by
S.P. Arora
Head, Dairy Cattle Nutrition and Physiology Division,
National Dairy Research Institute, Karnal-132001
(Haryana) India
| Summary | Résumé |
| Usually farmers producing livestock in the developing countries do so for economic reasons and in view of the small size of their land holdings. Increases in population density have resulted in the division of agricultural land over the years into smallholdings, leading to acute scarcity in the supply of good green fodders and concentrates for livestock. Currently, coarse quality roughages, such as straws, stovers and other agro-industrial by-products, form the major part of the rations for livestock and these are sometimes fed without consideration of their quality or the requirements of the animals. Such diets have adversely affected growth rates, age at maturity, milk production, meat production, working capacity and other characteristics. Certain crops such as rice, barley, maize, millet, sorghum and oats are the major crops grown in many countries of Asia and Africa. The yields of grains and straws depend upon a number of factors. Present trends are to use varieties that produce more grain and less straw. The consensus of opinion is that treatment of straw increases in vitro digestibility by 10 units. Small land holders having less than 5 ha who mostly feed crop residues, can overcome imbalances to a certain extent by alkali treatment for both meat and milk production. Further improvement can be made by mixing straw with non-protein nitrogenous source and molasses. The treatment of roughages is important, even for pastoralist enterprises where mature grasses can be treated and enriched. Large enterprises can practise pelleting and wafering roughages with other dietary ingredients to be more palatable, nutritive and economical. More studies need to be carried out for production traits, simultaneous dissemination of technology through extension and demonstrations. | D'ordinaire, les agriculteurs qui élévent du bétail dans les pays en développement le font pour des raisons économiques et parce que leurs exploitations sont de dimensions réduites. L'accroissement de la densité de la population a eu pour résultat un morcellement constant des terres agricoles en petites propriétés, d'où une pénurie aigüe de bons fourrages verts et d'aliments concentrés pour le bétail. A l'heure actuelle, les fourrages grossiers, tels que la paille, les tiges et plusieurs autres sous-produits agroindustriels, forment l'essentiel de l'alimentation du bétail qui est parfois nourri sans qu'il soit tenu compte de la qualité des produits ou des besoins des animaux. Une telle alimentation a eu des effets nuisibles sur la vitesse de croissance, l'âge de la maturité, la production de láit et de viande, la capacité de travail, etc. Certaines plantes, telles que le riz, l'orge, le maís, le millet, le sorgho et l'avoine sont les principales cultures produites dans de nombreux pays d'Asie et d'Afrique. Les rendements en grains et en pailles dépendent d'un certain nombre de facteurs. A l'heure actuelle, on tend à utiliser des variétés prodwisant plus de grains et moins de paille que par le passé. On estime généralement que le traitement de la paille augmente sa digestibilité in vitro de 10 unités. Les petits propriétaires de moins de 5 ha, qui nourrissent leur bétail essentiellement avec des déchets de récolte, peuvent remédier dans une certaine mesure au déséquilibre alimentaire, pour la production de viande comme pour la production laitiére par un traitement aux alcalis. On peut apporter d'autres améliorations en mélangeant la paille avec des sources d'azote non protéique et de la mélasse. Le traitement des fourrages grossiers est important, même pour les exploitations à pâturages oú l'herbe mûre peut être traitée et enrichie. Les grandes exploitations peuvent préparer des granulés et des galettes de fourrages grossiers additionnés d'autres ingrédients pour les rendre plus savoureux, plus nutritifs et plus économiques. Il faut effectuer des études supplémentaires sur les caractéristiques de la production et sur la diffusion simultané des techniques par la vulgarisation et la démonstration. |
Resumen
Los agricultores de países en desarrollo que se dedican a la ganadería suelen hacerlo por razones económicas y porque sus propiedades son pequeñas. El aumento de la densidad de población ha hecho que las tierras de labranza se dividan al cabo de los años en pequeñas explotaciones, provocando una grave escasez de suministros de buenos forrajes verdes y concentrados para el ganado. Actualmente, los forrajes bastos como paja, tallos y hojas y otros subproductos agroindustriales, constituyen la parte principal de la alimentación del ganado, y son utilizados a veces sin tener en cuenta su calidad ni las necesidades de los animales. Estos sistemas de alimentación han influido negativamente en los índices de crecimiento, edad de llegar a la madurez, producción de leche, producción de carne, capacidad de trabajo y otras características. Productos como arroz, cebada, maíz, mijo, sorgo y avena son los cultivos principales en muchos países de Asia y Africa. Los rendimientos de grano y paja dependen de una serie de factores. Actualmente se tiende a utilizar las variedades más grano y menos paja.
Es opinión común que el tratamiento de la paja aumenta en 10 unidades de digestibilidad in vitro. Los pequeños propietarios, que tienen menos de 5 hectáreas de tierra y alimentan a su ganado sobre todo con resíduos de cultivos, pueden compensar en cierta medida los desequilibrios con tratamiento de álcali tanto para la producción de carne como para la producción de leche. Pueden obtenerse otras mejoras mezclando la paja con un producto nitrogenado no proteico y melazas. El tratamiento de los piensos bastos es importante incluso para las empresas basadas en el pastoreo, ya que pueden tratarse y enriquecerse las gramíneas maduras. Las grandes empresas pueden comprimir y moldear los piensos bastos con otros ingredientes alimenticios para que resulten más apetitosos, nutritivos y económicos. Es necesario hacer más estudios sobre características de la producción y para difundir simultáneamente la technología mediante extensión y demostraciones.
Introduction
In many developing countries, holdings are small and farmers therefore tend to concentrate almost exclusively on crops rather than on livestock. Nevertheless, because they depend on livestock for various cultivation operations, and to supplement their cash income, they tend to carry more stock than they can feed adequately. With very little land that can be sown to green fodders, the main sources of feed are crop residues of low nutritive value, usually with negligible DCP contents and TDN values of around 40% because of their high lignin and silica contents (see Table 5.1). Their palatability is also poor when fed without other ingredients. In addition, the quality of crop residues and other coarse roughages available often falls far short of meeting the energy requirements of the animals, which are therefore unable to express their full genetic potential.
The more important cereal crops that could serve as sources of roughages are rice, wheat, barley, maize, millet, sorghum and oats (see Tables 5.2 and 5.3). The availability of straws and stovers from the main cereal crops of selected countries is shown in Table 5.4.
By contrast, the sugarcane crop is potentially much higher-yielding. From an average yield of 28.4 tons/ha, 20 to 30% consists of leaves and tops, and about 22 kg of molasses and 230 kg of bagasse can be produced from each ton of sugarcane (Martin and Leonard, 1967). Similarly, the sugarbeet crop yields 15 to 20 tons of beet tops in addition to 55 tons of roots per hectare (Prashar et al., 1975). One ton of beet will also yield 0.6 ton of wet pulp (=0.1 ton of dried pulp), plus 45 kg of molasses (Bhatnagar, 1975).
The role of treated roughages in different animal production systems in the developing countries may be discussed in relation to:
smallholdings that are essentially mixed farming enterprises;
traditional pastoralist enterprises with large herds;
commercial enterprises specializing in intensive and/or extensive production.
In some developing countries (e.g. India and certain countries in southeast Asia), the first category is more prevalent, whereas the other two categories are more common in Africa and Latin America.
