
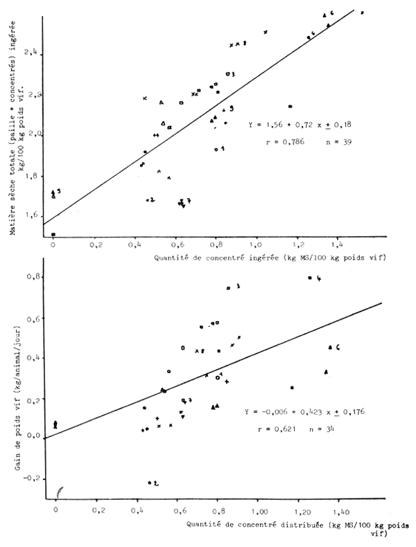
Figure 6.2. Influence de la quantité de concentré distribuée en plus de la paille offerte à volonté sur la quantité de matière sèche totale ingérée et sur le gain de poids vif journalier des bovins d'élevage. (Les chiffres indiquent les références aux auteurs du Tableau 6.2.)
Y1 = 1,56 + 0,72 × + 0,18 r = 0,786 n = 39
et
Y2 = -0,006 + 0,423 × ± 0,18 r = 0,621 n = 34
Ces résultats montrent qu'un animal de 300 kg ingêre en moyenne 4,25 ou 3,85 kg de matiêre sêche de paille et croît de 0,2 ou 0,4 kg par jour sulvant qu'll recolt 1,5 ou 3 kg de matière sèche d'aliment concentré. En moyenne, 4 à 5 kg de paille (en comptant les refus) et 3 kg de concentrés permettent donc des croissances équivalentes à celles obtenues avec 6 à 7 kg de foin de qualité moyenne complémenté si nécessaire par 0,5 kg de tourteau. Compte tenu du coût respectif de ces aliments, l'économie réalisée n'est pas évidente. ll est vral que dans les résultats reportés ci-dessus, la croissance a souvenf dû être limitée par une teneur Insuffisante de la ration en azote, comme le montrent clairement les résultats de Lyons et al. (1970) et d'Andrews et al. (1972). D'après leurs résultats, la teneur en matières azotées de la ration semble devoir dépasser 8 à 9% pour que le gain de poids vif soit maximum. Par ailleurs, un certain nombre de résultats ont été obtenus avec une complémentation azotée apportée par de l'urée, et les essals de O'Donovan (1968) montrent une très faible réponse du gain de poids vif à l'élévation du taux de matières azotées de la ration par l'urée, malgré l'augmentation de la rétention azotée qu'elle entraîne.
Certes, les essais de Burt (1966) montrent que la valeur nutritive de la pallie peut être augmentée de plus de 50% par le broyage et l'agglomération. ll calcule qu'une tonne d'orge broyée est équivalente à 0,15 tonne de tourteau d'arachide plus 1,85 tonne de paille d'orge broyée et agglomérée. En prenant pour marge de prix 0,65 à 0,75 F par kg pour l'orge et 1,10 à 1,40 F par kg pour le tourteau d'arachide, cela fait un prix d'équivalence de 0,24 à 0,32 F par kg de paille condensée pour payer la paille, son ramassage, son transport, son conditionnement et l'addition de minéraux et vitamines. La rentabilité de l'opération n'est pas évidente. En outre, dès qu'il y a conditionnement, il semble souhaitable d'y adjoindre un traitement à la soude qui permet une amélioration importante de la valeur nutritive.
Les essais de Kay et al. (1968), Crabtree et Williams (1971) et Hadjipanayiotou et al, (1975) montrent de même que les agneaux de plus de 6 mois peuvent se contenter de paille comme seul fourrage durant l'hiver ou durant les périodes de sècheresse. ll faut cependant leur distribuer en plus de 150 à 400 g de concentré pour les maintenir à poids à peu près constant (croissance de 10 à 50 g/jour). Dans l'essai de Crabtree et Williams, les croissances (40 g/jour) sont équivalentes avec 200 g de paille plus 400 g de concentré ou avec 400 g d'un mauvals foin de dactyle (digestibilité de l'énergle = 50%) plus 200 g de concentré. Par comparaison au régime traditionnel à base de foin, l'intérêt économique de l'emploi de la paille est donc, là aussi, discutable.
2) Vaches nourrices
Les vaches nourrices, en particulier de race rustique ou à viande, se caractérisent par un faible niveau de production, de 1000 à 1800 kg de lait en 7 à 8 mois de lactation, qu'elles effectuent essentiellement au pâturage dans la majorité des cas. Leurs besoins alimentaires hivernaux correspondant donc pour la plus grande part à des dépenses d'entretien. Elles doivent pouvoir bien valoriser à cette époque les aliments de faible valeunutritive tels que les pailles.
Du fait de sa faible productivité, la vache nourrice peut en outre subir une période de restriction alimentaire hivernale, correspondant à une perte de la masse corporelle, à condition de pouvoir reconstituer ses réserves lors des périodes d'alimentation plus libérale, au pâturage notamment. Cette sous-alimentation temporaire ne doit cependant pas compromettre en premier lieu la santé du veau et de la mère, le poids à la naissance du jeune et sa croissance jusqu'au sevrage, mais aussi le taux de gestation et l'intervalle entre vêlages. Sauf dans les conditions alimentaires très difficiles (par exemple lorsque les apports énergétiques correspondent à moins de 60% des besoins totaux), ces conditions sont généralement remplies lorsque la durée de lactation hivernale n'excède pas un mois; la mise à l'herbe permet alors une production laitière accrue et une reprise de poids totale suffisante lorsque la vache doit être de nouveau fécondée, 2 mois 1/2 après la mise bas. Dans ce contexte, la perte totale de poids vif en hiver doit rester inférieure à 10% environ du poids initial. De plus, le gain de poids vif au cours des deux derniers mois de gestation doit ètre au moins égal à 20 kg, ou en d'autres termes, la perte de poids vif entre le poids en 6–7ème mois de gestation et le poids après le vêlage doit rester inférieure au poids du veau naissant.
Un fourrage pauvre, même correctement complémenté, ne permet pas de couvrir les stricts besoins d'entretien d'une vache tarie, ni à plus forte raison ceux d'une vache gestante ou allaitante. Un minimum d'apport énergétique est nécessaire, sous forme d'aliments concentrés enrichis en azote, minéraux et vitamines (vitamine A en particulier) ou d'autres fourrages ou sous-produits de valeur nutritive plus élevée, apportés en complément et pour partie en substitution du fourrage pauvre.
Comparées à d'autres rations, celles constituées de pailles et d'aliments concentrés permettent de produire des veaux viables et d'un poids normal à la naissance (tableau 6.4). Cependant, on n'évite une perte de poids excessive à la mère qu'en apportant 2,5 kg d'aliment concentré au cours des deux derniers mois de la gestation. Les quantités de paille ingérées sont alors comprises entre 1,1 et 1,7% du poids vif selon leur qualité, ration alors sensiblement équivalente à une ration constituée uniquement d'un foin moyen (dig. de la MO = 55%) ingéré à raison de 1,3 kg de matière sèche par 100 kg de poids vif. Un simple apport en gestation de 2 kg d'orge, même complémenté en urée pour que la ration atteigne 8–9% de MAT, et en minéraux et vitamines, apparaît en général insuffisant; cela peut résulter de la diminution importante des quantités de paille ingérées à la fin de la gestation. Ainsi, des vaches charolaises pesant 670 kg avant vêlage et recevant 3 kg d'aliment concentré ont réduit de 25% leur consommation de paille entre la 9ème et la lère semaine avant le vêlage. Enfin, un mélange céréales - tourteau (2/3 – 1/3 par exemple) semble donner de meilleurs résuitats qu'une céréale additionnées d'urée (Ball et al., 1971; Drennan, 1974), mais les comparaisons effectuées jusqu'ici n'ont généralement pas tenu compte des possibilités de synthèse des protéines microbiennes dans le rumen, et l'apport d'urée n'a pas toujours été fractionné au cours de la journée.
