Previous Page Table of Contents Next Page


Chapter 5: Identifying Market Opportunities Through Marketing Information Systems And Research


Chapter Objectives
Structure Of The Chapter
Elements of the information system
Sources of global information
Chapter Summary
Key Terms
Review Question
Review Question Answers
References

Having looked at the major elements in the international marketing environment, this section is concerned with identifying market opportunities. For many agricultural products which are exported from African countries much of this involves the use of "outsiders" - agents, for example, who know the foreign market opportunities. The Kenyan horticultural industry was developed partly because of the Asians who had left Kenya and settled in Britain asking their Kenyan relatives to send produce to the UK. In Zimbabwe, the export flower industry is heavily dependent on agents and contacts in the Netherlands who know the system. However, as organisations mature in their international stance, more global opportunities will be sought out. Whilst SADC or PTA may offer export opportunities, these are not substantial markets. Nearly 80% of Zimbabwe's exports are with South Africa and Europe, where major volumes can be obtained. However, as seen earlier, these markets may change with changing political stances, so it may be that Zimbabwe has to look further afield. This will involve uncertainty because the more unfamiliar the new opportunities sought, the greater the perceived risk of success.

Chapter Objectives

The objectives of this chapter are:

· To give an understanding of the way a global information system can help reduce uncertainty in decision making

· To describe the process of global marketing research

· To show the problems associated with conducting global marketing research.

Structure Of The Chapter

The chapter starts with identifying the types and categories of information which are useful in marketing decision making on a global scale and discusses the two main ways of getting information by surveillance or by research. Details are given on some of the sources of information available to marketers. The chapter then describes in some detail the process of global marketing research and highlights the dangers and pitfalls in the process.

Uncertainty

In international marketing, the marketer is faced with a dilemma of having too much data and too little information. There is plenty of global data from sources like the World Bank, but often a lack of specific information on countries and markets. In helping to reduce uncertainty around decision making, precise information is the key, getting it is quite another thing.

Whilst searching for opportunities globally, uncertainties will arise due to four main factors: lack of knowledge of the existence of possible new market alternatives, the conditions internal and external to the firm which will determine the consequences of a new alternative, what consequences these conditions when known may have for the firm, and how these consequences may be expressed in relevant terms of goal fulfilment. Uncertainty arises due to the time lapse between the decision and the outcome of the action decided on. Carlson (1975)1 also believes that uncertainty increases with the degree of "foreignness" of the place of outcome, the cost of information and the learning effect, that is, when entering a foreign market knowledge of it builds slowly, usually by experience and its attendant uncertainty.

When marketing domestically the system is fairly easy to learn. When crossing global boundaries the whole process is exaggerated by necessary paperwork, exchange rates, cash flows and transportation problems to name but a few. This uncertainty gives rise to the need for information.

Table 5.1 Specific information

Marketing decision

Marketing intelligence

Go international or remain domestic

Assessment of global market and firm's potential share in it, in view of local and international competition, compared to domestic opportunities.

Which markets to enter

A ranking of world markets according to market potential, local competition and the political situation.

How to enter target markets

Size of markets, international trade barriers, transport costs, local competition, government requirements and political stability.

How to market in target markets

For each market, buyer behaviour, competitive practice, distribution channels, media, company experience

Elements of the information system

The following constitute the elements of the global information system. Data may be specific or general or both and used for decisions on whether to enter markets or not, in what degree and what emphasis in terms of the marketing mix. General information includes data on the following:

· Economic - rate of growth of GNP, level of inflation, incomes
· Social - people, demographics, culture, subculture
· Political - risk, instability, attitudes to "foreigners"
· Technology - current, rate of change, infrastructure
· Resources - money, manpower, materials, acquisitions, joint ventures
· Fiscal - taxes, exchange rates
· Institutions - money markets
· Managerial - funds

Specific information may include the following (see table 5.1)1:

Table 5.2 Categories for a global intelligence system

1. Market information

Market statistics and potential

Consumer attitudes and behaviour, spending power, per capita income

Physical features - infrastructure, communications, money markets, banks etc.