| Ingredients | DCP | Cell contents | CWC | Hemi-cellulose | Cellulose | Lignin | Si |
| Wheat straw | 4 | 20 | 80 | 36 | 39 | 10 | 6 |
| Paddy straw | 4 | 21 | 79 | 26 | 33 | 7 | 13 |
| Sorghum stover | 3.5 | 26 | 74 | 30 | 31 | 11 | 3 |
| Chickpea straw | 5 | 38 | 62 | 20 | 30 | 10 | 2 |
| Oat straw | 4 | 27 | 73 | 16 | 41 | 11 | 3 |
| Bagasse | - | 18 | 82 | 29 | 40 | 13 | 2 |
Source: Van Soest (1970)
| Crop | Grain | Straw | Husk | Reference | |
| Barley | 20.3 | 23.4 | 25.4 | Mandal and Vamadevan (1975) | |
| Gram | 1.6 | 2.1 | 2.8 | Mandal and Vamadevan (1975) |
| Crop | Factor | Yield (q/ha) | Reference | |
| Grain | Straw | |||
| Rice | N 50 kg/ha | 47.9 | 58.8 | Sharma and De (1975) |
| N 150 kg/ha | 55.6 | 72.4 | ||
Jaya variety | ||||
| ZnSo4 20 kg/ha | 60.14 | 58.68 | Pande and Nayak (1974) | |
| ZnSo4 60 kg/ha | 66.97 | 64.14 | ||
| Wheat | Early sowing | 44.2 | 70.3 | Chela and Brar (1975) |
| Late sowing | 25.1 | 45.0 | ||
| Mexican wheat | 28.95 | 41.60 | Singh and Singh (1974) | |
| P 15 kg/ha | 33.38 | 45.39 | ||
| P 30 kg/ha | 32.04 | 45.27 | ||
Dwarf variety | ||||
| N 60 kg/ha | 37.5 | 64.0 | Shrotriya and Misra (1975) | |
| N 180 kg/ha | 37.3 | 67.8 | ||
Variety Kalyan Sona | 40.8 | 63.9 | ||
| Variety Kalyan Sona | ||||
| N 40 kg/ha, under rainfed conditions | 11.31 | 20.29 | Gupta et al. (1974) | |
| Millet | Row spacing 50 cm | 19.8 | 52.7 | Gautam (1975) |
| Row spacing 100 cm | 14.7 | 38.0 | ||
| N 20 kg/ha | 24.9 | 186.7 | Singh and Parshad (1975) | |
| N 80 kg/ha | 29.5 | 199.1 | ||
| Maize | N 20 kg/ha | 23.7 | 78.2 | Singh and Parshad (1975) |
| N 80 kg/ha | 29.3 | 89.0 | ||
| Variety Ganga -2 | 32.8 | 79.2 | Panda et al. (1974) | |
| Variety Ganga -3 | 43.4 | 93.2 | ||
| Sorghum | N 20 kg/ha | 14.7 | 87.1 | Singh and Parshad (1975) |
| N 60 kg/ha | 14.8 | 107.1 | ||
| Variety 670 | 31.3 | 44.62 | Chandravanshi and Singh (1975) | |
| Variety Swarna | 33.5 | 17.18 | ||
| Barley | N 20 kg/ha | 11.2 | 31.3 | Singh and Parshad (1975) |
| N 80 kg/ha | 12.4 | 32.1 | ||
| Early sowing | 41.4 | 71.1 | Singh et al. (1975) | |
| Late sowing | 32.6 | 79.6 | ||
| Feedstuffs | Requirements | Supply | Deficit/surplus |
| Straws and stovers | 190 | 130 | -60 |
| Green fodder | 289 | 111 | -178 |
| Grazing (as green grass) | 453 | 527 | +74 |
| Concentrates | 40.28 | 13.76 | -25.52 |
| Country | Wheat | Rice | Barley | Maize | ||||
| Grain | Straw | Grain | Straw | Grain | Straw | Grain | Straw | |
| Asia | ||||||||
| India | 22 073 | 35 096 | 61 500 | 88 560 | 2 327 | 4 026 | 5 300 | 12 667 |
| Burma | 38 | 60 | 8 446 | 12 162 | - | - | 85 | 203 |
| China | 37 002 | 58 833 | 115 275 | 165 996 | 20 501 | 35 467 | 31 085 | 74 293 |
| Japan | 232 | 369 | 15 902 | 22 899 | 233 | 403 | 30 | 72 |
| Nepal | 225 | 358 | 2 200 | 3 168 | 22 | 38 | 800 | 1 912 |
| Pakistan | 7 629 | 12 130 | 3 277 | 4 719 | 140 | 242 | 675 | 1 613 |
| Syria | 1 630 | 2 592 | - | - | 655 | 1 133 | 19 | 45 |
| Turkey | 11 082 | 17 620 | 238 | 343 | 3 330 | 5 761 | 1 100 | 2 629 |
| Bangladesh | 111 | 176 | 17 222 | 24 800 | 15 | 26 | 2 | 5 |
| Sri Lanka | - | - | 1 875 | 2 700 | - | - | 21 | 50 |
| Africa | ||||||||
| Algeria | 850 | 1 351 | 5 | 7 | 450 | 778 | 5 | 12 |
| Egypt | 1 984 | 3 154 | 2 400 | 3 456 | 99 | 171 | 2 550 | 6 094 |
| Ethiopia | 750 | 1 192 | - | - | 1 400 | 2 422 | 900 | 2 151 |
| Morocco | 1 853 | 2 946 | 18 | 26 | 2 389 | 4 133 | 389 | 930 |
| S. Africa | 1 605 | 2 552 | 3 | 4 | 5 | 9 | 11 035 | 26 374 |
Source: FAO, 1974
| A) Untreated | ||||
| Ingredients | Body weight (kg) | DM (kg) | DCP (kg) | TDN (kg) |
| Requirement | 150 | 4.5 | 0.35 | 2.6 |
| Wheat straw | 2.5 | - | 1.0 | |
| Concentrate mixture1 | 2.0 | 0.32 | 1.44 | |
| 4.5 | 0.32 | 2.44 | ||
| B) Treated | ||||
| Treated wheat straw | 3.0 | 0.03 | 1.50 | |
| Concentrate mixture1 | 1.5 | 0.27 | 1.08 | |
| 4.5 | 0.30 | 2.58 | ||
Untreated and treated straws in small farming enterprises
Taking India as an example, 62% of the land holders have operational holdings of 2 hectares or less, and this may be true in many developing countries. Generally speaking, farmers of this category who grow cash crops may hold the same percentage of the livestock population. Another 32% of farmers have operational holdings of up to 10 hectares and the remaining 5% have holdings above 10 hectares.
Livestock are mostly reared on crop residues. Only occasionally does green fodder furnish a small supplement, and that usually in the rainy season. Some roughages, such as wheat straw and stovers, are fed after chopping or threshing, whereas paddy straw and some other stovers are fed without chaffing. Different feeding systems are used to increase straw intake: it may be moistened or combined with soaked concentrate ration or with small quantities of chopped green fodder, depending upon the resources available.
Roughages are fed to livestock throughout the year in developing countries, depending on the crop and the area (Table 5.5). In summer, livestock suffer badly because their nutritional requirements are not met at all, while in other seasons the situation may be slightly better where grazing on grassland is available during the rainy season and the winter. Malnutrition is a common problem in livestock, whether reared for growth, milk production, meat production or power.
Feeding straws for growth and milk and meat production
Small farmers usually neglect their young stock because of the latter's poor output, and as a result calves mature as late as 3 years or more. Straw feeding is a common practice with this category of farmers. From the literature it is evident thát there are advantages in treated straws over untreated straws for growth (Kehar, 1954; Waller and Klopfenstein, 1975; Terry et al., 1975; Walker et al., 1975; Mowat, 1976; Punj et al., 1976; Javed and Donefer, 1970; Singh et al., 1975). Table 5.6 compares the use of treated and untreated wheat straw in a balanced ration for calves including a concentrate containing urea and molasses.
There is similar evidence in favour of the use of treated straws and stovers in balanced rations in meat production (Koers et al., 1970; Walter et al., 1970). This is again of economic importance to the small farmer raising beef and mutton.
Considering that the treatment of roughages increases the values of DCP and TDN by 10 units, maintenance requirements of milch animals can certainly be met to a great extent by this means. To support milk production, different alkali-treated roughages have been tested for feeding either with concentrate mixture, or in the form of unneutralized or acid-neutralized pellets with or without concentrate mixture, or even after ensiling with other green fodders (Pitchaiah, 1971; Singh et al., 1975; Randel et al., 1972; Hotek and Hennwald, 1976). Whatever feeding system is adopted, the small farmer can achieve optimum milk production if he can follow the latest methods to improve nutritive value of roughages. Table 5.7 compares the feeding of untreated and treated wheat straws in milk production.
Like other classes of livestock, bullocks can also be efficiently fed with treated straws in preference to untreated straws as there is relatively less DCP requirement and more energy requirement. Almost all the bullock population is mainly dependent upon crop residues, and there is scope for providing better nutrition for efficient work through treated roughages (Table 5.8).
Treatment of roughages by the small farmer
The small farmer can afford to treat roughages, and he is already spending time in physical processing. Alkali treatment can also be made practical if technical knowledge of its usefulness is diffused more widely. It is possible both on an individual basis and on a cooperative basis, depending upon the response. On a cooperative basis, if small-scale pilot plants are set up with elite farmers, objectives can be achieved. In the beginning, small units are likely to be accepted on a cooperative basis for demonstration and adoption.
Though the usefulness of enriching straws with urea, molasses, mineral mixture and vitamin A for enhancing growth performance is well documented, the farmers in developing countries have still to accept this enrichment procedure.
Similar is the situation with alkali-treated roughages: evidence exists in favour of better nutritive value to the extent of a 10-unit increase in digestibility, but small farmers have yet to adopt this technique.
Feeding of treated straws by pastoralist enterprises
In nomadic pastoralist areas of Africa, the Near East, Latin America and certain forest areas in India where large grazing enterprises exist, treated roughages can play an important role. Whenever the grasslands are green and have lower crude fibre contents (<25%) with low lignin and silica, no treatment is necessary, but once the grasses age and become similar in composition to straws, then treatment may be essential for better utility. The straws need to be harvested from grasslands for treatment purposes in cases of emergency, when adverse circumstances are likely to lead to scarcity.
Traditionally, the animals, whether for growth, milk production, meat production or work, are allowed to graze in pastoralist areas, and meet part of their dietary requirements through this practice. For meeting their requirements completely, supplementation is necessary through other sources. Straws are usually supplemented by concentrate rations. It may be useful to treat straws so as to decrease the concentrate ration to a certain extent for different production traits, as already mentioned above.
With such enterprises, again, the farmers may be able to afford to treat roughages either on the farm level or even on a cooperative basis. Small-scale pilot units would also be applicable for these enterprises.
