Session guide: Network techniques
Reading note: Network techniques
|
DATE |
|
|
TIME |
|
|
FORMAT |
Plenary participatory lecture |
|
TRAINER |
|
OBJECTIVES
At the end of this session, participants will have been introduced to:
1. Principles of networking.
2. Computation of the critical path and slack times.
3. Crashing of activities to reduce project duration.
4. Using the Critical Path Method (CPM) as a planning and monitoring tools.
INSTRUCTIONAL MATERIALS
|
Exhibit 1 |
Concept of a network |
|
Exhibit 2 |
Activities and events |
|
Exhibit 3 |
Activities and events in a project plan |
|
Exhibit 4 |
Network for Exhibit 3. |
|
Exhibit 5 |
Illustration: Time estimates for activities |
|
Exhibit 6 |
Illustration: Incorporating time estimates in the network |
|
Exhibit 7 |
Illustration: Different paths through the network |
|
Exhibit 8 |
Computing earliest start and finish time |
|
Exhibit 9 |
Computing latest start and finish time |
|
Exhibit 10 |
Illustration: Earliest and latest time estimates |
|
Exhibit 11 |
Total and free slack time |
|
Exhibit 12 |
Illustration: Partial network |
|
Exhibit 13 |
Slack time estimates |
|
Exhibit 14 |
Illustration: Time and cost estimates |
|
Exhibit 15 |
Time scale network |
REQUIRED READING
Reading note: Network techniques
BACKGROUND READING
1. Wiest, J.D., & Levy, F.K. 1972. A Management Guide to PERT/CPM. New Delhi: Prentice-Hall of India.
2. Baker, B.N., & Eris, R.L. 1964. An Introduction to PERT/CPM. Homewood, IL: Irwin.
SPECIAL EQUIPMENT AND AIDS
Overhead projector and chalkboard
This is a technique-oriented session, and best handled by working through an illustration. In order to be ready with all the calculations, the resource person should beforehand have worked through the example given in EXHIBIT 3.
Initiate discussion by asking participants whether they have been able to draw a project graph for the relationships presented in Table 1. Chances are that some of them may have drawn fairly neat graphs while others may have graphs which are difficult to read since lines cross each other blurring the relationships between various activities. At this stage, introduce the concept of network.
Show EXHIBIT 1, explain what a network is, and discuss the components of a network. A network is composed of activities and events. Show EXHIBIT 2. Activities represent a definite stage of work for the project. They have to be sequenced in order of given technical or other relationships. Activities may be real or dummy. Dummy activities are used solely to establish relationships and are of no consequence in terms of time or resources. Each activity consists of a beginning and an end. Events represent a definite point in a total project. Events occur instantaneously and have no duration. They consume neither time nor resources. Draw diagrams of activities and events to illustrate these concepts. Observe that while activities are denoted by arrows, events are shown by circles in a project network.
Using the concepts of activities and events, draw a network for the illustration1 given as EXHIBIT 3. It is preferable to draw the network in stages, encouraging class participation. Once the network has been drawn (EXHIBIT 4), observe that it:
· shows all the stipulated sequential relationships;
· has a beginning and an end; and
· there are various ways to traverse it from beginning to the end.1. The example and its solution are taken from pages 141-151 in: Gupta, V.K., Asopa, V.N., Gaikwad, V.R., & Kalro, A.H. No date. Planning Rural Development Projects in Laos: A Guide. New Delhi: ILO-ARTEP.
Observe that several activities can be conducted simultaneously, allowing project duration to be reduced. One does not have to wait for one activity to be completed before initiating another activity unless there is a predecessor relationship. Besides, different times taken by various activities may provide some advantages.
Discuss the need for estimating time for each activity. Note that we may have either a definite knowledge of the time required for an activity or only an estimate of time. Introduce the concepts underlying Critical Path Method (CPM) and the Programme Evaluation and Review Technique (PERT) models. Observe that PERT incorporates uncertainty and controls cost through control of time. In contrast, CPM brings costs into direct consideration. CPM is more suited for institute management and can be used as a planning, monitoring and controlling tool. In contrast, PERT is more appropriate for scientific research projects which involve a high level of uncertainty concerning activity times. Depending on whether PERT or CPM is being used, we can estimate time for each activity. For the PERT model we first obtain optimistic, pessimistic and most likely time estimates, and then compute an expected time, as discussed in the note. Since the discussion in the session concentrates on CPM, we have assumed normal time estimates.
Incorporate into the network the time estimates for the individual activities given in EXHIBIT 5. Show EXHIBIT 6, which is the network with time estimates. Now ask participants how many routes are there from event 1 to event 9. This is tantamount to completing the entire project through all its activities. Let them work through the various paths. There are six different paths (EXHIBIT 7) and the longest one has a total time of 36.2 months. This is called the critical path. Discuss the important features of the critical path. Observe that, while activities on the critical path are being completed within the stipulated time, activities on the other paths (called slack paths) will also be pursued simultaneously and completed during that period. Since the critical path is the longest path, it represents the minimum time required for completing the project. If a project network is modified, the critical path may also change.
Show EXHIBIT 8 and introduce the concept of earliest start and finish times. Note that we compute these in order to gain a better understanding of the interrelationship between various project activities and to try to reduce or control project duration.
Earliest start and finish times are calculated using a forward computation method. Earliest start time is the earliest time that a project activity can be initiated. Obviously, this will depend on completion of the predecessor activities. Add to the earliest start time the time required to complete that particular activity. This gives the earliest finish time. Using the relationships shown in EXHIBIT 8, compute earliest start and finish time for individual activities in the network.
Show EXHIBIT 9 and introduce the concept of latest start and finish times. These are calculated using backward computation: we start with the completion time of objective event (9) for last activity i (8, 9) and work backward. Using the relationships shown in EXHIBIT 9, compute the latest start and finish times for the network. Note that one may compute either the earliest or the latest time estimates. Both need not be computed. The resource person should do these calculations on the board, activity by activity, for the entire network. Show EXHIBIT 10, where these values are tabulated.
