Página precedente Indice Página siguiente


Apéndice V: Anteproyecto de Código Internacional Recomendado de Prácticas para el Pescado y los Productos Pesqueros (En el Trámite 5 del Procedimiento)


Introducción
Cómo debe usarse este Código
SECCIÓN 1 - Ámbito de aplicación
SECCIÓN 2 - Definiciones
SECCIÓN 3 - Programa de requisitos previos
SECCION 4 - Consideraciones generales para la manipulación de pescado y marisco frescos
SECCION 5 - Análisis de riesgos en puntos críticos de control (HACCP) y análisis en puntos de corrección de defectos (PCD)
SECCIÓN 6 - Elaboración de pescado fresco, congelado y picado
SECCIÓN 13 - Elaboración de pescado y marisco en conserva

Introducción

El Comité del Codex sobre Pescado y Productos Pesqueros ha elaborado el presente Código de Prácticas para el Pescado y los Productos Pesqueros combinando los distintos códigos de prácticas que se enumeran en el Apéndice XII y añadiendo una sección sobre la acuicultura y otra sobre el surimi congelado. El carácter de dichos códigos era eminentemente tecnológico, ya que contenían recomendaciones generales sobre la producción, el almacenamiento y la manipulación del pescado y los productos pesqueros tanto a bordo de las embarcaciones de pesca como en tierra. Este documento trata también de la distribución y presentación del pescado y los productos pesqueros en el comercio al por menor.

El Código de Prácticas combinado se ha modificado ulteriormente para incorporar el sistema de análisis de riesgos en puntos críticos de control (HACCP) descrito en el Código Internacional Recomendado de Prácticas - Principios Generales de Higiene de los Alimentos (CAC/RCP 1-1969, Rev.3, 1997), Anexo: El sistema de HACCP y directrices para su aplicación (Suplemento al Volumen 1B del Codex). En el Código se describe un programa de requisitos previos que comprende directrices tecnológicas y las condiciones esenciales de higiene para la producción de pescado y productos pesqueros que resulten inocuos para el consumo humano y que cumplan con las restantes condiciones indicadas en las normas del Codex para los productos correspondientes. Además, el Código brinda orientación para el uso del sistema de HACCP, cuya aplicación se recomienda a fin de garantizar que la producción de pescado y productos pesqueros se realice en condiciones de higiene, satisfaciendo los requisitos de salud e inocuidad.

En el ámbito de este Código se ha aplicado un criterio sistemático análogo a las disposiciones esenciales sobre calidad, composición y etiquetado que figuran en las normas del Codex para los productos en cuestión. A lo largo del Código este enfoque se denomina “análisis en puntos de corrección de defectos (PCD)”.

El Comité del Codex sobre Pescado y Productos Pesqueros, en su 20ª reunión, recomendó que los defectos comerciales, es decir, de preparación, que se habían suprimido de las normas del Codex para los productos pesqueros, se trasladaran a los códigos de prácticas correspondientes para uso facultativo entre compradores y vendedores durante las transacciones comerciales. Asimismo, el Comité recomendó que estos detalles se describieran en una sección de especificaciones para el producto final, que se presenta ahora en los Apéndices II-XI de este documento. Un enfoque similar al sistema de HACCP se ha incorporado al Código en forma de directrices para el control de los defectos (Análisis en PCD).

Este Código ayudará a todos aquellos que se ocupan de la manipulación y la producción de pescado y/o productos pesqueros, o bien de su almacenamiento, distribución, exportación, importación y venta, a obtener productos inocuos y sanos que puedan venderse en los mercados nacionales e internacionales y cumplan con los requisitos de las normas del Codex (véase el Apéndice XII).

Cómo debe usarse este Código

La finalidad de este Código es ofrecer, en un documento de fácil empleo, la información de referencia y la orientación necesarias para aplicar a la elaboración de pescado y marisco unos sistemas de gestión que incorporen buenas prácticas de fabricación (BPF), así como el sistema de HACCP, en países donde hasta el momento no se han desarrollado. También podría emplearse en la capacitación de pescadores y empleados de la industria de elaboración de pescado.

La aplicación práctica de este Código internacional a la actividad pesquera nacional requerirá, por tanto, algunas modificaciones y enmiendas, a fin de tener en cuenta las condiciones locales y las necesidades específicas de los consumidores. Así pues, este Código no pretende reemplazar el asesoramiento o la orientación de técnicos experimentados respecto de complejos problemas tecnológicos y de higiene que tal vez sean peculiares de una zona geográfica o un tipo de pesca específico, sino que en tales casos se propone, de hecho, como instrumento complementario.

Este Código se divide en secciones distintas pero relacionadas entre sí. El propósito que se persigue es que sean consultadas, cuando proceda, para establecer un programa de HACCP o de PCD:

a) Sección 2 - Definiciones - Un profundo conocimiento de las definiciones es importante y facilitará la comprensión general del Código.

b) Sección 3 - Programa de requisitos previos - Antes de que el sistema de HACCP o los principios que en él se basan puedan aplicarse en forma apropiada a un proceso, es importante que exista una base sólida de buenas prácticas de higiene. Esta sección se refiere a las actividades preparatorias que han de considerarse como las condiciones mínimas que debe cumplir un establecimiento de elaboración previamente al análisis de riesgos y defectos.

c) Sección 4 - Consideraciones generales para la manipulación de pescado y marisco frescos - En esta sección se ofrece un panorama general de los posibles peligros y defectos que tal vez hayan de tenerse en cuenta al formular un plan de HACCP o de PCD. No pretende ser una lista exhaustiva, sino que está destinada a ayudar al equipo encargado del programa de HACCP o de PCD a reflexionar sobre los peligros o defectos que han de preverse en el pescado o marisco frescos; corresponde entonces al equipo determinar la importancia del peligro o defecto en relación con el proceso.

d) Sección 5 - Análisis de riesgos en puntos críticos de control (HACCP) y análisis en puntos de corrección de defectos (PCD) - Sólo cuando se haya realizado satisfactoriamente la labor preparatoria que se expone en la Sección 3 deberá afrontarse la aplicación de los principios indicados en la Sección 5. En ella se utiliza el ejemplo de la elaboración de un producto de atún en conserva para ayudar a comprender cómo deben aplicarse los principios de HACCP a un proceso.

e) Sección 6 - Elaboración de pescado fresco, congelado y picado - Esta sección constituye el fundamento para la mayoría de las secciones posteriores sobre elaboración de pescado y marisco. Trata de las fases principales en el proceso que va de la manipulación del pescado crudo hasta el almacenamiento en frío y brinda orientación y ejemplos sobre los tipos de peligros y defectos que pueden preverse en las distintas fases. Esta sección deberá utilizarse como base para todas las demás operaciones de elaboración de pescado (secciones 7-14), en las que se proporciona orientación adicional específica para los productos correspondientes.

Aunque en las secciones sobre elaboración se enumeran los posibles peligros y defectos para casi todas las fases, hay que señalar que las indicaciones tienen un carácter orientativo, y que tal vez sea conveniente considerar otros peligros y/o defectos. Además, la forma de presentación de esas secciones sobre elaboración se ha concebido de manera que se facilite al máximo su empleo, por lo que sólo se enumeran los “posibles peligros” o los “posibles defectos” cuando existe la posibilidad de que se introduzcan en un producto o cuando se controlan, en lugar de repetirlos para todas las fases intermedias de la elaboración.

Además, hay que destacar que los peligros y defectos, así como sus posteriores puntos de control o de corrección, son específicos para cada producto y cadena de producción, de manera que para cada operación será necesario efectuar un análisis crítico completo basado en la Sección 5.

f) Secciones 7 a 15 - Secciones específicas sobre elaboración de pescado y marisco- Las personas que se ocupan de la elaboración en sectores concretos habrán de consultar la Sección correspondiente a fin de encontrar información complementaria específica para el sector en cuestión.

g) La Sección 16 - Producción acuícola trata de la producción en la acuicultura.

h) Las Secciones 17 y 18 - Transporte y venta al por menor se ocupan de cuestiones generales relacionadas con el transporte y la venta al por menor.

i) En los Apéndices se encontrará información suplementaria.

SECCIÓN 1 - Ámbito de aplicación

El presente Código de Prácticas se aplica a la cría, recolección, manipulación, producción, elaboración, almacenamiento, transporte y venta al por menor de pescado y productos pesqueros marinos o de agua dulce, destinados al consumo humano.

