8.1. Country Balances
8.2. Notes on the Detailed Woodfuel Tables
Whatever woodfuel is being consumed must have been produced. This is the principle used to derive woodfuel supply data, with a few notable exceptions. As a result, independent data on supply is rarely available, and planning for balancing supply-demand non-existent. The situation can be compared with fossil fuels or electricity, where real supply data are available. Future supply requirements are governed by demand forecasts based on present consumption data. The fine-tuning of demand forecasts allows for more accurate supply planning.
By contrast, the fine-tuning of woodfuel demand forecasts remains an academic exercise, as long as data on present and future woodfuel supplies are not available. How can this situation be improved? RWEDP has attempted to estimate present and future potential woodfuel supplies. To do this, use was made of the best estimates given in Chapter 7, and some crucial assumptions had to be made. These assumptions show which supplementary information on woodfuel supplies needs to be collected in order to make demand forecasting a reasonable exercise.
For the time being, the results help to identify broad policy issues. However, it should be emphasized that national aggregate data still bear little meaning as they hide local variations. Ultimately, supply and demand information should be area-based.
The balances below give an overview of the woodfuel consumption and the potential supply from forest and non-forest resources, for the whole region and for each country. Although partly based on assumptions regarding future trends and natural resources productivity, it can be concluded that for the region as a whole and for most countries, the potential supply can meet the aggregated consumption. For some countries there appears to be a gap between supply and consumption (Bangladesh, Nepal, Pakistan). But the imbalances may appear due to data inaccuracy and/or overly conservative assumptions regarding supply. Nevertheless, these countries may need special attention with respect to wood energy. This also applies to India, Sri Lanka, Thailand, and Vietnam, which may face a critical situation sometime after the year 2010.
It should be emphasized that the balances are based on aggregated national data, which can hide local variations, ranging from scarcity to abundance.
Woodfuel consumption figures are based on best estimates obtained from various data sources. Potential supply figures are based on data, estimates and projections for land use, wood productivity for several land use classes, and the availability of wood for energy use. FAO publications were used as source data for land use and wood productivity. For forest land, other wooded land and agriculture areas, the potential supply is based on average annual yield estimates, assuming a sustainable use of resources. Wood waste from deforestation refers to wood potentially available from natural forest land cleared due to commercial logging, expansion of agriculture land or other reasons.
Woodfuel balances are given for 1994 (current situation) and 2010 (projected situation). Woodfuel consumption and production are given in mass units (kton) and energy units (petajoules).
|
RWEDP Region |
1994 |
2010 |
||||
|
Area |
Mass |
Energy |
Area |
Mass |
Energy |
|
|
CONSUMPTION |
1000 ha |
kton |
PJ |
1000 ha |
kton |
PJ |
|
total woodfuels |
|
645,895 |
9,688 |
|
811,548 |
12,173 |
|
POTENTIAL SUPPLY |
||||||
|
sust. woodfuel from forest land |
416,204 |
669,812 |
10,047 |
370,363 |
