3. The wider context


Back to contents - Previous file - Next file


3.1. Spatial distribution of 137Cs fallout
3.2. Adsorption of 137Cs
3.3. Sediment associated redistribution of 137Cs
3.4. Estimation of the rates of soil loss from 137CS measurements


Although the potential for using 137Cs as a tracer in soil erosion investigations was recognized at a relatively early stage in the United States of America [14, 15], it is only in more recent years that this potential has been exploited more widely in a variety of environments. Its successful use has now been reported in a wide range of locations throughout the world, ranging from glacierized mountain areas in Greenland [16] and mountain areas in Sweden [17], through the prairie and steppe regions of Canada and the Russian Federation [18, 19] and semi-arid areas of Spain [20], to the southern Sahel in Africa [21 ] and tropical areas of Thailand [22] (Fig. 2). The approach must thus clearly be seen as being of global relevance [23]. The magnitude and temporal pattern of bomb derived 137Cs fallout has varied across the globe and it is well known that inventories measured in the Southern hemisphere are commonly significantly lower than those reported in the Northern hemisphere (Fig. 2). Nevertheless, there are many reports of the successful application of 137Cs measurements in Australia and Southern Africa [24-26].

In view of the positive relationship between the magnitude of fallout receipt and mean annual precipitation, some uncertainty remains over the potential for using the approach in arid regions, and there have also been several reports of low levels of 137Cs activity in the soils of equatorial areas. Existing estimates of the global fallout of 90Sr, another fission product of atmospheric weapons testing, compiled by Larsen [27], can, however, provide a meaningful surrogate for the global pattern of 137Cs fallout. The information presented in Table III [27] indicates that fallout inventories in equatorial areas are likely to be of the same order as those in Australia, where radiocaesium has been widely used in soil erosion investigations. A carefully designed global programme of soil sampling is, nevertheless, urgently required to resolve these uncertainties and to provide an improved indication of the magnitude of the reference inventories that can be expected in different areas of the world.

FIG. 2. Locations where 135Cs has been used successfully in soil erosion and related studies and typical fallout records for the Northern (New York, USA/Milford Haven, UK) and Southern (Adelaide/Brisbane, Australia) hemispheres.

TABLE III. LATITUDINAL VARIATION OF MEAN BOMB DERIVED 90Sr INVENTORIES AT THE END OF 1993, BASED ON DATA PRESENTED BY LARSEN [27](a)

Latitude band

Mean Sr-90 inventory (Bq/mē)

  Northern hemisphere Southern hemisphere
0-10 953 526
10-20 1370 491
20-30 2075 841
30-40 2862 967
40-50 3867 1124
50-60 3585 672
60-70 2084 455
70-80 897 276
80-90 409 154

a Inventory values have been estimated from the cumulative 90Sr deposition on the land and ocean surface of individual latitudinal belts.

The additional inputs of 137Cs fallout to many areas of Europe that were associated with the Chernobyl accident in April 1986 have clearly complicated the interpretation of radiocaesium inventories and may indeed render the approach of limited value in such areas. The existence of two major periods of fallout input, separated by more than 20 years and for which the inputs cannot now be separated, and the increased spatial variability of Chernobyl derived inputs, introduce important problems, and further work is undoubtedly required to explore the possibilities of both minimizing these problems and exploiting any additional potential offered by the two phases of input [28].

Although the basis for use of 137Cs to document the rates and patterns of soil loss is attractive in its simplicity, it is founded on several key assumptions and a number of potential criticisms and limitations must be recognized and addressed in any application. Further discussion of these assumptions and potential criticisms can usefully consider the following:

  1. Uniform local fallout distribution;
  2. Rapid and strong adsorption of 137Cs fallout on to soil particles;
  3. Subsequent redistribution of 137Cs, reflecting sediment movement;
  4. Estimates of the rates of soil loss or accretion can be derived from measurements of loss or gain in radiocaesium inventories relative to the reference level.