SECCIÓN 2 - Definiciones


2.1 Definiciones generales
2.2 Pescado fresco, congelado y picado
2.9 Pescado en conserva

Para los fines de este Código se adoptarán las siguientes definiciones:

2.1 Definiciones generales

Agua enfriada

agua limpia que se mantiene a una temperatura de unos 0°C (32°F) o ligeramente más baja mediante la adición de hielo;

Enfriamiento

proceso mediante el cual se enfría el pescado a una temperatura próxima a la del hielo en fusión;

Agua de mar limpia

agua de cualquier origen en que la contaminación microbiológica, sustancias dañinas y/o plancton tóxico no estén presentes en cantidades tales que puedan afectar a la calidad sanitaria de los productos pesqueros;

Limpieza

supresión de tierra, residuos de alimentos, suciedad, grasa u otros materiales objetables;

Contaminante

cualquier agente biológico o químico, materia extraña u otras sustancias no añadida deliberadamente al alimento que pueda poner en peligro la inocuidad de éste o su idoneidad;

Contaminación

Introducción o presencia de un contaminante en el pescado;

Medida de control

toda acción o actividad que pueda utilizarse para evitar o eliminar un peligro para la inocuidad del alimento o reducirlo a un nivel aceptable. Para los fines de este Código, las medidas de control se aplican también a los defectos;

Medida correctiva

toda medida que haya de adoptarse cuando los resultados de la vigilancia en los PCC indiquen una pérdida de control. Para los fines de este Código ello se aplica también a los PCD;

Punto crítico de control (PCC)

punto en el que es posible efectuar un control que es esencial para prevenir o eliminar un peligro para la inocuidad del alimento o reducirlo a un nivel aceptable;

Límite crítico

criterio para distinguir entre aceptabilidad e inaceptabilidad. Para los fines de este Código ello se aplica también a los PCD;

Árbol de decisiones

serie de preguntas que se aplican en cada fase del proceso en la que existe un peligro identificado, a fin de establecer cuáles de las fases constituyen PCC. Para los fines de este Código ello se aplica también a los PCD;

Descomposición

deterioro del pescado, incluido el menoscabo de la textura, que causa un olor o sabor objetable persistente y bien definido;

Defecto

condición observada en un producto que no cumple las disposiciones esenciales sobre calidad, composición y/o etiquetado de las correspondientes normas del Codex sobre productos;

Punto de corrección de defectos (PCD)

fase miento en que es posible efectuar un control y prevenir, eliminar o reducir a un nivel aceptable un defecto, o bien eliminar un riesgo de fraude;

Desinfección

Reducción, mediante agentes químicos y/o métodos físicos, del número de microorganismos presentes en el medio ambiente hasta un nivel que no ponga en peligro la inocuidad o idoneidad del alimento;

Pescado limpio

parte que queda del pescado tras la eliminación de la cabeza y las vísceras;

Pez

cualquiera de los vertebrados e invertebrados acuáticos de sangre fría. No incluye a los mamíferos acuáticos ni a los anfibios;

Riesgo/peligro

agente biológico, químico o físico presente en el alimento, o bien condición en que éste se halla, que puede causar un efecto adverso para la salud;

Análisis de riesgos

Proceso de acopio y evaluación de información sobre los riesgos, y sobre las condiciones que dan lugar a su presencia, para decidir cuáles de ellos son significativos para la inocuidad de un alimento y por consiguiente deben tenerse en cuenta en el plan de HACCP;

Sistemas de análisis de riesgos en puntos críticos de control (HACCP)

sistema que permite identificar, evaluar y controlar riesgos significativos para la inocuidad de un alimento;

Biotoxinas

sustancias venenosas que se acumulan en peces y moluscos que se alimentan de algas productoras de toxinas, o bien en agua que contiene toxinas producidas por tales organismos;

Vigilar

llevar a cabo una secuencia planificada de observaciones o mediciones de los parámetros elegidos para determinar si un PCC está bajo control. Para los fines de este Código ello se aplica también a los PCD;

Agua potable

agua dulce, apta para el consumo humano. Las normas de potabilidad no deberán ser inferiores a las especificadas en la última edición de las “Normas Internacionales para el Agua Potable”, de la Organización Mundial de la Salud;

Programa de requisitos previos

programa que se debe establecer previamente a la aplicación del sistema de HACCP, a fin de cerciorarse de que un establecimiento de elaboración de pescado funciona de conformidad con los principios del Codex de Higiene de los Alimentos, con el Código de Prácticas correspondiente y con la legislación pertinente en materia de inocuidad de los alimentos;

Establecimiento de elaboración

cualquier tipo de establecimiento donde se preparan, se elaboran, se enfrían, se congelan, se envasan o se almacenan productos pesqueros. Para los fines de este Código, incluye también a las embarcaciones;

Materia prima

pescado y/o partes de pescado fresco y congelado que pueden utilizarse para producir pescado y productos pesqueros destinados al consumo humano;

Agua refrigerada

agua limpia, enfriada mediante un sistema de refrigeración apropiado;

Tiempo de conservación

período durante el cual el producto mantiene su inocuidad microbiológica y química y sus cualidades sensoriales a una temperatura de almacenamiento específica. Este período se determina teniendo en cuenta los peligros identificados para el producto, los tratamientos térmicos o de otro tipo aplicados para conservarlo, el método de envasado y otras barreras o factores de inhibición que puedan utilizarse;

Mariscos

especies de moluscos y crustáceos, incluidos los cefalópodos, que habitualmente se usan como alimento;

Fase

punto, procedimiento, operación o etapa de la cadena alimentaria, incluidas las materias primas, desde la producción primaria hasta el consumo final;

Validación

obtención de datos que indican que los elementos del plan de HACCP son eficaces;

Verificación

aplicación de métodos, procedimientos, pruebas u otras evaluaciones, además de la vigilancia, para constatar el cumplimiento del plan de HACCP. Para los fines de este Código, se aplica también a los PCD;

Pescado entero

pescado tal como se captura, sin eviscerar.


2.2 Pescado fresco, congelado y picado

Examen a contraluz

acción de pasar los filetes de pescado sobre una mesa traslúcida iluminada desde abajo, a fin de detectar parásitos y otros defectos;

Deshidratación

pérdida de humedad de los productos congelados, por evaporación. Puede producirse cuando el glaseado, el envasado o el almacenamiento de los productos no son adecuados. Una profunda deshidratación perjudica el aspecto y la textura superficial del producto, y suele denominarse “quemadura de congelador”;

Filete

tajada de carne de forma y dimensiones irregulares, separada del cuerpo mediante cortes paralelos a la columna vertebral;

Congelador

equipo que sirve para congelar pescado y otros productos alimenticios reduciendo rápidamente su temperatura, de tal manera que después de la estabilización térmica la temperatura del centro térmico del producto es igual a la temperatura de almacenamiento;

Proceso de congelación

el que se realiza con equipo apropiado de manera que se sobrepasen rápidamente los límites de temperatura de cristalización máxima. El proceso de congelación rápida no podrá considerarse terminado mientras el centro térmico del producto no haya llegado a -18°C (0°F) o a una temperatura inferior después de la estabilización térmica;

Pescado fresco

pescado o productos pesqueros que no han recibido ningún tratamiento de conservación fuera del enfriamiento;

Pescado congelado

pescado que ha sido objeto de un proceso de congelación suficiente para reducir la temperatura de todo el producto a un nivel lo suficientemente bajo para conservar la calidad inherente del pescado, y que se ha mantenido a esa baja temperatura, especificada en la Norma para el Pescado Congelado Rápidamente, Eviscerado y Sin Eviscerar, durante el transporte, almacenamiento y distribución hasta el momento de la venta final inclusive. Para los fines de este Código los términos “congelado”, “congelado profundamente” y “congelado rápidamente” se considerarán sinónimos, salvo indicación en contrario;

Glaseado

capa protectora de hielo que se forma en la superficie de un producto congelado cuando éste se rocía o se sumerge en agua de mar limpia, agua potable, o agua potable con aditivos autorizados, según el caso;

Pescado picado

carne desmenuzada que se produce por separación de la piel y las espinas;

Envasado en atmósfera modificada (EAP)

envasado en el que la atmósfera que rodea el pescado es diferente de la composición normal del aire;

Separación

proceso mecánico para la producción de pescado picado, por el que se separa de la carne la mayor parte de la piel y las espinas;

Separador

dispositivo mecánico empleado para la separación;

Rodaja

sección de pescado obtenida mediante cortes efectuados aproximadamente en ángulo recto con la columna vertebral.