Channels of distribution - type, availability, effectiveness

Media - availability, effectiveness and cost

Information sources - quality, availability and cost

Resources - money, human, materials (availability, cost, quality, development)


2. Environmental factors
Economic factors

Economic - rate of growth, structure, conduct, capital, economic blocs, (SADC), GNP, GDP, Nl

Social - customs, culture, attitudes, preferences

Political/Legal - laws, regulations, investment, "climate", government ideology, stability.

Technology - state, trends development

Competition - type, structure, operations, strategy plans, programmes, acquisitions, mergers

Trading partner(s)

Management capability

Foreign embassies, NGOs and other developmental thrust

3. Financial/Exchange
Balance of payments

Terms of access - quotas, tariffs, duties etc

Inflation rates

Monetary and fiscal policy

Expectations - economists, bankers, business people

Commodity exchanges

Currency alterations and movements, controls and regulations

International competitors

Taxes - inflation, incentives, dividends tax rules, earnings, repatriation of profits

Spot, forward market

Intervention by outside bodies e.g. IMF or World Bank and their effect on policy

The information required could be put into a subject agenda list with specific data requirements (see table 5.2)

Scanning modes: surveillance and search

Once the agenda has been set, data collection or scanning can be done by two methods: surveillance or search. In surveillance the scanner is geared to collect relevant information which crosses his/her scanning attention field, in search the scanner is deliberately seeking information either informally or formally. Most organisations collect information through surveillance, primarily due to time restraints.

Because detailed market scanning can be expensive, many writers suggest the process be split into two stages, a preliminary screen to assess basic alternatives, then, once through this test, more detailed treatment. Hibbert (1985)2 calls the first phase an assessment of market ecology giving general data about a country - its political and demographic stance for example. This may lead to the avoidance of costly mistakes. A micro assessment, for example, of Zimbabwe may reveal an opportunity for imported South African wines, but the scope may be limited when one looks at the big picture of population and disposable income. Albaum et al3 (1989) describe an approach to the preliminary screening of foreign markets - the "expansive" and "contractible" methods.

The first gives a gradual expansion from those markets which approximate in cultural and geographic terms to one's own market. "Contractible" methods are more extensive in scope. This approach scans all markets, then narrows them down through applying various criteria. The most attractive are then subject to detailed analysis. Criteria can be self developed or using the methods like the Business Environment Risk Index (Haner, 1972)4. This assesses over forty countries on dimensions like political stability, monetary inflation, legal system etc. on a scale of 0 (unacceptable) to 4 (superior conditions).

Contractible scanning methods are superior to expansive methods as they are less likely to overlook market opportunities and to employ standard evaluation instruments. They are, however, very resource intensive and a compromise may be worked out between the two methods. Expansive methods have the advantage of flexibility, the burden of market acceptability rating and are less risky. However, their main disadvantages are "complacency" and missed opportunities to competitors.

Whichever method of data collection is employed, it will affect the global strategy adopted, for example, "contractible" methods favour global strategies. The outcome of the first phase (market screening) will serve to eliminate the two risk markets, then those which are selected after screening will be subjected to a product/market screening phase. This will entail more detailed research on market size, trends, prices etc. Wind and Douglas (1981)5 suggest that market attractiveness should be assessed at two levels - on a stand alone basis and in the light of other elements of the company's activities. A "portfolio" approach would be useful here. Also the company should assess its own strengths and weaknesses and the risk/returns decisions should transcend the focus on absolute costs and look at opportunity costs of servicing this product market rather than other product markets. (Attention is drawn to the reference section where general surveillance data is exemplified and specific information on products markets is given in an agricultural context).

Sources of global information

Sources of information include documented sources, human resources or perceived sources.

Documented sources

In recent years there has been an information explosion, especially in the documented, or "secondary" source area. (Primary data collection will be dealt with later). Various sources of documented data are available including:

i) Governments

· Central office of information (UK)
· Central Statistical Office (Zimbabwe)
· EU documentation centres
· Boards of trade, or Ministry of Commerce

ii) International bodies

· the UN Statistical Yearbook
· World Bank - general statistics
· OECD - general statistics
· ITC - Geneva (information service)

iii) Business, trade, professional

· Chambers of Commerce
· Institute of Marketing
· American Management Association
· The Market Research Society

iv) Foreign embassies, trade missions

· Commercial newspapers
· Financial agencies - Price Waterhouse
· Kompass Register of companies
· Economist Intelligence Unit (UK)

v) Other

· Libraries, universities, colleges.

