Previous Page Table of Contents Next Page


3 Guidelines for forest management planning


3.1 The forest management planning process
3.2 Yield prediction
3.3 Determination of the allowable cut
3.4 Yield regulation
3.5 Forest management planning
3.6 Harvest planning
3.7 Further reading


3.1 The forest management planning process


3.1.1 The basic elements of planning
3.1.2 Two time horizons of planning
3.1.3 Legislation for management planning
3.1.4 Balance between production, social and environmental objectives
3.1.5 The participation of all interest groups in planning


3.1.1 The basic elements of planning

Planning is an active process requiring careful thought about what could or should happen in the future and involves the coordination of all relevant activities for the purpose of achieving specified goals and objectives. Planning is an integral component of forest management; is about determining and expressing the goals and objectives which government, rural communities or companies have, and for deciding the targets and steps that should be taken in order to achieve those objectives.

Planning need not be a complicated process but it requires clear objectives which a government or other group aims to achieve. It requires imagination and a willingness to consider all points of view having relevance to a given situation. The planning process should lead to the formation of a balanced outlook from which proposals for effective management can be written. An element of flexibility is desirable and necessary, however, in order to cope with unforeseen events which could affect the achievement of the objectives.

A range of information is used in planning to evaluate the benefits and drawbacks of alternative courses of action, which enables preferred options to be determined, coordinated with other activities, and expressed in writing. Information should be of good quality. Information of questionable quality should either be discarded or, if used, it should be noted that it is of poor quality and one of the activities of the plan should be acquiring better quality information.

3.1.2 Two time horizons of planning

Forest management plans should have a minimum duration, or length, of 10 years. A shorter period than 10 years does not provide the medium-term stability that is needed to guide consistent implementation of sustainable forest management activities. A realistic maximum length is 20 years. The duration is also called the term, or period, of a plan. A management plan should include prescriptions that provide for:

· Review at the mid-point of the plan,
· Review in the final year of the plan,
· The preparation of a new plan upon expiry of the present plan.

Annual plans of operations are written for a one-year period and should be derived from a five-year (or longer) management plan. A Plan of Operations should express specific activities in tabular form for one year only and for a specific locality, such as a felling area. An example of the tabular structure of a plan of operations is shown in Annex 5.

The relationships between elements of medium-term and annual forest management planning cycles are shown in Figure 24. Table 13 describes a tiered structure of long-, medium- and short-term management relationships. A number of commonly used terms in forest management planning and in the implementation of plans are defined in Figure 25.

Figure 24: The Forest Management Cycle

Table 13: The Tiered Forest Management Planning System

Management Level

Time Frame

Key Elements of Forest Management

Strategic Issues

National

> 10 years

Conservation driven forest policies


Sub-national

> 10 years

Forest Sector Development Plans

Operational Issues

Forest Management Unit

10 years

1. Management function - Planning
- Integrated forest resources inventory
- Environmental impact assessment
- Forest zoning by forest functions
- Forest protection
- Integration of customary land rights
- Yield regulation


Compartment

Annual

2. Management Function - Implementation
- Low impact forest resources management
- Yield allocation according to stand maturity
3. Management Function - Control
- Forest resources accounting
- Periodic revision of management plans

Source: adapted from the Malaysian-German Forest Management and Conservation Project

3.1.3 Legislation for management planning

A component of forest legislation that applies to a country or province should be that management plans are to be prepared for State forest land and for forest lands in non-State tenure the conservation of which is in the national or provincial interest or where subsidiaries or incentives are paid to promote forestry development.

The following guidelines indicate the primary requirements that should be included in forests legislation in respect of forest management planning:

· Subject to the rights existing in a forest when a management plan comes into operation, forests legislation should specify that a plan must regulate the management of forest land in conformity with the management objectives for a specified time period.. The maximum number of years for which a management plan can be in operation should be specified. It should not be less than five year nor more than 20 years. Scope for review of a plan during the planning period should be provided.

Figure 25: Commonly Used Terms in Forest Management Planning

Forest Management Plan: A document that translates forest policies into a coordinated programme for a forest management unit and for regulating production, environmental and social activities for a set period of time through the use of prescriptions specifying targets, action and control arrangements.
Forest Management Unit: An area of forest for which an approved. Forest Management Plan is in operation, or any subdivision of it, such as a block (a specified locality) or a felling series.
Felling Series: Specific compartments of a Forest Management Unit that are being managed in a specific way for silvicultural reasons and also have an independently calculated harvest yield.
Plan of Operations: A tabular statement showing the order and extent of forest work to be carried out during one year and is based upon the prescriptions of a Forest Management Plan. The term is synonymous with Annual Work Plan.
Compartment: A permanent, geographically recognisable unit of forest land forming the basis of prescription and permanent record of all forest operations.
Sub-compartment: A sub-division of a compartment, sometimes temporary, where because of particular characteristics an area of forest has a special description and requires separate silvicultural treatment.
Prescription: A concisely written specification in a forest management plan that translates an objective, or a part of one, into an operational activity.
Mean Annual Increment (MAD): The total increment, usually volume, up to a specified age, divided by that age.
Current Annual Increment (CAI): The average increment, usually volume, for a management plan prescription, including where, when and how the yield should be extracted.
Yield Regulation: The determination of the yield and its expression in a management plan prescription, including where, when and how the yield should be extracted.
Working Circle: One or more parts of a working plan area, not necessarily adjoining, having the same objectives, silvicultural system and prescriptions.
Working Plan: A document that regulates wood production, silviculture and tending activities for a specific period of time through the application of prescriptions specifying targets, action and control arrangements. A Working Plan is not synonymous with a Forest Management Plan.
Source: Terminology of Forest Science. Technology, Practice and Products. Society of American Foresters. 1971.

· Each forest management plan should specify:

- the maximum area from which forest produce may be harvested, or the maximum quantity of forest produce which may be harvested, or both, in a given time period,

- the forest protection operations to be carried out,

- the forest development operations to be carried out, including silviculture,

- other matters which are necessary or appropriate in order to implement management objectives effectively. This could include forest inventory, mapping, technical and social surveys, and public consultation.. A management plan to be applied to State or private forest land should be approved by the Ministry responsible for forestry or other specified authority.

3.1.4 Balance between production, social and environmental objectives

Forests provide a wide range of benefits at local and national levels. Log production is usually the main objective and revenue earned for governments and companies is the major driving force in tropical forest harvesting. Revenue earned from log harvesting will usually be the main funding source for long-term sustainable tropical forest management.