2.9 Pescado en conserva

Para los fines de este Código, sólo se ofrecen las definiciones de los principales términos relacionados con la industria conservera y utilizados en la Sección 13. Para un conjunto general de definiciones, véase el Código Internacional Recomendado de Prácticas de Higiene para Alimentos poco Ácidos y Alimentos poco Ácidos Acidificados Envasados (CAC/PRC 23-1979, Rev. 2 (1993)).

Alimento en conserva

alimento comercialmente estéril envasado en recipientes herméticamente cerrados;

Esterilidad comercial de alimentos sometidos a tratamiento térmico

estado conseguido mediante la aplicación de calor suficiente, sólo o en combinación con otros tratamientos apropiados, para que el alimento quede exento de microorganismos capaces de desarrollarse en los alimentos sin refrigerar en las condiciones normales en las que probablemente se mantendrán durante la distribución y el almacenamiento;

Recipientes herméticamente cerrados

recipientes que se han cerrado de tal manera que su contenido esté protegido contra la entrada de microorganismos durante el tratamiento térmico y después de él;

Autoclave

recipiente a presión destinado al tratamiento térmico de alimentos envasados en recipientes cerrados herméticamente;

Proceso programado (o programa de esterilización)

proceso térmico que el elaborador ha elegido para un producto y un tamaño de recipiente determinados a fin de conseguir como mínimo su esterilidad comercial;

Temperatura de esterilización

temperatura que se mantiene durante el tratamiento térmico, según se especifica en el proceso programado;

Tiempo de esterilización

tiempo que transcurre desde el momento en que se alcanza la temperatura de esterilización hasta aquél en que comienza el enfriamiento;

Proceso térmico

tratamiento en el que se aplica calor para conseguir la esterilidad comercial. Se cuantifica en función del tiempo y la temperatura;

Purga de aire

eliminación total del aire de los autoclaves de vapor antes de un proceso programado.


SECCIÓN 3 - Programa de requisitos previos


3.1 Diseño y construcción de embarcaciones de pesca y de recolección
3.2 Diseño y construcción de los establecimientos de elaboración
3.3 Diseño y construcción de los equipos y utensilios
3.4 Programa de control de la higiene
3.5 Higiene personal y salud
3.6 Transporte
3.7 Procedimientos de identificación y recuperación de los productos
3.8 Capacitación

Previamente a la aplicación del sistema de HACCP a cualquier segmento de la cadena de elaboración de pescado, en ese segmento se debe contar con el apoyo de un programa de requisitos previos basado en las buenas prácticas de higiene o en lo que requiera la autoridad competente.

El establecimiento de programas de requisitos previos permitirá al equipo encargado del sistema de HACCP centrarse en su aplicación a los peligros para la inocuidad de los alimentos que están directamente relacionados con el producto y el proceso seleccionado, evitándose la consideración y repetición injustificadas de peligros procedentes del medio circundante. El programa de requisitos previos será específico para cada establecimiento o cada embarcación y exigirá actividades de vigilancia y evaluación a fin de constatar su continua eficacia

Para más información que pueda ser de ayuda en la formulación de programas de requisitos previos aplicables a un establecimiento de elaboración o una embarcación, véase el Código Internacional Recomendado de Prácticas - Principios Generales de Higiene de los Alimentos (CAC/RCP 1-1969, Rev. 3 1997), Anexo: El sistema de HACCP y directrices para su aplicación.

Cabe señalar que algunas de las cuestiones que se indican a continuación, como por ejemplo las relativas a los daños, tienen por objeto mantener la calidad y no la inocuidad de los alimentos y no siempre son esenciales en un programa de requisitos previos para un sistema de HACCP orientado a la inocuidad.

Los principios del sistema de HACCP pueden aplicarse también a los puntos de corrección de defectos.

3.1 Diseño y construcción de embarcaciones de pesca y de recolección

En todo el mundo se utilizan muchos tipos distintos de embarcaciones pesqueras, que se han desarrollado en regiones particulares en función de las condiciones económicas y ambientales allí imperantes y de los tipos de peces que se capturan o recolectan. En esta sección se procura indicar las condiciones esenciales para una fácil limpieza y para reducir al mínimo los daños, la contaminación y la descomposición que, en la medida de lo posible, todas las embarcaciones deberían respetar a fin de garantizar la manipulación higiénica y de buena calidad del pescado fresco destinado a ser ulteriormente elaborado y congelado.

Para el diseño y la construcción de las embarcaciones empleadas en la pesca y en la recolección de peces cultivados se deberán tener en cuenta las siguientes recomendaciones:

3.1.1 Para facilitar la limpieza y la desinfección

3.1.2 Para reducir al mínimo la contaminación

3.1.3 Para reducir al mínimo los daños al pescado

3.1.4 Para reducir al mínimo los daños durante la recolección de peces cultivados

Cuando los peces cultivados se recojan mediante jábegas o redes y se transporten vivos hasta los establecimientos de elaboración:

3.2 Diseño y construcción de los establecimientos de elaboración

Los establecimientos de elaboración deberán incluir un modelo de circulación de los productos proyectado de manera que se eviten posibles fuentes de contaminación, se reduzcan al mínimo las demoras en los procesos que pudieran dar lugar a una ulterior disminución de la calidad del pescado y se evite la contaminación de los productos acabados con las materias primas. El pescado es un alimento sumamente perecedero, que debe manipularse con cuidado y enfriarse sin más dilación. Por consiguiente, los establecimientos de elaboración estarán proyectados de modo que permitan el tratamiento y almacenamiento rápidos del pescado y los productos pesqueros.

Para el diseño y la construcción de establecimientos de elaboración de pescado se deberán tener en cuenta las recomendaciones siguientes:

3.2.1 Para facilitar la limpieza y la desinfección

3.2.2 Para reducir al mínimo la contaminación

3.2.3 Para proporcionar una iluminación suficiente

3.3 Diseño y construcción de los equipos y utensilios

Los equipos y utensilios utilizados para la manipulación de productos pesqueros en las embarcaciones o en los establecimientos de elaboración variarán considerablemente según el carácter y el tipo de la operación que se efectúe. Durante su utilización, están constantemente en contacto con el pescado. El estado de los equipos y utensilios deberá ser tal que se reduzca al mínimo la acumulación de residuos y se impida que lleguen a ser una fuente de contaminación.

Para el diseño y construcción de los equipos y utensilios se tendrán en cuenta las recomendaciones siguientes:

3.3.1 Para facilitar la limpieza y la desinfección

3.3.2 Para reducir al mínimo la contaminación

3.3.3 Para reducir al mínimo los daños

3.4 Programa de control de la higiene

En todo momento han de tenerse presentes los posibles efectos sobre la inocuidad e idoneidad del pescado de la recolección y manipulación de productos, así como de la manipulación a bordo de los pesqueros o las actividades de producción en los establecimientos de elaboración. En particular se prestará atención a todos los puntos donde puede producirse contaminación, y se adoptarán medidas específicas para garantizar la obtención de un producto inocuo y sano. El tipo de medidas de control y supervisión necesarias dependerá del tamaño de la operación y la naturaleza de sus actividades.

Se aplicarán programas para:

- evitar la acumulación de residuos y detritos;
- proteger al pescado contra la contaminación;
- asegurar la eliminación higiénica de todos los materiales desechados;
- vigilar la higiene personal y la observancia de las normas sanitarias;
- vigilar la aplicación del programa de lucha contra las plagas;
- vigilar la aplicación de los programas de limpieza y desinfección;
- vigilar la calidad e inocuidad de los suministros de agua y hielo.
El programa de control de la higiene deberá tener en cuenta las recomendaciones siguientes:

3.4.1 Programa permanente de limpieza y desinfección

Se establecerá un programa permanente de limpieza y desinfección para garantizar que todas las partes de la embarcación, el establecimiento de elaboración y los equipos que éstos contienen, se limpien sistemáticamente y en forma apropiada. Este programa se evaluará de nuevo cada vez que se produzcan modificaciones en las embarcaciones, los establecimientos de elaboración o los equipos. El programa incluirá, entre otras cosas, una política de “limpieza continua”.

Un proceso típico de limpieza y desinfección puede abarcar hasta ocho operaciones diferentes:

Preparación para la limpieza

Preparación de la zona y los equipos que han de limpiarse. Incluye actividades como retirar todo el pescado y los productos pesqueros presentes en la zona elegida, proteger los componentes delicados y materiales de envasado para que no se mojen, eliminar manualmente o mediante escobillas los desperdicios de pescado, etc.