There are excellent sources of overseas data, in the horticultural industry, giving information on markets, prices and produce required for those wishing to sell into Europe. An example of these are given below:

· International Trade Centre (ITC) Geneva
· COLEACP, Paris
· Natural Resource Institute (NRI) UK
· GTZ, Germany
· CBI, Netherlands
· IMPOD, Sweden
· Chambers of commerce
· Food and Agriculture Organization of the United Nations

Secondary data from such sources are relatively cheap to obtain and readily available. However the disadvantages are legion.

· The data may have been collected and manipulated for a specific use, therefore it may be incomplete, ambiguous or out of context.

· Data may be compiled in different ways in different countries making comparability difficult., For example, in Germany consumer expenditures are estimated largely on the basis of turnover tax receipts, in the UK they are measured on tax receipts plus household surveys and production sources. Similarly with GNP measures, it only reflects average health per head of population and not how it is dispersed. As seen earlier, bimodalities are normal, thus introducing bias. GNP may be understated for political reasons and may not reflect education (i.e. wealth based on minerals). Also infrastructure may reflect channelled funds, say for tourism, rather than society as a whole - typical of many African countries.

· Data may be corrupted by methodological and interpretive problems, for example, definitional error, sampling error, section error, non response error, language, social organisations, trained workers, etc.

· Data may be nonexistent, unreliable or incomplete thus making inter country comparisons very difficult

· Data may be inflated or deflated for political purposes

Data from documented sources must, therefore, be treated with care and caution.

Human sources

These include executives based abroad, specific "look see" missions which are very important, and sales people, customers, suppliers, distributors, and government officials. This information is "internal" to the firm as opposed to documentary sources which are generally external. Most of the information is gathered on a face to face basis.

Perception sources

These are "sensory" sources of information, for example, if one heard of the construction of a new cold store at an airport, it could mean that the industry which produces products for airport store is planning to export in quantity. This could give rise to a market opportunity for another potential exporter of the same produce. Direct perception could be achieved by in country visits, where it would be possible to exercise all the sensory receptors sight, taste, touch, intuition, hearing and smell. Often there is no substitute to "feeling out" a situation. Participation in exhibitions, discussions with importing organisations and participation in Government working parties can all be useful sources of data.

Marketing research

Should secondary data be insufficient to meet all needs (it seldom is!!) then it may be necessary to conduct marketing research (the "search" scanning mode). There are three modes of search:

· Investigation - short term, specific data search
· Research - formally organized effort to acquire specific information
· Continuous - formally gathering longitudinal data on a continuous basis using panels of respondents

Whilst there are differences in approach, which will be discussed shortly, as in domestic research one has to be clear on the following:

a) Objectives - why is the data being gathered, for what purpose and what are the proposed sources

b) Development of ideas or hunches on the procedure

c) Hypothesis development

d) Research designs, experiments, observations, simulations, descriptive research

e) Questionnaire design

f) Data collection method - mail, telephone, interview, observations

g) Sample size and selection

h) Data collection methodology and supervision

i) Analysis and report writing

We have already seen some of the difficulties associated with the comparability of data. There is also the problem of assessing demand. Market demand can be existing - served by existing supplies, latent -demand which would be expressed if a product was offered to customers at an acceptable price, or incipient - demand which will emerge if present trends continue. The skill is in assessing which demand type is current or about to break.

Assessing market opportunity requires a measure of both the overall size of a market and the competitive conditions in the market. In assessing existing demand it is a question of finding out a differential advantage for your product and marketing that differential. In the latent demand situation it is a question of identifying opportunity and launching products rather than competitiveness. In incipient demand situations it is a question of looking at the market and matching products to potential. This could be the case in say exotic fruit marketing to developed countries. It is on seeing the product that the market reacts.