3.1. Spatial distribution of 137Cs fallout


The assumption of a locally uniform fallout distribution and the establishment of a reference fallout inventory for a study site is central to the assessment of 137Cs redistribution, which provides the starting point for estimating the rates of erosion and deposition. The question of local variability is therefore critical. Although it is well known that precipitation may exhibit marked local variability at the level of the individual storm, it is generally assumed that over a period of several years the superimposition of individual storm event patterns will result in an essentially uniform pattern of total fallout. This assumption of spatial uniformity of local fallout inputs was questioned after the Chernobyl accident, when surveys demonstrated marked spatial variability in fallout levels. However, since the Chernobyl plume did not reach the stratosphere and the major period of fallout was short lived and associated with a small number of precipitation events, such findings are not unexpected and it is inappropriate to make direct comparisons with weapons testing fallout. It is, however, difficult, if not impossible, to test this assumption of the uniform distribution of fallout inputs some 30 years after the event. It is therefore essential that considerable care is exercised in establishing local reference fallout levels and that the potential causes of variability such as snow drifting are taken into account [29]. The number of samples required to derive a reliable estimate of the local reference inventory will, for example, vary according to the local variability of the measured inventories, and in many cases it may be more appropriate to represent the reference fallout inventory as a mean value with prescribed confidence limits, rather than as a unique value. In this context, erosion and deposition would only be assumed to have occurred if the inventory measured for a sampling point fell outside these confidence limits.


3.2. Adsorption of 137Cs


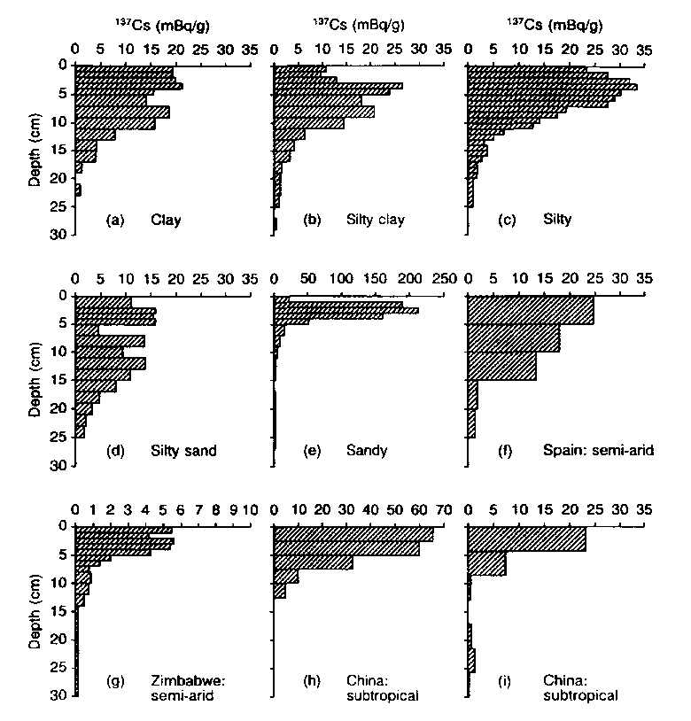
In contrast to the lack of data relating to local patterns of &flout receipt, there have been many laboratory and field investigations of the adsorption of radiocaesium by soil particles. Livens and Loveland [30] cite the work of several investigators as demonstrating highly efficient extraction of radiocaesium from dilute (0.001M) solutions by clay minerals. The radiocaesium concentrations in these solutions are several orders of magnitude greater than those associated with rainfall during the peak period of weapons testing fallout and therefore suggest that fallout radiocaesium would have been rapidly fixed by clay particles in the upper horizons of the soil. The effects of soil texture and the magnitude of the clay fraction must also be considered, but other studies indicate that the proportions of fine particles commonly found in mineral soils do not limit radiocaesium adsorption. Livens and Baxter [10] examined a range of soil types and found that radiocaesium had been adsorbed by all the mineral soils investigated. Strong adsorption is also reflected by the low rate of vertical migration of 137Cs evident for many soil types in both field and laboratory experiments [9, 31] and in the depth distributions of the weapons testing 137Cs characteristic of undisturbed soil profiles.

FIG. 3. Typical 137Cs profiles associated with undisturbed soils: (a) to (e): soil textural variation in the UK; (f) to (i): environmental variation worldwide.

Figure 3 illustrates typical 137Cs depth distributions for a selection of soils investigated by the authors. These encompass a textural range from clay to sand in the UK (Figs 3(a) to (e)) and an environmental range from semi-arid to subtropical worldwide (Figs 3(f) to (i)). All exhibit a sharp decline in 137CS activity with increasing depth and in all cases more than 75% of the total inventory occurs in the top 15 cm, indicating that downward translocation is minimal. Furthermore, the total inventories of the UK soils are in close agreement with existing evidence regarding total fallout amounts [32]. These profile characteristics support the assumption that in most environments the majority of mineral soils have the capacity to adsorb and immobilize fallout 137Cs Several recent studies of the fate of Chernobyl derived radiocaesium have suggested that adsorption and fixation may be less efficient than suggested above, but these instances invariably relate to acid organic soils in upland locations which could be expected to be characterized by slower and weaker fixing of radiocaesium, particularly at the relatively high concentrations found in the Chernobyl fallout. In such circumstances, it is not unexpected that a significant proportion of the fallout input may be transported beyond the initial point of receipt. This situation is, however, most unlikely to pertain to the majority of agricultural soils.