Pre-enjuague

Enjuague con agua para eliminar la suciedad gruesa y suelta.

Limpieza

Tratamiento de las superficies con un detergente apropiado para eliminar la suciedad que pudiera quedar.

Enjuague

Enjuague con agua potable o agua limpia, según el caso, para eliminar toda la suciedad y los residuos de detergente.

Desinfección

Aplicación de productos químicos, aprobados por el organismo oficial competente, y/o calor para destruir la mayor parte de los microorganismos presentes en las superficies.

Enjuague final

Un último enjuague, cuando proceda, con agua potable o agua limpia para eliminar toda la suciedad y los residuos de desinfectante.

Almacenamiento

Los equipos, recipientes y utensilios limpios y desinfectados deberán almacenarse de manera que se evite su contaminación.

Comprobación de la eficiencia de la limpieza

Deberá comprobarse la eficiencia de la limpieza, cuando proceda.


Las personas que manipulan el pescado o el personal encargado de la limpieza, según proceda, deberán haber recibido capacitación sobre el uso de instrumentos especiales y productos químicos de limpieza y la forma en que se debe desarmar el equipo para limpiarlo; asimismo deberán ser conscientes del significado de la contaminación y de los peligros conexos.

3.4.2 Designación del personal encargado de la limpieza

- En cada establecimiento de elaboración o embarcación deberá designarse a una persona capacitada para que se haga responsable de la higiene del establecimiento de elaboración o embarcación y de los equipos que éstos contienen.
3.4.3 Mantenimiento de las instalaciones, equipos y utensilios

3.4.4 Sistemas de control de plagas

3.4.5 Suministro de agua, hielo y vapor

3.4.5.1 Agua

3.4.5.2 Hielo

3.4.5.3 Vapor

3.4.6 Gestión de desechos

3.5 Higiene personal y salud

La higiene personal y las instalaciones deberán ser tales que permitan el mantenimiento de un nivel de higiene personal apropiado para evitar la contaminación del pescado.

3.5.1 Instalaciones y equipos

Las instalaciones y equipos deberán incluir:

3.5.2 Higiene del personal

3.6 Transporte

Los vehículos deberán proyectarse y construirse de manera que:

3.7 Procedimientos de identificación y recuperación de los productos

La experiencia ha demostrado que un sistema de recuperación de los productos es un componente necesario en todo programa de requisitos previos, puesto que no existe ningún proceso que esté a salvo de fallas. La posibilidad de identificar los productos, y en particular los lotes, es esencial para un procedimiento eficaz de recuperación.

3.8 Capacitación

La capacitación en materia de higiene del pescado reviste una importancia fundamental. Todo el personal debe ser consciente de su función y responsabilidad en la protección del pescado contra la contaminación y el deterioro. Las personas que manipulan el pescado deben tener los conocimientos y aptitudes necesarios para poder desarrollar sus tareas en condiciones higiénicas. Asimismo, quienes utilizan sustancias químicas concentradas para la limpieza u otros productos químicos potencialmente peligrosos, deben ser instruidos sobre las técnicas seguras de manipulación.

Se debe constatar que las personas que trabajan en cada establecimiento de elaboración de pescado hayan recibido capacitación suficiente y apropiada para la formulación y aplicación correcta de un sistema de HACCP y de los correspondientes controles del proceso. La capacitación del personal en el uso del sistema de HACCP es esencial para que pueda aplicarse y ejecutarse con buenos resultados en un establecimiento de elaboración de pescado. La aplicación práctica de estos sistemas mejorará cuando la persona responsable del HACCP haya completado con buenos resultados un curso impartido o certificado por la autoridad competente. Los administradores deberán disponer también lo necesario para que todos los empleados reciban periódicamente la capacitación adecuada, a fin de que puedan comprender los principios en que se basa el sistema de HACCP.

SECCION 4 - Consideraciones generales para la manipulación de pescado y marisco frescos


4.1 Posibles peligros asociados con el pescado y marisco frescos
4.2 Regulación del tiempo y la temperatura
4.3 Reducción al mínimo del deterioro del pescado - Manipulación

En ningún caso debe aceptarse pescado del que se sepa que contiene parásitos, microorganismos indeseables, plaguicidas, medicamentos veterinarios o sustancias extrañas, tóxicas o descompuestas a no ser que puedan reducirse a un nivel aceptable mediante los procedimientos normales de clasificación y/o elaboración. Cuando se encuentre pescado o marisco que haya sido declarado no apto para el consumo humano, deberá ser retirado y almacenado en un lugar separado de las capturas, y ser elaborado de nuevo o eliminado en forma apropiada. En la Sección 4.1 se describen los posibles peligros asociados con el pescado y marisco frescos. Todo el pescado y marisco que se consideren aptos para el consumo humano habrán de manipularse correctamente, prestando especial atención a la regulación del tiempo y de la temperatura.

4.1 Posibles peligros asociados con el pescado y marisco frescos

4.1.1 Peligros biológicos

4.1.1.1 Parásitos

En términos generales, los parásitos transmitidos por el pescado o los crustáceos y conocidos como causa de enfermedad en los seres humanos se clasifican como helmintos o gusanos parasitarios. Comúnmente se denominan nematodos, cestodos y trematodos. Aunque el pescado puede estar infestado por protozoos, no se conocen casos de enfermedades de los peces ocasionadas por protozoos que se hayan transmitido a seres humanos. Los parásitos tienen un ciclo vital complejo, con uno o más huéspedes intermedios; generalmente entran en el organismo humano cuando se consumen productos crudos o sometidos a una elaboración mínima o a una cocción insuficiente, y que al contener el parásito en su fase infecciosa son causa de enfermedades de transmisión alimentaria. Congelando el pescado que ha de consumirse crudo a [-20°C o a temperaturas inferiores durante siete días, o bien a -35°C durante 20 horas aproximadamente] se provoca la muerte del parásito. Procedimientos como el salmuerado o el escabechado pueden reducir el planteado por el parásito si los productos se mantienen en salmuera durante un tiempo suficiente, pero es posible que no lo eliminen. El examen a contraluz, el recorte ventral y la eliminación física de los quistes de parásitos también reducirán los peligros, aunque tal vez no lo eliminen.

Nematodos

En todo el mundo se conocen numerosas especies de nematodos; algunas especies de peces marinos actúan como huéspedes secundarios de estos parásitos. Entre los nematodos que suscitan mayor preocupación cabe mencionar Anisakis spp., Capillaria spp., Gnathostoma spp. y Pseudoteranova spp., que pueden encontrarse en el hígado, la cavidad visceral y la carne de los peces marinos. Un ejemplo de nematodo que provoca enfermedad en el hombre es Anisakis simplex; tanto el tratamiento térmico ([60°C] durante un minuto) como la congelación ([-20°C] durante 24 horas) del núcleo del pescado provocan la muerte del parásito en su fase infecciosa.

Cestodos

Los cestodos son tenias; la especie de mayor interés en relación con el consumo de pescado es Diphyllobotrium latum. Este parásito está presente en todo el mundo, y sus huéspedes intermedios son peces marinos. Tal como ocurre con otras infecciones parasitarias, la enfermedad de transmisión alimentaria se debe al consumo de pescado crudo o sometido a una elaboración insuficiente. La fase infecciosa del parásito se inactiva a temperaturas de congelación y de cocción similares a las indicadas para los nematodos.

Trematodos

Las infecciones por trematodos (platelmintos) transmitidas por peces constituyen un serio problema endémico de salud pública en unos 20 países de todo el mundo. Las especies de mayor importancia, teniendo en cuenta el número de personas infectadas, pertenecen a los géneros Clonorchis y Ophistorchis (trematosis del hígado), Paragonimus (trematosis del pulmón) y, en medida menor, Heterophyes y Echinochasmus (trematosis intestinal). Los huéspedes finales más importantes de estos trematodos son el hombre y otros mamíferos. Los peces de agua dulce son el segundo huésped intermedio en el ciclo vital de Clonorchis y Ophistorchis, y los crustáceos de agua dulce en el de Paragonimius. Las infecciones de transmisión alimentaria se contraen tras el consumo de productos crudos, poco cocidos o insuficientemente elaborados que contienen estos parásitos en su fase infecciosa. En dicha fase, la congelación del pescado a -20°C durante siete días o a -35°C durante 24 horas provoca la muerte del parásito.