Lors de la mise bas, l'augmentation des besoins est faible chez la vache nourrice, mais l'accroissement des quantités de paille ingérées est réduit (plus 1 à 2 kg de matière sèche) par comparaison à celui qu'on observe avec des fourrages plus riches. L'apport journailer d'aliment concentré complémentaire doit alors atteindre environ 3 kg, afin d'éviter une perte de poids supérieure à 300 g/j (vache de 600 kg) produisant 7 kg de lait. Cette nouvelle mobilisation des réserves corporelles en lactation doit être limitée dans le temps pour ne pas compromettre la nouvelle campagne de reproduction. Si la durée de lactation hivernale dépasse un mois, il est difficile de couvrir les besoins totaux de la vache allaitante et à plus forte raisons de lui permettre de reprende du poids avec de la paille comme seul fourrage, à moins de distribuer des quantités excessives d'aliment concentré.
Si les rations de paille plus concentrés peuvent étre utilisées par les vaches allaitantes, les rations mixtes sont beaucoup plus souvent employées.
Les rations de foin (récolté tardivement) complété avec de la paille (1/4 de la ration environ) sont largement utilisées dans certaines régions d'élevage de vaches nourrices comme la zone charolaise en France. Elles semblent donner des résultats zootechniques très satisfaisants lorsqu'elles sont complétées par environ 0,5 kg d'aliment concentré avant vêlage et 1,5 kg après vêlage.
Mais on peut concevoir des rations à base de paille distribuées à volonté et assoclées à des quantités limitées de foin ou d'ensilage d'herbe, comprises par exemple contre 3 et 4 kg de M.S. (plus 1,5 kg d'aliment concentré) avant vêlage et entre 4 et 5 kg de M.S. (plus 2 kg d'aliment concentré) après vêlage. La quantité et la nature de l'aliment concentré pourra évidemment varier avec la qualité du fourrage complémentaire; une petite quantité de foin d'excellente qualité d'ensilage d'herbe, ou d'autres produits comme les résidues de distillerle de grain (Ball et al., 1971), perment de ne pas réduire de façon importante les quantités de paille ingérées et de n'utiliser qu'une quantité limitée de céréales en complément.
3) Les brebis
Si les brebis ont été bien alimentées (flushing) au moment de la lutte, elles peuvent être ensuite restreintes mais doivent en revanche être correctement alimentées au cours des 6 à 8 dernières semaines de gestation pour subvenir aux besoins de leur foetus. Pour des brebis en bon état le gain de poids pendants cette période doit être au minimum de 2 à 3 kg si elles portent un seul foetus et au moins égal au poids de la portée (5 à 6 kg) pour les bessonnières. Si ces gains ne sont pas atteints, divers troubles apparaissent dans le troupeau: toxémie de gestation, agneaux morts-nés ou agneaux trop légers qui seront trop fragiles et exigeront un apport supplémentaire de concentré pendant la phase d'engraissement (Thériez, commuication personnelle). Ces gains de poids peuvent être atteints avec des systémes à base de paille en respectant les conditions de complémentation azotée, minérale et vitaminique exposées précédemment. Les données de Hadjipanayiotou et al. (1975) et de Thériez (communication personnelle) montrent que des brebis de 50 à 55 kg doivent recevoir pour cela 400 à500 g environ d'aliment concentré et qu'elles consomment alors 800 à 900 g de paille.
| Matière sèche ingérée (kg) | MAT % MST | Variation de poids des vaches (kg) | Poids des veaux à à la naissance (kg) | ||||
| COMPLEMENT | Paille | Paille (% PV) | totale | ||||
| 1 - CUNNINGHAM et al. (1967) Gestation 6 derniéres semaines Galloway X Shorthorn 460 à 510 kg | 1 kg orge + 80 g urée 3 kg orge + 80 g urée Témoin (2,2 kg orge + ensilage) | 5,9 6,5 - | 1,17 1,40 - | 6,9 9,5 - | 8,8 8,9 - | - 6 semaines à après le vèlage - 46 - 38 - 11 | 25,6 29,3 28,9 |
| 2 - KAY et al. (1968) Gestation 5 derniers mois Charolais × Frisonne et Charolais × Ayrshire 430 à 470 kg | 0,8 kg maïs + 53 g urée (bloc à lécher) 1,2 kg sels d'AGV (eau de boisson) 1,8 kg d'orge | 9,2 8,5 7,5 | 2,10 1,84 1,69 | 10,0 9,7 9,5 | 7,8 8,2 6,7 | - 5 mois à après vêlage - 99 - 115 - 70 | 36,6 30,3 30,0 |
| 3 - KAY et al. (1968) Gestation 5 derniers mois | 1,8 kg d'orge 1,8 kg d'orge + 50 g urée | 7,6 7,4 | 1,67 1,58 | 9,4 9,2 | 6,8 8,4 | - 65 - 93 | 32,9 34,1 |
| 4 - PETIT M. (1971) Gestation 9 dernières semaines Charolaises et Aubrac 520 à 750 kg | 2,4 kg cocentré (1) 2,3 kg foin + 1,3 kg maîs (2) | 7,7 6,4 | 1,20 1,02 | 10,1 10,0 | 8,6 9,5 | - 8 sem. à après vêlage - 47 - 31 | 40,0 33,8 |
| 5 - DRENNAN (1973) Gestation 93 derniers jours Vaches de 500 kg | 1,2 kg concentré (⅔ orge, ⅓ soja) 1,2 kg orge | 4,5 4,4 | 0,90 0,88 | 5,7 5,6 | 9,0 5,7 | - 3 mois à après vêlage - 60 - 84 | |
| 6 - DRENNAN (1974) Gestation 108 jours Génisses | 2,2 kg orge 2,2 kg orge + T.Soja (15 % MAT) 2,2 kg orge + Urée (15 % MAT) | Jusqu'à fin de gestation + 15,3 +24,1 + 17,1 | |||||
| 7 - PETIT et al. (1974) Lactation 9 semaines vaches charolaises 650 kg | 2,6 kg concentré (3) 2,6 kg concentré (3) | 8,7 14,2(4) | 1,36 2,18 | 11,3 16,8 | 9,4 7,2 | Variation de poids journalier (kg/jour) - 0,27 + 0,04 | |
| 8 - BALL et al. (1971) Gestation + Lactation Hereford × Frisonne 450 à 490 kg | 2,2 kg orge + 68 g urée 1,9 kg RDG + 1,1 kg orge 3,7 kg RDG (5) | 9,2 7,0 6,4 | 2,01 1,48 1,32 | 11,4 10,0 10,1 | 8,0 8,3 10,0 | Variation de poids hivernal (kg) - 57 - 50 - 59 | 35,5 35,4 35,4 |
| 9 - HAUREZ (1970) Gestation + Lactation 95 jours + 35 jours Charolaises 680 à 710 kg | 2,3 kg orge + 2,6 kg foin + 1 kg luzerne déshydratée à 10 % urée Témoin: 2 kg concentré (⅔ orge + ⅓ soja) + 6,5 kg foin. | 5,1 1,5 | 0,75 - | 11,0 10,0 | 10,3 12,0 | - 60 - 49 | 43,0 42,7 |
(1) 82 % maïs + 3 % urée + 15 % luzerne déshydratée (200 MAT/kg de M.S.)
(2) Foin de deuxième coupe à 212 g de MAT/kg de M.S.
(3) Maïs grain : 44,5 %, tourteau de soja : 30 %, luzerne déshydratée : 15 % urée : 4 %, minéraux : 6,5 %, 40 000 UI de Vit. A, D.
(4) 14,2 kg de M.S., dont 0,70 de paille longue et 13,5 de paille broyée et agglomérée.
(5) Résidus de distillerie de grains.