Feeding of treated roughages in commercial enterprises
Most commercial enterprises would like to feed their livestock at an optimum level to obtain a maximum profit. The pattern of balanced feeding should be economical, and such enterprises would readily accept such a technology, even on a commercial scale, to lesson their feed costs. The units set up with such enterprises would further be useful in disseminating technology and in calculating economic values in view of further diffusion.
| A. Untreated wheat straw | ||||||||
| Requirements | Nutrients available | |||||||
| Ration | DM (kg) | DCP (kg) | TDN (kg) | Feeds to be fed | DM (kg) | DCP (kg) | TDN (kg) | Feed cost/ day (Rs) |
| Maintenance | 12.0 | 0.25 | 2.95 | Wheat straw | 8.0 | 3.20 | 15/q | |
| Milk production1 | - | 0.40 | 2.84 | Conc. mixture2 | 4.0 | 0.64 | 2.80 | 100/q |
| Total | 12.0 | 0.65 | 5.79 | 12.0 | 0.64 | 6.00 | 5.40 | |
| B. Treated wheat straw | ||||||||
| Maintenance | 12.0 | 0.25 | 2.95 | Treated wheat straw | 9.0 | 0.09 | 4.5 | 25/q |
| Milk production1 | - | 0.40 | 2.84 | Conc. mixture3 | 3.0 | 0.54 | 2.1 | |
| Total | 12.0 | 0.65 | 5.79 | 12.0 | 0.63 | 6.6 | 5.25 | |
1 DCP .05 kg; TDN 0.355 kg/litre
2 DCP 16; TDN 70
3 DCP 18; TDN 70
| A. Untreated wheat straw | |||||
| Ingredient | Body weight | DM (kg) | DCP (kg) | TDN (kg) | Nutritive ratio |
| Requirements | 500 kg | 12.5 | 0.60 | 6.35 | 9.6:1 |
| Wheat straw | 8.5 | - | 3.40 | ||
| Concentrate mixture (DCP 16; TDN 70) | 4.0 | 0.64 | 2.80 | ||
| 12.5 | 0.64 | 6.20 | |||
| B. Treated wheat straw | |||||
| Treated wheat straw | 9.5 | 0.09 | 4.75 | ||
| Concentrate mixture (DCP 18; TDN 70) | 3.0 | 0.54 | 2.10 | ||
| 12.5 | 0.63 | 6.85 | |||
Optimum size of plants
Under the cooperative system, as well as for commercial enterprises, the pilotsize plant with a capacity of 1/2 tonne per hour may be suitable, depending upon the herd strength at the initial stage. But larger commercial scale production would be feasible, involving a capacity of 3 to 5 tonnes per hour, for urban sale as such or in the form of pellets or wafers. In India there is much urban sale of wheat and rice straws. The technology can be elaborated by the Compound Livestock Feed Manufacturers.
Research and Development
There is ample evidence of higher digestibility of treated straws when tested in both in vitro and in vivo studies.
Pretreatment of straws and their enrichment with nonprotein nitrogenous substances, some additives and cheap sources of energy such as molasses may be the next step in utilization of treated straws in developing countries. It should be carried out commercially to reduce costs. The technical information available in this regard needs to be extended to developing countries. The techniques should also include processes to overcome any harmful effects of different treatments.
Compound livestock feed manufacturers in developing countries already engaged in cattle feed production should be encouraged to take up this venture.
Research with different combinations, including treated roughages, is needed for different traits, such as maintenance, growth, meat production, milk production and perhaps even wool production.
It is essential that all treated straws and stovers be well balanced nutritionally with other feed resources including minerals and vitamins (Vitamin A) in accordance with the various feeding standards, and their economic value as compared to conventional feeding systems needs to be calculated.
Bibliography
Bhatnagar, P.S. (1975). An added dividend ‘By-products of sugarbeet’. Indian Farming, p. 21.
Chandravanshi, B.R. and Singh, S.P. (1975). Economics of nitrogen fertilization of sorghum. Indian J. Agron., 20:180.
Chela, K.S. and Brar, H. . (1975). Studies on the effect of sowing date and soed rate on the growth and yield of wheat. Kalyan sona. Ind. J. Agron., 20:87.
FAO (1974). Production Yearbook Vol. 28-1, FAO, Rome.
Gautam, R.C. (1975). Effect of nitrogen fertilization and row spacing on the yield of hybrid bajra (Pearl millet). Ind. J. Agron., 20:325.
Gupta, K.P., Thaku, B.S., Singh, S.P. and Kushwaha, P.S. (1974). Effect of rates and methods of nitrogen application on the growth and yield of wheat variety Kalyan sona under barani conditions. Indian J. Agron., 19:187.
Hotek, W. and Hennwald, E.A. (1976). Results on long-term storage and consumption of lye-treated straw. Herbage Abstr., 46:124.
Javed, A.H. and Donefer, H. (1970). Alkali-treated straw rations for fattening lambs. J. Anim. Sci., 31:245 (Abstr.)
Kehar, N.D. (1954). Effect of feeding alkali-treated cereal straws on the growth of young cattle. Ind. J. Vet. Sci. & Anim. Husb., 24:189.
Koers, W., Woods, W.R. and Klopfenstein, T.J. (1970). Sodium hydroxide treatment of corn stover and cobs. J. Anim. Sci., 31:1830 (Abstr.)
Kristenson, V.F. (1974). Cited in a 1976 report to Council for Development Research, Danida. Improvement of straws by alkali treatment, Kolding, Denmark.
Martin, J.H. and Leonard, W.H. (1967). Principles of field crop production. 2nd ed. The McMillan Co., N.Y., p.446.
Mandal, B.K. and Vamadevan, V.K. (1975). Effect of mulches on the growth and yield of Rabi crops in the Mahanadi delta. Ind. J. Agron., 20:190.
Mowat, D.N. (1976). Crop residues. Herbage Abstr., 46:217.
Panda, S.C., Leeurwrik, D.M. and Mahapatra, I.C. (1974). Performance of hybrid and composite varieties of maize under Sambalpur conditions. Indian J. Agron., 19:15.
Panda, S.C. and Nayak, R.C. (1974). Effect of zinc on the growth and yield of rice. Ind. J. Agron., 19:9.
Pitchaiah, K.V. (1971). The effect of feeding alkali treated wheat bhoosa on the production and composition of milk in cow. M.V.Sc. Thesis, G.B. Pant University, Pantnagar.
Prashar, K.S., Chowdhry, R.K. and Dastane, N.G. (1975). Response of sugar beet to nitrogen fertilization and its economics. Indian J. Agron., 20:242.
Punj, M.L., Sharma, K.C. and Bhatia, I.S. (1976). Proc. of Workshop on Nutritional Evaluation of Forages (UNDP). Nat. Dairy Res. Inst., Karnal (Haryana), India.
Randel, P.F., Ramirez, A., Carrero, R., Valenica, I. (1972). Alkali-treated and raw sugar cane bagasse as roughages in complete rations for lactating cows. J. Dairy Sci., 52:1492.
Rexen, F. and Thomson, K.V. (1975). New alkali treating technique on digestibility of straw. Res. Report, Bioteknisk, Inst. 6000 Holding, Denmark.
Sharma, S.K. and De, Rajat (1975). Effect of water regimes, levels and methods of nitrogen application on growth and yield of rice. Ind. J. Agron., 20:299.
Shrotriya, G.C. and Misra, D.K. (1975). Effect of N levels and soil moisture regimes on the yield of dwarf wheat. Ind. J. Agron., 20:209.
Singh, K.B. and Singh, M.R. (1974). Studies on Mexican wheat. I. Grain and straw yields as affected by soil and foliar application of nitrogen and phosphorus. Ind. J. Agron., 19:198.
Singh, M., Verma, M.L. and Jackson, M.G. (1975). Improved utilization of agricultural waste materials and industrial by-products as livestock feed. Res. Progress Report, G.B. Pant Univ. Pantnagar, p. 75–86.
Singh, K.N., Misra, B.N. and Shastri, V. S. (1975). Effect of dates of sowing and rates and times of N application on the grain yield and malting and brewing quality of 2 row barley. Ind. J. Agron., 20:158.
Singh, R.P. and Parshad, M. (1975). Fertilizer use in rainfed crops. Grain yield and nitrogen uptake. Ind. J. Agron., 20:106.
Terry, B.A., Spooner, M.C. and Osbourn, D.F. (1975). The feeding value of mixture of alkali treated straw and grass silage. J. Agric. Sci. Camb., 84:393.
Van Soest, P.U. (1976). Proc. Workshop on Nutritional Evaluation of Forages (UNDP), N.D.R.I., Karnal (Haryana), India.
Waller, J.C. and Klopfenstein, T.J. (1975). Hydroxides for treating crop residues. J. Anim. Sci., 41:424.
Walter, K., Walter, W. and Klopfenstein, T.J. (1970). Sodium hydroxide treatment of corn stover and cobs. J. Anim. Sci., 31:1030.