4.1.1.2 Bacterias

El nivel de contaminación del pescado en el momento de la captura dependerá del medio ambiente y de la calidad bacteriológica de las aguas donde se efectúa la recolección. En la microflora de los peces de aleta influyen numerosos factores, siendo los más importantes la temperatura del agua, su contenido de sal, la proximidad de las zonas de recolección a viviendas humanas, la cantidad y el origen de los alimentos consumidos por los peces, y el método de recolección. En el momento de la captura el tejido muscular de los peces de aleta es normalmente estéril, mientras que suele haber presencia de bacterias en la piel, las branquias y el conducto intestinal.

Existen dos grandes grupos de bacterias de interés para la salud pública y capaces de contaminar los productos en el momento de la captura: las que están presentes normal o accidentalmente en el medio acuático, que se denominan microflora autóctona, y las que se introducen como consecuencia de la contaminación del medio por desechos domésticos o industriales. Como ejemplo de bacterias autóctonas que pueden suponer un peligro para la salud pueden citarse Aeromonas hydrophyla, Clostridium botulinum, Vibrio parahaemolyticus, V. cholerae, V. vulnificus, y Listeria monocytogenes. Las bacterias no autóctonas de interés para la salud pública incluyen algunas Enterobacteriaceae como Salmonella spp., Sighella spp., y Escherichia coli. Otras especies que ocasionalmente se han aislado en el pescado y pueden ser causa de enfermedades de transmisión alimentaria son Edwardsiella tarda, Pleisomonas shigeloides y Yersinia enterocolitica.

Cuando están presentes en el pescado fresco, las bacterias patógenas autóctonas suelen hallarse en número bastante reducido, y si los productos se someten a cocción adecuada antes de su consumo el peligro para la inocuidad de los alimentos es insignificante. Durante el almacenamiento las bacterias autóctonas de la descomposición se desarrollarán más rápidamente que las patógenas, de modo que antes de volverse tóxico el pescado se pudrirá y será rechazado por los consumidores. Los peligros relacionados con estos patógenos pueden controlarse sometiendo los alimentos marinos a una temperatura suficientemente alta para provocar la muerte de las bacterias, manteniendo el pescado en refrigerador, y evitando la contaminación cruzada después de estos procedimientos.

Las especies de Vibrio son comunes en las zonas costeras y de estuarios; sus poblaciones pueden depender de la profundidad de las aguas y del nivel de las mareas. Son particularmente frecuentes en las aguas cálidas de las zonas tropicales, y también pueden encontrarse en las zonas templadas durante los meses de verano. Asimismo hay especies de Vibrio que constituyen contaminantes naturales de las aguas salobres de zonas tropicales y, por tanto, estarán presentes en el pescado cultivado en tales zonas. Los peligros relacionados con la presencia de Vibrio spp. en peces de aleta pueden controlarse mediante la cocción, y evitando la contaminación cruzada de los productos cocidos. Asimismo es posible reducir los riesgos sanitarios refrigerando rápidamente los productos después de la recolección, lo que disminuye la posibilidad de proliferación de estos organismos.

4.1.1.3 Contaminación vírica

Los moluscos recogidos en aguas costeras contaminadas por excrementos humanos o animales pueden albergar virus patógenos para el hombre. Los virus intestinales responsables de enfermedades transmitidas por alimentos marinos son el virus de la hepatitis A, los calicivirus, los astrovirus y el virus de Norwalk. Los últimos tres suelen denominarse pequeños virus redondos. Todos los virus transmitidos por alimentos marinos que provocan enfermedades se transmiten por el ciclo fecal-oral; la mayor parte de los brotes de gastroenteritis vírica se han asociado con el consumo de mariscos contaminados, especialmente ostras crudas.

Los virus son por lo general específicos para cada especie y no crecen ni se multiplican en alimentos ni en ningún otro medio fuera de la célula huésped. No se dispone de marcadores fiables que indiquen la presencia del virus en las aguas donde se recolectan mariscos. Los virus transmitidos por los alimentos marinos son difíciles de detectar, requiriéndose métodos moleculares relativamente complejos para su identificación.

Es posible reducir al mínimo los casos de gastroenteritis vírica controlando la contaminación por aguas negras de las zonas donde se cultivan crustáceos y moluscos, y vigilando los mariscos y las aguas de cría antes de la recolección, así como controlando otras fuentes de contaminación durante la elaboración. Otras estrategias posibles son la depuración o la muda, pero los mariscos tardan más tiempo en purgarse de la contaminación vírica que de la bacteriana. El tratamiento térmico (85-90°C durante 1,5 minutos) destruye los virus presentes en los mariscos.

4.1.1.4 Biotoxinas

Existen numerosas biotoxinas importantes que es preciso considerar. Hay aproximadamente 400 especies de peces venenosos; las sustancias responsables de la toxicidad de estas especies son, por definición, biotoxinas. Por lo general el veneno sólo se encuentra en ciertos órganos, o bien está presente únicamente en determinados períodos del año.

En algunos peces las toxinas se encuentran en la sangre, en cuyo caso se habla de ictiohemotoxinas. Las especies interesadas son las anguilas del Adriático, las morenas y las lampreas. En otras especies las toxinas están distribuidas en los distintos tejidos (carne, vísceras, piel); se trata de las ictiosarcotoxinas presentes en especies tetrodotóxicas responsables de numerosos envenenamientos, a menudo letales.

Puesto que con frecuencia las biotoxinas son termoestables, la única medida de control posible es verificar la identidad de las especies empleadas.

Escombrotoxina

La intoxicación escombroidea, denominada a veces envenenamiento histamínico, se produce tras el consumo de pescado que no se ha enfriado correctamente tras la recolección. La escombrotoxina se atribuye sobre todo a la acción de Enterobacteriaceae que dan lugar a niveles elevados de histamina en el músculo del pescado cuando los productos no se enfrían inmediatamente después de la captura. Los pescados más afectados son escómbridos como el atún, la caballa y el bonito, aunque esta toxina también puede encontrarse en otras especies. La intoxicación rara vez es letal, y por lo general sus síntomas son leves. Una refrigeración rápida tras la captura y una manipulación correcta durante la elaboración deberían impedir el desarrollo de la toxina. Sin embargo, ésta no se inactiva a las temperaturas normales de cocción ni en la producción de pescado en conserva. Además, el pescado puede contener niveles tóxicos de histamina sin presentar ninguno de los parámetros sensoriales que habitualmente caracterizan la descomposición.

Ficotoxinas

Ciguatoxina

La otra toxina importante que hay que tener en cuenta es la ciguatoxina, que se puede encontrar en una gran variedad de peces, principalmente carnívoros, que habitan las aguas someras de los arrecifes coralinos tropicales y subtropicales o de sus inmediaciones. Esta toxina es producida por dinoflagelados; son más de 400 las especies de peces tropicales que han provocado intoxicaciones. Se sabe que la toxina es termoestable. Aún queda mucho por averiguar acerca de esta toxina y una de las medidas de control que pueden adoptarse es evitar la comercialización de aquellos tipos de pescado que hayan resultado tóxicos en reiteradas ocasiones

PSP/DSP/ASP/NSP

Estas toxinas afectan especialmente a los moluscos bivalvos; la toxicidad se debe a que el molusco ingiere especies de fitoplancton capaces de sintetizar sustancias tóxicas. En los moluscos la toxina se concentra hasta el punto de resultar potencialmente tóxica. Las principales toxinas de este tipo son la responsable de la parálisis tóxica de los moluscos (PSP), producida por dinoflagelados del género Alexandrium, la toxina diarreica de los moluscos (DSP), producida por otros dinoflagelados del género Dinophysis, la responsable de la amnesia tóxica de los moluscos (ASP), en la que Nitzchi spp. produce ácido domoico y la neurotoxina del marisco (NSP), producida por Gymnodium spp.

De todas estas toxinas se sabe que en general conservan su toxicidad durante la elaboración e incluso en los productos pesqueros en conserva, de modo que es importante conocer la identidad de las especies y el origen del pescado y los mariscos que se destinan a la elaboración.

