Negative dependence
· Statistical independence.

e) By type of cash flow

· Conventional cash flow: only one change in the cash flow sign

e.g. -/++++ or +/----, etc

· Non-conventional cash flows: more than one change in the cash flow sign,

e.g. +/-/+++ or -/+/-/++++, etc.

The economic evaluation of investment proposals

The analysis stipulates a decision rule for:

I) accepting or
II) rejecting

investment projects

The time value of money

Recall that the interaction of lenders with borrowers sets an equilibrium rate of interest. Borrowing is only worthwhile if the return on the loan exceeds the cost of the borrowed funds. Lending is only worthwhile if the return is at least equal to that which can be obtained from alternative opportunities in the same risk class.

The interest rate received by the lender is made up of:

i) The time value of money: the receipt of money is preferred sooner rather than later. Money can be used to earn more money. The earlier the money is received, the greater the potential for increasing wealth. Thus, to forego the use of money, you must get some compensation.

ii) The risk of the capital sum not being repaid. This uncertainty requires a premium as a hedge against the risk, hence the return must be commensurate with the risk being undertaken.

iii) Inflation: money may lose its purchasing power over time. The lender must be compensated for the declining spending/purchasing power of money. If the lender receives no compensation, he/she will be worse off when the loan is repaid than at the time of lending the money.

a) Future values/compound interest

Future value (FV) is the value in dollars at some point in the future of one or more investments.

FV consists of:

i) the original sum of money invested, and
ii) the return in the form of interest.

The general formula for computing Future Value is as follows:

FVn = Vo (l + r)n

where

Vo is the initial sum invested
r is the interest rate
n is the number of periods for which the investment is to receive interest.

Thus we can compute the future value of what Vo will accumulate to in n years when it is compounded annually at the same rate of r by using the above formula.

Now attempt exercise 6.1.

Exercise 6.1 Future values/compound interest

i) What is the future value of $10 invested at 10% at the end of 1 year?
ii) What is the future value of $10 invested at 10% at the end of 5 years?

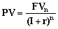
We can derive the Present Value (PV) by using the formula:

FVn = Vo (I + r)n

By denoting Vo by PV we obtain:

FVn = PV (I + r)n

by dividing both sides of the formula by (I + r)n we derive:

Rationale for the formula:

As you will see from the following exercise, given the alternative of earning 10% on his money, an individual (or firm) should never offer (invest) more than $10.00 to obtain $11.00 with certainty at the end of the year.

Now attempt exercise 6.2

Exercise 6.2 Present value

i) What is the present value of $11.00 at the end of one year?
ii) What is the PV of $16.10 at the end of 5 years?

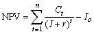
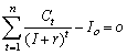
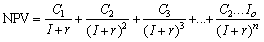
b) Net present value (NPV)

The NPV method is used for evaluating the desirability of investments or projects.

where:

Ct = the net cash receipt at the end of year t
Io = the initial investment outlay
r = the discount rate/the required minimum rate of return on investment
n = the project/investment's duration in years.

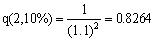
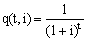
The discount factor r can be calculated using:

Examples:

N.B. At this point the tutor should introduce the net present value tables from any recognised published source. Do that now.

Decision rule:

If NPV is positive (+): accept the project
If NPV is negative(-): reject the project

Now attempt exercise 6.3.

Exercise 6.3 Net present value

A firm intends to invest $1,000 in a project that generated net receipts of $800, $900 and $600 in the first, second and third years respectively. Should the firm go ahead with the project?

Attempt the calculation without reference to net present value tables first.

c) Annuities

N.B. Introduce students to annuity tables from any recognised published source.

A set of cash flows that are equal in each and every period is called an annuity.

Example:

Year

Cash Flow ($)

0

-800

1

400

2

400

3

400

PV = $400(0.9091) + $400(0.8264) + $400(0.7513)

= $363.64 + $330.56 + $300.52

= $994.72

NPV = $994.72 - $800.00

= $194.72

Alternatively,

PV of an annuity = $400 (PVFAt.i) (3,0,10)

= $400 (0.9091 + 0.8264 + 0.7513)

= $400 x 2.4868

= $994.72

NPV = $994.72 - $800.00

= $194.72

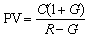
d) Perpetuities

A perpetuity is an annuity with an infinite life. It is an equal sum of money to be paid in each period forever.

where:

C is the sum to be received per period
r is the discount rate or interest rate

Example:

You are promised a perpetuity of $700 per year at a rate of interest of 15% per annum. What price (PV) should you be willing to pay for this income?