Many communities depend heavily upon non-wood forest products for subsistence and as a basis for local trade, for example, canes, medicinal and food plants, gums, resins and wildlife. Tropical forests are an essential source of energy for many communities, directly through burning of wood for cooking and heating and indirectly to protect watersheds as source of water for hydroelectricity generation. They have an important role in protecting physical and biological environments at local and provincial levels. Tropical forests are dwelling places for many millions of people and are increasingly of value for recreation and tourism, notably "eco-tourism". They are important havens for wildlife and are the habitats of many endangered species of plants and animals. It is essential in tropical forest management planning to achieve a balance between the long-term between wood production, social and environmental management objectives.

3.1.5 The participation of all interest groups in planning

The initiative for the formulation of a forest management plan should be taken by the forest owner, such as the state, or by a concession holder on behalf of the owner. Local communities and others having historical rights or privileges in a forest are important stakeholders and must be involved in planning. The likelihood that sustainability will be achieved will be considerably enhanced if local people who live in and around tropical forests have a say in and participate in management planning and are able to share in the benefits of forest use to ensure that their basic needs are met. The steps that can be taken can include:

· Granting secure tenure to existing productive farmland within the forest
· Local participation in management decision-making.
· Guaranteed access to forest products.
· Provision of employment.
· Shared benefits in forest harvesting.

Accommodation of the respective interests of forest management companies and local community groups can be eased with the recognition that companies and indigenous communities are, in most cases, interested in different things - industrial logs by forest management companies on the one hand and small dimension wood and non-wood products by local communities on the other. A positive approach towards adapting the interests of both groups is to include rural communities as partners in forest management and to share the benefits of wood production with them.

3.2 Yield prediction


3.2.1 Types of yield prediction models
The basic steps involved in the construction of a yield prediction model
3.2.2 Examples of yield prediction modelling technology


3.2.1 Types of yield prediction models

A yield prediction model uses the quantitative relationships between measured growth variables to predict yields of forest types, and is a tool that helps to schedule and regulate harvests at sustainable levels. Two basic methods are available for their construction, diameter class (or stand table) projection and cohort modelling. Both depend upon the use of comprehensive growth data to construct and fit a yield prediction equation. Detailed development and application of both methods require specialized assistance that is beyond the scope of these Guidelines but descriptions of each are included to illustrate the basic steps involved in their construction.

The basic steps involved in the construction of a yield prediction model

Diameter Class Growth Projection

The manual method of diameter class growth projection is the oldest method, first used in Myanmar in 1856, and used elsewhere for simulating the growth of tropical forests. A tree population/diameter class distribution is compiled using PSP summary data. DBH classes are in 5 or 10 cm intervals. Stratification of the tree population can be made on the basis of species groups. Average diameter growth and average tree mortality rates are determined from periodic measurements of PSP, for each diameter class. Growth is projected for a five-year period for each diameter class per hectare by applying growth and mortality rates.

Construction of a Growth and Wood Yield Prediction Model

The process of fitting a yield prediction model from forest data may be by fitting the field data to a pre-determined regression, for example, a linear regression, or manually by plotting the data on graph paper; equations can then be developed from the hand-drawn curves. The use of personal computers allows statistical procedures to be applied with greater precision and more quickly than manual methods.

Testing of a Yield Prediction Model for its Validity

A wood yield prediction model must be tested to determine its validity and precision. The precision of a yield model will depend on how well the PSP represent the forest, the number and period of the remeasurements, on covariances of the predictor variables and on coefficients used in the model.

Model testing is best done using a second set of forest data which was not used during the preparation of the yield model. The model is used to predict the behaviour of the forest from where the test data were collected and the results are compared with the actual observations. It is often necessary to repeat this stage several times. Adjustments to the model are made as a result of anomalies, or irregularities, that show up at each stage of testing.

Application of the Yield Model to the Required End-Use

A yield model may be applied in one of three ways:

· To forecast timber out-turn through a simple table or graph or a set of both. These can be used by forest planners directly or tables can be entered into a computer for updating of inventory data.

· To test forest management options as a computer or calculator programme which produces a table or graph of growth and yield for a particular set of treatments.

· To provide information on timber outputs for wider aspects of forest planning

Readers will find references at the end of this chapter for detailed guidance on the development of yield prediction models.

3.2.2 Examples of yield prediction modelling technology

A Simple Diameter Class Growth Projection Model

Data Assembly:

Assemble the relevant tree population and size data collected from a CFI for a whole forest management unit, or a part of it (a felling series), for which a yield determination is proposed.

Stand Table Preparation:

Using PSP summary data, compile a tree population/diameter class distribution. DBH classes are typically in 5 cm intervals, e.g. 30-35 cm. Stratification of the tree population into smaller groupings can be made, based on species groups, e.g. "present commercial", "potentially commercial" and "presently non-commercial" species, and also on crown illumination classes.

Growth and Mortality Rates:

Determine average diameter growth and average tree mortality rates from PSP data, for each diameter class.

Diameter Class Projection:

Growth is projected for a five year period for each diameter class, on a per hectare basis, by applying growth and mortality rates. An adjustment is made to reflect the actual rather than the step-wise diameter class distribution of a stand because there are fewer trees in the upper part of a diameter class than in the lower part. In its simplest form, diameter class growth for each separate diameter class can be projected by applying the following formula:

where:

N = the number of trees growing from one diameter class to the next,
S = number of live trees in each diameter class,
I = average diameter increment for the class (cm),
q = an adjustment factor for each specific forest type and groups of diameter classes that is used to reflect the actual diameter class distribution.

The calculations can be carried out using standard spreadsheet software on a personal computer.

DIPSIM (Dipterocarp Forest Growth Simulation Model): an Empirical Individual-tree Growth Simulation Model

DIPSIM is an empirical individual-tree growth simulation model that has been developed in Sabah, Malaysia, as a management planning tool for natural Dipterocarp forests specifically for the purpose of:

· predicting annual growth in terms of stocking, volume and basal area,

· predicting changes in stand characteristics for periods of up to 60 years,

· providing decision-support in yield regulation through the simulation of different harvesting prescriptions.

Main Features of the DIPSIM Modelling Process

Diameter Growth:

Developing a multiple regression that relates basal area increment of individual trees to tree basal area, site quality, stand basal area and overtopping basal area. Increment equations have been developed for groups of species having similar growth patterns; 20 growth groups in all. Diameter increment patterns are developed for each species group.

Mortality:

Developing a model that reflects regular and catastrophic mortality and predicts the probability of mortality from tree size and stand competition.

