Previous PageTable Of ContentsNext Page

RIBOFLAVIN FROM BACILLUS SUBTILIS

 

Prepared at the 53rd JECFA (1999) and published in FNP 52 Add 7 (1999), superseding specifications prepared at the 51st JECFA (1998), published in FNP 52 Add 6. Group ADI 0-0.5 mg/kg bw for riboflavin from Bacillus subtilis, synthetic riboflavin and riboflavin-5-phosphate established at the 51st JECFA in 1998.

SYNONYMS

Vitamin B2; lactoflavin; INS No. 101(i)

SOURCE

Prepared by submerged fermentation by Bacillus subtilis genetically modified for riboflavin overproduction. The strain is non-pathogenic and non-toxicogenic.

DEFINITION

 

Chemical names

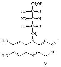
Riboflavin; 3,10-dihydro-7,8-dimethyl-10-[(2S,3S,4R)-2,3,4,5-tetrahydroxypentyl]benzo-[g]pteridine-2,4-dione; 7,8-dimethyl-10-(1'-D-ribityl)isoalloxazine

C.A.S. number

83-88-5

Chemical formula

C17H20N4O6

Structural formula

 

Formula weight

376.37

Assay

Not less than 98.0% and not more than 101.0%, calculated on the dried basis

DESCRIPTION

Yellow to orange-yellow crystalline powder

FUNCTIONAL USES

Colour, nutrient supplement

CHARACTERISTICS

 

IDENTIFICATION

 

Solubility (FNP 5)

Practically insoluble in ethanol, acetone and diethyl ether; very soluble in dilute alkali solutions

Spectrophotometry (FNP 5)

Using the aqueous solution from the Assay, determine the absorbance (A) at 267 nm, 375 nm and 444 nm. The ratio A375/A267 is between 0.31 and 0.33. The ratio A444/A267 is between 0.36 and 0.39.

Specific rotation

[] 20D: Between -120 and -135�
Dry the sample at 100� for 4 h. Dissolve 50.0 mg in 0.05 N sodium hydroxide free from carbonate and dilute to 10.0 ml with the same solvent. Measure the optical rotation within 30 min of dissolution.

Colour reaction

Dissolve about 1 mg of sample in 100 ml of water. The solution has a pale greenish-yellow colour by transmitted light, and by reflected light has an intense yellowish-green fluorescence, which disappears on the addition of mineral acids and alkalis.

PURITY

 

Loss on drying (FNP 5)

Not more than 2.0% (105�, 4 h)

Sulfated ash (FNP 5)

Not more than 0.1%
Test 2 g of the sample (Method I)

Lumiflavin (FNP 5)

Not more than 0.025%
See description under TESTS

Primary aromatic amines (FNP 5)

Not more than 100 mg/kg calculated as aniline

Lead (FNP 5)

Not more than 1 mg/kg
Prepare a sample solution as directed for organic compounds in the Limit Test and determine by atomic absorption spectrometry (FNP 5)

TESTS

 

PURITY TESTS

 

Lumiflavin (FNP 5)

Reference Solution: Dissolve 25 mg of lumiflavin in 50.0 ml of chloroform. Dilute 1.0 ml of this solution with chloroform to 20.0 ml, and dilute 2.5 ml of the resultant solution to 100 ml. This solution contains 0.625 �g lumiflavin per ml.

Test Solution: Shake 25 mg of the sample with 10.0 ml chloroform for 5 min and filter.

Thin Layer Chromatography:
Stationary phase: Precoated HPTLC plates of silica gel WRF254, 10 x 20 cm, layer thickness 0.1 mm (Merck Cat No 1.12363)
Mobile phase: Water
Run length: approx. 6 cm
Elution time: approx. 20 min
Application volumes: 10 �l of Reference Solution and 10 �l of Test Solution
Detection: Dry the plate in a current of cold air and evaluate the fluorescence at 366 nm
Any spot in the chromatogram of the Test Solution, which corresponds to the main spot of the Reference Solution, shall not be larger or more intensely coloured than the Reference Solution spot.

METHOD OF ASSAY

Carry out the assay in subdued light. In a brown-glass 500-ml volumetric flask, suspend 65.0 mg of the sample in 5 ml of water, ensuring that it is completely wetted, and dissolve in 5 ml of 2 N sodium hydroxide solution. As soon as dissolution is complete, add 100 ml of water and 2.5 ml of glacial acetic acid and dilute to 500.0 ml with water. Place 20.0 ml of this solution in a brown glass 200-ml volumetric flask, add 3.5 ml of a 1.4% w/v solution of sodium acetate and dilute to 200.0 ml with water. Measure the absorbance (A) at the maximum, 444 nm.

where A = absorbance of the sample solution at 444 nm
W = weight of sample in g

Previous PageTop Of PageNext Page