Walker, H.G., Kohler, G.O., Graham, R.P. Hart, M.R. and Garrett, W.N. (1975). Upgrading cereal straws for ruminants feeds. 26th Ann. Montana Nutr. Conf., 33–40 Montana State University.
par
C. Demarquilly et M. Petit
Institut National de la Recherche Agronomique
Centre de Recherches Zootechniques et Vétérinaires
Theix - 63110 Beaumont (France)
| Résumé | Summary |
| Les pailles de blé, d'orge, d'avoine sont en Europe disponibles en trés grande quantité. Pauvres en matiéres azotées (de 3,0 à 4,5%) en minéraux (sauf K), en oligo-éléments et en vitamines, elles sont riches en membranes trés lignifiées. Elles sont donc peu digestibles et consommées en faibles quantités. Quand elles sont distribuées seules, leur digestion et leur ingestion sont en outre limitées par le fait qu'elles n'apportent pas suffisamment d'azote et de certains minéraux (S, P, Mg..) aux micro-organismes du rumen. Correctement supplémentées, elles peuvent cependant constituer une part plus ou moins importante de la ration des ruminants, ce qui entraîne une réduction importante des besoins en fourrages classiques et en aliments concentrés. Les pailles, notamment si elles sont broyées (et dans ce cas la finesse de broyage optimum semble être obtenue avec des grilles de 5 à 7 mm), peuvent être incorporées dans les régimes d'engraissement des jeunes bovins à base d'aliment concentré. Leur incorporation au taux de 10 à 20% dans les régimes d'orge + tourteaux et de 30 à 40% dans les régimes de maïs + tourteaux, n'entraîne aucune diminution du gain de poids vif et uniquement une légére diminution du rendement à l'abattage. En revanche, des taux d'incorporation plus élevés, s'ils diminuent le plus souvent la quantité de concentré nécessaire par kg de carcasse produite, diminuent aussi les gains de poids vif et allongent considérablement la période d'engraissement. De même, les pailles peuvent se substituer aux foins et aux ensilages dans les régimes de vaches laitières à base d'aliment concentré. Dans ce cas elles doivent être obligatoirement broyées et mélangées à l'aliment concentré afin que leur ingestion soit suffisante pour ne pas entraìner d'ennuis digestifs et une déviation du métabolisme lipidique (chute du taux butyreux). Le taux d'incorporation optimum pour que la production et la composition du lait restent normales se situe vers 30% dans le cas d'un broyage grossier (grille ≥ 10 mm) et de 40 à 50% dans le cas d'un broyage plus fin (grille de 3 à 5 mm). Offertes à volonté, les pailles peuvent constìtuer le seul fourrage hivernal des anìmaux à faibles besoins (femelles allaitantes, génisses d'élevage, boeufs destinés à étre engraissés au pàturage) à condition qu'elles soient correctement complémentées en azote, minéraux, vitamines et aussi en énergie, et que les animaux soient en bon état à leur rentrée à l'étable. La complémentation minimum en concentrés sera de 2 à 3 kg/jour (vaches), de 0,4 à 0,6 kg/jour (brebis) et de 0,5 ou 1,0% du poids vif pour les bovins d'élevage selon qu'on désire des croissances de 250 ou de 500 g/jour. L'azote de la ration (1,3 à 2,0% de N selon l'importance de la complémentation énergétique) peut être apporté par l'urée si les apports sont fractionnés dans la journée (minimum 2 distributions ou, mieux, dispositif permettant le libre service). Il semble cependant souhaitable de maintenir un minimum d'apport azoté sous forme protéique, notamment pour les femelles allaitantes. Les pailles traitées à la soude (4 à 6%) et complémentées en azote et minéraux ont les mêmes digestibilité et ingestibilité que les bons foins. Elles peuvent donc se substituer à eux dans la ration des animaux à besoins élevés ou faibles. Les cannes de maïs ont une valeur azotée et surtout énergétique plus élevée que les pailles. Les quantités complémentaires de céréales et tourteau peuvent donc être plus faibles que celles prévues dans les rations à base de paille: 1 à 2 kg/jour sont suffisants pour obtenir des performances satisfaisantes chez les vaches allaitantes, et 0,5% du poids vif pour obtenir des croissances de 500 à 600 g/jour chez les bovins d'élevage. La forme la plus simple d'exploitation des cannes de maís est le pâturage (100 à 120 jours/vaches à l'ha) lorsque les conditions climatiques et la portance des sols le permettent. Dans le cas contraire, il sera nécessaire de les ensiler le plus tôt possible après la récolte du grain. Le gaspillage sera alors réduit et on pourra profiter de leur mise en silo pour les enrichir en azote (urée) et minéraux et même pour les traiter à la soude, ce qui amélìore leur valeur et permet de limiter la seule complémentation au peu de tourteau nécessaire pour amener le taux de matières azotées de la ration à 12%. Les spathes et les rafles de maïs ont une valeur énergétique supérieure à celle des cannes et peuvent donc étre utilisées sous forme séche après broyage et complémentation. Les marcs de raisin ont une valeur nutritive encore inférieure à celle des pailles mais permettent des performances zootechniques supérieures, car ils sont ingérés en beaucoup plus grandes quantités (plus de 2,5 kg de matière séche pour 100 kg de poids vif pour des bovins d'élevage contre 1,5 kg en moyenne). | Wheat, barley and oat straws are available in Europe in very large quantities. They have a low nitrogen content (from 3.0 to 4.5%) and are poor in minerals (except K), in trace elements and in vitamins and a very high content of lignifield membranes. They are therefore not very digestible, and only small quantities are consumed. If they are offerèd alone, digestion and intake are also limited by the fact that they do not provide the microorganisms of the rumen with a sufficient amount of nitrogen and certain minerals (S, P, Mg, etc.). If adequately supplemented, however, they can constitute a considerable proportion of ruminants feed, thus making possible a sizeable reduction in the amount of traditional fodder and of concentrates needed. Straws, particularly if ground (in which case the optimum particle size seems to be obtained with screens of 5 to 7 mm) can be incorporated into concentrate-based diets for fattening young cattle. Their incorporation in a proportion of 10 to 20% in diets of barley + oilcakes, and of 30 to 40% in diets of maize + oilcakes, does not lead to any decrease in live-weight gain and results in only a slight decrease in meat production. The incorporation of higher proportions, however, although it may decrease the amount of concentrates needed per kg of meat produced, also decreases live-weight gains and prolongs considerably the period necessary for fattening. Straws can also be used as substitutes for hay and silage in concentrate-based diets for dairy cows. In this case it is essential that they be ground and mixed with the concentrate in order to ensure that their consumption causes no digestive trouble or change in lipidic metabolism (fall in the butyrous rate). The optimum proportions of straw to be used to ensure that production and composition of the milk remain normal are about 30% in the case of coarsely-ground particles (screen ≥ 10 mm) and 40 to 50% in the case of finer grinding (screens 3 to 5 mm). Unlimited straw can constitute the sole winter fodder for animals with low requirements (nursing females, beef heifers, bullocks intended for fattening at grass) provided it is suitably supplemented with nitrogen, minerals, vitamins and also energy, and that the animals are in good condition before being brought indoors. The minimum supplement of concentrates necessary will be 2 to 3 kg/day (cows), 0.4 to 0.6 kg/day (sheep) and 0.5 or 1.0% of live weight for beef cattle, depending on whether gains of 250 or 500 g/day are required. The nitrogen in the diet (1.3 to 2.0% according to the amount of energizing supplement needed) can be provided by urea if the total urea ration is distributed throughout the day (a minimum of 2 distributions or, better, a self-service device). It seems advisable, however, to continue to provide a minimum of nitrogen in protein form, in particular for nursing females. Straws treated with soda (4 to 6%) and supplemented with nitrogen and minerals have the same digestibility and intake rates as good hay. They can therefore be used as hay substitutes in the rations of animals with both high and low requirements. Maize canes have a higher nitrogen, and above all energy, content than straws. Less supplements of cereals and oilcakes are therefore necessary than for rations based on straw: 1 to 2 kg/day are sufficient to obtain satisfactory performance in nursing cows, and 0.5% of live weight to obtain gains of 500 to 600 g/day in beef cattle. The simplest way of using maize canes is by grazing (100 to 120 days/cows per ha), when the climatic conditions and the weight-bearing capacity of the soil permit. Otherwise, they must be ensilaged as soon as possible after harvesting. Wastage is thus reduced and at the time of ensilage the canes can be enriched with nitrogen (urea) and minerals and even treated with soda, thus increasing their value and making it possible to limit supplements to the small amount of oilcake needed to bring the proportion of nitrogenous material in the ration up to 12%. Maize shucks and cobs have a higher energy value than the canes and can therefore be used in dry form after being ground and supplemented. Grape marcs have an even lower nutritive value than straws, but produce better zootechnical results, because they are ingested in greater quantities (more than 2.5 kg of dry matter per 100 kg of live weight for beef cattle, as against an average of 1.5 kg). |
Resumen
En Europa hay grandes disponibilidades de paja de trigo, cebada y avena. Estas pajas son pobres en compuestos nitrogenados (3,0 a 4,5 por ciento), en minerales (excepto K), en oligoelementos y en vitaminas, pero son ricas en membranas muy lignificadas y, por tal razón, son poco digestibles, y se consumen en cantidades pequeñas. Cuando se administran solas, su digestión e ingestión se ven limitadas aún más, porque no aportan en cantidad suficiente nitrógeno y ciertos minerales (S, P, Mg…) a los microorganismos del rumen. No obstante lo dicho, son suplementos apropiados, pueden constituir una parte más o menos importante de la ración de los rumiantes, con la consiguiente reducción importante de las necesidades de forrajes clásicos y de concentrados.