Recruitment:

The model predicts recruitment rates for species in seven timber groups into the lowest (10 cm) stem diameter class.

Harvesting:

Three steps are included in the harvesting component;

· stocking assessment - the model compares the actual stocking of a stand against pre-defined post-harvest minimum stocking standards. In Sabah, a post-harvest minimum stocking of at least 8-10 trees/ha _ 60 cm dbh after 40 - 60 years.

· tree selection and removal - predetermined minimum and maximum diameter cutting limits of 60 cm and 120 cm respectively are specified in the model.

· harvesting damage - the user can specify in the model the percentage of trees expected to be destroyed in two size classes, 10-39 cm and_ 40 cm. The model randomly selects trees, removes them from the simulation database and places them into a mortality account database.

Model Operation:

The PC-based DIPSIM is programmed in relational database software and the model structure consists of three main modules, database preparation, simulation and output. These are shown in Figure 26. The output module summarizes the simulation output in the following forms:

. stand and stock tables,

. volume increment tables,

. harvesting tables, comprising a harvest composition table and an annual harvest record table.

Operation of this system is explained in a manual: DIPSIM: an Empirical Individual-tree Growth Simulation Model, Ong, R. & Kleine, M. 1995. Research Paper No. 2, FRC, Forest Department, Sabah, Malaysia.

Figure 26: The DIPSIM programme structure

Although practical and easy to understand, this and other diameter class projection methods do not effectively take changes in stand density or the consequences of spatial distribution (of diameter classes) of tropical forests into account. They are best used for preliminary yield analysis. For more accurate work the cohort modelling approach should be used.

Cohort Modelling

The term "cohort model" refers to a group of trees of the same species group and size class which is the basic information unit used for cohort growth modelling.

· CAFOGROM Model: A new and powerful tool for growth modelling research workers is the CAFOGROM model, developed at the Centro do Pesquisa Agropecuaria da Amazonia Oriental, in Brazil. It is a cohort model that is directed towards the analysis of PSP data from mixed tropical forests to produce growth and yield models. Although the CAFOGROM model is complex and does not provide, in itself, a standard set of computer programmes for the analysis of PSP data, the method is described in order that this new approach can become more widely known and to encourage local research on growth modelling. The four development stages of the CAFOGROM model are explained in Figure 27.

Figure 27: Main Features of the CAFOGROM Modelling Process

Data Entry, Editing and Preliminary Processing:
Topics: Design of a PSP database, data checking, calculation of basic variables, such as increment, derivation of tree competition indices, formatting and condensing data for statistical analysis. Application: Establishment of a PSP data processing system, including all preliminary calculations for functional or transition matrix development.

Diameter Class Projection:
Topics: Formation of a stand table as a description of forest structure, mathematical and classical stand projection methods by diameter classes, matrix methods, pragmatic adaptations and case study for a complete model. Application: Description of analysis methods leading to either a spreadsheet stand projection model, or transition matrix model. Suitable for simple, highly aggregated models for broad forest-sector planning or feasibility studies.

Cohort Models for Forest Growth:
Topics: Analysis of growth functions for diameter increment, mortality and recruitment. Modelling harvesting operations and felling damage.
Application: Development of a dynamic simulation model for tropical mixed forests based on the cohorts/growth function approach. Suitable where good PSP data for many plots are available.

Growth Model Validation and Application:
Topics: Methods of validating functions by residual analysis. Use of growth models for forest planning, compatibility of inventory data, management information systems and the role of a growth model in them.
Application: Validation and application of a growth model as a component of a forest management system for use in the production of cutting plans in conjunction with inventory data.

Readers are referred to a manual and demonstration computer software on the technology in Growth Modelling for Mixed Tropical Forests, by Dr. D. Alder, 1995, Tropical Forestry Paper No. 30, Oxford Forestry Institute, University of Oxford.

· SIRENA Model: In early 1996 a model called SIRENA I was developed for applied forest management in Costa Rica, Central America. It is an operational growth modelling tool, conceptually similar to CAFOGROM, but based on the analysis of local PSPs. SIRENA I is being used in the northern part of Costa Rica by an NGO CODEFORSA (Comisión de Desarrollo Forestal de San Carlos/Commission for Forest Development in San Carlos) for making management plans for private forest owners in that region of the country. SIRENA is based on "Excel" and "Visual Basic for Applications" software. SIRENA II is a revised version of SIRENA I based on operational experience with SIRENA I which is a flexible operational tool where a user may specify treatments and outputs. It is also used in Costa Rica.

· Queensland Model: The Queensland model, used until harvesting was discontinued for environmental conservation reasons in 1988, was developed to predict the growth of commercially loggable harvests in mixed species, uneven-aged rainforests in North Queensland, Australia. More than 100 commercial species and several hundred others are aggregated into about 20 species groups based on growth habit, volume relations and commercial criteria. Trees are grouped into cohorts, according to species group and tree size, which form the basis for simulation. Equations have been developed to predict increment, mortality and recruitment. The model has been used for determining wood harvests from north Queensland forests and provide an objective basis for investigating the effects of rain forest management strategies. The approach is expected to be applicable to other natural tropical forests.

3.3 Determination of the allowable cut


3.3.1 Classical methods for determination of the allowable cut
3.3.2 Determination of the AAC where regrowth and previously harvested forest occurs


3.3.1 Classical methods for determination of the allowable cut

Yield regulation, irrespective of the silvicultural system being applied, provides a basis for deriving a log harvest which is in balance with forest increment and for controlling the output to ensure that the cut is neither exceeded nor undercut. In many tropical forests where a knowledge of the uncut and regrowth forest resources is incomplete, where there is little or no information of forest increment and where forest management is being introduced for the first time, the allowable cut should be derived using one of the classical empirical procedures.

There is no alternative in these situations but to use an empirical approach. Four allowable cut determination procedures are explained to enable the reader to appreciate and understand the main features of each. In practice, the choice and use of each method depends upon the silvicultural system being applied, either polycyclic or monocyclic, in a specific forest situation. The methods are:

· A combination of area and the felling cycle.
· A combination of area, volume and the felling cycle.
· A combination of volume and forest increment.
· A consideration of volume only.

Each of these methods provides only a general guideline for deriving an allowable cut. Notwithstanding this qualification, a application of one of the methods having relevance to the technical characteristics of a forest management unit and the management objectives will be a positive contribution to sustainable forest management where at present no other basis for this exists. Selected technical reports listed at the end of the chapter explain each method and how they are applied in practice.