Tetrodoxina

Algunos peces, principalmente los pertenecientes a la familia de los Tetradontidea (“peces erizo”) pueden acumular esta toxina, que es responsable de episodios de envenenamiento a menudo letales. La toxina se encuentra por lo general en el hígado, las huevas y las vísceras del pez, y con menos frecuencia en la carne. A diferencia de casi todas las demás biotoxinas que se acumulan en el pez o marisco vivo, esta toxina no es producida por algas. Sin embargo, su mecanismo de producción no está claro; al parecer, hay a menudo indicaciones de intervención de bacterias simbióticas.

4.1.2 Peligros químicos

Los peces pueden recolectarse en zonas costeras y hábitats continentales que están expuestos a cantidades variables de contaminantes ambientales. El pescado recogido en zonas costeras y estuarios suscita mayor preocupación que el que se captura en el mar abierto. Los productos químicos, los compuestos organoclorados y los metales pesados pueden acumularse en los productos, causando así problemas de salud pública. En los productos de la acuicultura se pueden encontrar residuo de medicamentos veterinarios si no se ha respetado el período de interrupción del tratamiento, o no se han controlado la venta y la utilización de esos compuestos. El pescado fresco puede contaminarse también con productos químicos como el gasóleo cuando no se manipula correctamente y con detergentes o desinfectantes cuando no se enjuaga en forma apropiada.

4.1.3 Peligros físicos

Pueden residir en objetos como fragmentos de metal o de vidrio, conchas, espinas etc.

4.2 Regulación del tiempo y la temperatura

La temperatura es el factor individual más importante que influye en la rapidez del deterioro de pescado y en la multiplicación de microorganismos. En el caso de las especies proclives a la producción de escombrotoxinas, la regulación del tiempo y la temperatura puede ser el método más eficaz para garantizar la inocuidad de los alimentos. Por consiguiente, es fundamental que tanto el pescado fresco, los filetes y otros productos como el marisco y sus productos, que deben ser enfriados, se mantengan a una temperatura lo más cercana posible a 0°C.

4.2.1 Reducción al mínimo del deterioro del pescado - Tiempo

Para reducir al mínimo el deterioro del pescado:

4.2.2 Reducción al mínimo del deterioro del pescado - Regulación de la temperatura

En lo que concierne a la regulación de la temperatura:

4.3 Reducción al mínimo del deterioro del pescado - Manipulación

Unas prácticas deficientes de manipulación pueden causar daños al pescado fresco que aceleren su descomposición y aumentar las pérdidas innecesarias después de la captura o recolección. Para reducir los daños durante la manipulación:

SECCION 5 - Análisis de riesgos en puntos críticos de control (HACCP) y análisis en puntos de corrección de defectos (PCD)


5.1 Principios del sistema de HACCP
5.2 Análisis en puntos de corrección de defectos
5.3 Aplicación

El análisis de riesgos en puntos críticos de control (HACCP) es un sistema basado en principios científicos que tiene por objeto prevenir problemas de inocuidad de los alimentos, en lugar de reaccionar cuando el producto acabado no cumple los requisitos. El sistema de HACCP permite hacerlo mediante la identificación de los peligros específicos y la aplicación de medidas de control. Un sistema eficaz de HACCP reducirá la necesidad de recurrir a los ensayos tradicionales del producto final. En la Sección 5 se explican los principios del sistema de HACCP aplicado a la manipulación y elaboración de pescado y productos pesqueros, pero el Código sólo puede ofrecer orientación sobre cómo utilizar esos principios y hacer sugerencias en cuanto al tipo de peligros que podrían presentar los diversos tipos de pescado y productos pesqueros. El plan de HACCP, que deberá incorporarse en el plan de gestión de alimentos, habrá de estar bien documentado y ser lo más sencillo posible. En esta sección se presenta un modelo que puede tenerse en cuenta al elaborar el plan de HACCP.

En la Sección 5 se explica también cómo aplicar de manera más general un enfoque similar, que comprende muchos de estos principios, a las disposiciones esenciales de calidad, composición y etiquetado que figuran en las normas del Codex o a otros requisitos no relacionados con la inocuidad, en cuyo caso hablaremos de análisis en puntos de corrección de defectos. Este método de análisis de los defectos es facultativo, pudiéndose estudiar otras técnicas para conseguir el mismo objetivo.

En la Figura 5.1 se ofrece un esquema resumido del desarrollo de un sistema de análisis de HACCP y de defectos.

5.1 Principios del sistema de HACCP

El sistema de HACCP consiste en siete principios[21] que son los siguientes:

PRINCIPIO 1

Análisis de los peligros

PRINCIPIO 2

Determinación de los puntos críticos de control (PCC)

PRINCIPIO 3

Establecimiento del límite o límites críticos

PRINCIPIO 4

Establecimiento de un sistema para vigilar el control de los PCC

PRINCIPIO 5

Establecimiento de las medidas correctivas que han de adoptarse cuando la vigilancia indica que un determinado PCC no está bajo control

PRINCIPIO 6

Establecimiento de procedimientos de verificación para confirmar que el sistema de HACCP está funcionando eficazmente

PRINCIPIO 7

Establecimiento de documentación relativa a todos los procedimientos y de registros apropiados para esos principios y su aplicación.

Estos principios deben seguirse en todo examen del sistema de HACCP.

El sistema de HACCP es un importante instrumento de gestión que los encargados pueden utilizar para garantizar una elaboración inocua y eficiente. Debe reconocerse también que la capacitación del personal es fundamental para que el sistema de HACCP resulte eficaz. Cuando se siguen los principios de HACCP se pide a los usuarios que enumeren todos los posibles riesgos que es razonable prever que se producirán para cada tipo de producto y en cada fase o procedimiento que integran el proceso, desde el punto de recolección, pasando por la descarga, el transporte y el almacenamiento, hasta la elaboración, según corresponda en el proceso definido. Es importante que los principios de HACCP se examinen para cada situación concreta a fin de tener en cuenta los riesgos de la operación.

5.2 Análisis en puntos de corrección de defectos

Puesto que este Código no se refiere exclusivamente a los peligros relacionados con la inocuidad sino que abarca también otros aspectos de la producción, incluidas las disposiciones esenciales sobre calidad, composición y etiquetado de los productos que figuran en las normas sobre productos elaboradas por la Comisión del Codex Alimentarius, no sólo se han descrito en él los puntos críticos de control (PCC), sino que además se han incluido los puntos de corrección de defectos (PCD). Los principios de HACCP pueden utilizarse para determinar un PCD tomando en consideración los parámetros relativos a la calidad, y no a la inocuidad, en las diversas fases.

5.3 Aplicación

Revisión de los planes de HACCP y de PCD (Sección 5.3.10)

Figura 5.1 Esquema resumido de la aplicación de un sistema de HACCP y un análisis de defectos

En cada establecimiento donde se elaboran productos de la acuicultura, moluscos y pescado se garantizará la observancia de las disposiciones de las normas del Codex correspondientes. Para ello, en cada establecimiento se aplicará un sistema de gestión de la inocuidad de los alimentos basado en los principios de HACCP y se estudiará como mínimo un sistema análogo para los defectos, que en ambos casos se describen en este Código. Previamente a la aplicación del sistema de HACCP a cualquier segmento de una cadena de cría, manipulación y elaboración de pescado y productos pesqueros, se debe contar en dicho segmento con el apoyo de un programa de requisitos previos basado en unas buenas prácticas de higiene (véase la Sección 3). Cabe señalar que, en el ámbito de un proceso específico, determinadas partes del programa de requisitos previos podrán clasificarse como PCC o bien como PCD.

El sistema de gestión de los alimentos deberá indicar la responsabilidad, la autoridad y las relaciones recíprocas de todo el personal encargado de dirigir, realizar y verificar las tareas relacionadas con el funcionamiento de tales sistemas. Es importante que la recopilación, cotejo y evaluación de datos científicos y técnicos estén a cargo de un equipo multidisciplinario. Lo ideal sería que ese equipo estuviera integrado por personas con el grado de competencia adecuado, junto con otras personas que tuvieran un profundo conocimiento del proceso y del producto en cuestión. De este equipo podrían formar parte, por ejemplo, el director del establecimiento de elaboración, un microbiólogo, un especialista en garantía/control de calidad, así como compradores, operadores, etc., en caso necesario. Puede que no sea posible establecer un equipo de esa índole para las operaciones en pequeña escala, y que por lo tanto haya que solicitar asesoramiento externo.

Se indicará el ámbito de aplicación del plan de HACCP y se describirán los segmentos de la cadena a los que afecta y las categorías generales de riesgos que han de afrontarse.