Show EXHIBIT 11 and introduce the concept of slack time. Slack may be total or free. Total slack is the difference between the latest and earliest start times of an activity. It can also be calculated as the difference between the latest and earliest finish times. Free slack is the difference between the earliest finish time of an activity and the earliest of the early start times of all its immediate successors. Illustrate the calculation using the partial network in EXHIBIT 12. Use the data on early and late start and finish times given in EXHIBIT 10 and calculate total and free slacks. Incorporate these estimates in the network, as shown in EXHIBIT 13. Note that activities on the critical path will have no slack time. It follows then that activities which are not on the critical path probably have some slack time. Knowing this helps when scheduling activities. The strategy should be to concentrate on activities on the critical path by taking advantage of the knowledge of slack available on activities which are not on the critical path.
Discuss the need for reducing project duration. At this' stage, it would be useful to discuss time and cost relationships as a prelude to crashing the network. Recall that the CPM model has definite time estimates for each activity. In some cases this time can be reduced by providing more support and resources. This is called crashing. Show EXHIBIT 14 and use the data on crashing time and cost to illustrate the process of crashing stage by stage. This should be done with the help of EXHIBIT 15. Observe that, for obvious reasons, only the activities on the critical path will be considered for crashing. Thus, only activities e, h and a should be crashed. We will begin with the activity which has the smallest cost per unit of time. Stage-by-stage crashing should be shown and discussed. As EXHIBIT 15 shows, we begin with the original network (Chart I) and then crash activity e from 4.1 to 2.1 weeks at a cost of Rs 240 per week. This reduces the project duration or the length of the critical path from 36.2 to 34.2 months (Chart II in EXHIBIT 15). Next, we crash activity h from 5 to 4 weeks at a cost of Rs 300 per week; this further reduces the length of the critical path by another week, from 34.2 to 33.2 months (Chart III in EXHIBIT 15).
Finally, we crash activity a from 8 to 6 weeks at a cost of Rs 450 per week and that reduces the project duration to 31.2 weeks (Chart IV in EXHIBIT 15).
Before concluding the session, ask participants whether there are limits to crashing. Obviously, the cost of crashing imposes a limit. In addition, technical requirements may also limit the potential for time reduction.
EXHIBIT 1
|
THE CONCEPT OF A NETWORK |
|
A network diagram is a graphical representation of all the activities of a project, placing them in their proper sequence and with all interdependencies clearly established. The network diagram provides a complete picture of the project. |
EXHIBIT 2
|
ACTIVITIES & EVENTS |
|
Activities |
|
Events | |||
|
· Instantaneous occurrence | |||
|
· Denotes the beginning or end of an activity | |||
|
· Represented by circles | |||
|
· Burst or merge events | |||
|
Event |
Activity |
Merge event |
Burst event |
EXHIBIT 3
|
Illustration: |
|
Stage of work |
ACTIVITY |
EVENT |
||||
|
Identification |
Predecessor |
Successor |
Identification |
Predecessor |
Successor |
|
|
1 |
a |
- |
b, d |
(1,2) |
2 |
2 |
|
2 |
b |
a |
c |
(2,3) |
2 |
3 |
|
3 |
c |
b |
e |
(3,4) |
3 |
4 |
|
4 |
d |
a |
e |
(2,4) |
2 |
4 |
|
5 |
e |
c, d |
f, g, h |
(4,5) |
4 |
5 |
|
6 |
f |
e |
j |
(5,6) |
5 |
6 |
|
7 |
g |
e |
k |
(5,7) |
5 |
7 |
|
8 |
h |
e |
I |
(5,8) |
5 |
8 |
|
9 |
i |
h |
- |
(8,9) |
8 |
9 |
|
10 |
j |
f |
i |
(6,8) |
6 |
8 |
|
11 |
k |
g |
i |
(7,8) |
7 |
8 |
Source: pp. 141-151 in: Gupta, V.K., Asopa, V.N., Gaikwad, V.R., & Kalro, A.H. No date. Planning Rural Development Projects in Laos: A Guide. New Delhi: ILO-ARTEP.
EXHIBIT 4
NETWORK FOR EXHIBIT 3
EXHIBIT 5
|
Illustration: |
|
Job identification |
Activities predecessor successor |
Normal time (months) | |
|
a |
- |
b, d |
8.0 |
|
b |
a |
c |
8.6 |
|
c |
b |
e |
6.3 |
|
d |
a |
e |
14.7 |
|
e |
c, d |
f, g, h |
4.1 |
|
f |
e |
i |
1.1 |
|
g |
e |
i |
3.7 |
|
h |
e |
i |
5.0 |
|
i |
h |
- |
4.2 |
For PERT:
Expected time (te) = (to + 4tm + tp)/6
where:
to = most optimistic time estimate
tm = most likely time estimate
tp = most pessimistic time estimate
EXHIBIT 6
ILLUSTRATION INCORPORATING TIME ESTIMATES IN THE NETWORK
EXHIBIT 7
|
Illustration: |
|
Path |
Time for completion (events 1 to 9) |
|
|
(months) |
|
1-2-4-5-6-8-9 |
32.1 |
|
1-2-4-5-7-8-9 |
34.7 |
|
1-2-4-5-8-9 |
36.0 |
|
1-2-3-4-5-6-8-9 |
32.3 |
|
1-2-3-4-5-7-8-9 |
36.2 |
· Identify the critical path.
· Why is it the critical path?
· What about other paths?