New computer-based methods of yield determination are currently being developed and have the potential for achieving much greater precision than do older methods. Their use depends upon having good quality information of tree diameter class distributions, tree volumes, growth, recruitment and tree mortality derived from CFI. The new procedures enable a user to calculate on a personal computer the increment of tree diameters and basal area over time, make allowances for tree recruitment and mortality, to simulate harvesting and logging damage and thus project forest growth and yield. Specialist technical assistance is required in order that these new methods are able to be applied in a specific forest situation.

Figure 28: Some Common Terms Used in Yield Determination and Harvest Planning

Allowable Cut, Prescribed Cut, Prescribed Yield and Permissible Yield: A dearly expressed specification of the average quantity (of wood, bamboo or cane), usually in an approved management plan, that may b e harvested from a forest management unit, annually or periodically over a five- or ten-year period.
Annual Allowable Cut (AAC): The Allowable Cut expressed on an annual- basis.
Annual Cutting Area (ACA): The area of productive forest which may be cut in one year. The ACA is synonymous with Felling Area, Cutting Area and Annual Coupe.
Annual Yield and Periodic Yield: The volume or number of stems that can be removed in a specific area in one year, or during a specified period, respectively.
Felling Cycle: The planned period, in years, within which all parts of a forest zoned for wood production and being managed under a selection silvicultural system should be selectively cut for logs. The term is synonymous with Cutting Cycle.
Rotation: The planned number of years between the establishment of a crop (by planting or regeneration) and final felling. The term is applied where forest is managed under a monocylic silvicultural system.
Sustainable Yield: The equilibrium level of production from the growth rate of trees comprising a forest, annually or periodically, in perpetuity. It means the continuous production with the aim of achieving an approximate balance between net growth of a forest and harvest.
Yield Determination: The calculation, by volume or by area (or a combination of both), of the amount of forest produce that may be harvested annually, or periodically, from a specific area of forest over a stated period, in accordance with the objects of management.
Yield Planning: The allocation over time of land units within a productive forest for harvesting in a manner calculated to yield sustainable amounts of logs and other products, while ensuring the maintenance and regeneration of the forest's productive capacity which may be required to support that production.
Source: Terminology of Forest Science. Technology and Products: Society of American Foresters. 1971.

· A Combination of Area and the Felling Cycle

Where the polycyclic silvicultural system is being applied in an uneven aged forest, the Annual Cutting Area (ACA) can be derived by dividing the area of the net productive forest into equal parts depending upon the length, in years, of the felling cycle. The most productive area is determined by zoning, described in Part II, section 1.1.3, by deducting the area of land which is "unproductive", from a wood production point of view, from the total area of a forest management unit. This method can also be applied in forest types being managed under monocyclic silviculture, such as in mangroves or bamboo. In equation form, the area control method is expressed as follows:

where:

ACA = the ACA; the maximum area of forest which may be cut each year,
TA = the total area of a forest management unit,
UA = the "unproductive" forest area,
n = the length of the felling cycle, in years.

The Annual Cutting Area method can only provide a general, though rapidly determined, indication of allowable cut. Because it is the simplest and least precise method it should not be applied without clear specification of species, tree diameter sizes and numbers of trees per ha which may be harvested.

· A Combination of Area, Volume and the Felling Cycle

In its simplest form, the Annual Allowable Cut (AAC) can be derived by combining the maximum felling area which may be cut each year with the volume of wood in the felling area that has been determined from a pre-harvest inventory, described in Part II, section 1.3.5. The volume figure used can be revised as more volume information becomes available from later inventories. The nominated stem diameter is a variable figure and dependent mainly on the type of forest being managed. It can be as low as 30 cm in some forest types and more than 60 cm in others. This method is expressed as follows:

where:

V = the average volume per ha of commercial species above a specified stem diameter that is estimated from the first forest inventory.

A = the area of a whole forest, or of a felling series.

N = the length of the felling cycle, in years.

This approach is used in Dipterocarp dominant hill forest concessions in Indonesia where n, the felling cycle, is 35 years. It is a relatively simple and easily understood approach and allows yields to be determined easily. In practice, maximum and minimum values are determined and form the basis of the AAC for each concession. The method does not reflect the losses in volume which always occur during logging, caused by stem breakage, nor does it account for volume losses through stem decay. It also disregards increment of existing or potential timber trees. The AAC can be reduced by an "exploitation factor" and a "safety" factor (0.7 and 0.8 respectively in Indonesia) which provides some allowance for losses at harvesting and also for damage to a residual stand during logging.

A modification of this procedure is applied in the Dipterocarp forests in the Philippines. The procedure recognises the variability in size and distribution of large trees in different forest types and it considers an estimate of the volume which can be cut, derived from a yield table. It is explained in Annex 3.

· A Combination of Forest Volume and Forest Increment

In uneven-aged forests where selection cutting is proposed or is underway and where comprehensive forest inventory data and a confident knowledge of current annual increment are available, the Gehrhardt Method provides a basis for determination of the allowable cut. It is expressed as follows:

where:

If = the Current Annual Increment for the forest,
In = the CAI for a theoretically normal forest,
Vf = the total volume for the forest determined by inventory,
Vn = the total forest volume for a theoretically normal forest,
AP = a planned adjustment period for the forest to reach normality.

A drawback in the use of the Gehrhardt Method is the difficulty of deriving a theoretically normal forest and the uncertainty of knowing whether it will be possible to plan cutting over a sufficiently long period to achieve a normal distribution of area classes.

An alternative approach which also depends upon having a reliable knowledge of increment but avoids the need to derive a theoretical normal forest structure, is the Cotta Method. It enables the cut to be determined for a forest being managed under an irregular shelterwood silvicultural system and is explained in Annex 3.

· Yield Determination Based on Volume Only

Where a forest management unit is being managed under a monocyclic silvicultural system and there is currently no knowledge of increment, the most simple method for yield determination is to divide twice the volume of the growing stock by the rotation or cutting cycle. Known as the Von Mantel Method, it does not consider increment, forest structure or variability in growth and volume at all and thus can only provide a very general indication of forest yield. It does however have the benefit of being simple, its use requires only a small amount of data and the yield determination tends to be conservative. In equation form the Von Mantel Method is expressed as follows:

where,

R = the rotation (cutting cycle) for the major tree species comprising the growing stock.

V = the average volume of commercial species above a specified stem diameter that is estimated from the first forest inventory.