Après la mise bas, les quantités de paille ingérées vont augmenter pour atteindre environ 1 kg par jour. La complémentation devra alors étre portée à 800 à 850 g/j de concentrés. Un tel régime permettra à la brebis une production laitière suffisante pour que les agneaux aient des gains de poids de l'ordre de 200 à 250 g/j pour les simples et de 150 g/j pour les doubles. Mais la mère fait alors appel à ses réserves corporelles, ce qui ne saurait être poursuivi au delà de 6 à 8 semaines, et implique donc un sevrage précoce des agneaux ou la sortie des mères au pâturage (Thériez, communication personnelle). Dans le cas contraire il faut, dès l'agnelage, distribuer, en plus de la paille et des 800 g de concentré, 700 g de foin, ou porter la complémentation à 1à1,1 kg de concentré, et cela surtout si les brebis sont soumises à un rythme de 3 agnelages en 2 ans. Les performances sont alors identiques à celles obtenues avec les régimes classiques à base de foin (2 kg) plus 500 g de concentré. En moyenne, 1,3 kg de foin peut donc être remplacé par 1 kg de paille (plus les refus) et 300 g de concentré.
Les pailles traitées
Les pailles de céréales, même correctement complémentées et offertes à volonté, n'arrivant pas à couvir à elles seules les besoins énergétiques d'entretien des animaux, de nombreux travaux ont été réalisés dans le monde pour améliorer leur valeur alimentaire. Une des méthodes les plus efficaces est le traitement à la soude. Les doses optimum d'emploi quand il n'y a pas lavage ultérieur de l'excédent de soude semble se situer entre 40 et 60 g de soude pure par kg de paille. Dans les 19 comparaisons récapitulées dans le tableau 6.5, pour une dose moyenne de 5,5% de soude, la digestibilité de la matière organique a été augmentée de 13,2 points et se situe en moyenne à 60,6%. Quant aux quantités de matière sèche de paille ingérés, elles sont en moyenne augmentées de 50% par le traitement à la soude quand les pailles sont hachées ou grossièrement broyées, mais peuvent être diminiées par le traitement (Xande, 1974) quand les pailles sont broyées finement et agglomérées.
Le traitement à la soude améliore donc de façon considérable la valeur nutritive des pailles. Cette amélioration a été vérifiée directement par l'étude des performances réalisées par les animaux. Dans les essais danois rapportés par Rexen et al. (1975), la valeur énergétique des pailles d'orge traitées avec 5% de soude, mesurée sur des vaches laitières et des Jeunes bovins à l'engrais par la méthode des substitutions, se situe vers 0,60 UF/kg de matière sèche contre 0,30 UF/kg de M.S. pour la paille non traitée. Dans les essais sur agneaux réalisés par Hasimoglu et al., 1969, Saxena et al., 1971, et Greenhaigh et al., 1976, avec des régimes dans losquels la paille représente de 50 à 70% de la matière sèche totale ingérée, les gains de poids passent en moyenne de 63 g/j quand la paille n'est pas traitée à 153 g/j quand elle est traitée et le poids d'aliment nécessaire par kg de gain diminue de 12,5 à 6,8 kg M.S.
ll apparaît donc que les pailles traitées et correctement supplémentées en azote, minéraux et vitamines ont une valeur alimentaire comparable à celle des bons foins de graminées. Elles devraient donc pouvoir se substituer à eux dans les rations des animaux à besoins élevés ou faibles. Dans des essais danois (Kristensen, 1975) de 3 à 5 kg/animal/jour de paille d'orge traitée avec 5% de soude et non neutralisée ont été distribués à des taurillons à l'engrais et à des vaches laitières pendant 4 à 8 mois, apparemment sans problème; quelques vaches ont même reçu 5 à 7 kg de paille traitée par jour pendant 1 à 3 ans. On manque cependant encore de donnée sur les répercussions éventuelles à long terme, sur la santé, la reproduction et la longévité des animaux, de la distribution prolongée de quantités importantes de paille traitée à la soude.
Les sous-produits de la culture de mais
Les tiges, feuilles, rafles et spathes de mais peuvent être utilisées dans les rations des ruminants. C'est d'ailleurs cette possibilité qui explique en partie l'implantation de troupeaux de vaches à viande dans des régions céréalières spécialisées comme le corn-belt américain. Ces sous-produits représentent en moyenne un peu plus de la moitié de la M.S. présente avant récolte du grain. Leur valeur énergétique est nettement plus élevée que celles des pailles; ils sont en effect souvent moins riches en cellulose et en lignine, plus riches en sucres solubles et hémicelluloses. Mais ils sort également pauvres en matières azotées (en moyenne 3 à 6%), en minéraux (particulièrement en P et en 5) (Vetter, 1973) (tableau 1) et en vitamine A. De plus, leur valeur s'amenuise à mesure qu'on s'éloigne de la date de récoite du grain (Thornton et al., 1969).
Tableau 6.5.: INFLUENCE DU TRAITEMENT A LA SOUDE SUR LA DIGESTIBILITE ET L'INGESTIBILITE DES PAILLES VALEURS CALCULEES POUR LA PAILLE SEULE
| 1 - DONEFER et al. (1969): | ||
Paille d'avoine broyée aux grilles de 30 puis 3,5 mm traitée avec une solution de soude à 13,3 % à raison de 60 litres/100 kg de paillc. Distribuée avec 2,5 % d'urée à des moutons. | Témoin | Traitée 8 % |
Digestibilité matière sèche % | 44,2 | 62,5 |
Matière sèche ingérée par des moutons (g/kg p0,75) | 48,6 | 79,9 |
| 2 - HASIMOGLU et al. (1969): | ||
Paille de blé traitée avec 4 % de soude. Distributée avec 30 % de concentré à des agneaux | Témoin | Traitée 4 % |
Digestibilité matière organique % | 49 | 59 |
Matière sèche ingérée (g/jour) | 566 | 764 |
| 3 - KLOPFENSTEIN et WOODS (1970): | |||
Paille de blé traitée avec 4 ou 5 % d'un mélange soude et potasse distribué à des agneaux avec matières azotées, minéraux et vitamines. | Témoin | Traitée 4 % | Traitée 5 % |
Digestibilité matière organique (%) | 43,4 | 57,6 | 60,4 |
| 4 - THOMSEN et al. (1973): | |||||
Paille d'orge hachée traitée avec une solution à 30 % de soude. | Témoin | Traitée 2 % | Traitée 3 % | Traitée 4 % | Traitée 5,9 % |
Distributée avec 33,5 % de tourteau de soja à des moutons. | |||||
Digestibilité matière organique (%) | 48,2 | 51,4 | 59,6 | 62,3 | 66,7 |
| 5 - TERRY et al. (1975): | ||
Paille d'orge hachée traitée avec une solution de soude à 3,5 % à raison de 200 1/100 kg de paille. | Témoin | Traitée 7% |
Distribuée à des moutons avec 54 % d'ensilage. | ||
Digestibilité matière organique (%) | 46,3 | 67,9 |
Matière sèche ingérée (g/kg poids vif) | 6,3 | 11,1 |
| 6 - JAYASURIYA et OWEN (1975): | |||
Paille d'orge hachée traitée avec 4,5 ou 9% de soude diluée dans 200 ou 800 l d'eau /100 kg de paille. Distribuée à des moutons avec 35 % de concentré | Témoin | Traitée 4,5 % | Traitée 9% |
Digestibilité matière organique (%) | 55,5 | 62,8 | 66,8 |
Matière sèche ingérée (g/kg P0,75) | 35,5 | 53,6 | 45,1 |
| 7 - JAYASURIYA et OWEN (1975): | ||||
Paille d'orge hachée traitée avec 4,5, 6,75 ou 9,0% de soude diluée dans 60 ou 120 l d'eau/100 kg paille. Distribuée à des moutons avec 35 % de concentré | Témoin | Traitée 4,5 % | Traitée 3,75 % | Traitée 9 % |
Digestibilité matière organique (%) | 51,6 | 64,2 | 66,2 | 66,8 |
| 8 - GREENHALGH et al. (1976): | ||
Paille d'orge broyée à la grille de 40 mm et traitée avec une solution de soude à 16 % à raison de 50 litres/100 kg paille. Distribuée à des agneaux avec 50 % de concentrés. | Témoin | Traitée 8% |
Digestibilité matière organique (%) | 39 | 58 |
Matière sèche ingérée (g/jour) | 280 | 424 |
| 9 - XANDE (1974) (résultats non publiés): | ||||
Paille de blé broyée à la grille de 10 mm et traitée avec une solution concentrée de soude. Distribuée à des moutons avec 300 g d'aliments concentrés. | Témoin | Traitée 4% | Traitée 5% | Traitée 6% |
Digestibilité matière organique (%) | 41,8 | 51,2 | 56,3 | 54,0 |
Matière sèche ingérée (g/kg P0,75) | 66,9 | 58,5 | 53,2 | 55,3 |
| 10 - DULPHY (1976) (résultats non publiés): | Témoin | Traitée 4% | |
Paille d'orge hachée traitée avec 4 % de soude diluée dans 250 l d'eau/100 kg de paille. Distribuée à des moutons avec 300 g de concentrés. | fraîche | ensilée | |
Digestibilité matière organique (%) | 51,0 | 59,0 | 57,3 |
Matière sèche ingérée (g/kg P0,75) | 37,1 | 57,4 | 51,9 |
La forme la plus facile d'utilisation des cannes de mais reste évidemment le pâturage, lorsque les conditions s'y prêtent. D'après des essals américains, en particuller dans l'lowa, on peut entretenir 1, 2 à 1,5 vache tarle gestante à l'hectare durant 80 à 100 jours, ce qui correspond à 100 à 120 jours de pâturage à l'hectare (Hunsley et al., 1967; Weber et al., 1970; Vetter et al., 1973). Cela représente une utilisation d'à peine un quart de la M.S. disponible avant l'entrée des animaux (4 à 5 T de M.S./ha), si on estime à 7 à 8 kg de M.S. la quantité de canne ingérée par jour et par vache.