EXHIBIT 8
|
CALCULATING EARLIEST START AND FINISH TIMES |
|
Earliest start (ES) time |
|
Earliest finish time |
EXHIBIT 9
|
CALCULATING LATEST START AND FINISH TIMES |
|
Latest start (LS) time |
|
Latest finish (LF) time |
|
Examples LS f (5,6) = 32-1.1 = 30.9 months LS a (5,7) = 32 - 3.7 = 28.3 months |
EXHIBIT 10
|
EARLIEST AND LATEST TIME ESTIMATES |
|
Activity |
Earliest |
Latest |
Slack |
|||
|
Start |
Finish |
Start |
Finish |
Start |
Finish |
|
|
a |
0.0 |
8.0 |
0.0 |
8.0 |
0.0 |
0.0 |
|
b |
8.0 |
16.6 |
8.0 |
16.6 |
0.0 |
0.0 |
|
c |
16.6 |
22.9 |
16.6 |
22.9 |
0.0 |
0.0 |
|
d |
8.0 |
22.7 |
8.2 |
22.9 |
0.2 |
0.2 |
|
e |
22.9 |
27.0 |
22.9 |
27.0 |
0.0 |
0.0 |
|
f |
27.0 |
28.1 |
30.9 |
32.0 |
3.9 |
3.9 |
|
g |
27.0 |
30.7 |
28.3 |
32.0 |
1.3 |
1.3 |
|
h |
27.0 |
32.0 |
27.0 |
32.0 |
0.0 |
0.0 |
|
i |
32.0 |
36.2 |
32.0 |
36.2 |
0.0 |
0.0 |
EARLIEST AND LATEST TIME ESTIMATES FOR NA PHOK SEED PROJECT
EXHIBIT 11
|
TOTAL AND FREE SLACK TIME |
|
Total slack |
|
Free slack |
EXHIBIT 12
Illustration: PARTIAL NETWORK OF NA PHOK SEED FARM
EXHIBIT 13
|
SLACK TIME ESTIMATES |
|
Activity |
Slack | |
|
|
Total |
Free |
|
a |
0.0 |
0.0 |
|
b |
0.0 |
0.0 |
|
s |
0.0 |
0.0 |
|
d |
0.2 |
0.2 |
|
e |
0.0 |
0.0 |
|
f |
3.9 |
3.9 |
|
g |
1.3 |
1.3 |
|
h |
0.0 |
0.0 |
|
i |
0.0 |
0.0 |
EXHIBIT 14
|
TIME AND COST ESTIMATES |
|
Job |
Activities |
Normal time |
Crash time |
Crashing cost (Rs) |
|
|
Predecessor |
Successor |
||||
|
a |
- |
b, d |
8.0 |
6.0 |
450 |
|
b |
a |
c |
8.6 |
6.6 |
240 |
|
c |
b |
e |
6.3 |
2.3 |
72 |
|
d |
a |
e |
14.7 |
14.7 |
- |
|
e |
c, d |
f, g, h |
4.1 |
2.1 |
240 |
|
f |
e |
i |
1.1 |
1.1 |
- |
|
g |
e |
i |
3.7 |
2.7 |
900 |
|
h |
e |
i |
5.0 |
3.0 |
300 |
|
i |
h |
- |
4.2 |
2.0 |
- |
EXHIBIT 15
A drainage experiment for salinity control
Concept of a project network
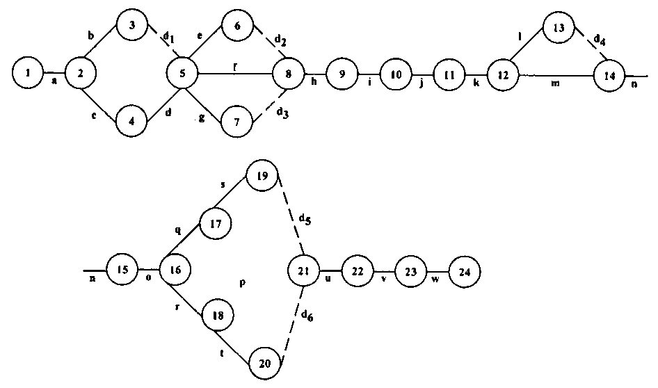
Consider a research effort being planned to identify the performance of different crops under varying drainage spacing and agronomic practices on saline and waterlogged soils. The primary objective is to reclaim the saline and waterlogged soils by installing sub-surface drainage. The secondary objective is to identify the crop and agronomic practices which in combination yield the highest profit. The output of the research project, Drainage Experiment for Salinity Control, will be useful in recommending crops and agronomic practices in areas where sub-surface drainage has been provided to reclaim saline and waterlogged soils. This research is to be started in a completely barren, saline and waterlogged area of 25 ha at Petlad village in Gujarat (India). The research project has already been approved by the Department of Agriculture and a budget allocated. The research project is composed of 23 activities. Although the research project includes a large number of activities, we shall take the most important ones.
Before installing any drainage, a detailed soil survey is to be carried out in the study area. After this, soil analysis followed by system layout will be done simultaneously with land development (levelling and grading). Once the land is levelled and layout maps are ready, three activities can initiated simultaneously. These are constructing of sumps, digging collector ditches and procuring drain material. Once these activities are completed, installation of the collector drains can start. It must be remembered that if any preceding activity is not completed, the collector drains cannot be installed. As soon as the collector drains are installed, the process of digging and installing lateral drains can be started. Once that is complete, land bunding can be done, followed by leaching of salts. Once leaching is accomplished, two activities - namely sowing of bajra and cotton - can be done simultaneously. Then several agronomic treatments can be imposed. After that, the salinity level under each treatment can be measured. While the crops are maturing, a computer program should be developed and tested with some hypothetical data. This will involve taking in parallel observations, including depth of water table under the various treatments in both crops. Once the crops have been harvested and yield recorded, the yield and water table data can be tabulated and fed into the prepared computer program. This should result in estimated production functions which, together with the final results, will allow recommendations to be formulated.
Table 1 presents the project description. The activities are labelled alphabetically. Using the sequential relationship given in the table, draw a graph showing full details of the project and clearly indicate the manner in which various activities are interrelated. Predecessor and successor relationships recorded in Table 1 should be strictly adhered to.