629,339 |
9,440 |
|
sust. woodfuel from agricultural areas |
876,933 |
601,407 |
9,021 |
971,062 |
692,088 |
10,381 |
|
sust. woodfuel from other wooded lands |
93,140 |
53,994 |
810 |
81,368 |
47,170 |
708 |
|
waste woodfuels from deforestation |
(4,253) |
605,565 |
9,083 |
(3,114) |
437,710 |
6,566 |
|
total potentially available woodfuels* |
1,382,024 |
1,930,778 |
28,962 |
1,419,679 |
1,806,307 |
27,095 |
|
50% of crop processing residues |
876,933 |
218,915 |
3,458 |
971,062 |
322,024 |
5,105 |
|
total potentially available biomass fuels |
|
2,149,693 |
32,420 |
|
2,128,331 |
32,200 |
* Area = 77% of geographical land area
|
Bangladesh
|
1994 |
2010 |
||||
|
Area |
Mass |
Energy |
Area |
Mass |
Energy |
|
|
CONSUMPTION |
1000 ha |
kton |
PJ |
1000 ha |
kton |
PJ |
|
total woodfuels |
|
9,396 |
141 |
|
13,320 |
199 |
|
POTENTIAL SUPPLY |
||||||
|
sust. woodfuel from forest land |
1,009 |
1,765 |
26 |
1,066 |
2,416 |
36 |
|
sust. woodfuel from agricultural areas |
9,398 |
5,593 |
84 |
9,418 |
5,636 |
85 |
|
sust. woodfuel from other wooded lands |
370 |
215 |
3 |
350 |
203 |
3 |
|
waste woodfuels from deforestation |
-14 |
1,426 |
21 |
-10 |
1,016 |
15 |
|
total potentially available woodfuels* |
10,763 |
8,999 |
135 |
10,824 |
9,271 |
139 |
|
50% of crop processing residues |
9,398 |
5,604 |
88 |
9,418 |
6,234 |
98 |
|
total potentially available biomass fuels |
|
14,602 |
223 |
|
15,505 |
237 |
* Area = 83% of geographical land area
|
Bhutan |
1994 |
2010 |
||||
|
Area |
Mass |
Energy |
Area |
Mass |
Energy |
|
|
CONSUMPTION |
1000 ha |
kton |
PJ |
1000 ha |
kton |
PJ |
|
total woodfuels |
|
819 |
12 |
|
1,195 |
18 |
|
POTENTIAL SUPPLY |
||||||
|
sust. woodfuel from forest land |
2,767 |
3,822 |
57 |
2,593 |
3,611 |
54 |
|
sust. woodfuel from agricultural areas |
413 |
239 |
4 |
443 |
257 |
4 |
|
sust. woodfuel from other wooded lands |
355 |
206 |
3 |
355 |
206 |
3 |
|
waste woodfuels from deforestation |
-12 |
1,678 |
25 |
-11 |
1,551 |
23 |
|
total potentially available woodfuels* |
3,523 |
5,946 |
89 |
3,380 |
5,624 |
84 |
|
50% of crop processing residues |
413 |
19 |
0 |
443 |
5 |
0 |
|
total potentially available biomass fuels |
|
5,965 |
89 |
|
5,629 |
84 |
* Area = 75% of geographical land area
|
Cambodia
|
1994 |
2010 |
||||
|
Area |
Mass |
Energy |
Area |
Mass |
Energy |
|
|
CONSUMPTION |
1000 ha |
kton |
PJ |
1000 ha |
kton |
PJ |
|
total woodfuels |
|
5,375 |
81 |
|
7,553 |
113 |
|
POTENTIAL SUPPLY |
||||||
|
sust. woodfuel from forest land |
10,298 |
14,029 |
210 |
5,377 |
7,705 |
116 |
|
sust. woodfuel from agricultural areas |
5,459 |
3,394 |
51 |
9,776 |
6,056 |
91 |
|
sust. woodfuel from other wooded lands |
1,433 |
831 |
12 |
1,351 |
783 |
12 |
|
waste woodfuels from deforestation |
-468 |
63,311 |
950 |
-216 |
29,283 |
439 |
|
total potentially available woodfuels* |
16,722 |
81,565 |
1,223 |
16,288 |
43,827 |
657 |
|
50 % of crop processing residues |
5,459 |
457 |
7 |
9,776 |
358 |
5 |
|
total potentially available biomass fuels |
|
82,022 |
1,231 |
|
44,185 |
663 |
* Area = 95% of geographical land area
|
China
|
1994 |
2010 |
||||
|
Area |
Mass |
Energy |
Area |
Mass |
Energy |
|
|
CONSUMPTION |
1000 ha |
kton |
PJ |
1000 ha |
kton |
PJ |
|
total woodfuels |
|
219,122 |
3,287 |
|
252,819 |
3,792 |
|
POTENTIAL SUPPLY |
||||||
|
sust. woodfuel from forest land |
133,418 |
235,541 |
3,533 |
132,265 |
248,605 |
3,729 |
|
sust. woodfuel from agricultural areas |
496,486 |
288,700 |
4,331 |
551,575 |
322,072 |
4,831 |
|
sust. woodfuel from other wooded lands |
27,526 |
15,957 |