The research process

The research process has been covered comprehensively in the text on "marketing management" in this series, and, therefore it is not necessary to repeat the detail here. However, in international marketing research the following should be borne in mind.

a) Basic rules

Before beginning research ask some basic questions like what information is needed, where can it be obtained, when, why and at what cost? Start with desk research, identifying the type of overseas sources, know where to look and do not assume that the information is comparable or accurate if secondary in nature.

b) Primary surveys

In carrying out primary surveys it is essential to be familiar with the process involved. Of paramount importance are the time and cost elements. It may be very desirable to obtain data to the n'th degree, but in doing so, it is all too easy to run up a large bill, especially in international research.

Attention has to be paid to:

The research design: The design can be descriptive, experimental, observational or simulation. international research is of a descriptive nature or observational. The ability to conduct simulations or experiments depends on the sophistication of the market and the research facilities available.

Questionnaire design: Whilst in domestic research, questionnaires can be "closed" or "open ended". Unless trained staff can be found, and the nuances of translation can be mastered, "closed" questionnaires are mainly the norm in international research. The form of data gathered by "closed" questionnaire is mainly of a behavioural or quantitative nature. The form of data gatherered by "open ended" research is qualitative.

Attention has to be paid to length, translation, ease of response and method of questionnaire return. The rate of return in international research is often as low as 6% as it is very difficult to give incentives to the respondent. Covering letters should be succinct and written in the language and idiom of the country of destination. Marketers can often use clever devices to increase the response rates, for example in France, a red dot on the envelope denotes an "official" letter.

Questionnaires may contain ranking and rating questions (scaled questionnaires) and these can only be used if the respondent is fully aware of what is being asked. Often, in translation, the nuances and differences of interpretation may make scaling techniques difficult to utilise.

Data collection method: Data collection can be done in a variety of ways including personal interview, mail, telephone and observation (either mechanical or human.) Each method has its own merits and demerits. Personal interview allows the building of a relationship between interviewer and interviewee, and allows the "explanation" and "showing".

This is particularly important when conducting group discussions or carrying out in depth-research rather than one to one personal interviews. The gathering of "motivational" or "qualitative" data by group discussions will depend to a large extent on the availability of trained interviewees in the researched country.

Mail methods allow a longer questionnaire with considered response, but suffers from non response and interpretive problems. The telephone is quick but expensive and in many countries getting to the respondent may be difficult due to lack of a telephone infrastructure. Observation may not be always possible due to cultural blockages. In the end, time and cost elements often dictate the method, but generally mail and personal methods are the most widely used.

Sample size and selection: Samples can either be probabilistic or non probabilistic (random and non-random). Random samples can either be simple non-random or multi-random (stratified). Non random samples include quotas, selective or judgemental methods. With probabilistic samples it is possible to be more sophisticated in the analysis by using parametric methods of analysis or project results with greater statistical reliability. With non random sampling techniques, descriptive statistics are more appropriate. In agricultural marketing, rapid rural surveys are a well used method, which are basically a mix of the two sampling techniques. In international research random sampling can be very expensive.

Another important decision is the size of sample. Again, the larger the sample size and more difficult it is to obtain (if randomly chosen) the higher the cost will be. Whilst quota sampling may be cheaper there is the possibility that bias may exist in the sample because of inaccurate prior assumptions concerning population or because the field workers select the respondents, unwittingly, in a biased way.

A quota sample is chosen by taking known characteristics of a universe and including in the sample respondents as they proportionately occur in the known universe. For example if the quota was on a male/female age basis, it is possible to stratify and select the quota as follows: -

Population 20,000

Male 45% (9000)

Female 55% (11000)


15%

10%

10%

15%

10%

40%


15%

10%

10%

15%

10%

40%

Age

0-16

16-24

25-34

35-44

45-54

55+

Age

0-16

16-24

25-34

35-44

45-54

55+

Number

1350

900

900

1350

900

3600

Number

1650

1100

1100

1650

1100

4400

The sample would firstly include 45% male and 55% female. The male and female split will then be in proportion to the age groupings, according to the actual population percentages. So the final quota sample will be according to sex and age.