Table 1 Events and activities in the Project Plan for the Drainage Experiment for Salinity Control, Petlad
|
Stage of Work |
Activity |
||
|
Job |
Predecessor |
Successor |
|
|
Soil survey |
a |
- |
b, c |
|
Land development |
b |
a |
d1 |
|
Soil sampling + analysis |
c |
a |
d |
|
System layout |
d |
c |
e, f, g |
|
Construct sumps |
e |
d1, d |
d2 |
|
Dig collector ditches |
f |
d1, d |
h |
|
Procure drainage items |
g |
d1, d |
d3 |
|
Install collector drains |
h |
f, d2, d3 |
i |
|
Dig lateral ditches |
i |
h |
j |
|
Land bunding |
j |
i |
k |
|
Salts leaching |
k |
j |
i |
|
Sow bajra |
l |
k |
d4 |
|
Sow cotton |
m |
k |
n |
|
Impose treatments |
n |
m, d4 |
o |
|
Measure salinity |
o |
n |
p, q, r |
|
Computer programming |
p |
o |
u |
|
Yield (bajra) |
q |
o |
s |
|
Yield (cotton) |
r |
o |
t |
|
Measure water table (bajra) |
s |
q |
d5 |
|
Measure water table (cotton) |
t |
r |
d6 |
|
Tabulate results |
u |
p, d5, d6 |
v |
|
Estimate production functions |
v |
u |
w |
|
Prepare report |
w |
v |
a |
In order to graphically represent the project and its constituent activities, we need to understand the concepts underlying the network approach, as discussed below.
Network
Activities
Events
Distinguishing between events and activities
Drawing the network
Estimating time
PERT and CPM models
Incorporating the time estimate
Critical path
Earliest start and finish times
Latest finish and latest start times
Slack time
Time-cost relationship
A network is a graphical representation of a project, with all its activities and their interrelationships. The network graph gives complete details of the project, with all activities drawn according to their sequence as stipulated in the project plan and respecting their interrelationships.
A project consists of a number of activities, each representing a stage, a process, a task, an action, or work in progress which requires time, money or resources for its completion. Stated in simple terms, an activity is a step in project completion for which it resources are required.
Activities may be real or dummy. While real activities consume time and resources and represent a stage of work in the project, dummy activities are used to establish dependency relationships. They consume neither time nor resources.
Activities are inter-related through predecessor and successor relationships. Predecessor activities are activities which have to be completed before a particular activity can be started. Likewise, successor activities are activities which can be initiated only after a particular activity has been completed.
An activity has a beginning and an end denoted by events. Events are instantaneous occurrences. They have no duration. They consume neither time nor resources. Every activity has two events associated with it. While one event represents the beginning of the activity, another event denotes its completion.
The first event in a network is the start of the first activity and thus initiation of the project. The last event represents completion of the project.
Events in a network simultaneously denote the completion and/or beginning of one or more activities. When an event represents completion of several activities, it is called a merge event. When several activities begin from a single event, it is called a burst event. These are illustrated in Figure 1.
Figure 1 Symbols and conventions used in preparing network diagrams
|
|
a |
|
|
|
|
EVENT |
ACTIVITY |
MERGE EVENT |
BURST EVENT |
DUMMY ACTIVITY |
In a network, events are denoted by numbered circles. Activities are denoted by continuous arrows, while dummy activities are denoted by dotted lines.
The first step in drawing a project graph is to understand the sequential relationship between various activities in the project. This provides an understanding of the dependencies involved among the various activities. There are 11 activities (a to k) in the example given in Table 1.
Activity a has no predecessor and can be started at any convenient time. Activities b and c can be started concurrently, but only after activity a is completed. Here dummy activity d1 has been shown by a dotted line to show that activity b has been completed. Activity d can be started only after c is completed. Once b and d are completed, the researcher can start e, f and g activities simultaneously. Only after completing activities e, f and g can the successor activity, h, be started. Again two dummy activities, d2 and d3, are used to show that e and g are completed. After this, activities h, i, j and k are taken up in sequence once the predecessor activity is completed. Once k is completed, the researcher can start two activities simultaneously. These are l and m. To show activity l has been completed, dummy activity d4 is included. After l and m are completed, activities n followed by o are implemented. If either l or m is incomplete, activity n cannot be started. There are three successors to activity o, viz., p, q and r. It means that after completing activity o, these three activities can be simultaneously started. The immediate successor of activity q is s and of r it is t. Only after completing activities s, t and p can the researcher start activity u. Here again, to show that activities s and t have been completed, two dummy activities, namely d5 and d6, are used. Therefore, d5, d6, and p are the predecessors for activity u. Once activity u is completed, activity v can start. Its successor activity is w. Once w is complete the project is also complete, since there is no successor activity. Therefore w is the ultimate objective activity and indicates completion of the project.
The network is shown in Figure 2. Using the concept of events associated with each project activity, we can modify Table 1. The activity and event relationships are presented as Table 2.
If we look at the network closely (Figure 2), it is obvious that some activities can be carried out simultaneously, so that the time required for completion of the project can be reduced. A network which shows all events and activities in the proper sequence, with all necessary dependencies between various activities clearly established, is used as a planning tool. Additional details on time required for completion of individual activities would further increase its utility.
If we know the time required for completing various activities in the network, we can estimate the total time required for completely implementing the project. It is difficult to estimate the time required for completion of various activities unless we have previous experience of undertaking similar activities. Otherwise, some knowledgeable person can be contacted to get some idea about the likely time requirement. Obviously, each individual could provide a different estimate for various activities. These estimates will have to be appropriately weighted and then used for further analysis.
Depending upon how time estimates for project activities are derived, we can use either the Programme Evaluation and Review Technique (PERT) or the Critical Path Method (CPM). They are two somewhat similar management models.
Figure 2 Network diagram for the project on drainage for salinity control.