Al formular este programa se identificarán los puntos críticos de control de la operación en la que haya de inspeccionarse el establecimiento o el producto, la especificación o norma que debe cumplirse, la frecuencia de los controles y el plan de muestreo que se utilizará en el punto crítico de control, así como el sistema de vigilancia utilizado para registrar los resultados de estas inspecciones y toda medida correctiva que sea necesaria. Se dispondrá de un registro para cada punto crítico de control, en el que se demuestre que se están aplicando los procedimientos de vigilancia y las medidas correctivas correspondientes. Los registros se conservarán para verificación y constancia del programa de garantía de calidad del establecimiento. Podrán utilizarse registros y procedimientos análogos para los PCD manteniendo registros en la medida en que sea necesario. Como parte del programa de HACCP se establecerá un método para identificar, describir y localizar los registros relacionados con los programas de HACCP.

Las actividades de verificación comprenden la aplicación de métodos, procedimientos (examen/comprobación) y pruebas, además de las que se utilizan en las operaciones de vigilancia para determinar:

Cuadro 5.1 Descripción del producto para atún en conserva en agua salada

Nombre o nombres del producto

Objetivo

Ejemplo

Identificar la especie y el método de elaboración

Atún en conserva en agua salada

Procedencia de la materia prima

Describir el origen del pescado

Rabil o atún de aleta amarilla capturado con red de cerco en el Golfo de Guinea Congelado entero en salmuera

Características importantes del producto final

Enumerar las características que afectan a la inocuidad y calidad esencial de producto, especialmente las que influyen en la flora microbiana

Cumplimiento de la Norma del Codex para el Atún y Bonito en Conserva; alimento “poco ácido”; integridad del cierre hermético del envase

Ingredientes

Enumerar toda sustancia añadida durante la elaboración. Sólo podrán utilizarse ingredientes aprobados por el organismo oficial competente.

Agua, sal

Envasado

Enumerar todos los materiales de envasado. Sólo podrán utilizarse materiales aprobados por el organismo oficial competente.

Recipiente de acero revestido de cromo, capacidad: 212 ml, peso neto total: 185 g, peso del pescado: 150g. Apertura tradicional

Cómo ha de utilizarse el producto final

Indicar cómo ha de prepararse el producto final antes de servirlo, especialmente si está listo para el consumo

Listo para el consumo

Tiempo de conservación (si procede)

Indicar la fecha en que cabe prever que el producto empezará a deteriorarse si se almacena conforme a las instrucciones

3 años

Dónde se venderá el producto

Indicar el mercado de destino. Esta información facilitará el cumplimiento de los reglamentos y normas del mercado de destino

Mercado minorista interno

Instrucciones especiales de etiquetado

Enumerar todas las instrucciones necesarias para el almacenamiento y preparación sin riesgo del producto

“Preferiblemente antes de la fecha que figura en la etiqueta”

Control especial de la distribución

Enumerar todas las instrucciones necesarias para la distribución sin riesgo del producto

Ninguna


El modo de poner en práctica los principios de HACCP queda mejor reflejado en la secuencia lógica de aplicación del sistema de HACCP (Figura 5.1).

Este diagrama de flujo se presenta aquí a título meramente ilustrativo. Para la aplicación concreta del sistema de HACCP en un establecimiento será necesario preparar un diagrama de flujo completo y detallado para cada proceso.

Los números remiten a las secciones correspondientes del Código.

Figura 5.2 Ejemplo de diagrama de flujo para una cadena de elaboración de atún en conserva

5.3.1 Descripción del producto

Se efectuará una minuciosa descripción del producto en cuestión para comprenderlo y conocerlo mejor. De este modo se facilitará la identificación de los posibles peligros o defectos. En el Cuadro 5.1 se ofrece un ejemplo del tipo de información que ha de utilizarse para describir un producto.

5.3.2 Diagrama de flujo

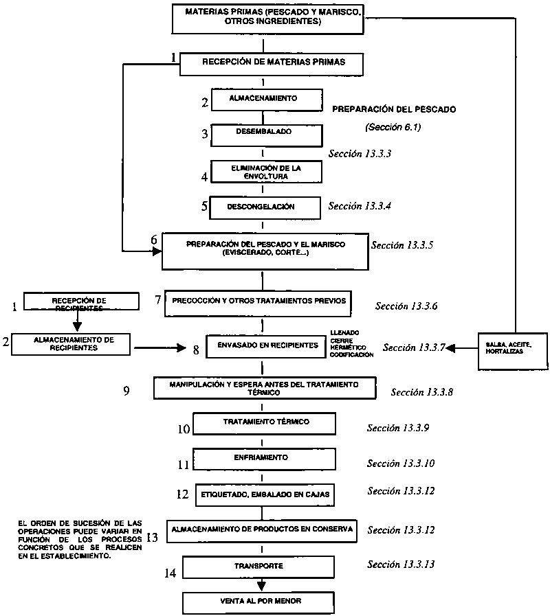
Para efectuar un análisis de riesgos y defectos es necesario examinar atentamente tanto el producto como el proceso, y preparar el diagrama o los diagramas de flujo correspondientes. Cada diagrama de flujo debe ser lo más sencillo posible. En él deberán indicarse claramente, en el correspondiente orden de sucesión, todas las fases del proceso, incluidas las demoras, desde la selección de las materias primas, pasando por la elaboración, la distribución y la venta, hasta la manipulación del producto por el consumidor, con datos técnicos suficientes para evitar ambigüedades. Si un proceso es demasiado complejo para que pueda representarse fácilmente en un único diagrama de flujo, se podrá subdividir en sus distintos componentes, a condición de que se definan con claridad las relaciones entre las distintas partes. Es conveniente numerar y reseñar cada fase de elaboración para facilitar la consulta. Un diagrama de flujo preciso y bien concebido permitirá al equipo multidisciplinario hacerse una idea clara de la secuencia del proceso. Una vez se hayan identificado los PCC y los PCD, podrán incorporarse al diagrama de flujo específico para cada establecimiento de elaboración. En la Figura 5.2 se presenta un ejemplo de diagrama de flujo para una cadena de elaboración de atún en conserva. Para ejemplos de los diferentes procesos, véanse las Figuras 6.1a 15.1 en las distintas secciones del Código relativas a la elaboración.

5.3.3 Realización del análisis de peligros y defectos

Los objetivos del análisis de los peligros son identificar todos los peligros para la inocuidad de los alimentos en cada fase, determinar su importancia y evaluar si están disponibles medidas de control para esos peligros en cada fase. El análisis de los defectos cumple la misma función en lo que respecta a los posibles defectos de calidad.

5.3.3.1 Identificación de peligros y defectos

Nunca se insistirá suficientemente en que, siempre que sea posible y viable, cada establecimiento ha de reunir datos científicos y técnicos apropiados para cada fase, desde la producción primaria, la elaboración, la fabricación, el almacenamiento y la distribución hasta el punto de consumo. La compilación y el carácter de esta información deberán ser tales que permitan al equipo multidisciplinario identificar y enumerar, en cada fase del proceso, todos los posibles peligros y defectos que, si no se aplicaran medidas de control, podrían dar lugar a la producción de un alimento inaceptable. En el Cuadro 5.2 se resumen posibles peligros para la inocuidad del pescado y los mariscos que entran en el establecimiento, antes de su captura/recolección y durante ésta, y en el Cuadro 5.3 se resumen posibles peligros para la inocuidad del pescado y los mariscos que entran en el establecimiento, después de su captura/recolección y durante su elaboración ulterior.

Es importante identificar para cada operación los posibles peligros y defectos relacionados con la construcción de las instalaciones, los equipos utilizados en ellas y las prácticas de higiene, incluidas las que pudieran estar asociadas con el empleo de hielo y agua. Esto forma parte del programa de requisitos previos, y se utiliza para señalar peligros que están presentes prácticamente en todos los momentos del proceso.