Les animaux doivent recevoir un complément minéral vitaminisé et un peu de foin ou de céréales lorsque les conditions climatiques sont défavorables; un complément azoté pouvant étre distribué sous forme liquide (environ 1 kg/jour à 30 à 40 % de MAT sous forme non protélque) améllore l'utilisation des cannes, principalement durant les 30 à 40 premiers jours de pâturage. Au-delà de cette période, lorsque les éléments les plus digestibles ou les plus accessibles (feuilles, spathes, restes d'épis entiers) sont en grande partie consommés, les performances des animaux sont médiocres, même avec un complément de foin (3 à 4 kg) ou de céréales (1 kg) qui se substitue pour partie au pâturage des cannes. Le complément est d'ailleurs d'autant plus nécessaire que l'époque de mise bas est proche. Dans ces conditions, le gain de poids des vaches gestantes varie selon les années de -35 à +45 kg (Hunsley et al., 1967; Vetter et al., 1973).
Le ramassage des rafles et spathes à l'arrière de la moissonneuse-batteuse et leur stockage en tas en bout de champ offrent une sécurité supplémentaire pour les périodes où les conditions climatiques sont très défavorables au pâturage des cannes; cela permet de régulariser les quantités de M.S. offertes au cours de la période totale de présence des animaux et d'accroître le chargement moyen du “pâturage” de 20 à 40% (Vetter et al., 1973); cependant, seules les spathes, soit 35 à 45% seulement de la M.S. stockée, sont effectivement consommées. On peut faire le même usage de petites meules de cannes effectuées par une machine à emmeuler (type Hesston Stakhand) et posées sur le champ, collectant par exemple les 2 rangs centraux de cannes sèches sur les 4 laissés derrière une moissonneuse-batteuse démunie de son épandeur de paille; ces meules de cannes ne se conservent cependant de manière satisfalsante que si le taux de M.S. des cannes à la récolte est supérleure à 60%. Dans les conditions de l'lowa, 65 à 85% des cannes ainsi récoltées sont apparemment consommées et on peut atteindre jusqu'à 250 jours de “pâturage” à l'hectare.
Cependant, en de nombreuses régions, le pâturage de cannes, associé ou non à une récolte partielle, reste aléatoire; la récolte tardive du grain, la portance des sols et les conditions climatiques en limitent l'utilisation et, encore plus souvent, la durée possible.
Les problèmes techniques posés par la récolte des cannes et rafles de maís et par leur conservation en ensilage semblent progressivement se résoudre grâce à la mise au point de becs récolteurs spéciaux montés sur les ensileuses classiques, qui devraient permettre de collecter 60 à 70% de la M.S. présente sur le champ.
Si on veut assurer un bon tassage et une bonne conservation de l'ensilage, les cannes doivent être hachées finement et la teneur en M.S. de l'ensilage doit rester voisine de, ou inférieure à, 40%, quitte à ajouter de l'eau lors de la mise en silo. On peut alors stocker après tassement 0, 15 à 0,20 T de M.S./m3 dans un silo horizontal (Smith et al., 1976). Il est préférable de récolter les cannes le plus tôt possible après la récolte du grain (dans la semaine qui suit), car la teneur en eau de la plante sur pied, particulièrement de la tige, diminue rapidement. La valeur nutritive des cannes diminue aussi, quoique plus lentement. Dans de bonnes conditions de stockage, la digestibilité de la matière organique des cannes de maïs est généralement comprise entre 55 et 60% (soit environ 0,5 UF/kg de M.S.). Enfin, il faut éviter l'incorporation de terre, malheureusement assez fréquente lors de la récolte.
Les vaches et génisses peuvent consommer de 1, 4 à 1,7 kg de M.S. d'ensilage de canne par 100 kg de poids vif (Vetter et al., Haurez, 1971), particulièrement lorsqu'il est additionné d'urée et de phosphore (Colenbrander et al., 1971 a). Avec 1,5 kg de complément concentré azoté (plus minéraux et vitamines), la croissance journalière des génisses d'un an atteint 0,4 à 0,6 kg (tableau 6.6). Avec 0,5 à 1,5 kg d'aliment concentré, selon la qualité de l'ensilage, les vaches nourrices maintiennent ou accroissent légèrement leur poids pendant la gestation (Vetter et al., 1973; Smith et al., 1976), mais 2,5 à 3 kg d'aliment concentré sont sans doute nécessaires lors des périodes d'allaitement de longue durée.
Cannes et rafles de maïs traitées
Les résidus de la culture du maïs peuvent eux aussi être traités aux alcalis; l'amélioration de valeur nutritive qui en résulte est du même ordre de grandeur que celle observée sur les pailles de céréales: plus 11,2 points pour la digestibilité de la matière sèche des rafles de mais broyées et traitées avec 4% de soude, et + 10,1 et + 11,2 points pour la digestibilité de la matière organique des cannes de maïs, traitées avec respectivement 3 et 5% de soude dans les essals de Klopfenstein et al. (1972); + 7 points et + 46% respectivement pour la digestibilité de l'énergie et l'ingestibilité des cannes de maïs traitées avec 2% NaOH + 2% Ca(OH)2 dans les essals de Oji et al., (1976). L'amélloration des performances animales résultant du traitement aux alcalis est donc très importante (tableau 6, 7); dans la majorité des cas les gains de poids sont doublés et les quantités d'aliment nécessaires par kg de gain divisées par 2. Dans les essais de Koers et al., (1972) et de Rounds et al, (1976) les performances obtenues avec des régimes à base de rafles de maïs broyées, traitées et ensilées sont, à même niveau de complémentation, tout à fait comparables à celles obtenues avec les régimes à base d'ensilage de maïs plante entière. Cette amélioration de la valeur nutritive consécutive au traitement par les alcalis permet donc, pour les animaux d'élevage, de limiter la seule complémentation énergétique des cannes ou rafles de maïs traitées au peu de tourteau nécessaire pour amener le taux de matières azotées de la ration à 12%. D'après les essals de Waller et Klopfenstein (1975) et de Rounds et al. (1976) le traitement avec 3% NaOH + 1% Ca(OH)2 est d'ailleurs supérieur au traitement avec 4% NaOH dans le cas des ensilages de rafles broyées et ensilées.