PERT is mostly used in projects involving non-repetitive activities or where no past experience is available. Activity times have to be 'guestimated' using the relationship:
te = (to + 4tm + tp)/6
where:
te is the resultant estimated time
to is the most optimistic time estimate
tm is the most likely time estimate
tp is the most pessimistic time estimate
The difference between the most optimistic and most pessimistic time estimates is the estimated uncertainty. This knowledge can be further exploited by using a standard normal distribution to compute the probability of completing the project by a target date.
In contrast, the CPM model is used where some past experience is available about both time and cost required by different activities in a project (say a project on construction of a laboratory). In PERT, the focus is on time. The underlying assumption is that cost varies directly with time for all activities within the project. The total project time is controlled by controlling individual activities on the critical path and hence the cost of implementing the project is also indirectly controlled. CPM directly brings the concept of cost into the planning and control process. In the case of CPM, time estimates are less uncertain. When time can be estimated fairly well and costs are known in advance, CPM is useful. However, when there is a great degree of uncertainty and when control over time is more important than control over cost, PERT is a better choice.
Table 2 Events and activities in the Project Plan of the Drainage Experiment for Salinity Control
|
Stage of work |
Activity |
Event |
||||
|
Identification |
Predecessor |
Successor |
Identification |
Predecessor |
Successor |
|
|
Soil survey |
a |
- |
b, c |
1,2 |
1 |
2 |
|
Land development |
b |
a |
d1 |
2,3 |
2 |
3 |
|
Soil sampling + analysis |
c |
a |
d |
2,4 |
2 |
4 |
|
System layout |
d |
c |
e, f, g |
4,5 |
4 |
5 |
|
Construct sump |
e |
d1, d |
d2 |
5,6 |
5 |
6 |
|
Dig collector ditches |
f |
d1, d |
h |
5,8 |
5 |
7 |
|
Procure drainage items |
a |
d1, d |
d3 |
5,7 |
5 |
8 |
|
Install collector drain |
h |
f, d2, d3 |
i |
8,9 |
8 |
9 |
|
Dig lateral ditches |
i |
h |
j |
9,10 |
9 |
10 |
|
Land bunding |
j |
i |
k |
10,11 |
10 |
11 |
|
Leach salts |
k |
j |
l |
11,12 |
11 |
12 |
|
Sow bajra |
l |
k |
d4 |
12,13 |
12 |
13 |
|
Sow cotton |
m |
k |
n |
12,14 |
12 |
14 |
|
Impose treatments |
n |
m, d4 |
o |
14,15 |
14 |
15 |
|
Measure salinity |
o |
n |
p, q, r |
15,16 |
15 |
16 |
|
Computer programming |
p |
o |
u |
16,21 |
16 |
21 |
|
Yield (bajra) |
q |
o |
s |
16,17 |
16 |
17 |
|
Yield (cotton) |
r |
o |
t |
16,18 |
16 |
18 |
|
Measure water table (bajra) |
s |
q |
d5 |
17,19 |
17 |
19 |
|
Measure water table (cotton) |
t |
r |
d6 |
18,20 |
18 |
20 |
|
Tabulate results |
u |
p, d5, d6 |
v |
21,22 |
21 |
22 |
|
Estimate prod. functions |
v |
u |
w |
22,23 |
22 |
23 |
|
Report results |
w |
v |
- |
23,24 |
23 |
24 |
|
Dummy |
d1 |
b |
e, f, g |
3,5 |
3 |
5 |
|
Dummy |
d2 |
e |
h |
6,7 |
6 |
7 |
|
Dummy |
d3 |
g |
h |
7,8 |
7 |
8 |
|
Dummy |
d4 |
l |
n |
13,14 |
13 |
14 |
|
Dummy |
d5 |
d |
u |
19,21 |
19 |
21 |
|
Dummy |
d6 |
t |
u |
20,21 |
20 |
21 |
PERT is mostly used in projects involving non-repetitive activities like research (particularly scientific experiments) and development, for which no past experience is available, while CPM is used when some past experience is available, such as in a construction programme. These different areas of application for the two seemingly similar techniques are because of rather not-too-well defined differences in their methods.
CPM is more appropriate as a planning as well as monitoring and controlling device. Given the focus of this manual on institute management, we shall consider the CPM model in detail.
The time estimates for various activities are worked out using the above relationship. Table 3 shows the optimistic, pessimistic, most likely and resultant estimated time for various activities.
We can incorporate the time details into the network diagram (Figure 3).
Table 3 Time estimates for various activities involved in the salinity control through drainage experiment
|
Stage of work |
Activity |
to |
tm |
tp |
te |
|
Soil survey |
a |
4 |
5 |
10 |
5.7 |
|
Land development |
b |
10 |
15 |
25 |
15.8 |
|
Soil sampling + analysis |
c |
30 |
40 |
50 |
40.0 |
|
System layout |
d |
7 |
10 |
15 |
10.3 |
|
Construct sumps |
e |
15 |
20 |
30 |
20.8 |
|
Dig collector ditches |
f |
5 |
7 |
10 |
7.2 |
|
Procure drainage items |
g |
25 |
30 |
45 |
31.7 |
|
Install collector drain |
h |
3 |
5 |
7 |
5.0 |
|
Dig lateral ditches |
i |
20 |
29 |
45 |
30.7 |
|
Land bunding |
j |
5 |
10 |
12 |
9.5 |
|
Leaching of salts |
k |
7 |
10 |
15 |
10.3 |
|
Sow bajra |
l |
3 |
5 |
7 |
5.0 |
|
Sow cotton |
m |
3 |
5 |
7 |
5.0 |
|
Impose treatment |
n |
4 |
6 |
7 |
5.8 |
|
Measure salinity |
o |
30 |
40 |
50 |
40.0 |
|
Computer programming |
p |
30 |
40 |
60 |
41.7 |
|
Yield (bajra) |
q |
100 |
100 |
100 |
100.0 |
|
Yield (cotton) |
r |
150 |
150 |
150 |
150.0 |
|
Measure water table (bajra) |
s |
10 |
8 |
15 |
9.5 |
|
Measure water table (cotton) |
t |
10 |
8 |
15 |
9.5 |
|
Tabulate results |
u |
5 |
7 |
10 |
7.2 |
|
Estimate prod. functions |
v |
10 |
12 |
18 |
12.7 |
|
Report results |
w |
20 |
30 |
45 |
30.8 |
Figure 3 Activity times in the network of the salinity control experiment
There can be several paths from starting event 1 to end event 24. Different paths will have different time estimates for completion of the project. In our illustration, there are 11 paths. These are listed in Table 4. Each path from starting event 1 to end event 24 has different time estimates. The total time required to complete the project would depend on the path chosen.
