Prepared at the 49th JECFA (1997)
superseding specifications prepared at the 44th JECFA (1995),
published in FNP 5 2 Addendum 3 (1995)
|
SYNONYMS |
INS No. 404 |
|
|
DEFINITION |
Calcium alginate is the Calcium salt of alginic acid. |
|
|
C.A.S. number |
9005-35-0 |
|
|
Chemical formula |
(C6H7Ca1/2O6)n |
|
|
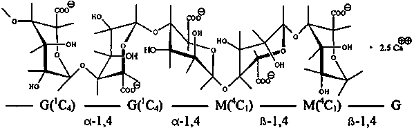
Structural formula |
Structural formula from Phillips, Wedlock and Williams: Gums and Stabilizers for the Food Industry 5 (1990) by permission of Oxford University Press.
The number and sequence of the Mannuronate and Glucuronate residues shown above vary in the naturally occurring alginate. The associated water molecules are not shown. |
|
|
Formula weight |
Structural unit: |
195.16 (theoretical) |
|
219 (actual average) |
||
|
Macromolecule: |
10,000 - 600,000 (typical average) |
|
|
Assay |
Not less than 18.0% and not more than 21.0% of carbon dioxide (CO2), equivalent to not less than 89.6% and not more than 104.5% of calcium alginate (C6H7Ca1/2O6)n on the anhydrous basis. |
|
|
DESCRIPTION |
Occurs as white to yellowish brown filamentous, grainy, granular and powdered forms |
|
|
FUNCTIONAL USES |
Stabilizer, thickener, gelling agent, emulsifier |
|
|
CHARACTERISTICS |
|
|
|
IDENTIFICATION |
|
|
|
Solubility |
Insoluble in water and ether; slightly soluble in ethanol; slowly soluble in solutions of sodium polyphosphate, sodium carbonate, and substances that combine with calcium ions. |
|
|
Precipitate formation with calcium chloride |
||
|
|
Passes test |
|
|
Precipitate formation with ammonium sulfate |
||
|
|
Passes test |
|
|
Test for alginate |
Passes test |
|
|
Calcium |
Passes test |
|
|
PURITY |
|
|
|
Loss on drying |
Not more than 15% (105°, 4h) |
|
|
Arsenic |
Not more than 3 mg/kg (Method II) |
|
|
Lead |
Not more than 5 mg/kg Prepare a sample solution as directed for organic compounds in the Limit Test, using 5 m g of lead ion (Pb) in the control |
|
|
Microbiological criteria |
Total plate count: Not more than 5,000 colonies per gram. Initially prepare a 10-1 dilution by adding a 50 g sample to 450 ml of Butterfield's phosphate buffered dilution water and homogenizing in a high speed blender. Yeasts and moulds: Not more than 500 colonies per gram Coliforms: Negative by test Salmonella: Negative by test |
|
|
TESTS |
|
|
|
IDENTIFICATION TESTS |
|
|
|
Precipitate formation with calcium chloride |
||
|
|
To a 0.5% solution of the sample in sodium hydroxide TS add one-fifth of its volume of a 2.5% solution of calcium chloride. A voluminous, gelatinous precipitate is formed. This test distinguishes calcium alginate from gum arabic, sodium carboxymethyl cellulose, carrageenan, gelatin, gum ghatti, karaya gum, carob bean gum, methyl cellulose and tragacanth gum. |
|
|
Precipitate formation with ammonium sulphate |
||
|
|
To a 0.5% solution of the sample in sodium hydroxide TS add one-half of its volume of a saturated solution of ammonium sulfate. No precipitate is formed. This test distinguishes calcium alginate from agar, sodium carboxymethyl cellulose, carrageenan, de-esterified pectin, gelatin, carob bean gum, methyl cellulose and starch. |
|
|
Test for alginate |
Dissolve as completely as possible 0.01 g of the sample by shaking with 0.15 ml of 0.1 N sodium hydroxide and add 1 ml of acid ferric sulfate TS. Within 5 min, a cherry-red colour develops that finally becomes deep purple. |
|
|
METHOD OF ASSAY |
Proceed as directed under Carbon Dioxide Determination by Decarboxylation in the General Methods. Each ml of 0.25 N sodium hydroxide consumed is equivalent to 5.5 mg of carbon dioxide (CO2) or 27.38 mg of calcium alginate (equivalent weight 219). |
|