239 |
26,894 |
15,591 |
234 |
|
waste woodfuels from deforestation |
-489 |
58,347 |
875 |
-448 |
53,465 |
802 |
|
total potentially available woodfuels* |
656,941 |
598,546 |
8,978 |
710,286 |
639,733 |
9,596 |
|
50 % of crop processing residues |
496,486 |
78,003 |
1,169 |
551,575 |
115,445 |
1,718 |
|
total potentially available biomass fuels |
|
676,549 |
10,148 |
|
755,178 |
11,314 |
* Area = 70% of geographical land area
|
India
|
1994 |
2010 |
||||
|
Area |
Mass |
Energy |
Area |
Mass |
Energy |
|
|
CONSUMPTION |
1000 ha |
kton |
PJ |
1000 ha |
kton |
PJ |
|
total woodfuels |
|
173,412 |
2,601 |
|
225,725 |
3,386 |
|
POTENTIAL SUPPLY |
||||||
|
sust. woodfuel from forest land |
64,996 |
85,695 |
1,285 |
65,363 |
98,313 |
1,475 |
|
sust. woodfuel from agricultural areas |
189,805 |
125,323 |
1,880 |
195,235 |
138,132 |
2,072 |
|
sust. woodfuel from other wooded lands |
8,884 |
5,150 |
77 |
3,454 |
2,002 |
30 |
|
waste woodfuels from deforestation |
-269 |
18,999 |
285 |
-244 |
17,280 |
259 |
|
total potentially available woodfuels* |
263,416 |
235,167 |
3,528 |
263,808 |
255,729 |
3,836 |
|
50% of crop processing residues |
189,805 |
70,267 |
1,143 |
195,235 |
106,319 |
1,759 |
|
total potentially available biomass fuels |
|
305,434 |
4,670 |
|
362,048 |
5,594 |
* Area = 89% of geographical land area
|
Indonesia
|
1994 |
2010 |
||||
|
Area |
Mass |
Energy |
Area |
Mass |
Energy |
|
|
CONSUMPTION |
1000 ha |
kton |
PJ |
1000 ha |
kton |
PJ |
|
total woodfuels |
|
54,474 |
817 |
|
67,465 |
1,012 |
|
POTENTIAL SUPPLY |
||||||
|
sust. woodfuel from forest land |
110,968 |
183,106 |
2,747 |
94,100 |
157,282 |
2,359 |
|
sust. woodfuel from agricultural areas |
59,893 |
67,744 |
1,016 |
72,316 |
84,813 |
1,272 |
|
sust. woodfuel from other wooded lands |
11,512 |
6,673 |
100 |
6,960 |
4,035 |
61 |
|
waste woodfuels from deforestation |
-1,177 |
181,526 |
2,723 |
-964 |
148,794 |
2,232 |
|
total potentially available woodfuels* |
181,196 |
439,049 |
6,586 |
172,411 |
394,923 |
5,924 |
|
50% of crop processing residues |
59,893 |
20,421 |
327 |
72,316 |
28,938 |
457 |
|
total potentially available biomass fuels |
|
459,470 |
6,912 |
|
423,861 |
6,381 |
* Area = 100% of geographical land area
|
Laos
|
1994 |
2010 |
||||
|
Area |
Mass |
Energy |
Area |
Mass |
Energy |
|
|
CONSUMPTION |
1000 ha |
kton |
PJ |
1000 ha |
kton |
PJ |
|
total woodfuels |
|
2,329 |
35 |
|
3,496 |
52 |
|
POTENTIAL SUPPLY |
||||||
|
sust. woodfuel from forest land |
12,583 |
18,472 |
277 |
10,468 |
15,396 |
231 |
|
sust. woodfuel from agricultural areas |
1,700 |
979 |
15 |
1,844 |
1,054 |
16 |
|
sust. woodfuel from other wooded lands |
8,259 |
4,788 |
72 |
8,259 |
4,788 |
72 |
|
waste woodfuels from deforestation |
-148 |
21,767 |
327 |
-120 |
17,665 |
265 |
|
total potentially available woodfuels* |
22,394 |
46,006 |
690 |
20,450 |
38,902 |
584 |
|
50% of crop processing residues |
1,700 |
343 |
5 |
1,844 |
333 |
5 |
|
total potentially available biomass fuels |
|
46,349 |
695 |
|
39,235 |
589 |
* Area = 97% of geographical land area
|
Malaysia
|
1994 |
2010 |
||||
|
Area |
Mass |
Energy |
Area |
Mass |
Energy |
|
|
CONSUMPTION |
1000 ha |
kton |
PJ |
1000 ha |
kton |
PJ |
|
total woodfuels |
|
6,187 |
93 |
|
8,216 |
123 |
|
POTENTIAL SUPPLY |
||||||
|
sust. woodfuel from forest land |
15,910 |
31,737 |
476 |
10,543 |
21,324 |
320 |
|
sust. woodfuel from agricultural areas |
12,652 |
17,809 |
267 |
16,928 |
22,409 |
336 |
|
sust. woodfuel from other wooded lands |
0 |
0 |
0 |
0 |
0 |
0 |
|
waste woodfuels from deforestation |
-442 |