Table 4 Different paths through the network of the salinity control experiment
|
|
Events making up the path |
Time to complete from events 1 to 24 (days) |
|
1 |
1-2-4-5-8-9-10-11-12-14-15-16-21-22-23-24 |
261.3 |
|
2 |
1-2-3-5-8-9-10-11-12-14-15-16-21-22-23-24 |
226.8 |
|
3 |
1-2-4-5-6-8-9-10-11-12-13-14-15-16-17-19-21-22-23-24 |
342.7 |
|
4 |
1-2-4-5-7-8-9-10-11-12-14-16-18-20-21-22-23-24 |
403.6 |
|
5 |
1-2-3-5-7-8-9-1-0-11-12-14-15-16-18-20-21-22-23-24 |
369.1 |
|
6 |
1-2-3-5-6-8-9-10-11-12-13-14-15-16-18-20-21-22-23-24 |
358.2 |
|
7 |
1-2-3-5-6-8-9-10-11-12-13-14-15-16-18-20-21-22-23-24 |
308.2 |
|
8 |
1-2-4-5-7-8-9-10-11-12-14-15-16-17-19-21-22-23-24 |
353.6 |
|
9 |
1-2-3-5-7-8-9-10-11-12-14-15-16-17-19-21-22-23-24 |
319.1 |
|
10 |
1-2-4-5-8-9-10-12-14-15-16-18-20-21-22-23-23-24 |
379.1 |
|
11 |
1-2-4-5-8-9-10-11-12-14-15-16-17-19-21-22-23-24 |
329.1 |
In comparison with other paths, path number 4 is the longest since it requires the maximum time: 403.6 days. The longest path in a network is called the critical path. All other paths are called slack paths. In our example, all except path number 4 are slack paths. In the case of path number 4, a minimum of 403.6 days are required to complete the project.
Since different paths from starting event 1 to end event 24 have different time estimates, the total time required to complete the project would depend on the path chosen. Altogether there are 11 paths.
For the project manager, it is useful to know the earliest start (ES), latest start (LS), earliest finish (EF) and latest finish (LF) times for various activities. This allows scheduling of the work in such a manner that project duration is minimized. Some activities can be implemented simultaneously, and some activities can be delayed while efforts are concentrated on completing other activities which impose a time constraint on the completion of the project.
The ES of an activity in a project is the earliest possible time that the activity can start. In other words, it is the earliest finish time of the preceding activities. A project can be started at any time, therefore, its ES is zero. This is also the ES of activity a. The ES of activity d is 45.7 days.
The EF of an activity is its early time plus the time needed to complete the activity. In our illustration, activity a can be started at the earliest at zero time. It requires 5.7 days for completion. Thus its EF time is 5.7 days.
The LS time of an activity is the latest time it can begin without pushing the finish date of the project further into the future. It can be computed by subtracting the expected average time required for the activity from the LF, which is its late start time plus its duration. LF and LS for each activity are calculated as follows:
LFa = LSa - taLSa = LFa - ta
The EF, ES, LS and LF calculations are illustrated in Table 5 and summarized in Table 6. These are incorporated in the network diagram (Figure 4).
Table 5 Computing ES and EF, and LS and LF times
|
EF (2,3) = ES (2,3) + t(2,3) = 5.7+15.8 =21.5 |
|
EF (2.4) = ES (2,4) + t(2,4) = 5.7 + 40.0 = 45.7 |
|
ES (4,5) = EF (2,4) = 45.7 |
|
EF (4,5) = EF (4,5) + t(4,5) = 45.7 +10.0 = 56.0 |
|
ES (5,6) = EF (4,6) = 56.0 |
|
EF (5,6) = ES (5,6) + t(5,6) = 56.0 + 20.8 = 76.8 |
|
ES (5,7) = EF (4,5) = 56.0 |
|
ES (5,7) = ES (5,7) + t(5,7) = 56.0 +31.7 = 87.7 |
|
EF (5,8) = EF (4,5) = 56.0 |
|
ES (5,8) = ES (5,8) + t(5,8) = 56.0 + 7.2 = 63.2 |
|
LSw (23,24) = 403.6 - 30.8 = 372.8 |
|
LFw (23,24) = 372.8 + 30.8 = 403.6 |
|
LSv (22.23) = 372.8-12.7 = 360.1 |
|
LFv (22.23) = 360.1 +12.7 = 372.8 |
|
LSu (21.22) = 360.1 -7.2 = 352.9 |
|
LFu (21,22) = 352.9 + 7.2 = 360.1 |
|
LSp (16,21) = 352.9 - 41.7 = 311.2 |
|
LFp (16,21) = 311.2 + 41.7 = 352.9 |
|
LSt (18,20) = 352.9 - 9.5 = 343.4 |
|
LFt (18,20) = 343.4 + 9.5 = 352.9 |
|
LSr (16,18) = 343.4 - 150 = 193.4 |
|
LFr (16,18) = 193.4 + 150 = 343.4 |
|
LSs (17,19) = 352.9 - 9.5 = 343.4 |
|
LFs (17.19) = 343.4+9.5 = 352.9 |
|
LSq (16,17) = 343.4 - 100 = 243.4 |
|
LFq (16,17) = 243.4+100 = 343.4 |
The ES of activity h will be 87.7 days as until activities e, f, and g are completed, activity h cannot be started. The EF for the last activity in the network gives the earliest time the project can be completed. In our example it is 403.6 days.