Las pajas, especialmente desmenuzadas (el tamizado óptimo al parecer es el que se realiza con mallas de 5 a 7 mm) pueden incorporarse al régimen de engorda de bovinos jóvenes a base de concentrados. Su incorporación, a razón de 10 a 20 por ciento, a un régimen de cebada y tortas oleaginosas, o de 30 a 40 por ciento a un régimen de maíz y tortas oleaginosas, no provoca ninguna disminución del aumento del peso vivo, mientras que la disminución del rendimiento en el matadero es muy pequeña. En cambio, con la incorporación de porcentajes más elevados, si bien se logra reducir la cantidad de concentrado necesaria por kilograma de carne en vara, se produce también una disminución del aumento del peso vivo y una prolongación considerable del período de engorda.
Las pajas también pueden reemplazar al pasto seco y al ensilaje en los regímenes para vacas lecheras a base de concentrados. En este caso es obligatorio desmenuzarlas y mezclarlas con el concentrado, a fin de lograr una ingestión suficiente para evitar transtornos digestivos y desviaciones del metabolismo de los lípidos (descenso de la tasa butirosa). La tasa de incorporación óptima, para que la producción y la composición de la leche sigan siendo normales, gira alrededor del 30 por ciento con tamizado grueso (malla ≥ 10 mm) y 40 a 50 por ciento con tamizado más fino (malla de 3 a 5 mm).
Las pajas, ofrecidas a voluntad, pueden constituir el único forraje de invierno para animales de escasas necesidades (hembras lactantes, vaquillas de crianza, bueyes destinados a la engorda en pastizal), siempre que se les agreguen complementos apropiados de nitrógeno, minerales, vitaminas y también de energía y que los animales estén en buen estado cuando entran al establo. El complemento mínimo en concentrados es de 2 a 3 kg/día (vacas), de 0,4 a 0,6 kg/día (ovejas) y de 0,5 a 1,0 por ciento del peso vivo (bovinos de crianza, según se desee un aumento de 250 o de 500 gramos/día). El nitrógeno de la ración (1,3 a 2,0 por ciento de nitrógeno, según la importancia del complemento energético) puede aportarlo la urea, siempre que se administre fraccionada en el transcurso de la jornada (minimo 2 dosis, pero es mejor emplear un dispositivo de autoservicio). No obstante lo dicho, al parecer, es conveniente mantener un aporte minimo de nitrógeno en forma proteica, especialmente para las hembras lactantes.
Las pajas tratadas con sosa (4 a 6 por ciento), con complementos de nitrógeno y minerales, tienen la misma digestibilidad e ingestibilidad que los pastos secos de buena calidad y, por lo tanto, pueden sustituirlos en la ración de animales que tengan necesidades grandes o pequeñas.
La caña de maíz como fuente de nitrógeno y energía tiene valor más elevado que la paja, y por tal motivo, puede emplearse complementos de cereales y de tortas de oleaginosas menores que en las raciones a base de paja: 1 a 2 kg/día son suficientes para obtener aumentos de 500 a 600 gramos/día en bovinos de crianza. La forma más sencilla de utilización de la caña de maíz es el pastoreo directo (100 a 120 días/vaca por ha), si las condiciones climáticas y la resistencia del terreno lo permiten. En caso contrario, es preciso ensilarla lo más pronto posible después de la cosecha de maíz. En este último caso disminuyen las pérdidas y se puede enriquecerla con nitrógeno (urea) y minerales, e incluso tratarla con sosa al ensilarla, lo que hace aumentar su valor y permite limitar el único complemento a la pequeña cantidad de tortas oleaginosas necesaria para elevar la tasa de sustancias nitrogenosas de la ración a 12 por ciento.
Las chalas y las corontas de maíz tienen un valor energético superior al del tallo y se pueden emplear, secas y desmenuzadas, con complementos.
Los resíduos de destilación de la uva tienen un valor nutritivo inferior al de las pajas, pero su rendimiento zootécnico es superior, porque se ingieren en cantidades mucho mayores (más de 2,5 kg de materia seca por 100 kg de peso vivo los bovinos de crianza, en comparación con un promedio de 1,5 kg).
Pendant très longtemps, les ruminants ont été nourris presque exclusivement de fourrages et de certains sous-produits (feuilles et collets de betteraves, pulpes, drêches, etc.). Puls leur élevage s'est progressivement intensifié grâce à l'amélioration du potentiel génétique de production des animaux et à l'utilisation croissante d'aliments concentrés, notamment des céréales et des tourteaux, traditionnellement réservés jadis aux animaux monogastriques et à l'homme. L'augmentation importante du prix des aliments concentrés consécultive à une demande accrue a récemment suscité un renouveau d'intérêt pour la meilleure utilisation, dans l'alimentation des ruminants, tout d'abord des fourrages classiques, puis des sous-produits de grandes cultures.
Par comparaison aux monogastriques, les ruminants sont de moins bons transformateurs des aliments concentrés; en revanche, eux seuls sont capables de tirer partie des produits cellulosiques, notamment des pailles. La culture des céréales occupe en effet une partie très importante de la surface agricole utile des pays développés; elle devlent même quasi exclusive dans certaines régions. Elle laisse des sous-produits, les pailles et les cannes de mal's, en quantité très importante, représentant en matière sèche de 85 à 100% de la quantité de grain produite. En année normale, ces sous-produits sont très mal valorisés: 10 à 20% seulement sont utilisés pour l'alimentation des ruminants et des chevaux, le reste sert de litière ou est brûlé ou enfoul, alors qu'ils représentent une source non négligeable d'énergie et pourraient rentrer pour une part beaucoup plus importante dans les rations à condition d'être correctement supplémentés. A cet égard, rappelons que les systèmes d'évaluation de la valeur énergétique des aliments en énergle nette pour l'engraissement, classiquement utilisés en Europe, (unité fourragère, équivalent amidon) sousestiment de façon importante (environ de 40%) la valeur énergétique des pailles et autres produits très cellulosiques pour l'entretien et la lactation.
Les pailles
Les pailles de blé, d'orge, d'avoine sont pauvres en matières azotées (de 3,0 à 3,5% en moyenne), en minéraux (exception faite du potassium) et en oligo-éléments. Elles sont très chargées en membranes (de 40 à 50% de cellulose brute) qui sont fortement lignifiées (tableau 6.1). Leur teneur en vitamine A est pratiquement nulle.
Elles sont donc peu digestibles et consommées en faible quantité, la paille d'avoine ayant cependant une digestibilité plus élevée (en moyenne 49% pour la matière organique) que les pailles d'orge (44%) et de blé (42%) (Xande, résultats non publiés). Quand elles sont distribuées seules, leur digestion, et aussi leur ingestion, sont souvent limitées par le fait qu'elles n'apportent pas assez d'azote, de certains minéraux (S, P, Fe, Mg, Ca, etc.) et peut-être d'énergie rapidement disponible pour assurer une croissance et une activité normale des micro-organismes du rumen (cf. Pigden et Heany, 1969). ll est donc indispensable de les complimenter en ces éléments. Plgden et Heany (1969) concluent de leur étude bibliographique que pour assurer une digestion correcte des membranes lignocellulosiques dans le rumen, une teneur de 1% en azote est suffisante pour les fourrages contenant moins de 50% d'énergie digestible Pour des teneurs plus élevées en énergie digestible (ce qui est le cas des pailles traitées à la soude), la teneur en azote pourrait être augmentée à 1,5% et même à 2% si des glucides rapidement utilisables (mélasse, amidon) étaient incorporés à la ration à un taux supérieur à 20% de la ration totale.