87,754 |
1,316 |
-272 |
54,044 |
811 |
|
total potentially available woodfuels* |
28,120 |
137,301 |
2,060 |
27,199 |
97,777 |
1,467 |
|
50% of crop processing residues |
12,652 |
2,470 |
32 |
16,928 |
3,934 |
49 |
|
total potentially available biomass fuels |
|
139,771 |
2,092 |
|
101,712 |
1,515 |
* Area = 85% of geographical land area
|
Maldives
|
1994 |
2010 |
||||
|
Area |
Mass |
Energy |
Area |
Mass |
Energy |
|
|
CONSUMPTION |
1000 ha |
kton |
PJ |
1000 ha |
kton |
PJ |
|
total woodfuels |
|
80 |
1 |
|
123 |
2 |
|
POTENTIAL SUPPLY |
||||||
|
sust. woodfuel from forest land |
0 |
0 |
0 |
0 |
0 |
0 |
|
sust. woodfuel from agricultural areas |
18 |
34 |
1 |
21 |
41 |
1 |
|
sust. woodfuel from other wooded lands |
0 |
0 |
0 |
0 |
0 |
0 |
|
waste woodfuels from deforestation |
0 |
0 |
0 |
0 |
0 |
0 |
|
total potentially available woodfuels* |
18 |
34 |
1 |
21 |
41 |
1 |
|
50% of crop processing residues |
18 |
4 |
0 |
21 |
4 |
0 |
|
total potentially available biomass fuels |
|
38 |
1 |
|
46 |
1 |
* Area = 13% of geographical land area
|
Myanmar
|
1994 |
2010 |
||||
|
Area |
Mass |
Energy |
Area |
Mass |
Energy |
|
|
CONSUMPTION |
1000 ha |
kton |
PJ |
1000 ha |
kton |
PJ |
|
total woodfuels |
|
23,058 |
346 |
|
31,183 |
468 |
|
POTENTIAL SUPPLY |
||||||
|
sust. woodfuel from forest land |
27,539 |
45,928 |
689 |
22,166 |
37,389 |
561 |
|
sust. woodfuel from agricultural areas |
10,779 |
6,884 |
103 |
10,946 |
7,284 |
109 |
|
sust. woodfuel from other wooded lands |
20,325 |
11,782 |
177 |
20,158 |
11,686 |
175 |
|
waste woodfuels from deforestation |
-396 |
65,341 |
980 |
-307 |
50,571 |
759 |
|
total potentially available woodfuels* |
58,247 |
129,935 |
1,949 |
52,964 |
106,930 |
1,604 |
|
50% of crop processing residues |
10,779 |
4,350 |
66 |
10,946 |
5,563 |
84 |
|
total potentially available biomass fuels |
|
134,285 |
2,015 |
|
112,493 |
1,688 |
* Area = 89% of geographical land area
|
Nepal
|
1994 |
2010 |
||||
|
Area |
Mass |
Energy |
Area |
Mass |
Energy |
|
|
CONSUMPTION |
1000 ha |
kton |
PJ |
1000 ha |
kton |
PJ |
|
total woodfuels |
|
12,787 |
192 |
|
18,378 |
276 |
|
POTENTIAL SUPPLY |
||||||
|
sust. woodfuel from forest land |
4,873 |
4,188 |
63 |
4,133 |
3,586 |
54 |
|
sust. woodfuel from agricultural areas |
4,500 |
2,608 |
39 |
4,838 |
2,804 |
42 |
|
sust. woodfuel from other wooded lands |
672 |
390 |
6 |
672 |
390 |
6 |
|
waste woodfuels from deforestation |
-51 |
4,258 |
64 |
-43 |
3,524 |
53 |
|
total potentially available woodfuels* |
9,994 |
11,444 |
172 |
9,600 |
10,304 |
155 |
|
50% of crop processing residues |
4,500 |
1,021 |
16 |
4,838 |
1,354 |
22 |
|
total potentially available biomass fuels |
|
12,465 |
188 |
|
11,657 |
176 |
* Area = 70% of geographical land area
|
Pakistan
|
1994 |
2010 |
||||
|
Area |
Mass |
Energy |
Area |
Mass |
Energy |
|
|
CONSUMPTION |
1000 ha |
kton |
PJ |
1000 ha |
kton |
PJ |
|
total woodfuels |
|
34,687 |
520 |
|
52,167 |
7,823 |
|
POTENTIAL SUPPLY |
||||||
|
sust. woodfuel from forest land |
1,803 |
1,960 |
29 |
1,162 |
1,461 |
22 |
|
sust. woodfuel from agricultural areas |
26,511 |
15,371 |
231 |
28,399 |
16,465 |
247 |
|
sust. woodfuel from other wooded lands |
1,104 |
640 |
10 |
1,104 |
640 |
10 |
|
waste woodfuels from deforestation |
-55 |
4,598 |
69 |
-31 |
2,578 |
39 |
|
total potentially available woodfuels* |
29,363 |
22,569 |
339 |
30,634 |
21,144 |
317 |
|
50% of crop processing residues |
26,511 |
7,806 |
137 |
28,399 |
12,092 |
212 |
|
total potentially available biomass fuels |
|
30,375 |
475 |
|
33,236 |
530 |