| AUTEURS et type d'animal | RATIONS | Ensilage | PERFORMANCES | |||
| % N.S. | MAT % MS | Matière sèche ingérée (kg/100 kg PV) | ||||
| COLENBRANDER et al. (1971 a) | Gain journalier (kg) | |||||
| Génisses Holstein de 1 an (350 kg) 75 jours | Ens. de cannes ad libitum + Conc.(1) | 37,5 | 5,7 | 1,51 | 0,45 | |
| Ens. ad lib. + urée 0,5% dans l'ensilage + Concentré(1) | 40,9 | 8,0 | 1,45 | 0,50 | ||
| Génisses Holstein de 1 an 8 semaines | Ens. de cannes ad lib. + conc.(1) Cannes | 40,0 | 6,4 | 1,48 | 0,24 | |
| Cannes + 0,58 % polyphosphates d'ammonium (PPA) | 35,0 | 6,8 | 1,64 | 0,42 | ||
| Cannes + 0,5% urée | 43,1 | 9,7 | 1,61 | 0,27 | ||
| Cannes + 0,58% PPA + 0,5% urée | 36,0 | 11,2 | 1,63 | 0,32 | ||
| COLENBRANDER et al. (1971 b). | Ensilage de cannes | 30,4 | 8,3 | |||
| Génisses Holstein de 1 an (250–300 kg) | Ens. ad lib. + conc. représentant (% MS totale)(2): | |||||
| 12 semaines | 13,8% soit 0,61 kg MS | 12% dans la ration totale | 1,53 | 0,34 | ||
22,8% soit 1,05 kg MS | 1,48 | 0,43 | ||||
31,3% soit 1,49 kg MS | 1,48 | 0,58 | ||||
39,2% soit 2,20 kg MS | 1,33 | 0,68 | ||||
| HAUREZ (1971) | Variation totale de poids dont le vêlage (kg) | Croissance des veaux (kg/j) | ||||
| Vaches charolaises (650 kg) | Ensilage de cannes ad lib. + 3,1 kg | 33 | 4,8 | 1,25 | - 68 | 0,69 |
| 61 jours autour du vêlage | MS foin et paille + 0,6 kg MS concentré azotée + Complément minéral | |||||
| SMITH et al. (1976) | M.S. offertes | Variation journalière de poids (kg) | Croissance des veaux (kg/j) ( ): kg conc. en plus/j | |||
| Vaches à viande (400 à 450 kg) 2 ans et 3 mois en confinement | Ensilage de cannes ad lib. + Conc.(3) + Maïs grain (kg de M.S.) | |||||
| 1ère année: 238 jours | 0,8 kg conc. + 2,6 kg maïs | 37 | 5,1 | 2,0 | 0,26 | 0,74 (1,3) |
| 2e année: 335 jours | 35 | 7,3 | ||||
100 j en gestation | 0,3 kg conc. | 2,0 | 0,15 | |||
235 j en lactation | 0,6 kg conc. + 1,1 kg maïs | 2,4 | - 0,21 | 0,74 (1,25) | ||
| 3e année: 188 jours | 27 | 6,1 | ||||
97 j en gestation | 0,4 kg conc. | 1,7 | 0,12 | |||
91 j en lactation | 0,7 kg conc. + 1,9 kg maïs | 2,0 | - 0,55 | 0,38 (0,2) | ||
| VETTER et al., (1973) Génisses gestantes de 4 à 5 mois HE X AA et AA X MO 440 kg 82 jours | M.S. offertes limitée de 0 à 47 j et ad lib. de 47 à 82 j (kg/100 kg PV) | Variation totale de poids (kg) | ||||
| (0–47 j) | (47–32 j) | |||||
| Ensilage de rafles et spathes + 2,8 kg MS maïs + 0,5 kg supplément(4) | 66 | 1,36 | 1,67 | + 6 | ||
| Ensilage de cannes avec 15% de grain dans la MS + 0,9 kg MS maïs + 0,5 kg de supplément(4) | 46 | 1,21 | 1,78 | - 4 | ||
| VETTER et al., (1973) | ||||||
| Vaches adultes gestantes de 4 à 5 mois | Ensilage de rafles et spathes + 1,6 kg MS maïs + 0,5 kg de supplément(4) | 66 | 1,29 | 1,61 | - 10 | |
| HE et HE X AA (490 kg) 87 jours | Ensilage de cannes avec 15% de grain dans la MS + 0,5 kg supplément(4) | 46 | 1,16 | 1,58 | - 19 | |
(1) Aliments concentrés azotés vitaminisés (maïs, tourteau de soja, urés ou non) pour obtenir 12 % de MAT dans la MS totale de la ration (dont moins de 25 % d'azote non protéique).
(2) Aliments concentrés azotés comportant: tourteau de soja, mélasse, maïs en proportions variables pour obtenir 12 % de MAT dans la MS totale de la ration.
(3) Aliments concentrés comportant environ 75 % de tourteau de soja, des minéraux et vitamines.
(4) Supplément à base d'urée (100 % de MAT) + Minéraux et vitamine A.
Les marcs de raisins
Ces sous-produits de la vinification après distillation sont disponibles en grande quantité dans les régions viticoles; la fabrication d'un hectolitre de vin fournit en moyenne 15 à 18 kg de marc épuisé à 30 à 35% de matière sèche. Peu onéreux, ils sont déj à utilisés avec succès depuis quelques années par les éleveurs de moutons des régions méditérranéennes.
Trois catégories de produits humides sont disponibles pour l'alimentation des ruminants:
le marc de raisin épuisé entier, contenant les pépins, les pulpes et les rafles,
les pulpes grossières, contenant les pulpes et les peaux les plus grosses, une partie des pépins, les pédicelles et des fragments de rafles,
les pulpes fines, contenant les particules les plus fines de pulpes et de peaux. Elles sont difficiles à conserver par ensilage et sont parfois déshydratées pour étre incorporées dans les aliments du bétail.
Les marcs les plus fréquemment utilisables sous forme humide dans l'alimentation des ruminants sont donc les marcs épuisés entier ou les pulpes grossières. Leur composition chimique peut varier dans des limites assez larges suivant le type de distillation (à la vapeur ou par diffusion) et la proportion de rafles présente dans le mélange. La composition donnée dans le tableau 6.1 est donc une composition moyenne. Malgré une teneur en cellulose brute assez faible, la digestibilité de la matière organique est très faible, de l'ordre de 30%. Les essals d'alimentation permettent cependant de situer la valeur énergétique vers 0,25 à 0,30 UF par kg de M.S. De même, la digestibilité des matières azotées est très faible (de l'ordre de 15%) vraisemblablement par suite d'une teneur élevée en tannins.
Malgré leur faible valeur nutritive, les marcs, et notamment les marcs distillés à la vapeur, sont cependant intéressants à utiliser parce qu'ils sont ingérés en grande quantité, du moins quand ils sont bien conservés. Ce marc peut être utilisé soit à l'état frais pendant 8 à 10 Jours après la distiliation sans précaution particulière pour sa conservation, soit après ensilage. Pour réaliser un ensilage de qualité, il est souhaitable d'utiliser du marc entier non fermenté, c'est-à-dire n'ayant pas été stocké plus de 3 à 4 semaines après la vendange avant d'étre distillé. Le silo devra être tassé avec soin et bien fermé, mais l'addition d'un agent conservateur ne semble pas indispensable.