UTILISATION DES PAILLES
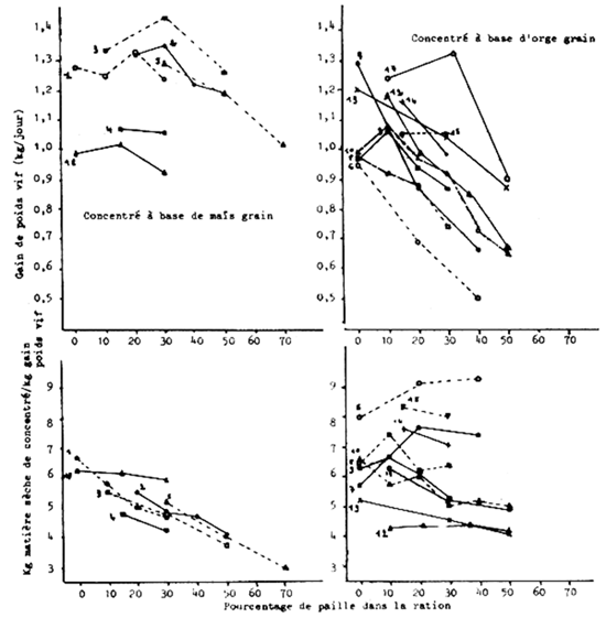
a) animaux à l'engrais
Les pailles, notamment si elles sont broyées, peuvent être incorporées dans les régimes d'engraissement des Jeunes bovins à base d'aliments concentrés. Une revue des expériences réalisées sur ce sujet est présentée dans le tableau 6.2 et la figure 6.1. ll en résulte que l'incorporation des pailles aux taux de 10 à 15% dans les régimes à base d'orge et de 30% dans les régimes à base de maïs n'entraîne généralement pas de diminution du gain de poids vif par suite d'une augmentation des quantités totales de matière sèche ingérées. En revanche, des taux d'incorporation plus élevés diminuent le gain journalier de poids vif (en moyenne de 0,100 kg pour chaque augmentation de 10% du taux de paille), de sorte qu'ils augmentent considérablement la durée d'engraissement. Certes, la quantité d'aliment concentré par kg de gain continue à diminuer, notamment avec les régimes à base de maïs, de 0,465 kg de matière sèche de concentré/kg de gain pour chaque augmentation de 10% du taux de paille (r = -0,901), mais seulement de 0,200 kg M.S. pour les régimes à base d'orge. Cependant, comme le rendement à l'abattage diminue, la quantité d'aliment concentré/kg de gain de carcasse ne diminue plus ou très peu; l'économie d'aliment concentré devient donc insuffisante pour payer le prix de la paille. C'est ainsi que dans l'essal de Kay et al. (1970 b), par comparaison aux animaux ne recevant pas de paille et uniquement un aliment concentré à base d'orge, ceux qui ont reçu 30 ou 50% de leur ration sous forme de paille ont ingéré pour produire le même poids de carcasse 36 ou 100 kg de concentrés en moins mals 606 ou 1360 kg de paille en plus.
| Aliments | Teneur en matière sèche % | % de la M.S. | Digestibilité matière organique % | par kg M.S. | Minéraux par kg de matière sèche | ||||||||||
| Cendres | MAT | Cellulose brute | UF | MAD (g) | Ca | P | K | Na | Mg | Zn | Mn | Cu | |||
| g | g | g | g | g | g | g | g | ||||||||
| Pailles: | |||||||||||||||
| Blé | 90 | 6,5 | 3,0 | 44 | 42 | 0,26 | 5 | 2,5 | 0,8 | 10 | 1,0 | 0,9 | 50 | 5 | 3 |
| Orge | 90 | 6,0 | 3,5 | 43 | 44 | 0,28 | 5 | 4,0 | 0,7 | 15 | 1,0 | 0,8 | 56 | 12 | 3 |
| Avoine | 90 | 7,0 | 3,5 | 43 | 49 | 0,36 | 5 | 3,8 | 1,2 | 20 | 2,5 | 1,2 | 130 | 15 | 4 |
| Cannes de mais: | |||||||||||||||
| sèches | 82 | 7,5 | 4,5–7,0 | 32 | 56 | 0,48 | 10–20 | 3,5 | 1,5 | 10 | 2,0 | 2,2 | 25 | 50 | 12 |
| ensilées | 35 | 9,0 | 5,5–7,5 | 32 | 58 | 0,50 | 15–20 | 4,0 | 2,0 | 10 | 2,0 | 2,2 | 25 | 50 | 12 |
| Marc de raisin ensilé | 30–35 | 9,0 | 13 | 20–30 | 30 | 0,25 | 20 | 6,0 | 3,0 | 0,8 | 25 | 30 | 75 | ||
| Besoins en minéraux par kg de matière sèche de la ration: | |||||||||||||||
| Vache è è l'entretien | 4,0 | 3,0 | 3,0 | 1,5 | 1,5 | 80 | 50 | 10 | |||||||
| Vache en lactation (15 kg de lait) | 6,0 | 4,0 | 5,0 | 1,5 | 1,5 | 80 | 50 | 10 | |||||||
| Bovins à l'engrais | 5,5 | 4,5 | 4,0 | 1,5 | 1,5 | 80 | 50 | 10 | |||||||
d'après Andrieu et al., 1976.
Tableau 6.2.: INFLUENCE DU POURCENTAGE D'INTRODUCTION DE PAILLE DANS LES RATIONS D'ENGRAISSEMENT A BASE D'ALIMENTS CONCENTRES SUR LA QUANTITE INGEREE, LE GAIN JOURNALIER DE POIDS VIF, L'EFFICACITE ALIMENTAIRE (kg de matière sèche d'aliment/kg de gain et kg de matière sèche de concentrés par kg gain) ET LE RENDEMENT A L'ABATTAGE.
| 1 - LAMMING et al. (1966) 64 boeufs frisons (310–440 kg). Paille d'orge broyée (3,2 mm) + maïs grain et 1,3 à 11,8 % de tourteau Soja et CMV - Ensemble aggloméré | p.100 de paille dans la ration M.S. ingérée (kg/jour) Gain de poids vif (kg/j) kg M.S. aliment/kg de gain kg M.S. conc./kg de gain Rendement | 0 8,49 1,28 6,63 6,63 62,7 | 10 8,06 1,25 6,45 5,80 61,7 | 20 8,28 1,33 6,24 4,99 65,6 | 30 8,30 1,24 6,70 4,69 60,5 | ||
| 2 - LAMMING et al. (1966) 64 boeufs frisons (310–440 kg). Paille d'orge broyée (3,2 mm) + maïs grain et 1,3 à 11,8 % de tourteau Soja et CMV - Ensemble aggloméré | p.100 de paille dans la ration M.S. ingérée (kg/jour) Gain de poids vif (kg/j) kg M.S. aliment/kg de gain kg M.S. conc./kg de gain Rendement | 20 9,08 1,32 6,88 5,50 63,1 | 30 9,33 1,35 6,91 4,84 63,5 | 40 9,54 1,22 7,82 4,69 63,5 | 50 9,61 1,19 8,08 4,04 62,1 | ||
| 3 - SWAN et LAMMING (1967) 24 boeufs frisons (270–450 kg) Paille d'orge broyée (3,2 mm) + maïs grain et 7,8 à 15,0 % tourteau soja. Ensemble aggloméré | p.100 de paille dans la ration M.S. ingérée (kg/jour) Gain de poids vif (kg/j) kg M.S. aliment/kg de gain kg M.S. conc./kg de gain Rendement | 10 8,1 1,33 6,09 5,49 52,9 | 30 9,7 1,44 6,74 4,69 53,2 | 50 9,3 1,26 7,38 3,70 48,8 | |||
| 4 - PICKARD et al. (1969) 24 boeufs frisons (120–500 kg) Paille d'orge broyée (1,6–4,8– 7,9 mm) + maïs grain et 10 à 17,5 % tourteau soja et farine de poisson + CMV - Ensemble aggloméré | p.100 de paille dans la ration M.S. ingérée (kg/jour) Gain de poids vif (kg/j) kg M.S. aliment/kg de gain kg M.S. conc./kg de gain Rendement | 15 6,07 1,07 5,67 4,82 60,9 | 30 6,48 1,06 6,08 4,26 56,7 | ||||
| 5 - SWAN et al. (1970) 24 boeufs frisons (290–470 kg) Paille d'orge broyée (3,2 mm) + maïs grain et 11,7 à 20 % tourteau Soja + CMV - Ensemble aggloméré | p.100 de paille dans la ration M.S. ingérée (kg/jour) Gain de poids vif (kg/j) kg M.S. aliment/kg de gain kg M.S. conc./kg de gain Rendement | 30 9,5 1,29 7,36 5,18 55,9 | 50 9,7 1,19 8,15 4,05 54,0 | 70 9,9 1,02 9,71 2,94 52,9 | |||
| 6 - FORBES et al. (1969) 12 boeufs frisons (340–400 kg) Paille d'orge hachée + orge grain et 15 à 37,5 % tourteaux soja et arachide + CMV - Ensemble non aggloméré | p.100 de paille dans la ration M.S. ingérée (kg/jour) Gain de poids vif (kg/j) kg M.S. aliment/kg de gain kg M.S. conc./kg de gain | 0 7,57 0,95 8,02 8,02 | 20 7,50 0,69 11,54 9,14 | 40 7,27 0,50 15,11 9,32 | |||