* Area = 38% of geographical land area
|
Philippines
|
1994 |
2010 |
||||
|
Area |
Mass |
Energy |
Area |
Mass |
Energy |
|
|
CONSUMPTION |
1000 ha |
kton |
PJ |
1000 ha |
kton |
PJ |
|
total woodfuels |
|
230,501 |
346 |
|
30,329 |
455 |
|
POTENTIAL SUPPLY |
||||||
|
sust. woodfuel from forest land |
7,020 |
12,962 |
194 |
4,154 |
7,941 |
119 |
|
sust. woodfuel from agricultural areas |
21,153 |
30,819 |
462 |
25,409 |
39,177 |
588 |
|
sust. woodfuel from other wooded lands |
0 |
0 |
0 |
0 |
0 |
0 |
|
waste woodfuels from deforestation |
-254 |
45,486 |
682 |
-134 |
24,052 |
361 |
|
total potentially available woodfuels* |
27,919 |
89,267 |
1,339 |
29,429 |
71,171 |
1,068 |
|
50% of crop processing residues |
21,153 |
9,821 |
169 |
25,409 |
11,535 |
198 |
|
total potentially available biomass fuels |
|
99,088 |
1,508 |
|
82,706 |
1,266 |
* Area = 78% of geographical land area
|
Sri Lanka |
1994 |
2010 |
||||
|
Area |
Mass |
Energy |
Area |
Mass |
Energy |
|
|
CONSUMPTION |
1000 ha |
kton |
PJ |
1000 ha |
kton |
PJ |
|
total woodfuels |
|
5,681 |
85 |
|
6,769 |
102 |
|
POTENTIAL SUPPLY |
||||||
|
sust. woodfuel from forest land |
1,814 |
1,923 |
29 |
1,557 |
1,706 |
26 |
|
sust. woodfuel from agricultural areas |
4,025 |
5,273 |
79 |
4,357 |
6,015 |
90 |
|
sust. woodfuel from other wooded lands |
411 |
239 |
4 |
98 |
57 |
1 |
|
waste woodfuels from deforestation |
-18 |
1,529 |
23 |
-15 |
1,266 |
19 |
|
total potentially available woodfuels* |
6,232 |
8,963 |
134 |
5,998 |
9,044 |
136 |
|
50% of crop processing residues |
4,025 |
1,114 |
19 |
4,357 |
1,389 |
24 |
|
total potentially available biomass fuels |
|
10,076 |
153 |
|
10,433 |
159 |
* Area = 97% of geographical land area
|
Thailand |
1994 |
2010 |
||||
|
Area |
Mass |
Energy |
Area |
Mass |
Energy |
|
|
CONSUMPTION |
1000 ha |
kton |
PJ |
1000 ha |
kton |
PJ |
|
total woodfuels |
|
46,069 |
691 |
|
53,390 |
801 |
|
POTENTIAL SUPPLY |
||||||
|
sust. woodfuel from forest land |
11,957 |
12,741 |
191 |
7,970 |
9,133 |
137 |
|
sust. woodfuel from agricultural areas |
25,627 |
23,243 |
349 |
30,185 |
31,101 |
467 |
|
sust. woodfuel from other wooded lands |
0 |
0 |
0 |
0 |
0 |
0 |
|
waste woodfuels from deforestation |
-327 |
31,046 |
466 |
-199 |
18,923 |
2,834 |
|
total potentially available woodfuels* |
37,257 |
67,030 |
1,005 |
37,956 |
59,157 |
887 |
|
50% of crop processing residues |
25,627 |
10,863 |
181 |
30,185 |
18,393 |
317 |
|
total potentially available biomass fuels |
|
77,893 |
1,186 |
|
77,550 |
1,204 |
* Area = 68% of geographical land area
|
Vietnam |
1994
|
2010 |
||||
|
Area |
Mass |
Energy |
Area |
Mass |
Energy |
|
|
CONSUMPTION |
1000 ha |
kton |
PJ |
1000 ha |
kton |
PJ |
|
total woodfuels |
|
29,368 |
441 |
|
39,418 |
591 |
|
POTENTIAL SUPPLY |
||||||
|
sust. woodfuel from forest land |
9,250 |
15,943 |
239 |
7,447 |
13,471 |
202 |
|
sust. woodfuel from agricultural areas |
8,515 |
7,396 |
111 |
9,372 |
8,772 |
132 |
|
sust. woodfuel from other wooded lands |
12,288 |
7,124 |
107 |
11,713 |
6,790 |
102 |
|
waste woodfuels from deforestation |
-133 |
18,498 |
277 |
-98 |
13,697 |
205 |
|
total potentially available woodfuels* |
29,920 |
48,960 |
734 |
28,433 |
42,730 |
641 |
|
50% of crop processing residues |
8,515 |
6,352 |
99 |
9,372 |
10,128 |
157 |
|
total potentially available biomass fuels |
|
55,312 |
834 |
|
52,858 |
798 |
* Area = 92% of geographical land area
These notes help to clarify the methods, data and assumptions used for the evaluation and projection of consumption and potential supply of woodfuels (see detailed tables below).