= $4,666.67

A perpetuity with growth:

Suppose that the $700 annual income most recently received is expected to grow by a rate G of 5% per year (compounded) forever. How much would this income be worth when discounted at 15%?

Solution:

Subtract the growth rate from the discount rate and treat the first period's cash flow as a perpetuity.

= $735/0.10

= $7,350

e) The internal rate of return (IRR)

Refer students to the tables in any recognised published source.

· The IRR is the discount rate at which the NPV for a project equals zero. This rate means that the present value of the cash inflows for the project would equal the present value of its outflows.

· The IRR is the break-even discount rate.

· The IRR is found by trial and error.

where r = IRR

IRR of an annuity:

where:

Q (n,r) is the discount factor
Io is the initial outlay
C is the uniform annual receipt (C1 = C2 =....= Cn).

Example:

What is the IRR of an equal annual income of $20 per annum which accrues for 7 years and costs $120?

= 6

From the tables = 4%

Economic rationale for IRR:

If IRR exceeds cost of capital, project is worthwhile, i.e. it is profitable to undertake. Now attempt exercise 6.4

Exercise 6.4 Internal rate of return

Find the IRR of this project for a firm with a 20% cost of capital:

YEAR

CASH FLOW


$

0

-10,000

1

8,000

2

6,000

a) Try 20%
b) Try 27%
c) Try 29%

Net present value vs internal rate of return

Independent vs dependent projects

NPV and IRR methods are closely related because:

i) both are time-adjusted measures of profitability, and
ii) their mathematical formulas are almost identical.

So, which method leads to an optimal decision: IRR or NPV?

a) NPV vs IRR: Independent projects

Independent project: Selecting one project does not preclude the choosing of the other.

With conventional cash flows (-|+|+) no conflict in decision arises; in this case both NPV and IRR lead to the same accept/reject decisions.

Figure 6.1 NPV vs IRR Independent projects

If cash flows are discounted at k1, NPV is positive and IRR > k1: accept project.

If cash flows are discounted at k2, NPV is negative and IRR < k2: reject the project.

Mathematical proof: for a project to be acceptable, the NPV must be positive, i.e.

Similarly for the same project to be acceptable:

where R is the IRR.

Since the numerators Ct are identical and positive in both instances:

· implicitly/intuitively R must be greater than k (R > k);
· If NPV = 0 then R = k: the company is indifferent to such a project;
· Hence, IRR and NPV lead to the same decision in this case.

b) NPV vs IRR: Dependent projects

NPV clashes with IRR where mutually exclusive projects exist.

Example:

Agritex is considering building either a one-storey (Project A) or five-storey (Project B) block of offices on a prime site. The following information is available:


Initial Investment Outlay

Net Inflow at the Year End

Project A

-9,500

11,500

Project B

-15,000

18,000

Assume k = 10%, which project should Agritex undertake?

= $954.55

= $1,363.64

Both projects are of one-year duration:

IRRA:

$11,500 = $9,500 (1 +RA)

= 1.21-1

therefore IRRA = 21%

IRRB:

$18,000 = $15,000(1 + RB)

= 1.2-1

therefore IRRB = 20%

Decision:

Assuming that k = 10%, both projects are acceptable because:

NPVA and NPVB are both positive
IRRA > k AND IRRB > k

Which project is a "better option" for Agritex?

If we use the NPV method:

NPVB ($1,363.64) > NPVA ($954.55): Agritex should choose Project B.

If we use the IRR method:

IRRA (21%) > IRRB (20%): Agritex should choose Project A. See figure 6.2.

Figure 6.2 NPV vs IRR: Dependent projects

Up to a discount rate of ko: project B is superior to project A, therefore project B is preferred to project A.

Beyond the point ko: project A is superior to project B, therefore project A is preferred to project B

The two methods do not rank the projects the same.

Differences in the scale of investment

NPV and IRR may give conflicting decisions where projects differ in their scale of investment. Example:

Years

0

1

2

3

Project A

-2,500

1,500

1,500

1,500

Project B

-14,000

7,000

7,000

7,000

Assume k= 10%.

NPVA = $1,500 x PVFA at 10% for 3 years
= $1,500 x 2.487
= $3,730.50 - $2,500.00
= $1,230.50.

NPVB == $7,000 x PVFA at 10% for 3 years
= $7,000 x 2.487
= $17,409 - $14,000
= $3,409.00.

IRRA =

= 1.67.

