Previous Page Table of Contents Next Page


Ammonium alginate

Prepared at the 49th JECFA (1997)
superseding specifications prepared at the 44th JECFA (1995),
published in FNP 5 2 Addendum 3 (1995)

SYNONYMS

INS No. 403

DEFINITION

Ammonium alginate is the ammonium salt of alginic acid.

C.A.S. number

9005-34-9

Chemical formula

(C6H11NO6)n

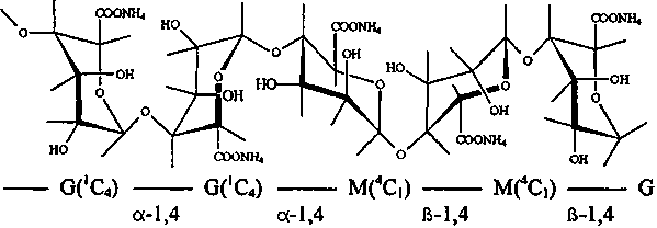
Structural formula

Structural formula from Phillips, Wedlock and Williams: Gums and Stabilizers for the Food Industry 5 (1990) by permission of Oxford University Press.

The number and sequence of the Mannuronate and Glucuronate residues shown above vary in the naturally occuring alginate. The associated water molecules are not shown.

Formula weight

Structural unit:

193.16 (theoretical)

217 (actual average)

Macromolecule:

10,000 - 600,000 (typical average)

Assay

Yields, on the dried basis, not less than 18.0% and not more than 21.0% of carbon dioxide (CO2), equivalent to not less than 88.7% and not more than 103.6% of ammonium alginate (C6H11NO6)n.

DESCRIPTION

Occurs as white to yellowish brown filamentous, grainy, granular or powdered forms

FUNCTIONAL USES

Stabilizer, thickener, gelling agent, emulsifier

CHARACTERISTICS


IDENTIFICATION


Solubility

Dissolves slowly in water forming a viscous solution; insoluble in ethanol, and ether

Precipitate formation with calcium chloride


Passes test
See description under TESTS

Precipitate formation with with ammonium sulfate


Passes test
See description under TESTS

Test for alginate

Passes test
See description under TESTS

Ammonium

Passes test

PURITY


Loss on drying

Not more than 15% (105°, 4h)

Water-insoluble matter

Not more than 2% on the dried basis
See description under TESTS.

Sulfated ash

Not more than 7% on the dried basis

Arsenic

Not more than 3 mg/kg (Method II)

Lead

Not more than 5 mg/kg
Prepare a sample solution as directed for organic compounds in the Limit Test, using 5 m g of lead ion (Pb) in the control

Microbiological criteria

Total plate count: Not more than 5,000 colonies per gram.

Initially prepare a 10-1 dilution by adding a 50 g sample to 450 ml of Butterfield's phosphate buffered dilution water and homogenizing in a high speed blender.

Yeasts and moulds: Not more than 500 colonies per gram

Coliforms: Negative by test

Salmonella: Negative by test

TESTS


IDENTIFICATION TESTS


Precipitate formation with calcium chloride


To a 0.5% solution of the sample in sodium hydroxide TS add one-fifth of its volume of a 2.5% solution of calcium chloride. A voluminous, gelatinous precipitate is formed. This test distinguishes ammonium alginate from gum arabic, sodium carboxymethyl cellulose, carrageenan, gelatin, gum ghatti, karaya gum, carob bean gum, methyl cellulose and tragacanth gum.

Precipitate formation with ammonium sulphate


To a 0.5% solution of the sample in sodium hydroxide TS add one-half of its volume of a saturated solution of ammonium sulfate. No precipitate is formed. This test distinguishes ammonium alginate from agar, sodium carboxymethyl cellulose, carrageenan, de-esterified pectin, gelatin, carob bean gum, methyl cellulose and starch.

Test for alginate

Dissolve as completely as possible 0.01 g of the sample by shaking with 0.15 ml of 0.1 N sodium hydroxide and add 1 ml of acid ferric sulfate TS. Within 5 min, a cherry-red colour develops that finally becomes deep purple.

PURITY TESTS


Water-insoluble matter

Disperse 2 g of the sample, weighed to the nearest 0.1 mg, in 800 ml of water in a 2,000-ml flask. Neutralize to pH 7 with sodium hydroxide TS and then add 3 ml in excess. Add 40 ml of hydrogen peroxide solution containing 30% by weight H2O2, cover the flask and boil for 1 h with frequent stirring. Filter while hot through a tared Gooch crucible provided with a glass fibre filter (2.4 cm, No. 934 AH, Reeve Angel & Co., Clifton, N.Y., or equivalent filter). If slow filtration is caused by high viscosity of the sample solution, boil until the viscosity is reduced enough to permit filtration. Wash the crucible thoroughly with hot water, dry the crucible and its contents at 105º for 1 h, cool and weigh. Calculate as percentage of the dry weight.

METHOD OF ASSAY

Proceed as directed under Carbon Dioxide Determination by Decarboxylation in the General Methods. Each ml of 0.25 N sodium hydroxide consumed is equivalent to 5.5 mg of carbon dioxide (CO2) or 27.12 mg of ammonium alginate (equivalent weight 217).


Previous Page Top of Page Next Page