| 7 - FORBES et al. (1969) 12 Croisés Hereford Paille d'orge hachée + orge grain et 15 à 37,5 % tourteaux soja et arachide + CMV - Ensemble non aggloméré | p.100 de paille dans la ration M.S. ingérée (kg/jour) Gain de poids vif (kg/j) kg M.S. aliment/kg de gain kg M.S. conc./kg de gain Rendement | 0 7,33 1,29 5,72 5,72 56,9 | 20 7,57 0,87 9,47 7,67 55,4 | 40 7,45 0,66 11,99 7,39 54,9 | |||
| 8 - RAVEN et al. (1969 a) 24 boeufs frisons (270–430 kg) Paille d'orge broyée (2,54 mm) + Orge grain et 13,5 % tourteaux Soja et arachide + CMV - Ensemble non aggloméré | p.100 de paille dans la ration M.S. ingérée (kg/jour) Gain de poids vif (kg/j) kg M.S. aliment/kg de gain kg M.S. conc./kg de gain Rendement | 0 5,91 0,97 6,46 6,46 56,7 | 10 6,67 0,92 8,20 7,40 56,8 | 20 6,73 0,88 7,75 6,22 54,4 | 30 6,18 0,74 9,05 6,40 54,9 | ||
| 9 - RAVEN et al. (1969 b) 24 boeufs frisons (270–430 kg) Paille d'orge broyée (2,54 mm) + Orge grain et 12,5 à 26,8 % tourteaux soja et arachide + CMV - Ensemble non aggloméré | p.100 de paille dans la ration M.S. ingérée (kg/jour) Gain de poids vif (kg/j) kg M.S. aliment/kg de gain kg M.S. conc./kg de gain Rendement | 0 5,82 0,97 6,29 6,29 56,0 | 10 7,00 1,06 7,35 6,64 57,5 | 20 6,92 0,94 7,63 6,08 55,9 | 30 6,27 0,87 7,47 5,26 54,9 | ||
| 10 - FORBES et al. (1969 b) 36 boeufs croisés ou frisons (280–410 kg) Paille d'orge broyée (24,5 mm) + orge grain et 17,5 à 30 % tour- teau + CMV. Ensemble non aggloméré. | p.100 de paille dans la ration M.S. ingérée (kg/jour) Gain de poids vif (kg/jour) kg M.S. aliment/kg de gain kg M.S. conc./kg de gain Rendement | 0 5,91 0,99 6,62 6,62 62,1 | 10 6,89 1,08 6,46 5,77 61,6 | 20 7,01 0,97 7,61 6,04 62,9 | 30 6,57 0,92 7,31 5,06 61,2 | 40 5,74 0,73 8,49 5,14 60,1 | 50 6,28 0,65 10,00 5,02 60,7 |
| 11 - JOHN et al. (1967) 40 veaux mâles frisons (8–21 semaines) Paille mixte (orge-blé-seigle) + (amidon - sucre - T.Soja 29 % - mélasse). | p.100 de paille dans la ration M.S. ingérée (kg/jour) Gain de poids vif (kg/jour) kg M.S. aliment/kg de gain kg M.S. conc./kg de gain | 5 2,56 0,65 3,94 3,74 | 18,75 3,05 0,65 4,69 3,81 | 32,50 3,18 0,57 5,58 3,77 | 46,25 2,95 0,43 6,86 3,69 | 60,00 2,37 0,22 10,77 4,31 | |
| 12 - KAY et al. (1970 a) 48 boeufs frisons (150–350 kg) Paille hachée en brins de 10 cm + orge grain, 5 % mélasse et 2,5 % urée + CMV | p.100 de paille dans la ration M.S. ingérée (kg/jour) Gain de poids vif (kg/jour) kg M.S. aliment/kg de gain kg M.S. conc./kg de gain Rendement | 10 5,60 1,18 4,75 4,28 55,4 | 21 5,46 0,99 5,52 4,36 55,1 | 37 5,85 0,85 6,88 4,33 51,2 | 50 5,58 0,67 8,38 4,16 48,3 | ||
| 13 - KAY et al. (1970 b) 21 boeufs frisons (150–380 kg) Paille d'orge broyée (3,2 mm) Orge grain, 14 % tourteau soja et 0,2 à 0,9 % urée + CMV Ensemble aggloméré | P.100 de paille dans la ration M.S. ingérée (kg/jour) Gain de poids vif (kg/jour) kg M.S. aliment/kg de gain kg M.S. conc./kg de gain Rendement | 0 6,03 1,20 5,02 5,02 57,3 | 30 6,69 1,04 6,43 4,50 54,1 | 50 7,12 0,87 8,18 4,09 52,3 | |||
| 14 - LEVY et al. (1972) 22 boeufs frisons (290–500 kg) Paille de blé broyée (11 mm) + Orge, sorgho, son, farine de luzerne et tourteaux. Ensemble aggloméré | p.100 de paille dans la ration M.S. ingérée (kg/jour) Gain de poids vif (kg/jour) kg M.S. aliment/kg de gain kg M.S. conc./kg de gain Rendement | 15 10,4 1,16 8,97 7,62 57,7 | 30 9,9 0,98 10,10 7,07 56,9 | ||||
| 15 - LEVY et al. (1972) 22 boeufs frisons (290–500 kg) Paille de blé broyée (11 mm) + Orge, sorgho, son, farine de luzerne et tourteaux. Ensemble non aggloméré | p.100 de paille dans la ration M.S. ingérée (kg/jour) Gain de poids vif (kg/jour) Kg M.S. aliment/kg de gain kg M.S. conc./kg de gain Rendement | 15 10,4 1,05 9,90 8,41 54,9 | 30 12,1 1,05 11,52 8,06 55,4 | ||||
| 16 - SWAN et CLARK (1974) 40 boeufs frisons (300–430 kg) Paille d'orge broyée + Orge grain, 20 % mélasse et 5 % urée minéraux | p.100 de paille dans la ration Finesse broyage (mm) M.S. ingérée (kg/jour) Gain de poids vif (kg/jour) kg M.S. aliment/kg de gain kg M.S. conc./kg de gain Rendement | 0 7,1 1,09 6,51 6,51 57,4 | 30 3,2 8,0 0,95 8,45 5,92 55,2 | 30 6,3 8,9 1,14 7,84 5,49 55,7 | 30 9,5 9,0 1,04 8,64 6,05 55,9 | 30 12,7 8,2 1,01 8,12 5,68 55,3 | |
| 17 - SWAN et CLARK (1974) 24 boeufs frisons (300–450 kg) Paille d'orge broyée + Orge grain, 20 % mélasse et 13 à 18,8 % tourteau soja + CMV | p.100 de paille dans la ration M.S. ingérée (kg/jour) Gain de poids vif (kg/jour) kg M.S. aliment/kg de gain kg M.S. conc./kg de gain Rendement | 10 8,71 1,24 7,02 6,32 57,2 | 30 9,89 1,32 7,50 5,24 54,7 | 50 8,82 0,90 9,8 4,90 53,7 | |||
| 18 - KAY et Mc DEARMID (1973) 24 boeufs frisons (250–430 kg) Paille d'orge broyée + Conc. à base de maïs grain Ensemble non aggloméré. | p.100 de paille dans la ration M.S. ingérée (kg/jour) Gain de poids vif (kg/jour) kg M.S. aliment/kg de gain kg M.S. conc./kg de gain Rendement | 0 6,20 0,99 6,26 6,26 57,9 | 15 7,37 1,02 7,23 6,14 - | 30 7,85 0,93 8,44 5,91 55,5 | |||
| AGNEAUX | |||||||
| 19 - O'DONOVAN et GHADAKI (1975) 120 agneaux (31 à 47 kg) Paille de blé hachée (4 à 8 cm) Orge grain 45 %-Mélasse 10 % - T. coton 12–14 % - Pulpe sèche (22-0) | p.100 de paille dans la ration M.S. ingérée (kg/jour) Gain de poids vif (kg/jour) kg M.S. aliment/kg de gain kg M.S. conc./kg de gain Rendement | 10 1,50 0,154 9,78 8,80 54,5 | 20 1,56 0,159 9,85 7,88 53,5 | 30 1,44 0,127 11,30 7,91 53,1 |

Figure 6.1. Influence des pourcentages de paille dans les rations d'engraissement à base d'aliment concentré sur le gain de poids vif et sur la quantité de matière sèche de concentré ingérée/kg de poids vif. (Les différents chiffres indiquent les références aux auteurs du Tableau 6.2,)
En définitive, ces résultats (confirmés par ceux de O'Donovan et Ghadaki (1973) sur des agneaux à l'engrais), montrent que l'incorporation de paille dans les régimes d'engraissement des Jeunes bovins n'est intéressante qu'à des taux relativement faibles.