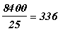
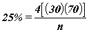
Suppose a seller of tractors wishes to measure a population with respect to the percentage. It wishes the sample to be accurate to within 5% points and to be 95% confident of this accuracy.

It must first consider the standard error of a percentage given by the following formula

It assumes on guessing, that the likely percentage of ownership is 30%.

Then,

But, (SE(p) must equal 5% (the level of accuracy required)

i.e

The firm requires to take a sample of, say, 340 (rounding up). Generally, then, for percentages, the sample size may be calculated using:

for accuracy at the 95% level.

Analytical techniques for researching international market: Besides the usual descriptive data analysis methods, there are a number of other techniques which can be used in analysing market potential. "Usual" methods include univariate methods (mean, median, mode, standard deviation), bivariate methods (regression, correlation, cross tabulations), and multi variate methods (including multiple regression, cluster analysis, multiple factor indices and multidimensional scaling).

· Industrial growth patterns: may give an insight into market demand. Statistics can be obtained from in country sources.

· Income elasticity measurements: Describe the relationship between demand for goods and changes in income. This could, for example, show what could happen to the demand for basic agricultural products, if income rises. In theory, it should decline.

· Regional lead-lag analysis predicts what could happen to the pattern of demand in a considered country based on the pattern of demand in a leading country. If Zimbabwe, for example, introduces a new form of tobacco drying, it is likely the other tobacco producing countries around it will do the same.

· When it is difficult to obtain data, resourceful ways are needed to estimate demand. One of these methods is analogy. There are two ways of using this technique, one is by cross sectional comparison, the other by time series analysis. Cross sectional analysis assumes that a factor which correlates with demand in country A could be translated to country B. Time analysis is a similar technique but adds the time dimension, very similar to the estimate of the stage in the international life cycle. One USA chemical company found that soup consumption was the only reliable index forecasting sales in Asia. There are limitations to the analysis. These include whether the two countries can really be compared, whether technical or social developments have led to a leapfrogging of the product under consideration, and whether the difference between potential and actual demand (which could depend on other factors like price, adaptability etc.) may subsume analogy.

· Comparative analysis: Comparative analysis, say between countries on intracompany, intercompany, national - subnational markets can be useful for estimating potential demand. It is not unreasonable, say, to compare Zambia and Tanzania.

· Cluster analysis: Computer packages exist to cluster similarities and differences between countries which may show factors which could be common and therefore potential markets. Such packages include multidimensional or clustering techniques.

· Multiple Factor Indices: MFIs indirectly measure potential demand, using variables that either intuition or statistical analysis suggest can be closely correlated with the potential demand for the product under review. Variables should be restricted to those which relate to product demand and these may be GNP, net national income or total population. In assessing the demand for coffee appliances, for example, an index which includes coffee drinkers and type of coffee consumed would be useful.

· Regression analysis: A very useful and powerful tool. The procedure selects the independent variable that accounts for the most variance in the dependent variable, then the variable that accounts for the remaining variance etc. Often multiple regression is needed as a single variable will not do. Predictions are often made on market demand for products based on what would happen if GNP were increased. As seen earlier, an increase in GNP could be good for luxury or durable goods but not basic commodities. However, high GNP per capita, may be a good predictor of, say, exotic high value horticultural produce, out of season produce or technological advanced agricultural machinery.

Location of research facility

It is always a burning question as to where to locate the research, in-country or "at home". In general the more "distant" the country, the better it is to locate the research in-country. Surveillance techniques could, on the other hand, be mainly conducted at home. The following case shows what happened to the Tanzanian sisal industry due, in part, to the lack of a global intelligence facility.

Case 5.1 Tanzanian Sisal

The once world leading Tanzanian Sisal Industry is a classic example of failure due to its inability to monitor market trends, through lack of an adequate intelligence system, as well as many, in-country problems. Basically, it failed to take account of the shrink in demand for sisal fibre in Western Europe. Many sisal mills were being dosed because of the fact that they were old and labour intensive (hence uneconomic), and the: disintegration of markets for sisal fibre in Eastern Europe due to that region's political crises. Sisal was brought into Tanzania by a German Agronomist, Dr. Richard Hingdorf in 1892 and the first estates were established in Tanga and Morogoro regions. After World War I, most estates were sold to Greeks, Swiss, Dutch. British and Asians, although a number of Germans re-acquired their estates from 1926 onwards. From that time, up to and after World War I, Tanzania remained the world's leader in both production and exports.