Land Use
Land use data for 1990 (row 1-4) was obtained from FAO Forest Resources Assessment 1990 (FAO, 1993), for 1995 (row 5-6) from "State of the World's Forests" (FAO, 1997a). Land use data for 1994 was required because data on woodfuel consumption are available only up to 1994. Since these were not available, they were obtained (see row 7-9) by interpolation of the 1990 and 1995 data, assuming a constant annual growth rate during the 5 year interval.
Since data on the area under other wooded land in 1995 were not available, it was assumed constant (row 4, 10). The area under coconut, rubber and oil palm plantations (row 11) was distinguished because data and wood production could be derived from specific data on crop production, productivity and residue-to-product ratios.
Row 13-18 give the average annual change of land use in absolute terms and growth rates. The natural forest area (row 19) for the year 2010 was projected by assuming the same average annual growth rate as during 1990-95 (row 16). The area of plantations was projected by assuming the same average annual increase in hectares as during 1990-95 (row 14). As in 1994, the area of other wooded land (row 23) was assumed constant, and the area of coconut, rubber and oil palm plantations (row 24) was obtained from projected production figures.
Wood Production
Data on wood productivity of natural forest was derived from FAO data on biomass density for natural forest per country (FAO, 1993), assuming an average annual yield of 1% of the biomass density (excluding leaves, see row 27-29). For plantations and other wooded land a constant figure was assumed for all countries, based on various sources (row 30-31).
Not all wood from the resources will be available as fuel, so assumptions were made on the percentage of wood for fuel (80% for all land use types, see row 32-35).
Rows 36-43 show the potential supply of woodfuel from the various land use types for 1994 and 2010, given the data used and the assumptions on land use, productivity and availability.
Wood from Agricultural Lands
Data on the agricultural area for 1984 and 1994 (row 44-45) were obtained from FAO statistics (FAO, 1995b). The agricultural area for 2010 was projected assuming that the area will remain constant in the case of a decrease during 1984-94, and otherwise that it will increase with the same average annual increase as during 1984-94 (row 46).
The area under coffee, tea and cocoa was distinguished because the wood production for these land use types could be derived from data on crop production, productivity and residue-to-product ratios. As for wood from forest and wood land, assumptions were made on the productivity and the availability of wood for fuel (row 53-54).
Rows 55-58 show the potential supply of woodfuel from agricultural land for 1994 and 2010, given the data used and the assumptions on land use, productivity and availability.
The woodfuel supply evaluation only considers forests, other wooded land and agriculture land. Since these may not comprise the whole geographical area of a country, and other land use types may also supply wood, there may exist an additional potential or hidden supply of (fuel)wood (row 59-61).
Rows 62-67 give an overview of the potential fuelwood supply for the various land use types in kiloton per year. Rows 68-73 give the same in petajoules per year. The corresponding figures for the year 2010 are given in rows 82-87 and rows 88-93, respectively.
Potential Woodfuel Production and Requirements in 1994 and 2010
Potential Woodfuel Production and Requirements in 1994 and 2010 (cont.)
Potential Woodfuel Production and Requirements in 1994 and 2010 (cont.)
Potential Woodfuel Production and Requirements in 1994 and 2010 (cont.)
Projection of fuelwood consumption based on population growth estimates available from World Resources (WRI, 1995), with correlation coefficient 1.FAO 90: FAO Forest Resources Assessment 1990 (FAO, 1993) a: assumed ex: extrapolated
FAO 97: FAO State of the World's Forest 1997 (FAO, 1997a) d: derived es: estimated
FAOSTAT: FAOSTAT Data Base in: interpolated
Overview of Woodfuel Consumption and Production (Unit: PJ)
Note: a percentage of more than 100% means a gap between supply and demand of woodlots
Woodfuel Consumption as Percentage of Potential Supply
Fuelwood Consumption
Data on fuelwood consumption were adopted from the best estimates available to RWEDP, from various data sources (row 79). For those countries for which data on sources of fuelwood were available, i.e. the share of fuelwood from forests (row 76), the data were used to estimate the origin of the consumed fuelwood. For those countries for which such data were not available a regional average of 32% coming from forest areas was applied.