Un problème non encore résolu est de savoir s'il faut broyer ou non la paille. Le coût du broyage est-il justifié par l'amélioration des performances qu'll entraine? Aucune comparaison précise ne permet de le dire. Quoi qu'il en solt, les résultats de Swan et Clark (1974) montrent clairement que quand il y a broyage, la finesse de broyage optimum est obtenue avec des grilles de 6 à 7 mm, du moins avec des régimes à base d'orge. En revanche, il a été observé (cf. Béranger, 1970), dans les nombreux essais effectués en France sur l'engraissement des taurillons avec des régimes à base de luzerne déshydratée plus de la pulpe de betteraves ou des céréales, que lorsque les rations sont finement broyées et agglomérées, les animaux consomment beaucoup de la paille de leur litière, de 1 à 2 kg/jour. Cette ingestion de paille longue est nécessaire pour assurer le bon fonctionnement du rumen, maintenir la rumination et limiter les troubles digestifs; elle constitue en outre un apport d'énergie non négligeable et est très bien valorisée par l'animal.
b) vaches laitières
Les résultats de Owen et al. (1968 et 1969), Huff et al. (1970), Blair et al. (1974), et Rémond et Journet (1974) montrent que les pailles ou autres produits cellulosiques (rafles de maìs) peuvent se substituer aux foins ou aux ensilages dans les rations de vaches laitières à base d'aliments concentrés. Dans ce cas les pailles doivent être obligatoirement broyées et mélangées à l'aliment concentré afin que leur ingestion soit suffisante pour ne pas entraîner d'ennuis digestifs et une déviation du métabolisme lipidique (chute du taux butyreux). Le taux d'incorporation optimum pour que la production et la composition du lait restent normales se situe vers 30% de la ration totale dans le cas d'un broyage grossier (grille d'un diamètre supérieur à 10 mm) et de 40 à 50% dans le cas d'un broyage plus fin (grille de 3 à 5 mm). En outre, on aura intérêt à distribuer les céréales après les avoir broyées grossièrement ou seulement aplaties, ces modes de présentation entraînant moins de modifications dans les proportions respectives des acides gras volatils du rumen (diminution du rapport c2/C3) que la forme broyée et agglomérée Pour diminuer les déviations fermentaires dans le rumen, il est également souhaitable de remplacer une partie des céréales (20 à 40%) par des pulpes de betteraves déshydratées, qui ont une orientation fermentaire (acide acétique) favorable au taux butyreux, ou de conserver dans la ration une petite quantité de fourrages classiques (2 à 4 kg de foin) sous forme longue.
c) animaux à besoins limités
Les troupeaux de femelies allaitantes, les animaux d'élevage, et les boeufs destinés à être engraissés au pâturage ont des besoins limités. Les pailles peuvent donc constituer une part importante de leur alimentation hivernale dans la mesure où les animaux sont dans un état satisfaisant à leur rentrée à l'étable et à condition que ces pailles soient correctement supplémentées en azote, minéraux, vitamines et aussi en énergie, car distribuées seules elles ne couvrent que 50 à 70 % des besoins énergétiques et azotés d'entretien des animaux.
La teneur en azote de la ration (1,3 à 2,0% de N selon l'importance de la complémentation énergétique) peut être obtenue, en plus de l'azote apporté par la paille et la source d'énergie, par un apport d'azote non protéique, tel l'urée, qui sera correctement utilisé dans la mesure où il est fractionné dans la journée. L'urée doit être distribuée en 2 repas par jour au minimum ou, mieux, offert en libre service grâce à des dispositifs adéquats: pierres à lécher, distributeurs à boule ou à roue de compléments uréiques liquides. ll semble cependant nécessaire de maintenir un minimum de complément azoté sous forme protéique, notamment pour les femelles allaitantes. La ration totale (paille plus compléments) devra contenir par kg de matière sèche 3 g de P, 5 g de Ca, 1,5 g de Mg, 1,5 g de S (Guéguen, 1973), 120 mg de Mn, 75 mg de Zn, 14 mg de Cu et 0,1 mg de Co (Lamand, 1975). Les animaux auront aussi à leur disposition des pierres à sel. La complémentation énergétique dépendra du type d'animaux et des performances animales souhaitées.
1) Génisses d'élevage et boeufs destinés à étre engraissés au pâturage
Dans le tableau 6.3, nous avons reporté les quantités de paille ingérées et les gains de poids vif obtenus par différents auteurs selon l'importance de la complémentation énergétique. ll existe une relation étroite entre la quantité de concentrés ingérée (x en kg de matiére séche par 100 kg de poids vif) et d'une part la quantité de matière sèche totale Ingérée (Y1 en kg/100 kg poids vif) et d'autre part le gain journalier de poids vif (Y2 en kg/animal/jour) (figure 6.2).
Tableau 6.3.: QUANTITE DE MATIERE SECHE DE PAILLE, D'ALIMENT CONCENTRE ET DE MATIERE SECHE TOTALE INGEREE (en kg pour 100 kg de poids vif) PAR LES ANIMAUX D'ELEVAGE ET GAIN DE POIDS VIF PAR JOUR CORRESPONDANT.
| Poids initial en kg | Matière sèche ingérée (kg/100 PV) | Teneur en MAT de la ration (% MS) | Gain de poids vif (kg/jour) | ||||
| Paille | Concentré | Total | Sans urée | Avec urée | |||
| 1 - BURT (1966) Génisses de 10–18 mois - Paille d'orge + 2kg concentré à 20 % MAT - Durée : 70 jours | 208 | 1,14 + | 0,80 | = 1,94 | 11,2 | 0,300 | |
| 2 - LYONS et al. (1970) Boeufs frisons de 13 mois Paille d'orge + 1,37 kg concentré de 8,9 à 29,2 % MAT Durée 112 jours | 269 | 1,22 + 1,47 + 1,43 + 1,42 + | 0,46 0,45 0,43 0,44 | = 1,68 = 1,92 = 1,85 = 1,86 | 4,8 5,8 7,2 9,9 | -0,220 0,050 0,040 0,150 | |
| 3 - ANDREWS et al. (1972) Boeufs et génisses croisés de 12 mois Paille d'orge + 1,2 à 2 kg concentré Période de 3 semaines en carré latin | 210 | 1,47 + 1,53 + 1,50 + 1,45 + 1,44 + | 0,57 0,63 0,72 0,80 0,86 | = 2,04 = 2,16 = 2,22 = 2,25 = 2,30 | ≥8,8 | 0,330 0,450 0,550 0,570 0,740 | |
| 4 - ANDREWS et al. (1972) Boeufs croisés de 13 mois Paille d'avoine ou d'orge + 0 à 3,7 kg de concentré Période de 4 semaines en carré latin | 260 | 1,51 + 1,40 + 0,97 + 1,46 + 1,23 + | 0 0,81 1,17 0,78 1,26 | = 1,51 = 2,21 = 2,14 = 2,24 = 2,48 | 3,8 6,6 6,4 10,5 10,0 | 0,070 0,430 0,250 0,570 0,790 | |
| 5 - O'DONAVAN (1968) Boeufs frisons Paille d'orge + 0 à 1,36 kg d'orge + urée Durée 84 jours | 205–210 | 1,65 + 1,67 + 1,63 + 1,52 + | 0 0 0,53 0,54 | = 1,65 = 1,67 = 2,16 = 2,06 | 4,0 4,0 5,9 5,9 | 10,0 10,7 | 0,065 0,066 0,239 0,235 |
| 6 - O'DONAVAN (1968) Boeufs croisés frisons Paille + 1,36 ou 2,72 kg concentré + mélasse 0,34 1 ± urée 37,5 g Durée : 84 jours | 175 | 1,29 + 1,29 + 1,25 + 1,18 + | 0,78 0,70 1,34 1,36 | = 2,07 = 2,09 = 2,59 = 2,54 | 7,9 7,9 9,8 9,8 | 10,6 11,9 | 0,150 0,160 0,330 0,450 |
| 7 - O'DONAVAN (1968) Boeufs frisons Paille + 1,36 kg concentré + 0,34 litre mélasse ± urée Durée : 70 jours | 220 | 1,04 + 1,03 + 1,04 + 1,01 + | 0,62 0,63 0,63 0,64 | = 1,66 = 1,66 = 1,67 = 1,65 | 6,5 6,5 7,8 7,8 | 9,3 11,4 | 0,130 0,110 0,190 0,180 |
| 8 - HODEN et al. (1975) Génisses frisonnes ou H X F de 23 mois Paille + 2 kg maïs + Complément uréique Durée : 2 × 4 semaines | 431 | 1,73 + 1,46 + | 0,45 1,05 | = 2,18 = 2,51 | 4,3 4,8 | 5,9 9,4 | 0,309 0,309 |
| Génisses CH, SL, Li, Au de 23 mois Paille + 2,5 kg maïs + Complément uréique Durée : 7 semaines | 435 | 1,30 + 1,22 + | 0,52 0,57 | = 1,82 = 1,79 | 5,7 5,8 | 6,6 7,9 | 0,060 0,065 |
| Génisses frisonnes de 24 mois Paille + 2,5 kg maïs + Complément uréique Durée : 2 × 6 semaines | 400 | 1,51 + 1,49 + | 0,69 0,71 | = 2,20 = 2,20 | 3,7 4,4 | 8,1 9,2 | 0,434 0,434 |
| Génisses CH X SL de 9 mois Paille + 2,5 kg maïs + Complément uréique Durée : 14 semaines | 252 | 1,56 + 1,54 + | ,88 0,91 | = 2,44 = 2,45 | 5,1 5,5 | 7,6 8,6 | 0,460 0,498 |
| 9 - HODEN et al. (1976) (Résultats non publiés) Génisses laitières de 1 an Paille + 2 kg maïs + Complément uréique Durée : 2 × 7 semaines | 210 | 1,28 + 1,21 + | 0,84 0,85 | = 2,12 = 2,06 | 6,3 6,3 | 9,7 9,6 | 0,280 0,280 |
| Génisses laitières de 2 ans Paille + 2 kg maïs + Complément uréique Durée : 2 × 7 semaines | 444 | 1,50 + 1,50 + | 0,50 1,50 | = 2,00 = 2,00 | 5,1 5,0 | 8,4 8,3 | 0,100 0,100 |