3.3. Sediment associated redistribution of 137Cs


A further critical assumption of the 137Cs technique is that after the initial fixing of fallout within the upper horizons of the soil, all subsequent redistribution of radiocaesium will take place in association with the movement of soil and sediment particles. Some of the earliest studies of 137Cs mobility provided evidence to support this assumption. Rogowski and Tamura 114], for example, observed that 99% of the loss of 137Cs, from a bare soil plot in Tennessee, USA, could be attributed to soil erosion, and other subsequent studies have confirmed these findings.

The close equivalence between the 137Cs inventories from undisturbed locations and independent assessments of the cumulative fallout input and the evidence provided by the profile distributions reported above support the proposition of minimal loss of radiocaesium in the absence of erosion. Additional indirect evidence of the close relationship between movement of 137CS and soil particles is afforded by profile distributions from cultivated sites. In the absence of significant vertical or lateral translocation of 137Cs, it would be expected that the majority of the 137Cs found in cultivated soils would be evenly distributed throughout the plough layer and that stable, eroding and aggrading sites would be clearly distinguishable in terms of both their total inventory and the vertical profile distribution. At eroding sites, loss of 137Cs labelled soil from the surface would lead to a reduction in the overall inventory and a depletion in the radiocaesium concentrations in the plough layer by incorporation of soil containing no 137Cs derived from below the original plough depth. In contrast, at aggrading sites addition of 137Cs labelled soil at the surface will lead to an increased inventory and burial of 137Cs bearing soil below the plough depth. Over an extended period of time this will lead to a 'stretched' profile, with elevated levels of 137Cs, occurring well below the depth of ploughing. If lateral translocaton of 137Cs had occurred in the absence of sediment redistribution, the receiving sites would be characterized by increased 137Cs inventories, with no extension of the depth distribution. All the 137Cs, profile distributions from cultivated sites investigated by the authors in a wide variety of environments are consistent with the sediment associated transport of radiocaesium and the absence of significant lateral redistribution not associated with sediment movement. Figure 4 provides examples of typical 137Cs profile distributions from a range of soil types in the UK and from a range of environmental conditions worldwide which support this proposition.

FIG. 4. Typical 137Cs profiles associated with cultivated soils: (a) to (d): stable or eroding sites; (e) to (i): aggrading sites (plough depth: (a), (b), (f), (g) = 25 cm; (c) to (e), (h), /i! = 20 cm).


3.4. Estimation of the rates of soil loss from 137CS measurements


Use of 137Cs measurements to estimate the rates of soil loss and accretion is commonly based on assessment of the radiocaesium inventories of bulk cores collected at different locations across the study site and the assumption that a meaningful relationship can be established between the degree of increase or depletion of the soil 137Cs inventory relative to the reference inventory and the total depth of soil loss or accretion. Walling and Quine [11] have reviewed many of the uncertainties surrounding this assumption and the many inconsistencies introduced by past practice. Further attempts to make use of available long term erosion plot experiments in validating and developing empirical calibration relationships [33, 34] and to refine the theoretical modelling and accounting procedures which have been used as an alternative means of deriving calibration relationships [35], for example, by incorporating the particle size selectivity of erosion and deposition processes and by experimental investigations, are undoubtedly required. Nevertheless, provided that care and critical appraisal are exercised, calibration problems should not be seen as a major impediment to the wider application of the 137Cs technique. Furthermore, their nature and importance should be viewed in the context of the many uncertainties and problems which inevitably surround other methods of assessing the rates and patterns of soil loss. The authors have favoured the application of theoretical accounting procedures that are able to represent the aggregate effect of all the redistribution processes operating over the period since the initiation of atmospheric fallout and to take account of any known history of land management at the site, to establish site specific calibration relationships [11, 26]. Where independent evidence of longer term erosion rates exists, use of these procedures has resulted in close agreement of the estimates produced [36].