Les résultats obtenus en France par l'Institut technique de l'élevage bovin et l'Institut technique d'élevage ovin et caprin (tableaux 6.8 et 6.9) montrent que les consommations de marc sont élevées, du moins quand il s'agit de marc entier bien conservé, et que les gains de poids vif obtenus avec les rations à base de marc sont très satisfaisantes et bien supérieures à celles obtenues avec les pailles de céréales. Il est cependant nécessaire d'habituer progressivement les animaux au marc, et il semble souhaitable de maintenir un minimum de foin (de l'ordre de 25 à 30%) dans la ration. La complémentation azotée doit être faite sans tenir compte pratiquement des matières azotées apportées par le marc; les gains de poids vif réalisés par les agnelles (tableau 6.9) ont vraisemblablement été limités par un apport insuffisant d'azote. Enfin, il conviendra d'utiliser un complément minéral vitaminé enrichi en oligo-éléments mais ne contenant pas de culvre, les marcs de raisin étant souvent déjè trop riches en cet élément.
| Matière sècheingérée (kg) | Gain de poids vif (kg/jour) | kg aliment/ kg gain | ||
| KOERS et al. (1969) | ||||
80 % de rafles de maïs ensilées + 20 % concentré à base de T. Soja | Non traité | 0,976 | 0,068 | 14,4 |
Essai sur agneaux | Traité 4 % soude | 1,230 | 0,114 | 10,8 |
| KLOPFENSTEIN et WOODS (1970) | ||||
80 % de rafles de maïs ensilées + 20 % deconcentré | Non traité | 0,054 | ||
Essai sur agneaux | Traité 4 % soude + potasse | 0,136 | ||
| KOERS et al. (1970) | ||||
| 1° - Ensilage de cannes de maïs + 0,908 kg Tourteau soja | Non traité | 0,300 | ||
Essai sur boeufs | Traité 4 % soude | 0,410 | ||
| 2° - 80 % de rafles de maïs ensilées + 20 % concentré à base de tourteau de soja. | Nontraité | 0,300 | 14,3 | |
Essai sur boeufs | Traité 3 % KCL | 0,730 | 7,8 | |
| LAMM et al. (1976) | ||||
| 75 % cannes de maïs broyées et ensilées +25 % drèches eturée Essai sur agneaux de 22,5 kg | Non traité Traité 3 ou 4 % NaOH + 0 à 2 % de Ca (OH)2 | 0,949 1,395 | 0,018 0,090 | 25,3 7,5 |
| WALLER et KLOPFENSTEIN (1975) | Traité avec 4 % NaOH 3 % NaOH + 1 % Ca(OH)2 2 % NaOH + 2 % Ca(OH)2 1 % NaOH + 3 % Ca(OH)2 | 0,876 0,958 0,844 0,863 | 0,100 0,134 0,107 0,102 | 8,9 7,1 7,8 8,6 |
| 1° - 75 % de rafles broyées ensilées + 25 % drèches + mélasse +urée Essai sur agneaux de 27 kg. | ||||
| 2° - 75 % rafles broyées et ensilées + 25 % drèches + mélasse + urée Essai sur génisses de 290 kg. | 4 % NaOH 3 % NaOH + 1 % Ca(OH)2 2 % NaOH + 2 % Ca(OH)2 1 % NaOH + 3 % Ca(OH)2 4 % Ca(OH)2 | 10,1 10,3 9,9 10,0 9,0 | 1,17 1,34 1,14 1,27 0,97 | 8,6 7,7 8,7 7,8 9,3 |
| ROUNDS et al. (1976) | 0 % NaOH + Gluten + urée 4 % NaOH + T. Soja 4 % NaOH + Gluten + Urée 3 % NaOH + 1 % Ca(OH)2 + T. Soja 2 % NaOH + 1 % KOH + 1 % Ca(OH)2 + T. Soja | 0,628 0,976 0,738 1,190 0,924 | 0,030 0,137 0,082 0,169 0,127 | 21,7 7,2 9,1 7,1 7,4 |
| 1° - 75 % rafles de maïs broyées et ensilées + 25 %concentré Essai sur agneaux de 23 kg | ||||
| 2° - 85 % ensilages de maïs ou 85 % rafles de maïs broyées et ensilées + 15 % gluten + urée Essai sur agneaux de 29 kg. | Ensilage de maïs Rafles 4 % NaOH Rafles 3 % NaOH + 1 % Ca(OH)2 Rafles 2 % NaOH + 2 % Ca(OH)2 | 1,044 1,090 1,135 1,180 | 0,115 0,118 0,132 0,141 | 9,1 9,2 8,8 8,4 |
| 3° - Rafles de maïs broyées + drèches et urée de façon à obtenir une ration à 12 % MAT Essai sur agneaux de 20 kg. | 4 % Na OH 3 % NaOH + 1% Ca(OH)2 2 % NaOH + 2% Ca(OH)2 1% NaOH + 3% Ca(OH)2 | 0,876 0,958 0,844 0,863 | 0,100 0,134 0,107 0,102 | 8,9 7,1 7,8 8,6 |
| Régimes; | Foin de graminées à 8% de MAT | 6 kg | 3 kg | 3 kg |
| Maïs grain | 0,750 kg | 0,250 kg | ||
| Touteau d'arachide | 0,500 kg | 0,750 kg | ||
| Marc de raisin ensilé | a volonté | a volonté | ||
| Poids initial (kg) | 246 | 251 | 252 | |
| Durée de la période expérimentale (jours) | 90 | 90 | 90 | |
| Matière séche ingérée: kg/100 kg PV | ||||
| - marc | - | 1,53 | 1,54 | |
| - totale | 2,26 | 2,74 | 2,74 | |
| Gain de poids vif: kg/jour | 0,465 | 0,583 | 0,663 | |
| Régimes: | Foin à volonté | 75% foin 25% marc | 25% foin 75% marc | Marc à volonté plus paille |
| Poids initial (kg) | 28,5 | 27,8 | 27,6 | 26,2 |
| Durée de la période expérimentale (j) | 70 | 70 | 70 | 70 |
| Matière sèche ingérée (kg/tête): | ||||
foin | 1,49 | 1,03 | 0,49 | - |
marc | - | 0,43 | 1,12 | 1,40 |
paille | - | - | - | 0,27 |
totale | 1,49 | 1,46 | 1,61 | 1,67 |
| Gain de poids vif (g/j) | 104 | 90 | 85 | 59 |
CONCLUSION
Il ressort des données présentées dans ce papler que les pailles et autres sous-prodults cellulosiques représentent une source énergétique non négligeable pour l'alimentation des ruminants. Utilisés en faibles proportions dans les régimes d'engraissement à base de concentré ou de fourrages déshydratés, ils jouent alors essentiellement un rôle de lest digestif assurant le bon fonctionnement du rumen. Mais les véritables utilisateurs potentiels de quantités importantes de ces sous-produits de grandes cultures sont les animaux à besoins faibles ou modérés. On constate cependant que, sauf pénurie fourragére entraînée par exemple par la sècheresse, leur utilisation reste très limitée. Il peut y avoir à cela de nombreuses ralsons, La manipulation (ramassage, bottelage, transport …) et le stockage de ces aliments volumineux à faible concentration nutritive limite leur utilisation aux zones d'élevage proches des régions de grandes cultures ou aux zones mixtes. Par ailleurs, pour assurer un niveau d'alimentation suffisant, même aux animaux à besoins faibles, ces sous-produits dolvent être associés à des quantités non négligeables d'aliments concentrés riches en azote, minéraux et vitamines. Le coût supplémentaire qui en résulte ne rend pas toujours évident l'intérêt économique pour l'éleveur de l'utilisation de telles rations comparées à l'utilisation de rations plus traditionnelles à base de foin ou d'ensilage d'herbe. Pour une meilleure valorisation des rations à base de sous-produits cellulosiques il reste d'ailleurs à préciser la forme optimum de l'apport azoté (proportions respectives d'azote protéique et non protéique) ainsi que le type de complément énergétique le mieux adapté. Par ailleurs, compte tenu que le rendement de transformation de l'énergie métabolisable des aliments cellulosiques en énergie nette pour l'entretien et la lactation est très satisfaisant, on peut s'étonner des quantités importantes d'aliments concentrés à base de céréales qui doivent être distribuées en supplément des rations de fourrages pauvres; l'amidon apporté par les céréales entraîne-t-elle une diminution notable de la digestibilité des membranes très cellulosiques? N'est-ce pas en partie pour cela que les pailles ont Jusqu'ici été essentiellement utilisées, et avec succès semble-t-il, en complément d'aliments traditionnels (foin, ensilage) distribués en quantité limitée?