In the early 60's sisal was Tanzania's largest export, accounting for over a quarter of foreign exchange. Production was around 200 000 - 230 000 tonnes per annum. However, during the 70's and 8Q's production dropped dramatically. In 1970's production was at 202 000 tonnes, in 1979 it was 81000 tonnes, by 1985 production was at 32 000 tonnes, a drop of 87% from the peak of 230 000 tonnes in 1964. Since then production has stagnated at around 30 000 - 33 000 tonnes per annum. Needless to say Tanzania has long since ceased to be the number one world producer and its export earnings fallen well behind that of coffee, cotton tea, tobacco and cashewnuts. Since 1985 Tanzania has been producing 7 - 9% of the world's sisal fibre exports and is in fourth place behind Brazil, Morocco and Kenya.

The decline in sisal production came in two stages, an initial stage up to 1987 and then 1990 onwards. Both internal and external factors account for the decline. In the initial stage, the internal factors included the nationalisation of some of the sisal estates in the late 1960's, an overvalued exchange rate, high export taxes and a controlled single channel marketing system. In the second stage liquidity problems affected production. However, the external factors in the two periods had the most significant effect and show clearly the consequences of an ill prepared intelligence system. In the initial stage up to 1987 Tanzania experienced declining world prices of sisal fibre and the introduction of a substitute, cheap synthetic fibre -polypropylene twines. These factors led to low investment in replanting, leaf transport facilities and factory machines at the estate level. In the second stage of the 1990's onwards, the collapse of the former USSR, one of the major markets for Tanzania sisal fibre and changing world demand were the major factors. An inability to pick up these changes in demand by the intelligence system was a major player in the industry collapse. However, there is a ray of hope with a new swing worldwide to more "greener" and more environmentally friendly products. Tanzania sisal could make a comeback.6

Special problems in international marketing research

As well as the difficulties associated with secondary data described earlier, there are a number of other problems connected with obtaining data in the global context. These are as follows:

· Multiple markets need to be considered each with unique characteristics, availability of data and research services

· Many markets are small and do not reflect the cost of obtaining data for such a small potential

· Methodological difficulties may be encountered like nuances of language, interpretation, difficulty of fieldwork supervision, cheating, data analysis difficulties (lack of computer technology)

· Infrastructure difficulties - lack of telephones, roads, transport, respondent locations and,

· Cultural difficulties - reluctance to talk to strangers, inability to talk to women or children, legal constraints on data collection/transmission.

Many of these facets apply more to developing than developed countries. However using a variety of methods, outlined in the section, a lot of them can be ingeniously overcome.

Whilst the gathering of information in the international context is fraught with difficulties, without it the marketer would be planning in the dark. The two most important modes of scanning are surveillance and search, each giving data of a general or specific kind, invaluable to the strategy formulation process. In all decisions whether to obtain data or not, costs versus benefits have to be considered carefully.

Chapter Summary

Such is the uncertainty surrounding doing business globally, that without some form of intelligence system, organisations will most certainly founder. Whether the organisation obtains information itself or through the help of outside agencies, it must first determine the purpose for which the information is to be used, then how it is to be collected and analysed, taking into account cost and time considerations. It is often cheaper and less time consuming to use already available published data, but this can be too general, dated and not in the form required. In this case primary data collection may be required, involving decisions on the research design, method of data collection, sample type, and size and method of analysis.

Collecting intelligence data internationally can be fraught with hidden dangers including lack of access to respondents and misinterpretation due to cultural differences.

Key Terms

Cluster analysis

Information system

Search

Comparative analysis

Multiple factor indices

Secondary data

Demand pattern analysis

Primary data

Surveillance

Income elasticity measurements

Regression analysis


Review Question

1. Take a product/market of your choice. Describe fully the process involved in attempting to assess the market potential and developing a marketing strategy for that product/market in any country of your choice. The product maybe an import or an export.