From Table 6, we observe that for some of the activities, LS and ES are identical. In contrast, for some activities, e.g., b, e, f, p and s, the LS and ES are different. Consider activity e: it can be started at any time between 56 and 66.9 days and still will not delay the project. The difference between these two, 10.9 days, is called the slack time. We say then that activity e has slack, and we define the total slack (TS) of an activity as the difference between its LS and ES times. The free slack is the difference between the EF of an activity and the earliest of the ESs of all its immediate successors. The computations are shown in Tables 7 and 8, and illustrated in Figure 5. These can be depicted in the network.
Figure 4 Earliest and latest start and finish times
Table 6 The earliest and the latest time estimates
|
Activity |
Job |
Earliest |
Latest |
Slack |
|||
|
Start |
Finish |
Start |
Finish |
Total |
Free |
||
|
Soil survey |
a |
0.0 |
5.7 |
0.0 |
5.7 |
0.0 |
0.0 |
|
Land development |
b |
5.7 |
21.5 |
40.2 |
56.0 |
34.5 |
34.5 |
|
Soil sampling + analysis |
c |
5.7 |
45.7 |
5.7 |
45.7 |
0.0 |
0.0 |
|
System layout |
d |
45.7 |
56.0 |
45.7 |
56.0 |
0.0 |
0.0 |
|
Construct sumps |
e |
56.0 |
76.8 |
66.9 |
87.7 |
10.9 |
10.9 |
|
Dig collector ditches |
f |
56.0 |
63.2 |
80.5 |
87.7 |
24.5 |
24.5 |
|
Procure drainage items |
g |
56.0 |
87.7 |
56.0 |
87.7 |
0.0 |
0.0 |
|
Install collector drain |
h |
87.7 |
92.7 |
87.7 |
92.7 |
0.0 |
0.0 |
|
Digg lateral ditches |
i |
92.7 |
122.8 |
92.7 |
122.8 |
0.0 |
0.0 |
|
Land bunding |
j |
122.8 |
132.3 |
122.8 |
132.3 |
0.0 |
0.0 |
|
Leaching of salts |
k |
132.3 |
142.6 |
132.3 |
142.6 |
0.0 |
0.0 |
|
Sow bajra |
l |
142.6 |
147.6 |
142.6 |
147.6 |
0.0 |
0.0 |
|
Sow cotton |
m |
142.6 |
147.6 |
142.6 |
147.6 |
0.0 |
0.0 |
|
Impose treatment |
n |
147.6 |
153.4 |
147.6 |
153.4 |
0.0 |
0.0 |
|
Measure salinity |
o |
153.4 |
193.4 |
153.4 |
193.4 |
0.0 |
0.0 |
|
Computer programming |
p |
193.4 |
235.1 |
311.2 |
352.9 |
177.8 |
177.8 |
|
Yield (bajra) |
q |
193.4 |
293.4 |
193.4 |
293.4 |
0.0 |
0.0 |
|
Yield (cotton) |
r |
193.4 |
343.4 |
193.4 |
343.4 |
0.0 |
0.0 |
|
Measure water table (bajra) |
s |
293.4 |
302.9 |
343.4 |
352.9 |
50.0 |
50.0 |
|
Measure water table (cotton) |
t |
343.4 |
352.9 |
343.4 |
352.9 |
0.0 |
0.0 |
|
Tabulate results |
u |
352.9 |
360.1 |
352.9 |
360.1 |
0.0 |
0.0 |
|
Estimate prod. function |
v |
360.1 |
372.8 |
360.1 |
372.8 |
0.0 |
0.0 |
|
Prepare report |
w |
372.8 |
403.6 |
372.8 |
403.6 |
0.0 |
0.0 |
The CPM model is largely associated with 'normal' completion times. In some cases, a few activities can be completed in less time by incurring extra expenditure. In such cases, the cost of the project goes up. If cost is not a consideration, the time of an activity can be reduced to a certain minimum. This reduction of time to perform an activity is the crash time. This is the minimum time that an activity will take. It will definitely increase the cost of the project. In fact there exists a trade-off between time and cost of the project. The relationship of reduced time for the activity versus increased cost is known as the time-cost curve. The additional cost of crashed time is calculated as follows:
Table 7 Computation of total slack
|
TSb (2,3) |
= LSb (2,3) - ESb (2,3) |
|
|
= 40.2 - 5.7 = 34.5 |
|
TSe (5,6) |
= LSe (5,6) - ESe (5,6) |
|
|
= 66.9 - 56.0 = 10.9 |
|
TSf (5,7) |
= LSf (5,7) - ESf (5,7) |
|
|
= 80.5 - 56.0 = 24.5 |
|
TSp (16,21) |
= LSp (16,21) - ESp (16,21) |
|
|
= 311.2 - 193.4 = 17.8 |
|
TSs (17,19) |
= LSs (17,19) - ESs (17,19) |
|
|
= 343.4 - 293.4 = 50.01 |
Table 8 Slack time estimates for the network
|
Activity |
Job |
Slack |
|
|
Total |
Free |
||
|
Soil survey |
a |
0.0 |
0.0 |
|
Land development |
b |
34.5 |
34.5 |
|
Soil sampling + analysis |
c |
0.0 |
0.0 |
|
System layout |
d |
0.0 |
0.0 |
|
Construct sumps |
e |
10.9 |
10.9 |
|
Dig collector ditches |
f |
24.5 |
24.5 |
|
Procure drainage items |
g |
0.0 |
0.0 |
|
Install collector drain |
h |
0.0 |
0.0 |
|
Dig lateral ditches |
i |
0.0 |
0.0 |
|
Land bunding |
j |
0.0 |
0.0 |
|
Leaching of salts |
k |
0.0 |
0.0 |
|
Sow bajra |
l |
0.0 |
0.0 |
|
Sow cotton |
m |
0.0 |
0.0 |
|
Impose treatment |
n |
0.0 |
0.0 |
|
Measure salinity |
o |
0.0 |
0.0 |
|
Computer programming |
p |
177.8 |
177.9 |
|
Yield (bajra) |
q |
0.0 |
0.0 |
|
Yield (cotton) |
r |
0.0 |
0.0 |
|
Measure water table (bajra) |
s |
0.0 |
50.0 |
|
Measure water table (cotton) |
t |
0.0 |
0.0 |
|
Tabulate results |
u |
0.0 |
0.0 |
|
Estimate prod. function |
v |
0.0 |
0.0 |
|
Prepare report |
w |
|
0.0 |
Table 9 shows the normal and the reduced time of each activity. For example, the normal time to complete activity a is 5.7 days. By increasing labour and extending the working hours, the activity can be performed in 4 days, thereby reducing its duration by 1.7 days but incurring an additional expenditure of Rs 80, as the cost to complete this activity increases from Rs 320 to Rs 400. One can work out the additional cost of crashing the duration of the activity by one day. It is Rs 47.06 per day. This is also the slope of the time-cost curve.