Le traitement aux alcalis des pailles et autres sous-produits cellulosiques de grandes cultures, en augmentant de façon importante leur valeur nutritive, devrait permettre d'augmenter considérablement leur possibilité d'emploi dans les rations.
Actuellement deux types de traitement sont possibles; un traitment par voie humide (notamment par ensilage), practicable directement à la ferme mais qui n'est pas sans poser de sérieux problèmes de réalisation pratique par suite des difficultés à traiter de façon homogène les fourrages quand l'alcali est dangereux à manipuler, et un traitement par vole sèche, réservé aux usines. Ce traitement à sec semble à priori d'autant plus intéressant qu'il peut être effectué l'hiver par les usines de déshydratation installées dans les zones de grandes cultures pour déshydrater la luzerne et les pulpes de betteraves; en effet, ces usines possèdent déjà les installations de broyage et d'agglomération nécessaires au traitement, de sorte que l'investissement complémentaire à effectuer est réduit. En outre, les produits traités par vole sèche se présentent sous forme d'agglomérés faciles à stocker, transporter, manipuler.
Qu'ils soient traités par vole sèche ou humide, on manque encore cependant de données sur l'utilisation des fourrages traités aux alcalis. Quelles performances zootechniques permettent-ils d'obtenir réellement dans les conditions de la pratique? En quelles proportions peuvent-ils rentrer dans les rations des animaux d'élevage ou des femelles laitières ou nourrices? Leur distribution en quantité élevée ne risque-t-elle pas d'entraîner à long terme des ennuis sanitaires ou de diminuer la longévité ou les capacités de reproduction de ces animaux? Il est difficile de répondre actuellement à ces questions, faute d'expérimentations à grande échelle sur ces thèmes.
Références bibliographiques
Andrews R.P., Esuder-Volonté J., Curran M.K., Holmes W., 1972. The influence of supplements of energy and protein on the intake and performance of cattle fed on cereal straws. Anim. Prod., 15, 167–176.
Andrieu, J., Béranger, C., Demarquilly, C., Dulphy, J.P., Géay, Y., Hoden, A., Jarrige, R., Journet, M., Lienard, G., Petit, M., Remond, B., Thériez, M., Thivend, P., Legendre, J., 1976. Alimentation des ruminants en période de pénurle fourragère. Bull. Techn. CRZV Thelx, INRA, 25, 65–89.
Ball, C., Broadbent, P.J., Dodsworth, T.L., 1971. Energy and protein supplements for straw-based winter diets for suckler cows. Anim. Prod. 13, 237–243.
Béranger, C., 1970. Utilisation des fourrages déshydratés pour la production de viande bovine. Fédération européenne de zootechnie. Budapest.
Blair, T., Christensen, D.A., Manns, J.G., 1974. Performance of lactating dairy cows fed complete pelleted diets based on wheat straw, barley and wheat. J. Anim. Sci., 54, 347–354.
Burt, A.W.A., 1966. The nutritive value of ground and pelleted barley straw. l. Ground and pelleted versus long straw for growing Ayrshire heifers, J. Agric. Sci., 66, 131–137.
Colenbrander, V.F., Muller, L.D., Wasson, J.A., Cunningham, M.D., 1971 a, Effects of added urèa and ammonium polyphosphate to corn stover silages on animal performance. J. Anim. Sci. 33, 1091–1101.
Colenbrander, V.F., Muller, L.D., Wasson, J.B., Cunningham, M.D., 1972 b. Corn stover silage supplemented with varying increments of energy for growing dairy heifers. J. Anim. Sci., 33, 1306–1309.
Crabtree, J.R. et Williams, G.L., 1971. The voluntary intake and utilization of roughage concentrate diets by sheep. 1. Concentrate supplements for hay and straw. Anim. Prod. 13, 71–82.
Cunningham, J.M.M., Fitzsimmons, J., Milne, J., Edwards, R.A., 1967. Winter feeding of single suckled beef cows. The Edinburgh School of Agriculture. Experimental work.
Donefer, E., Adeleye, I.O.A., Jones, T.A.O. C., 1969. Effect of urea supplementation on the nutritive value of NaOH treated oat straw. In: Cellulases and their applications. Advances in Chemistry series no 95, p. 328–339.
Drennan, M.J., 1973. Feeding supplements with barley straw to pregnant beef cows. An foras taluntais. Anim. Prod. Research Report, p. 25.
Drennan, M.J., 1974. Feeding supplements with barley straw to pregnant heifers. An foras taluntais. Anim. Prod. Research Report, p. 34.
Dulphy, J.P., 1976. (résultats non publiés)
Forbes, T.J., Irwin, J.H.D., Raven, A.M., 1969 a. The use of coarsely chopped barley straw in high concentrate diets for beef cattle. J. Agric. Sci., 73, 347–354.
Forbes, T.J., Raven, A.M., Irwin, J.H.D., 1969 b. The use of coarsely milled barley straw in finishing diets for young beef cattle. J. Agric. Sci., 73, 365–372.
Greenhaigh, J.F.D., Pirie, R., Reid, G.W., 1976. Alkali-treated barley straw in complete diets for lambs and dairy cows. Anim. Prod., 22, 159 (Abstr.)
Guéguen, L., 1973. La complémentation minérale des régimes à base de céréales par les ruminants. In: l'utilisation des céréales (grains) dans l'alimentation des ruminants. 4ème Journées du “Grenier de Theix” p. 127–138. Edition SEI.
Guyer, P.Q., 1976. Low quality feedstuffs. Alternatives to grain for beef rations. J. Anim. Sci., 42, 778–782.
Hadjipanayiotou, M., Louca, A., Lawlor, M.J., 1975. A note on the straw intake of sheep given supplements of urea-molasses, soya bean meal, barley-urea or barley. Anim. Prod., 20, 429–432.
Hasimoglu Sümer, Klopfenstein, T.J., Doane, T.H., 1969. Nitrogen source with sodium hydroxide treated wheat straw. J. Anim. Sci., 29, 160 (Abstr.)
Haurez, Ph., 1970. Observations sur l'utilisation de l'urée en complémentation des rations à base de paille pour vaches et génisses charolaises. Document de l'institut technique sur l'élevage bovin, Paris, juin 1970.
Haurez, Ph., 1971. Utilisation des tiges et feuilles de maïs dans l'alimentation hivernale de vaches charolaises. Document de l'institut technique de l'élevage bovin, Paris, août 1971.
Hoden, A., Journet, M., Crosset-Perrotin M., 1975. Essais d'utilisation de différents types de mélanges à base d'urée offerts en complément de ration de paille à des génisses d'élevage. Bull. Techn. CRZV Theix, INRA, 21, 17–24.
Hoden et al., 1976. (résultats non publiés)
Huff, J.W., Palmer, G.C., Davenport Jr. P.G., Rakes, A.H., Parsons, G.S., 1970 Practical experiment with a complete feed program. J. Dairy Sci., 53, 376 (Abstr.)
Hunsley, R.E., Vetter, R.L., Burroughs, W., 1967. Winter performance of pregnant beef cows when pasturing corn stalk field. J. Anim. Sci., 26, 1491 (Abstr.)
Institut technique de l'élevage bovin, 1976. Utilisation du marc de raisin dans l'alimentation des bovins (document I.T.E.B. sous presse).
Institut technique de l'élevage ovin et caprin, 1975. Compte rendu d'activité 1975. Section ovine.
Jahn, E., Chandler, P.T., Polan, C.E., 1970. Effects of fiber and ration of starch to sugar on performance of ruminating calves. J. Dairy Sci., 53, 466–474.