3.3.2 Determination of the AAC where regrowth and previously harvested forest occurs

For increasingly large areas of tropical forests the AAC needs to be determined where regrowth and previously harvested forest occur and where there are declining areas of primary forests. The empirical methods described in the previous section are less appropriate is these situations. A typical mixed forest resource structure where an alternative approach for determination of the AAC is required is as follows:

· Some primary forest, yet to be harvested;

· Some previously worked forest where a range of harvesting densities, from light to heavy, have been applied over the past 10 to 30 years, and regrowth has led to a new forest structure;

· Some land that has been cleared of forest through shifting cultivation or wildfires and where a pioneer forest has developed.

A helpful approach for determination of the AAC where a mixed forest structure occurs is as follows:

· Undertake forest zoning to determine the net productive area, being careful to exclude all forest land where social and environmental constraints will preclude any wood production at all.

· Update the forest resources statement for the net productive area of primary and secondary forests by undertaking new inventory.

· Calculate the AAC for regrowth forests that have been harvested previously, and for pioneer forests if applicable, plus the AAC for the remaining primary forest resources which can be cut over a period of "X" years.

· Define a "target growing stock" of commercially harvestable volume for the forest management unit. This is a value judgement based on ecological as well as commercial criteria.

· Using a growth simulation system, such as SIRENA or DIPSIM, derive a cutting cycle, in years, that will be required in order to reach the target growing stock. The cutting cycle will vary, depending upon species and their distribution, the damage pattern, the distribution of wood resources and site productivity. Several different harvesting prescriptions will need to be simulated in order to arrive at a practical and commercially realistic cutting cycle.

· Again using a growth simulation system, determine the adjustment period that will be required in order to achieve the target growing stock for the net productive area of forest.

3.4 Yield regulation


3.4.1 Guidelines for yield regulation planning
3.4.2 Yield control


3.4.1 Guidelines for yield regulation planning

Yield regulation, or allocation, involves making decisions that lead to clear specifications of where and under what conditions a harvest may be cut using AAC and technical information about a forest. It is a critically important part of sustainable tropical forest management. Practical guidelines for yield regulation planning for each compartment that is included in an annual cutting plan are:

· Technical information;

- the average volumes of different species,

- diameter class distribution and the minimum diameter that may be cut,

- distribution of trees on the ground in relation to topography and practical road access,

- site types and the characteristics of the silvicultural system, or systems, specified in a management plan that are being applied in the forest,

- technical information for unlogged, previously logged and secondary forests on each compartment should be considered separately because of differences in tree species, stem diameters and tree distribution that almost always occur. Yield allocation will inevitably be different for each of these classes of forest.

· Clearly define on maps and on the ground those areas of forest which are to be excluded, through zoning, from logging for environmental or social reasons. Harvest planning maps can either be manually drawn or GIS generated.

· It is desirable that yield allocation plans be prepared two and preferably three years in advance of logging to enable roadline logging and road construction to take place, for roads to settle before use and, where necessary, for climber cutting to be completed.

· Wood harvested from roadlines should be allocated as a part of the annual allocation for the year; it should not be an additional allocation of yield.

3.4.2 Yield control

Annual Control of Yield

On a year to year basis it is essential that frequent checks be made by a forest manager to ensure that the AAC and other details of cutting prescriptions are followed by logging crews. A programme of continuous log measurement, or scaling, provides an annual and a compartment-by-compartment basis for yield control. This is an essential practical aspect of sustainable tropical forest management and is a part of operational monitoring.

It is usually difficult to extract equal volumes of wood or other produce every year because of the variability within a forest and physical difficulties caused by wet weather and short term changes in market demand and prices. Some variation, perhaps as much as 15 per cent above and below a prescribed volume, in the annual rate of harvest can be expected and needs to be planned for. Three approaches for managing this situation are:

· Subtract an "overcut" from the prescribed harvest level for the following one (or two) years.

· Add all or part of an "undercut" to the prescribed harvest level for the following year.

· Cancel an "undercut" and add this volume to the total forest growing stock for the next five years and recalculate the AAC.

Long Term Control of Yield

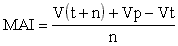
Year-by-year indications of wood harvests and comparisons with the AAC does not enable the question of whether a forest is being managed sustainably to be properly answered. In order to monitor the yield over a longer term, of at least 15 years, the MAI for the whole of the forest management unit should be derived for this period and should be balanced against the total harvest for the same period.

Periodic and regular assessment of a forest is the most reliable method for determination of increment. Accurate mapping and CFI are able to provide reliable data on forest resources at the beginning and end of a planning period for which the MAI is to be derived. The total volume of removals (including logging waste losses) are derived from accurate records of volumes cut each year, supplemented with an estimate of waste determined through logging waste studies. In equation form the relationship is:

where:

MAI = mean annual increment in m3/year for a forest management unit during a planning period of not less than 15 years in length.

Vt & V (t+n) = total standing forest volume in m3 determined from CFI at the beginning (Vt) and at the end (V (t+n)) respectively of the planning period.

Vp = total wood volume in m3 harvested during the planning period, including a logging waste estimate for the period.

n = length of the planning period, in years.

Sustained yield management of wood (or rattan, bamboo or other products) would, in technical terms, be considered to be achieved if the total harvest does not exceed the accumulated annual increment during a specified planning period. Conversely, sustainable harvesting would not be achieved if the total cut during a planning period does exceed the accumulated annual increment. These statements are summarized in Figure 29. Case Study 6 describes studies on the sustainability of yields in Queensland, Australia.

Figure 29: Sustainable Forest Management Criteria

Sustainable Forest Management is achieved if the accumulated mean annual increment for uneven-aged forest having a balanced diameter class distribution is equal to or marginally greater than the total harvest during a planning period of not less than] 5 years. In the case of heavily exploited uneven-aged forest where the diameter class distribution is not balanced the accumulated MAI should always be less than the total harvest.

Sustainable Forest Management is not achieved if the total harvest exceeds the accumulated mean annual increment during a planning period of not less than 15 years.

Case Study 6: Sustainability of Yields in Australia

Commercial timber harvesting commenced in the tropical rain forests of Queensland in 1873 and ceased in 1988 following their inclusion for conservation reasons on the World Heritage List. During the 1950 to 1985 period, eight estimates of the Sustainable yield varied by up to ten times. Discrepancies were due to different assumptions regarding management and to errors in estimating net productive areas and growth rates. Between 1950 and 1985 the allowable cut (130,000 -207,000 m3/year) exceeded sustained yield estimates (60,000 - 180,000 m3/year), but the actual harvest (90,000 - 205,000 m3/year) remained less than the allowable cut. The allowable cut was reduced to a Sustainable level in 1986, and commercial logging ceased in 1988. It is not certain that the harvest during the 1980s was Sustainable, but several indicators suggest that it probably was. Lessons for other tropical wood producers are that area, growth and yield determination must be careful, management objectives and implementation must be clear and regular monitoring is essential.
An analysis of data from 212 PSPs in the tropical forests of Queensland, Australia, has provided no evidence of any decrease in rainforest productivity after three cycles of carefully implemented selection logging. Relative productivity was determined as the difference between observed diameter increments and increments predicted from a diameter increment function which incorporated tree size, stand density and site quality.