Figure 5 Total and free slacks
It indicates an additional expenditure of Rs 47.06 by crashing the duration of activity a by one day. The slope value of the time-cost curve of each activity can be seen in Table 9.
Since the aim is always to minimize the cost of the project, those activities are crashed first which have the least slope value, i.e., a lower slope for the time-cost relationship. In the network we found that ten activities, viz., a, g, i, j, k, o, t, u, v and w could be crashed in view of the length of time. How does one decide which activity to select first for reducing the cost? From Table 9, activity a has the lowest increase in cost for crashing. Thus, this activity is the first to be selected to decrease the duration of the activity. The time saved in this case is 1.7 days. The total increase in cost due to saving time will be Rs 47.06 x 1.70 = Rs 80.00. This indicates that the cost of the project will go up by Rs 80.00 if the duration of activity a is reduced to 4 days instead of the previous 'normal' period of 5.7 days.
The activity with the next least slope value from the time-cost relationship is j. The slope is 35.60 and the crashed time is 2.50 days. So Rs 53.60 x 2.50 = 134.00 is the increase in the cost of the project by reducing the duration of activity j activity from 9.5 to 7 days.
The process of costing is repeated till one can no longer justify the higher cost of the project by reducing the project time. If all possible activities are performed as per the crashed time, one can save 68.50 days in completing the project: i.e., the duration of the project can be reduced from 403.6 days to 335.1 days. This is achieved at a higher cost. The additional cost of crashing the project time is Rs 20 873.92. This means an increase of 4.28% in the cost of the project with a 17% saving in project duration (Table 10).
Table 9 Time crashing and cost estimates
|
Activity |
Job |
Normal time |
Crash time |
Increase in cost (Rs/day) |
|
Soil survey |
a |
5.7 |
4.0 |
47.06 |
|
Land development |
b |
15.8 |
10.0 |
517.24 |
|
Soil sampling + analysis |
c |
40.0 |
10.0 |
0.00 |
|
System layout |
d |
10.3 |
5.0 |
23.59 |
|
Construct sumps |
e |
20.8 |
20.8 |
0.00 |
|
Dig collector ditches |
f |
7.2 |
5.0 |
1136.36 |
|
Procure drainage items |
g |
31.7 |
30.0 |
588.23 |
|
Install collector drain |
h |
5,0 |
5.0 |
0.00 |
|
Dig lateral ditches |
i |
30.1 |
15.0 |
624.17 |
|
Land bunding |
j |
9.5 |
7.0 |
53.60 |
|
Leaching of salts |
k |
10.3 |
10.0 |
83.33 |
|
Sow bajra |
l |
5.0 |
5.0 |
0.00 |
|
Sow cotton |
m |
5.0 |
5.0 |
0.00 |
|
Impose treatment |
n |
5.8 |
5.8 |
0.00 |
|
Measure salinity |
o |
40.0 |
10.0 |
200.00 |
|
Computer programming |
p |
41.7 |
30.0 |
89.06 |
|
Yield (bajra) |
q |
100.0 |
100.0 |
0.00 |
|
Yield (cotton) |
r |
150.0 |
150.0 |
0.00 |
|
Measure water table (bajra) |
s |
9.5 |
5.0 |
93.33 |
|
Measure water table (cotton) |
t |
9.5 |
5.0 |
93.33 |
|
Tabulate results |
u |
7.2 |
3.0 |
128.57 |
|
Estimate prod. function |
v |
12.7 |
10.0 |
348.15 |
|
Prepare report |
w |
30.8 |
25.0 |
398.27 |
|
Dummies |
d1 to d6 |
- |
- |
- |
Table 10 Crashing time and project cost
|
Crashing stage |
Activity |
Crashing cost |
Time saved |
Total crashed cost |
|
(1) |
(2) |
(3) |
(4) |
(3x4) |
|
1. |
a |
47.06 |
1.70 |
80.00 |
|
2. |
j |
53.60 |
2.50 |
134.00 |
|
3. |
k |
83.33 |
0.30 |
25.00 |
|
4. |
t |
93.33 |
4.50 |
419.99 |
|
5. |
u |
128.57 |
4.20 |
539.99 |
|
6. |
o |
200.00 |
30.00 |
6 000.00 |
|
7. |
v |
348.15 |
2.70 |
940.01 |
|
8. |
w |
398.27 |
5.80 |
2 309.97 |
|
9. |
g |
588.23 |
1.70 |
999.99 |
|
10. |
i |
624.17 |
15.10 |
9 424.97 |
|
Total |
68.50 |
20 873.92 | ||