Therefore IRRA = 36% (from the tables)

IRRB =

= 2.0

Therefore IRRB = 21%

Decision:

Conflicting, as:

· NPV prefers B to A
· IRR prefers A to B


NPV

IRR

Project A

$ 3,730.50

36%

Project B

$17,400.00

21%

See figure 6.3.

Figure 6.3 Scale of investments

To show why:

i) the NPV prefers B, the larger project, for a discount rate below 20%

ii) the NPV is superior to the IRR

a) Use the incremental cash flow approach, "B minus A" approach
b) Choosing project B is tantamount to choosing a hypothetical project "B minus A".


0

1

2

3

Project B

- 14,000

7,000

7,000

7,000

Project A

- 2,500

1,500

1,500

1,500

"B minus A"

- 11,500

5,500

5,500

5,500

IRR"B Minus A"

= 2.09

= 20%

c) Choosing B is equivalent to: A + (B - A) = B

d) Choosing the bigger project B means choosing the smaller project A plus an additional outlay of $11,500 of which $5,500 will be realised each year for the next 3 years.

e) The IRR"B minus A" on the incremental cash flow is 20%.

f) Given k of 10%, this is a profitable opportunity, therefore must be accepted.

g) But, if k were greater than the IRR (20%) on the incremental CF, then reject project.

h) At the point of intersection,

NPVA = NPVB or NPVA - NPVB = 0, i.e. indifferent to projects A and B.

i) If k = 20% (IRR of "B - A") the company should accept project A.

· This justifies the use of NPV criterion.

Advantage of NPV:

· It ensures that the firm reaches an optimal scale of investment.

Disadvantage of IRR:

· It expresses the return in a percentage form rather than in terms of absolute dollar returns, e.g. the IRR will prefer 500% of $1 to 20% return on $100. However, most companies set their goals in absolute terms and not in % terms, e.g. target sales figure of $2.5 million.

The timing of the cash flow

The IRR may give conflicting decisions where the timing of cash flows varies between the 2 projects.

Note that initial outlay Io is the same.


0

1

2

Project A

- 100

20

125.00

Project B

- 100

100

31.25

"A minus B"

0

- 80

88.15

Assume k = 10%


NPV

IRR

Project A

17.3

20.0%

Project B

16.7

25.0%

"A minus B"

0.6

10.9%

IRR prefers B to A even though both projects have identical initial outlays. So, the decision is to accept A, that is B + (A - B) = A. See figure 6.4.

Figure 6.4 Timing of the cash flow

The horizon problem

NPV and IRR rankings are contradictory. Project A earns $120 at the end of the first year while project B earns $174 at the end of the fourth year.


0

1

2

3

4

Project A

-100

120

-

-

-

Project B

-100

-

-

-

174

Assume k = 10%


NPV

IRR

Project A

9

20%

Project B

19

15%

Decision:

NPV prefers B to A
IRR prefers A to B.

The profitability index - PI

This is a variant of the NPV method.

Decision rule:

PI > 1; accept the project
PI < 1; reject the project

If NPV = 0, we have:

NPV = PV - Io = 0
PV = Io

Dividing both sides by Io we get:

PI of 1.2 means that the project's profitability is 20%. Example:


PV of CF

Io

PI

Project A

100

50

2.0

Project B

1,500

1,000

1.5

Decision:

Choose option B because it maximises the firm's profitability by $1,500.

Disadvantage of PI:

Like IRR it is a percentage and therefore ignores the scale of investment.

The payback period (PP)

The CIMA defines payback as 'the time it takes the cash inflows from a capital investment project to equal the cash outflows, usually expressed in years'. When deciding between two or more competing projects, the usual decision is to accept the one with the shortest payback.

Payback is often used as a "first screening method". By this, we mean that when a capital investment project is being considered, the first question to ask is: 'How long will it take to pay back its cost?' The company might have a target payback, and so it would reject a capital project unless its payback period were less than a certain number of years.

Example 1:

Years

0

1

2

3

4

5

Project A

1,000,000

250,000

250,000

250,000

250,000

250,000

For a project with equal annual receipts:

= 4 years

Example 2:

Years

0

1

2

3

4

Project B

- 10,000

5,000

2,500

4,000

1,000

Payback period lies between year 2 and year 3. Sum of money recovered by the end of the second year

= $7,500, i.e. ($5,000 + $2,500)

Sum of money to be recovered by end of 3rd year

= $10,000 - $7,500

= $2,500

= 2.625 years

Disadvantages of the payback method:

· It ignores the timing of cash flows within the payback period, the cash flows after the end of payback period and therefore the total project return.