3.5 Forest management planning


3.5.1 Management structure and format
3.5.2 Guidelines for forest management planning


3.5.1 Management structure and format

A Four-Part Forest Management Plan Structure

To be effective a forest management plan should comprise basic information having direct relevance to the management of a forest, a long-term management goal, and specific prescriptions to achieve each of the objectives. The management plan structure should be flexible depending upon the characteristics of the forest for which long-term management is being planned. A logical, easily assembled and practical plan structure has four main parts, shown in Figure 30.

Figure 30: A Four-Part Forest Management Plan Structure

Basic Information:
Basic geographic, ecological, resources, social, industry and environmental information having direct relevance to issues concerning future forest management. It is helpful to identify the managerial implications of specific features of each feature of basic information that are presented.

Management Goal and Specific Objectives:
One goal and several specific objectives, preferably not more than five, with the primary objective being related to wood production.

Management Proposals:
Prescriptions should be directly related to objectives and include forest protection arrangements, the yield and how it will be controlled, silviculture, monitoring and reporting arrangements.

Records of Forest History:
Information on all forest operations, recorded in compartment history records and measured annually.

A Model Forest Management Plan Format

The subject matter of a plan is likely to vary from one locality to another, depending upon the characteristics of the land and forest being considered as well as upon objectives, opportunities and risks. There is however a basic list of contents which should be considered where plans are to be assembled for tropical forests that are being managed for the production of wood. The model format which follows provides an effective framework for drafting a management plan for tropical forests.

Part I Basic Information

* Authority, Period of Operation and Policies

- Name of Management Plan
- Legal (or controlling) Authority
- Period of Operation (Term)
- Local or National Policy Statement

* Location, Area and Legal Description of Forest Lands

- Location and Area
- Legal Description

* Physical Resources

- Climate

· Rainfall, Humidity and Winds (only if relevant)
· Temperature and Sunshine

- Hydrology
- Managerial Implications of Climate and Hydrology

* Geology

- Topography
- Rock Types and Erosion (only if relevant)
- Managerial Implications of Geology

* Soils and Land Use

- Soil Types
- Land Uses
- Land Use Capability Classification (only if relevant)
- Managerial Implications of Soil Types and Land Use Capability Classifications

* Forest Resources

- Vegetation Types

· Natural Forest Types and Distribution

· Ecological Succession and Ecological Changes in Natural Forests. Biological Diversity Amongst Plants

· Ecological Problems Concerning Vegetation

- Summary of Forest Type and Land Use Classes

- Managerial Implications of Forest Ecology Issues

- Summary of Forest Resources Data (tables).

· General Forest Inventory Data.
· Species, Volume and Tree Size Data.
· General Non-wood Forest Resources.
· Overall Forest Resources Summary

- Silvicultural System (s) - type (s), strengths and limitations
- Forest Growth and Yield Data (tables)
- Assessment of the Potential for Sustainable Wood Production

* Log Harvesting and Transport Issues

- Strategic Harvest Plan

- Tactical Harvest Planning

- Logging Methods and Machinery, including potential for minimising environmental impacts of wood extraction

- Log Transport Methods (roads, railways, barging, etc)

- Managerial Implications of Log Harvesting and Transport.

* Forest Industry Issues

- Summary of Existing Forest Industry

- Wood Industry Development Potential (preferred and under-utilized species, resources, log sizes)

* Social Issues Involving Natural Forests

- Characteristics of Community Groups: ethnic origin (s), populations, distribution and size of villages, etc)

- Social Dependency Patterns on the Natural Forests

- Summary of Social Conflicts, or Potential Conflicts with Forests

- Managerial Implications of Social Issues with Forests.

* Wildlife Resources

- The Forest "Landscape" as Habitat for Wildlife
- Significant Wildlife Resources
- Biological Diversity Amongst Animals
- Managerial Implications of Wildlife Relationships with Natural Forests

* Environmental Issues

- Summarise Environmental Issues Influenced by Wood Production Management, for example, Soil and Water Conservation, Biodiversity and Wildlife Conservation, Eco-tourism

* Forest Protection and Security

- Summary of the Issues and Data Concerning Protection of a Forest Management Unit from Fire, Trespass, Shifting Cultivation and other potential threats

- Managerial Implications of Forest Protection and Security Issues

Part II Goal and Objectives

* Goal

* Objectives

- Forest Protection
- Wood Production
- Non- Wood Production
- Other Objectives, such as social development, reforestation, afforestation, research, environmental conservation and business development.

Part III Management Prescriptions

Prescriptions should be explicit, directly related to objectives expressed in a plan and be sufficiently comprehensive to ensure that objectives are able to be implemented without difficulty.

* A plan having sustainable production of wood as the primary objective should, as a minimum, include prescriptions on the following topics:

· Forest and land use zoning, inc. demarcation and mapping of protection forest on steep slopes, natural regeneration, water sources, fragile soils and swamps, endangered species, etc.

· Pre-harvest wood inventory for annual yield planning.

· Continuous forest inventory for determination of forest growth and derivation of yields.

· Specification of a periodic (5 year), or annual cut.

· Tactical harvest planning, inc. wood harvesting and log transport arrangements.

· Forest protection and security arrangements.

· Diagnostic sampling

· Specification of an appropriate silvicultural system (s).

· Specification of silvicultural operations.

· Specification of environmental prescriptions on issues influenced by production management.

· Accountability prescriptions to ensure that progress in plan implementation can be regularly and reliably monitored and subsequently reported.

· Specification of the action that should be taken, before a plan terminates for its review and for preparation of a new plan.

Part IV Annexes

* Maps, including remote sensing imagery.
* Technical details of topics expressed in Part I.

Records

* Comprehensive compartment records of forest operations. Where practicable, records should be made using a computer database system and should include GIS.

3.5.2 Guidelines for forest management planning

Forest Management Plan Formulation

Guidelines for formulating and drafting a management plan are:

· A plan should be prepared in conformity with a country's forest policy, legislation and regulations.

· The planning process must overcome past managerial problems and should provide workable, positive and affordable solutions to these problems.