Jayasuriya, M.C.N., Owen Emyr, 1975. Sodium hydroxide treatment of barley straw. Effect of volume and concentration of solution on digestibilit and intake by sheep. Anim. Prod. 21, 313–322.
Kay, M., MacDearmid, A., MacLeod, N.A., 1970 a. Intensive beef production. 10. Replacement of cereals with chopped straw. Anim. Prod., 12, 261–266.
Kay, M., MacDearmid, A., Massie, R., 1970 b. Intensive beef production. 11. Replacement of cereals with ground straw. Proc. British Soc. Anim. Prod., 12, 419–424.
Kay, M., MacDearmid, A., 1973. Intensive beef production: replacement of maize with ground straw. Proc. British Soc. anim. Prod., 2, 66 (Abstr.)
Kay, M., Andrews, R.P., MacLeod, N.A., Walker, T., 1968. Urea and cereals as supplements for ruminants offered barley straw. Anim. Prod., 10, 171–175.
Klopfenstein, T., Woods, W., 1970. Sodium and potassium hydroxide treatment of wheat straw and corn cobs. J. Anim. Sci., 31, 246 (Abstr.)
Klopfenstein, T., Krause, V.E., Jones, M.J., Woods, W., 1972. Chemical treatment of low quality roughages. J. Anim. Sci., 55, 418– 422.
Koers, W., Woods, W., Klopfenstein, T.J., 1970. Sodium hydroxide treatment of corn stover or cobs. J. Anim. Sci., 31, 1030 (Abstr.)
Koers, W., Prokop, M., Klopfenstein, T., 1972. Sodium hydroxide treatment of crop residues. J. Anim. Sci., 35, 1131 (Abstr.)
Kristensen FrUs V., 1975. Chemical and physical treatment of straw. Colloque CEE: Improving the nutritional efficiency of beef production. Theix, October 1975.
Lamand, M., 1975. Notions de digestibilité et teneurs recommandées dans la ration: prophylaxie et traitement. In: les acquisitions récentes sur les carences en oligo-éléments du sol aux ruminants; p. 90–94. Supplément au Bull. techn. CRZV, Theix, INRA, numéro spécial.
Lamm, D., Klopfenstein, T.J., Berger, L., 1976. Chemical treatment of crop residues, Nebraska Beef Cattle. Report p. 39–40.
Lamming, G.E., Swan, H., Clarke, R.T., 1966. Studies on the nutrition of ruminants. l. Substitution of maize by milled barley straw in a beef fattening diet and its effect on performance and carcass quality Anim. Prod., 8, 303–311.
Levy, D., Amir, S., Holzer, Z., Neumark, H., 1972. Ground and pelleted straw and hay for fattening Israeli Friesian male calves. Anim. Prod., 15, 157–165.
Lyons, T., Caffrey, P.J., O'Connell, W. J., 1970. The effect of energy, protein and vitamin supplementation on the performance and voluntary intake of barley straw by cattle. Anim. Prod., 12, 323–334.
Muller, L.D., Colenbrander, V.F., Noller, C.H., Lane, G.T., 1967. Feeding value and fermentation characteristics of corn stalk silage. J. Anim. Sci., 26, 1491 (Abstr.)
O'Donavan, P.B., 1968. Urea supplementation of roughage based diets for cattle. J. Agric. Sci., 71, 137–144.
O'Donavan, P.B., Ghadaki, M.B., 1973. Effect of diets containing different levels of wheat straw on lamb performance, feed intake and digestibility. Anim. Prod., 16, 77–85.
Oji, U., Mowat, D.N., Winch, J.E., Buchanan Smith, J.G., 1976. Alkali treatments of corn stover. J. Anim. Sci., 42, 1366 (Abstr.)
Owen, J.B., Miller, E.L., Bridge, P.S., 1968. A study of the voluntary intake of food and water and the lactation performance of cows given diets of varying roughage content ad libitum. J. Agric. Sci., 70, 223–235.
Owen, J.B., Miller, E.L., Bridge, P.S., 1969. Complete diets given ad libitum to dairy cows. The effect of the level of inclusion of milled straw. J. agric Sci., 72, 351–357.
Petit, M., 1971. Résultats non publiés.
Petit, M. et al., 1974. Résultats non publiés.
Pickard, D.W., Swan, H., Lamming, G.E., 1969. Studies on the nutrition of ruminants. 4. The use of ground straw of different particle sizes for cattle from twelve weeks of age. Anim. Prod., 11, 543–550.
Pigden, W.J., Heany, D.R., 1969. Lignocellulose in ruminant nutrition. In: Cellulases and their applications. Advances in Chemistry Series no 95, p. 245–260
Raven, A.M., Forbes, T.J., Irwin, J.H.D., 1969. The utilization by beef cattle of concentrate diets containing different levels of milled barley straw and protein. J. Agric. Sci., 73, 355– 363.
Remond, B., Journet, M., 1972. Aliments concentrés agglomérés à base de paille et de céréales. II. Digestion et utilisation par les vaches laitières. Ann. Zootech. 21, 535–549.
Rexen, F., Stigsen, P., Kristensen, V. Fril 1975. The effect of a new alkali technique on the nutritive value of straws. Proc. Nutr. Conf. Feed Mf. no 9, University of Nottingham, p. 65–82.
Rounds, W., Klopfenstein, T., Waller, J., Messermith, T., 1976. Influence of alkali treatments of corn cobs on in vitro dry matter disappearance and lamb performances. J. Anim. Sci., 43, 478–482.
Saxena, S.K., Otterby, D.E., Donker, J.D., Good, A.L., 1971. Effect of feeding alkali treated oat straw supplemented with soy bean meal or non-protein nitrogen on growth of lambs and on certain blood and rumen liquor parameters. J. Anim. Sci., 33, 485–490.
Smith, W.H., Parsons, S.D., Lechtenberg, V. L., Singleton, W.L., Petritz, D.C., 1976. Cornstalk residues for beef cows in drylot. Animal Meeting of American Society of Agricultural Engineers, Paper no 76 –1007.
Swan, H., Lamming, G:E., 1967. Studies on the nutrition of ruminants. 2. Effect of level of crude fibre in maize based rations on the carcass composition of Friesian steers. Anim. Prod., 9, 203–208.
Swan, H., Lamming, G.E., 1970. Studies on the nutrition of ruminants. 5. Effect of diets containing up to 70% ground barley straw on the live weight gain and carcass composition of yearling Friesian cattle. Anim. Prod., 12, 63–70.
Swan, H., Clark, V.J., 1974. The use of processed straw in rations for ruminants. Proc. Nutr. Conf. Feed Mf. No 8, University of Nottingham.
Terry, R.A., Spooner, M.C., Osbourn, D. F., 1975. The feeding value of mixtures of alkali-treated straw and grass silage. J. Agric. Sci., 84, 373–376.
Thériez, M., 1976. (Communication personnelle)
Thomson et al., 1973. Cités par Kristensen V. Friis, Thomsen, K.V., Rexen, F., 1974. Improvement of digestibility and net energy value of cereal straw by NaOH treatment. 25th Animal meeting of Europ. Assoc. Animal Prod., Copenhagen.
Thornton, J.H., Goodrich, R.D., Meiske, J.C., 1969. Corn maturity. III. Composition, digestibility of nutriments and energy value of corn cobs and ear corn of four maturities. J. Anim. Sci., 29, 987–991.
Vetter, R.L., 1973. Evaluation of chemical and nutritional properties of crop residues. In: Nebraska crop residue symposium. September 10–11, 1973.
Vetter, R.L., Ayres, G.E., Danley, M.M., Weber, D.W., Dunford, J., McGuire, F. H., 1973. Cornstalk grazing and harvested crop residues for beef cows. Iowa State University, A.S., Leaflet R 186.
Waller, J.C., Klopfenstein, T., 1975. Hydroxides for treating crop residues. J. Anim. Sci., 41, 424 (Abstr.)
Xande, A., 1974 (Résultats non publiés)