Review Question Answers

This question is an attempt to assess the student's ability to synthesize all the elements involved in international marketing research into a coherent marketing proposal. The tutor should look for the following in the students' answers:

i) Understanding of the global research process

ii) Application to assessing the potential and developing the marketing strategy for the product/market/country choice and,

iii) Pitfalls and problems in the process.

a) Research process

i) Definition of objectives
ii) Sources of information - secondary (published), primary (human, perceptive)

If secondary sources cannot give the answer, then a description of primary sources are needed viz:

iii) Survey methodology experiment, description, observation.
iv) Data collection form - questionnaire
v) Sample and sample size
vi) Data collection method - interview (personal, telephone, mail), - observation
vii) A data analysis technique (s)
viii) Report.

b) Application - assessing potential - either by inference or observation and the basis on which the potential assessment is put forward i.e. population size, GNP/capita, incomes and so on.

Marketing strategy - basis for choice of target market (s) and marketing mix - product, price, promotion, place, people. Particular attention should be paid to the "environmental" factors i.e. political framework, culture, economic situation, legal requirements, distribution system and other market or institutional factors including finance, credit, insurance, transport etc.

Pitfalls and problems

ii) Data problems - validity, availability, completeness, currency, methods of reporting, consistency, misinterpretation

ii) Unique characteristics of markets and problems of self reference and perceptions

iii) Costs and time in collection of data, setting up the marketing plan and carrying it out

iv Methodological difficulties - language, interpretation etc.

v) Infrastructural difficulties - lack of telephones, roads etc

vi) Cultural differences and difficulties

vii) Availability or otherwise of marketing institutions, supporting and ancillary institutions

viii) Problems of reaching target market with marketing mix i.e. lack of media, transport and other logistics.

Exercise 5.1 Zimtra horticulture

In 19x1/19x2, excerpts of horticulture produce statistics from Zimtra were as follows:


Tonnes 19X1/19X2

% Value (ZIMD mil)

Projected % vol. increase

Vegetables

2879

45

800

Dried fruit

61

7.50

5000

Tropical fruit

842

20

600

Citrus

6300

50

2000

Flowers

3722

80

600

TOTAL

13,804

202.50

9000

Various studies had indicated that the potential export tonnage was, by the year 2000, some 200,000 tonnes. This increase was predicted on a massive increase in the hectarage given over citrus fruit in particular and increases in flower and off season vegetables production from the small scale farming sector. Exports are primarily to the Dutch flower auction and the EU.

Task

Devise a research design that would answer the following questions:

i) How to identify potential markets for the increased exports?

ii) How to reach these markets with the price, promotion, distribution and product as required by them?

iii) How to ensure supply?

iv) How to organise the Zimtra industry to be geared up to meet the export challenge?

NB. Suggest actual market/countries which may be potential for Zimtra exports.

References

1. Carlson, S. "How Foreign Is Foreign Trade? A Problem in International Business Research". ACTA Universitatis Upsalinsis, Studia Oeconomiae Negotiorum, 1975.

2. Hibbert, E.P. "The Principles and Practice of Export Marketing". Heinneman, 1985.

3. Albaum, G., Strandskov, J., Duerr, E. and Dowd, L" International Marketing and Export Management". Addison-Wesley, 1989.

4. Haner. "In International Marketing", S.J. Paliwoda Heinneman, 1986.

5. Wind, Y. and Douglas, S." International Portfolio Analysis and Strategy: The Challenge of the -80s". Journal of International Business Studies, Vol. 12 all), pp 69-82.

6. Ngirwa, W. "Sisal Marketing in Tanzania: Current Constraints and possible solutions" December 1994 pp1-9.

7. Keegan, W.J. "Global Marketing Management", 4th ed. Prentice Hall International Edition, 1989, p226

8. Moyer, R." International Market Analysis". Journal of Marketing Research, November, 1968.

9. Terpstra, V." International Marketing", 4th ed. The Dryden Press, 1987.


Previous Page Top of Page Next Page