· It ignores the time value of money. This means that it does not take into account the fact that $1 today is worth more than $1 in one year's time. An investor who has $1 today can either consume it immediately or alternatively can invest it at the prevailing interest rate, say 30%, to get a return of $1.30 in a year's time.

· It is unable to distinguish between projects with the same payback period.

· It may lead to excessive investment in short-term projects.

Advantages of the payback method:

· Payback can be important: long payback means capital tied up and high investment risk. The method also has the advantage that it involves a quick, simple calculation and an easily understood concept.

The accounting rate of return - (ARR)

The ARR method (also called the return on capital employed (ROCE) or the return on investment (ROI) method) of appraising a capital project is to estimate the accounting rate of return that the project should yield. If it exceeds a target rate of return, the project will be undertaken.

Note that net annual profit excludes depreciation.

Example:

A project has an initial outlay of $1 million and generates net receipts of $250,000 for 10 years.

Assuming straight-line depreciation of $100,000 per year:

= 15%

= 30%

Disadvantages:

· It does not take account of the timing of the profits from an investment.

· It implicitly assumes stable cash receipts over time.

· It is based on accounting profits and not cash flows. Accounting profits are subject to a number of different accounting treatments.

· It is a relative measure rather than an absolute measure and hence takes no account of the size of the investment.

· It takes no account of the length of the project.

· it ignores the time value of money.

The payback and ARR methods in practice

Despite the limitations of the payback method, it is the method most widely used in practice. There are a number of reasons for this:

· It is a particularly useful approach for ranking projects where a firm faces liquidity constraints and requires fast repayment of investments.

· It is appropriate in situations where risky investments are made in uncertain markets that are subject to fast design and product changes or where future cash flows are particularly difficult to predict.

· The method is often used in conjunction with NPV or IRR method and acts as a first screening device to identify projects which are worthy of further investigation.

· it is easily understood by all levels of management.

· It provides an important summary method: how quickly will the initial investment be recouped?

Now attempt exercise 6.5.

Exercise 6.5 Payback and ARR

Delta Corporation is considering two capital expenditure proposals. Both proposals are for similar products and both are expected to operate for four years. Only one proposal can be accepted.

The following information is available:

Profit/(loss)

 

Proposal A

Proposal B

$

$

Initial investment

46,000

46,000

Year 1

6,500

4,500

Year 2

3,500

2,500

Year 3

13,500

4,500

Year 4

Loss 1,500

Profit 14,500

Estimated scrap value at the end of Year 4

4,000

4,000

Depreciation is charged on the straight line basis. Problem:

a) Calculate the following for both proposals:

i) the payback period to one decimal place
ii) the average rate of return on initial investment, to one decimal place.

Allowing for inflation

So far, the effect of inflation has not been considered on the appraisal of capital investment proposals. Inflation is particularly important in developing countries as the rate of inflation tends to be rather high. As inflation rate increases, so will the minimum return required by an investor. For example, one might be happy with a return of 10% with zero inflation, but if inflation was 20%, one would expect a much greater return.

Example:

Keymer Farm is considering investing in a project with the following cash flows:


TIME

ACTUAL CASH FLOWS

Z$

0

(100,000)

1

90,000

2

80,000

3

70,000

Keymer Farm requires a minimum return of 40% under the present conditions. Inflation is currently running at 30% a year, and this is expected to continue indefinitely. Should Keymer Farm go ahead with the project?

Let us take a look at Keymer Farm's required rate of return. If it invested $10,000 for one year on 1 January, then on 31 December it would require a minimum return of $4,000. With the initial investment of $10,000, the total value of the investment by 31 December must increase to $14,000. During the year, the purchasing value of the dollar would fall due to inflation. We can restate the amount received on 31 December in terms of the purchasing power of the dollar at 1 January as follows:

Amount received on 31 December in terms of the value of the dollar at 1 January:

= $10,769

In terms of the value of the dollar at 1 January, Keymer Farm would make a profit of $769 which represents a rate of return of 7.69% in "today's money" terms. This is known as the real rate of return. The required rate of 40% is a money rate of return (sometimes known as a nominal rate of return). The money rate measures the return in terms of the dollar, which is falling in value. The real rate measures the return in constant price level terms.

The two rates of return and the inflation rate are linked by the equation:

(1 + money rate) = (1 + real rate) x (1 + inflation rate)

where all the rates are expressed as proportions.

In the example,

(1 + 0.40) = (1 + 0.0769) x (1 + 0.3)

= 1.40

So, which rate is used in discounting? As a rule of thumb:

a) If the cash flows are expressed in terms of actual dollars that will be received or paid in the future, the money rate for discounting should be used.

b) If the cash flows are expressed in terms of the value of the dollar at time 0 (i.e. in constant price level terms), the real rate of discounting should be used.