Fuelwood consumption in the year 2010 (row 95) was projected by assuming a correlation of 1 to 1 between population growth and fuelwood consumption. Population projections for all countries were available from the World Resources Institute (row 94).
|
Box 4 - R&D For Residue Combustion Diverse residues from biomass, including crop residues, are widely used as an affordable substitute for the more preferred fuels like wood. The present users include poor households and many traditional industries. Future use may increase under conditions of increasing pressure on local fuelwood resources, and/or further marginalization of certain population groups. Crop residues like rice husks and straw, coconut husks and shells, palm oil kernels, shells and fibre, as well as saw dust and other loose biomass provide a vast potential for fuel use. This holds true even under the conservative assumption that only half of the processing residues would be used as a fuel. As yet, most residue fuels are bulky to transport, difficult to handle, and inconvenient and unhealthy to combust. More R&D should be and can be done to upgrade future fuels from crop residues and improve their combustion characteristics by cost-effective technologies. Reference is made to the following RWEDP publications · Biomass Briquetting: Technology and Practices, (Grover, P.D. and Mishra, S.K., 1996) · Proceedings of the International Workshop on Biomass Briquetting, (Grover P.D and Mishra, S.K. (ed), 1996) · Proceedings of the Workshop on Stoves for Use with Loose Residues (RWEDP, 1997a) · Proceedings of the Regional Expert Consultation on Selection Criteria and Priority Rating for Assistance to Traditional Biomass Energy Using Industries (RWEDP, 1997b) · Proceedings of the Regional Consultation on Introducing Modern Technologies and Systems for Efficient Use of Wood and Biomass for Major Types of Industries or Ecological/Economic Situations (RWEDP, 1997c) |
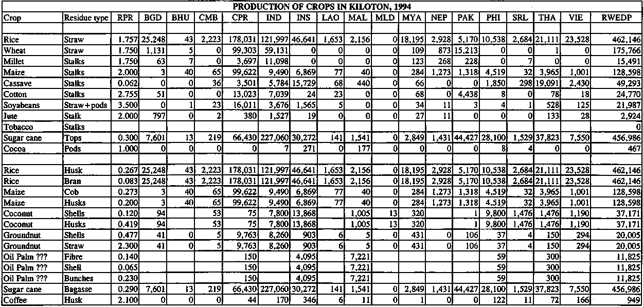
Potential Production of Crop Residue Fuel in 1994
Sources:Crop production data: Selected Indicators of Food and Agriculture Development in Asia-Pacific Region 1985-1995. FAO-RAP Publication 1996/32 (FAO, 1996b)Residue to product ratio (RPR): Traditional Energy Use and Availability of Agricultural and Forest Residues, (Koopmans A., 1995)
Crop Production And Amount Of Residues Produced In 1994 (* 1,000 Tons) And Oil Equivalent
|
Crop |
Type |
Residue |
LHV |
Crops |
Residues |
Oil equiv. |
PJ |
|
Field-based residues | |||||||
|
Rice |
Straw |
1.757 |
16.02 |
462,146 |
811,991 |
305,354 |
13,008 |
|
Wheat |
Straw |
1.750 |
12.38 |
175,766 |
307,591 |
89,389 |
3,808 |
|
Millet |
Stalks |
1.750 |
12.38 |
15,491 |
27,109 |
7,878 |
336 |
|
Maize |
Stalks |
2.000 |
16.80 |
128,598 |
257,196 |
101,429 |
4,321 |
|
Cassave |
Stalks |
0.062 |
17.50 |
49,293 |
3,056 |
1,255 |
53 |
|
Cotton |
Stalks |
2.755 |
12.38 |
24,770 |
68,241 |
19,832 |
845 |
|
Soyabeans |
Straw + pods |
3.500 |
12.38 |
21,987 |
76,956 |
22,364 |
953 |
|
Jute |
Stalks |
3.000 |
12.38 |
2,924 |
8,772 |
2,549 |
109 |
|
Tobacco |
Stalks, etc. |
2.000 |
|
0 |
0 |
0 |
0 |
|
Sugar cane |
Tops |
0.300 |
15.81 |
456,986 |
137,096 |
50,880 |
2,167 |
|
Cocoa |
Pods |
1.000 |
12.38 |
467 |
467 |
136 |
6 |
|
Processing-based residues | |||||||
|
Rice |
Husk |
0,267 |
15.58 |
462,146 |
123,393 |
45,128 |
1,922 |
|
Rice |
Bran |
0.083 |
13.97 |
462,146 |
38,358 |
12,579 |
536 |
|
Maize |
Cob |
0.273 |
16.28 |
128,598 |
35,107 |
13,417 |
572 |
|
Maize |
Husks |
0.200 |
12.38 |
128,598 |
25,720 |
7,474 |
318 |
|
Coconut |
Shells |
0.120 |
18.10 |
37,171 |
4,461 |
1,895 |
81 |
|
Coconut |
Husks |
0.419 |
18.62 |
37,171 |
15,575 |
6,808 |
290 |
|
Groundnut |
Husks |
0.477 |
15.66 |
20,005 |
9,542 |
3,508 |
149 |
|
Groundnut |
Straw |
2.300 |
12.38 |
20,005 |
46,012 |
13,371 |
570 |
|
Oil Palm |
Fibre |
0.140 |
11.34 |
11,825 |
1,656 |
441 |
19 |
|
Oil Palm |
Shell |
0.065 |
18.83 |
11,825 |
769 |
340 |
14 |
|
Oil Palm |
Bunches |
0.230 |
8.16 |
11,825 |
2,720 |
521 |
22 |
|
Sugar cane |
Bagasse |
0.290 |
18.10 |
456,986 |
132,526 |
56,308 |
2,399 |
|
Coffee |
Husk |
2.100 |
12.38 |
949 |
1,993 |
579 |
25 |
|
TOTAL AMOUNT OF FIELD BASED RESIDUES |
1,698,474 |
601,067 |
25,605 | ||||
|
TOTAL AMOUNT OF PROCESSING BASED RESIDUES |
437,830 |
162,369 |
6,917 | ||||
|
TOTAL AMOUNT OF AGRICULTURAL CROP RESIDUES |
2,136,304 |
763,436 |
32,522 | ||||
Lower Heating Values (LHV) for crop residues available from: Traditional Energy Use and Availability of Agricultural and Forest Residues (Koopmans, A., 1995)
Potential Production of Crop Residue Fuel in 2010
Production assumed to increase with the same average annual increase as during 1985-1995. In case of a decrease, production was assumed to be as in 1995.