· Nomination by a government forestry office, a concession holding company or other agency having management responsibility that one person, or a group of people, will be responsible for plan preparation. It should be the primary task of that person, or planning group, and should not be undertaken in conjunction with other duties.

· Once a start is made on plan preparation every effort should be made to continue the process until it is completed.

· Summarise managerially significant resources information. Only information that is directly relevant to implementation of management objectives should be included. Be conservative when resources information is being assembled for the first time and where it is known that information is incomplete, or its quality is uncertain. In practice, conservative resources statements tend to be closer to future reality than do optimistic estimates. Technical details should be placed in an appendix, not in the text of a plan.

· Assemble base maps, aerial photographs and satellite imagery and use these to compile forest maps needed to provide graphical support for management requirements. Subdivide the forest management unit into permanently defined compartments.

· The planning team must visit and acquire a good visual knowledge of all parts of a forest, villages and dependent industries.

· Summarise the managerial implications of specific features of basic information that has been presented in each section of Part I of a plan, for example, climate, topography and social issues. The summary should be a succinct statement of the decisive issues that are expected to influence the management of a forest. Assessments of the managerial implications of each specific feature of basic information become the link between the objectives and prescriptions in a plan.

· A plan should be no longer than is needed to present relevant information - the goal, preferably no more than five objectives and the supporting prescriptions that are related to those objectives.

· One or more people can contribute towards drafting different chapters of a plan but only one person should have responsibility for coordination and final assembly.

· Avoid identifying and specifying too many priorities for action. There should only be one priority on any one subject.

· Plans must be affordable and should be able to support the implementation of realistic budgets; it is unwise to prescribe action if it is unlikely that implementation can be funded.

· Plans must include provision for review at pre-determined intervals.

· Plans incorporate implementation of departmental technical instructions, guidelines and standards.

· Monitoring and reporting requirements should be expressed in the form of prescriptions. A plan should not be approved without having monitoring and reporting requirements included.

· Frequent dialogue with all people having an interest in the formulation of a plan and in its implementation is to be encouraged.

· A plan should have a readable "user friendly" style and must be easily understood by all who will use it in practice.

Formulating Management Plan Prescriptions

The following guidelines for formulating management plan prescriptions are suggested:

· Prescriptions should be concisely written, specific to the issue being addressed and should be related to specific management objectives. They should not be vague or ambiguous.

· Prescriptions should not be too long or too technical. Lengthy or excessively technical prescriptions are likely to be misunderstood or simply ignored. Only include material that is directly relevant to support the implementation of forest management objectives.

· Prescriptions must be measurable, or capable of being monitored easily, so that progress can periodically be reported.

· Although a need for precisely written prescriptions should be recognised, it also needs to be acknowledged that there may be occasions where a manager should be allowed some discretion in the implementation of a prescription if local conditions or common sense indicate that a degree of flexibility is desirable. Losses of forest through fire, additions or losses of forest area, changes in the definition of forest resources or changes in community interests in a forest are cases of unforeseen events which may influence the progress of the management plan.

Examples of text for management plan prescriptions are shown in Annex 5.

Management Plan Approval

The basic requirements for gaining approval of a forest management plan are as follows:

· When completed, an executive summary of a management plan should be assembled setting out the primary features of it, including the goal, objectives, the allowable cut and its location, operational features of the silvicultural system, community participation and forest protection arrangements.

· The principal features of the plan should be explained and discussed with senior staff in an oral presentation.

· The plan should be passed to the office of the approving officer with the support of a covering letter.

· Plans prepared for forests on private land should be approved by the government forestry authority to ensure that plan quality is acceptable, to strengthen the basis of the national forest policy and to ensure that the rights of third parties are protected.

3.6 Harvest planning


3.6.1 Recommended practices for strategic harvest planning
3.6.2 Recommended practices for tactical harvest planning


Harvest planning provides a balanced and comprehensive foundation for sustainable harvesting practices to enable good technical control during harvesting to be reconciled with the need for reducing harvesting costs. Harvest plans are of two types, strategic and tactical, and both are an integral part of the forest management planning process. A map and a written plan are the basic components for both strategic and tactical harvest planning.

3.6.1 Recommended practices for strategic harvest planning

A Strategic Harvest Plan explains why, where, when and what type of harvesting is proposed. Strategic harvest, planning cannot be undertaken without considering the issues which affect the management of the forest more widely. It is an integral part of a forest management plan, prepared by the planning team, and should never be a separate planning statement that is independent of it. Strategic harvest planning should rely upon a knowledge of:

· The area of forest that has been zoned for wood, bamboo or other production objectives; it should exclude all areas zoned as protected or protection forest and for settlement purposes, including buffer zones.

· The annual or periodic cut for woody produce.

· The silvicultural system, or systems, to be applied.

A strategic harvest plan map (or maps), at a scale of between 1:10,000 and 1:20,000, should show the following features which should also be identified in an approved forest management plan:

· Forest types, topography, existing and planned infrastructure.

· Forest land which is to be protected for watershed or biodiversity conservation or for community development reasons.

· Areas where harvesting is proposed, divided into annual felling areas that can be conveniently defined on the ground.

· Areas where major problems exist, such as rock outcrops, river crossings or swamps, that must be overcome when developing a transport system, or in carrying out forest operations.

· Areas of non-forest land uses.

· Locations of communities or indigenous populations that could be affected by harvesting or transport operations.

A written strategic harvest plan should briefly describe the items shown on the harvest plan map and include the following topics:

· The silvicultural system to be applied, and why.

· An explanation of how harvesting is expected to achieve silvicultural objectives, especially its effect on the next crop, and the extent to which this is expected to be achieved.

· A brief description of the types of harvesting equipment to be used in specific felling areas and why these are selected.. A tabular summary, derived from a general forest inventory, of the species, volumes and log size classes that are expected to be cut in each compartment.

· A schedule showing the year when each felling area is to be harvested.. A summary of special problem areas shown on the strategic harvest plan map, such as river crossings and difficult roading areas, with notes on how these might be overcome.. Information concerning the forest transportation system, such as road design requirements for different topographical conditions (valley bottoms, ridges, slopes), stream crossings and the design specifications for drainage structures.

· Annual labour requirements for harvesting and roading.. Arrangements for accommodation, health, safety and recreation of the workforce.

· The estimated cost of harvesting within each felling area and annual maintenance of the transportation system.