In Keymer Farm's case, the cash flows are expressed in terms of the actual dollars that will be received or paid at the relevant dates. Therefore, we should discount them using the money rate of return.

TIME

CASH FLOW

DISCOUNT FACTOR

PV

$

40%

$

0

(150,000)

1.000

(100,000)

1

90,000

0.714

64,260

2

80,000

0.510

40,800

3

70,000

0.364

25,480




30,540

The project has a positive net present value of $30,540, so Keymer Farm should go ahead with the project.

The future cash flows can be re-expressed in terms of the value of the dollar at time 0 as follows, given inflation at 30% a year:

TIME

ACTUAL CASH FLOW

CASH FLOW AT TIME 0 PRICE LEVEL

$

$

0

(100,000)

(100,000)


1

90,000

69,231

2

80,000

47,337

3

70,000

31,862

The cash flows expressed in terms of the value of the dollar at time 0 can now be discounted using the real value of 7.69%.

TIME

CASH FLOW

DISCOUNT FACTOR

PV

$

7.69%

$

0

(100,000)

1.000

(100,000)

1

69,231

64,246

2

47,337

40,804

3

31,862

25,490




30,540

The NPV is the same as before.

Expectations of inflation and the effects of inflation

When a manager evaluates a project, or when a shareholder evaluates his/her investments, he/she can only guess what the rate of inflation will be. These guesses will probably be wrong, at least to some extent, as it is extremely difficult to forecast the rate of inflation accurately. The only way in which uncertainty about inflation can be allowed for in project evaluation is by risk and uncertainty analysis.

Inflation may be general, that is, affecting prices of all kinds, or specific to particular prices. Generalised inflation has the following effects:

a) Inflation will mean higher costs and higher selling prices. It is difficult to predict the effect of higher selling prices on demand. A company that raises its prices by 30%, because the general rate of inflation is 30%, might suffer a serious fall in demand.

b) Inflation, as it affects financing needs, is also going to affect gearing, and so the cost of capital.

c) Since fixed assets and stocks will increase in money value, the same quantities of assets must be financed by increasing amounts of capital. If the future rate of inflation can be predicted with some degree of accuracy, management can work out how much extra finance the company will need and take steps to obtain it, e.g. by increasing retention of earnings, or borrowing.

However, if the future rate of inflation cannot be predicted with a certain amount of accuracy, then management should estimate what it will be and make plans to obtain the extra finance accordingly. Provisions should also be made to have access to 'contingency funds' should the rate of inflation exceed expectations, e.g. a higher bank overdraft facility might be arranged should the need arise.

Many different proposals have been made for accounting for inflation. Two systems known as "Current purchasing power" (CPP) and "Current cost accounting" (CCA) have been suggested.

CPP is a system of accounting which makes adjustments to income and capital values to allow for the general rate of price inflation.

CCA is a system which takes account of specific price inflation (i.e. changes in the prices of specific assets or groups of assets), but not of general price inflation. It involves adjusting accounts to reflect the current values of assets owned and used.

At present, there is very little measure of agreement as to the best approach to the problem of 'accounting for inflation'. Both these approaches are still being debated by the accountancy bodies.

Now attempt exercise 6.6.

Exercise 6.6 Inflation

TA Holdings is considering whether to invest in a new product with a product life of four years. The cost of the fixed asset investment would be $3,000,000 in total, with $1,500,000 payable at once and the rest after one year. A further investment of $600,000 in working capital would be required.

The management of TA Holdings expect all their investments to justify themselves financially within four years, after which the fixed asset is expected to be sold for $600,000.

The new venture will incur fixed costs of $1,040,000 in the first year, including depreciation of $400,000. These costs, excluding depreciation, are expected to rise by 10% each year because of inflation. The unit selling price and unit variable cost are $24 and $12 respectively in the first year and expected yearly increases because of inflation are 8% and 14% respectively. Annual sales are estimated to be 175,000 units.

TA Holdings money cost of capital is 28%.

Is the product worth investing in?

Key terms

Accounting rate of return
Annuities
Capital budgeting
Cash flow
Classification of investment projects
Compound interest
Current cost accounting (CCA)
Current purchasing power (CPP)
Dependent projects
Independent projects
Inflation
Interest rate
Internal rate of return
Investment decision
Net present value
Payback period
Perpetuity
Present value
Rates of return
The time value of money


Previous Page Top of Page Next Page