Crop production and amount of residues produced in 2010 (* 1,000 Tons) and oil equivalent
|
Crop |
Type |
Residue |
LHV |
Crops |
Residues |
Oil equiv. |
PJ |
|
Field-based residues | |||||||
|
Rice |
Straw |
1.757 |
16.02 |
588,052 |
1,033,206 |
388,544 |
16,552 |
|
Wheat |
Straw |
1.750 |
12.38 |
245,463 |
429,559 |
124,834 |
5,318 |
|
Millet |
Stalks |
1.750 |
12.38 |
10,994 |
19,239 |
5,591 |
238 |
|
Maize |
Stalks |
2.000 |
16.80 |
226,409 |
452,818 |
178,576 |
7,607 |
|
Cassave |
Stalks |
0.062 |
17.50 |
48,680 |
3,018 |
1,240 |
53 |
|
Cotton |
Stalks |
2.755 |
12.38 |
36,820 |
101,439 |
29,479 |
1,256 |
|
Soyabeans |
Straw + pods |
3.500 |
12.38 |
32,189 |
112,662 |
32,741 |
1,395 |
|
Jute |
Stalks |
3.000 |
12.38 |
451 |
1,352 |
393 |
17 |
|
Tobacco |
Stalks, etc. |
2.000 |
|
0 |
0 |
0 |
0 |
|
Sugar cane |
Tops |
0.300 |
15.81 |
741,636 |
222,491 |
82,572 |
3,518 |
|
Cocoa |
Pods |
1.000 |
12.38 |
761 |
761 |
221 |
9 |
|
Processing-based residues | |||||||
|
Rice |
Husk |
0.267 |
15.58 |
588,052 |
157,010 |
57,423 |
2,446 |
|
Rice |
Bran |
0.083 |
13.97 |
588,052 |
48,808 |
16,006 |
682 |
|
Maize |
Cob |
0.273 |
16.28 |
226,409 |
61,810 |
23,621 |
1,006 |
|
Maize |
Husks |
0.200 |
12.38 |
226,409 |
45,282 |
13,159 |
561 |
|
Coconut |
Shells |
0.120 |
18.10 |
48,053 |
5,766 |
2,450 |
104 |
|
Coconut |
Husks |
0.419 |
18.62 |
48,053 |
20,134 |
8,800 |
375 |
|
Groundnut |
Husks |
0.477 |
15.66 |
27,786 |
13,254 |
4,872 |
208 |
|
Groundnut |
Straw |
2.300 |
12.38 |
27,786 |
63,908 |
18,572 |
791 |
|
Oil Palm |
Fibre |
0.140 |
11.34 |
23,219 |
3,251 |
865 |
37 |
|
Oil Palm |
Shell |
0.065 |
18.83 |
23,219 |
1,509 |
667 |
28 |
|
Oil Palm |
Bunches |
0.230 |
8.16 |
23,219 |
5,340 |
1,023 |
44 |
|
Sugar cane |
Bagasse |
0.290 |
18.10 |
741,636 |
215,074 |
91,381 |
3,893 |
|
Coffee |
Husk |
2.100 |
12.38 |
1,382 |
2,902 |
843 |
36 |
|
TOTAL AMOUNT OF FIELD BASED RESIDUES |
2,376,545 |
844,191 |
35,963 | ||||
|
TOTAL AMOUNT OF PROCESSING BASED RESIDUES |
644,049 |
239,684 |
10,211 | ||||
|
TOTAL AMOUNT OF AGRICULTURAL CROP RESIDUES |
3,020,594 |
1,083,876 |
46,173 | ||||