3.6.2 Recommended practices for tactical harvest planning

A Tactical Harvest Plan is a short-term plan, prepared by a team directly responsible for supervision of harvesting operations, that explains how and who will carry out the operations and when cutting will be undertaken in each annual cutting area. It should be linked through the Annual Plan of Operations with an approved forest management plan and should not be a separate planning statement. A Tactical Harvest Plan is formulated for the operational part of a year, for example, a dry season. It can apply to a single felling area or to a group of separate felling areas. The following basic steps are involved in tactical harvest planning:

· A pre-harvest inventory should be conducted to identify tree species, to estimate the size and volume of trees present and their position throughout a felling area. The pre-harvest inventory should extend over the whole area where harvesting is proposed. In the case of selection harvesting, trees to be cut should be identified, marked and numbered.

· A topographic survey, either on the ground or using remote sensing imagery, should be conducted during a pre-harvest forest inventory to provide information for mapping.

· Using field survey information, a detailed topographic map should be drawn at a scale of between 1:10,000 and 1:2,000 showing all topographic features that will influence logging, and also the boundaries of the harvest area. Streamside protection strips, scientific, wildlife and cultural zones and any other special reservations specified in a management plan should be mapped. Contour mapping can be prepared either by manual drafting methods or through the use of GIS technology. It is the experience of many companies who are managing tropical forests that an investment in good quality mapping can lead to reduced harvesting, reading and other infrastructure costs.

· A felling area should be divided into administrative units, termed cutting units, that can be identified on the ground and used to control a harvesting operation. A cutting unit should be limited to a single extraction method because cable, tractor, draught animal and helicopter systems each have different characteristics.

Specific planning requirements are:

- Tactical harvest planning should be based on harvesting prescriptions set out in a forest management plan. The volume and/or number of trees per hectare to be extracted and the number of seed trees per hectare that are to remain should be specified.

- A cutting and log extraction plan should comprise a part of the harvest plan and should be undertaken using the topographical and tree position map. It can also be generated using vertical and oblique GIS imagery. The plan should be prepared jointly by forest planners and loggers and must be practical and realistic. The location of landings, skid trails (if ground skidding is to be used), cableways (if cable extraction systems are to be used), haul roads and feeder roads should be shown. Where possible, directional felling should be indicated.

· Harvesting equipment should be specified and a general operations schedule formulated, using actual or estimated production rates. Work studies may be necessary to determine appropriate production rates.

· A harvesting schedule should be prepared setting out the anticipated timing of harvesting in different felling areas. It should be flexible and able to be quickly modified, when necessary. For example, it should anticipate the onset of a rainy season, irregular wet season conditions, severe storms, roading problems, protection of specific endangered animals during breeding, fire hazard conditions (and wildfires) and periodic heavy seedfalls.

· Preparation of a harvesting schedule should, where appropriate, be prepared in consultation with local communities who might be affected by harvesting. The harvest of NWFPs and the dependency of local communities upon these for subsistence, employment and income generation should be considered. Examples are collection of rattan, fruit, resins and medicinal plants.

· Any legal requirements, such as right-of-way easements or specific local authority consents concerning roading, rivers, or aviation permits (for helicopter logging) should be obtained and listed.

3.7 Further reading

Alder, D. 1992. Simple Methods for Calculating Minimum Diameter and Sustainable Yield in Mixed Tropical Forest in "Wise Management of Tropical Forests". Oxford Forestry Institute, University of Oxford.

Alder, D. 1995. Growth Modelling for Mixed Tropical Forests. Tropical Forestry Paper No. 30, Oxford Forestry Institute, University of Oxford.

Armitage, Ian P. 1997. Practical Steps Contributing to Sustainable Tropical Forest Management for Wood Production With Special Reference to Asia. Special Paper to XIth World Forestry Congress, Antalya, Turkey.

Brasnett, N. V. 1953. Planned Management of Forests. Alien & Unwin, London.

Davis, K. P. 1966. Forest Management. Second Ed. McGraw-Hill Inc., USA.

Dickinson, M. B., Dickinson, J. C. & Putz, F. E. 1996. Natural Forest Management as a Conservation Tool in the Tropics: divergent views on possibilities and alternatives. Commonwealth Forestry Review. Vol. 75 (4), Oxford Forestry Institute, Oxford.

FAO. 1977. Planning Forest Roads and Harvesting Systems. Forestry Paper No. 2, Rome.

FAO. 1984. Intensive Multiple-Use Forest Management in Kerala. Forestry Paper No. 53, Rome.

FAO. 1989. Management of Tropical Moist Forests in Africa. Forestry Paper No. 88, Rome.

FAO. 1989. Review of Forest Management Systems of Tropical Asia. Forestry Paper No. 89, Rome.

FAO. 1993. Management and Conservation of Closed Forests in Tropical America. Forestry Paper No. 101, Rome.

FAO. 1993. Common Forest Resource Management - an annotated bibliography of Asia, Africa and Latin America. Community Forestry Note No. 11, Rome.

FAO. 1994. Mangrove Forest Management Guidelines. Forestry Paper No. 117, Rome.

FAO. 1995. Planning for Sustainable Use of Land Resources: towards a new approach. Land and Water Bulletin No. 2, Rome.

FAO. 1996. FAO Model Code of Forest Harvesting Practice. Rome.

FAO. 1996. Planning For Forest Use and Conservation: Guidelines for Improvement. A "Working Paper". Rome.

Ford-Robertson, F. C. (Ed). 1971. Terminology of Forest Science, Technology Practice and Products: Multilingual Forestry Terminology Series No. 1. Society of American Foresters, Washington, D.C.

Johnston, D. R., Grayson, A.J. Bradley, R. T. 1965. Forest Planning. Faber & Faber, London.

Leuschner, William A. 1984. Introduction To Forest Resource Management. Virginia Polytechnic Institute & State University. John Wiley & Sons.

Ong, R. and Kleine, M. 1995. DIPSIM: an Empirical Individual-tree Growth Simulation Model. FRC Research Paper No. 2, Forest Research Centre, Forest Dept, Sabah, Malaysia.

Vanclay, J. K. 1989. A Growth Model for North Queensland Rainforests. Forest Ecology and Management, Vol. 27 (3-4).

Vanclay, J. K. 1989. Modelling Selection Harvesting in Tropical Rain Forests. Journal of Tropical Forest Science Vol. 1 (3).

Vanclay, J. K. 1991. Review: Data Requirements for Developing Growth Models for Moist Tropical Forests. Commonwealth Forestry Review. Vol. 70 (4), No. 224.

Vanclay, J. K. 1992. Species Richness and Productive Forest Management. In "Wise Management of Tropical Forests", Proceedings of the Oxford Conference on Tropical Forests, OFI, University of Oxford.


Previous Page Top of Page Next Page