Cuadro 5.2: Ejemplos de peligros para el pescado y los mariscos que entran en el establecimiento, antes de su captura/recolección y en el curso de ésta

Biológicos

Químicos

Físicos

Parásitos:

Parásitos importantes para la salud pública: trematodos, nematodos, cestodos

Productos agroquímicos:

Plaguicidas, herbicidas, algicidas, fungicidas, antioxidantes (añadidos a los piensos)

Materias extrañas

Anzuelos de pesca

Bacterias patógenas:

Salmonella, Sighella, E. Coli, Vibrio cholerae, Vibrio parahaemolyticus, Vibrio vulnificus

Residuos de medicamentos veterinarios:

Antibióticos, promotores del crecimiento (hormonas), otros aditivos alimentarios



Virus entéricos:

Virus de Norwalk

Metales pesados:

Metales lixiviados de sedimentos marinos y del suelo, desechos industriales, aguas negras o estiércol

Toxinas biológicas:

Tetrodotoxina; ciguatoxina [biotoxinas que producen parálisis tóxica (PSP), diarrea tóxica (DSP), neurotoxicidad (NSP), amnesia tóxica (ASP)]





Varios:

Petróleo


Cuadro 5.3: Ejemplos de peligros introducidos en el pescado y los mariscos que entran en el establecimiento, después de su captura/recolección y durante su ulterior elaboración*

Biológicos

Químicos

Físicos

Bacterias patógenas:

Listeria monocytogenes, Clostridium botulinum, Staphylococcus aureus

Productos químicos:

Desinfectantes, agentes de saneamiento o lubricantes (aplicación incorrecta)

Materias extrañas:

Fragmentos de metal; objetos duros o afilados

Virus entéricos:

Hepatitis A, Rotovirus


Desinfectantes, agentes de saneamiento o lubricantes (no aprobados)



Toxinas biológicas:

Escombrotoxina, enterotoxina del estafilococo, toxina del botulismo





Ingredientes y aditivos:

Aplicación incorrecta y productos no aprobados

Nota: En lo que concierne a los peligros biológicos, los factores ambientales (como por ejemplo la temperatura, la disponibilidad de oxígeno, el pH y la Aw), desempeñan una función importante en su actividad y crecimiento, por lo que el tipo de elaboración a la que se someterá el pescado, y su almacenamiento posterior, determinarán su peligro para la salud humana y su inclusión en un plan de gestión de la inocuidad de los alimentos. Además, algunos peligros pueden mostrar, a través de su existencia y manifestación en el abastecimiento de agua, cierto grado de superposición entre los dos niveles de acción.

* Para los peligros relacionados con productos concretos, véase la Sección sobre elaboración correspondiente.

En el ejemplo del atún en conserva presentado en esta Sección, pueden identificarse los posibles peligros esenciales siguientes:

Cuadro 5.4: Ejemplo de posibles peligros esenciales para el atún en conserva


En las materias primas (atún congelado)

Durante la elaboración, almacenamiento o transporte

Biológicos

Presencia de Cl. botulinum. Presencia de histamina

Contaminación por Cl. botulinum, crecimiento de Cl. botulinum, supervivencia de esporas de Cl. botulinum, contaminación y proliferación de Staphylococcus aureus.
Recontaminación microbiana después del tratamiento térmico.
Producción de histamina durante la elaboración.
Producción de estafilotoxina.

Químicos

Presencia de metales pesados

Recontaminación por metales procedentes de las latas.
Recontaminación por productos de limpieza, salmuera, grasa de la maquinaria,...

Físicos

Poco probables

Recontaminación durante la elaboración (trozos de cuchillos, recontaminación por las latas,...)


En el ejemplo del atún en conserva presentado en esta sección, pueden identificarse los posibles defectos esenciales siguientes:

Cuadro 5.5: Ejemplo de posibles defectos esenciales para el atún en conserva


En las materias primas (atún congelado)

Durante la elaboración, almacenamiento o transporte de latas

Biológicos

Descomposición

Descomposición, supervivencia de microorganismos causantes de la descomposición,...

Químicos


Oxidación durante el almacenamiento,...

Físicos


Materias extrañas (vísceras, escamas, piel,...), formación de cristales de estruvita, defectos de los recipientes (abombamiento,...)...

Otros

Sustitución de especies

Sabores anómalos, peso incorrecto, código incorrecto, etiqueta incorrecta


5.3.3.1.1 Peligros

Es igualmente importante tener en cuenta los peligros para la inocuidad naturalmente presentes en el medio en que se recolecta o captura el pescado. En general, los alimentos marinos que proceden de mares no contaminados suponen un riesgo bajo para el consumidor si se han manipulado de acuerdo con los principios de las buenas prácticas de fabricación. Sin embargo, como sucede con todos los alimentos, existen ciertos riesgos sanitarios asociados con el consumo de determinados productos, que pueden aumentar en caso de que la manipulación posterior a la captura haya sido incorrecta. Los peces que provienen de determinados tipos de ambiente marino, como por ejemplo los arrecifes tropicales, pueden comportar para el consumidor un peligro de contaminación por toxinas naturales como la ciguatera. En determinadas circunstancias los productos de la acuicultura pueden suponer un peligro mayor de efectos nocivos para la salud que el pescado capturado en el medio marino. Los peligros de enfermedades transmitidas por el consumo de productos de la acuicultura dependen de los ecosistemas continentales y costeros, donde las posibilidades de contaminación ambiental son mayores con respecto a las pesquerías de captura. En algunas partes del mundo, donde el pescado se consume crudo o cocido parcialmente, existe un peligro mayor de que este alimento transmita enfermedades parasitarias o bacterianas. Para poder llevar a cabo un análisis de peligros como parte del proceso de formulación de un plan de HACCP, las personas que elaboran pescado deben disponer de información científica sobre los posibles peligros relacionados con las materias primas y los productos que se destinarán a ulterior elaboración.

5.3.3.1.2 Defectos

Los posibles defectos se resumen en los requisitos esenciales de calidad, etiquetado y composición que se describen en las normas del Codex enumeradas en el Apéndice XII. Cuando no existen normas del Codex, deberán tenerse en cuenta los reglamentos nacionales y/o las especificaciones comerciales.

Las especificaciones para el producto final descritas en los Apéndices II-IX constituyen requisitos facultativos, con los que se procura ayudar a los compradores y vendedores mediante la descripción de disposiciones frecuentes en las transacciones comerciales o la formulación de especificaciones para los productos finales. Estos requisitos están destinados al empleo voluntario por los interlocutores comerciales y no a la aplicación por parte de los gobiernos.

5.3.3.2 Importancia de los peligros y defectos

Una de las tareas más importantes que deben llevarse a cabo como parte del sistema de gestión de la inocuidad de los alimentos en un establecimiento de elaboración consiste en determinar si los peligros o defectos identificados en cada fase son importantes. Los dos factores básicos que determinan si un peligro o defecto es importante a efectos del sistema de HACCP son la probabilidad de que se produzca un efecto perjudicial para la salud y la gravedad de ese efecto. Un peligro que tenga efectos muy graves, como la muerte causada por la toxina Clostridium botulinum, tal vez suponga un peligro socialmente inaceptable aunque la probabilidad de que se produzca sea muy baja, y justificará por tanto la aplicación de controles de HACCP (es decir será un peligro importante a efectos del sistema de HACCP). En consecuencia, en el atún elaborado en conserva, Clostridium botulinum se considerará un peligro importante que habrá de controlarse mediante la aplicación de un programa validado de tratamiento térmico. Por otra parte, es posible que un peligro de gravedad relativamente baja, como la gastroenteritis leve, no justifique los controles de HACCP con una probabilidad igualmente baja de que se produzca, y por consiguiente no será importante a efectos del sistema de HACCP.

La información recogida durante la actividad de descripción del producto (véase la Sección 5.3.1, Descripción del producto) podría ser también de ayuda para determinar la importancia, ya que factores como el modo en que el consumidor consumirá probablemente el producto (por ejemplo, crudo o cocido), el tipo de consumidor que probablemente lo consumirá (por ejemplo, personas inmunodeficientes, ancianos, niños, etc.) y el método de almacenamiento y distribución (por ejemplo, refrigerado o congelado) afectarán a la probabilidad de que se produzca un peligro o defecto.

Una vez se hayan identificado peligros y defectos importantes, deberán evaluarse las posibilidades de que se introduzca o controle en cada fase del proceso. La utilización de un diagrama de flujo (véase la Sección 5.3.2 - Diagrama de flujo) es útil para ese fin. Deberán estudiarse medidas de control para el peligro o peligros y el defecto o defectos importantes asociados con cada fase, con el fin de eliminar su posible presencia o reducirla a un nivel aceptable. Es posible aplicar más de una medida de control para afrontar un peligro o defecto. A título ilustrativo, los Cuadros 5.6 y 5.7 muestran un método para enumerar los peligros y defectos importantes y las correspondientes medidas de control para la fase de elaboración “Tratamiento térmico”.

Cuadro 5.6 Ejemplo del peligro importante de supervivencia de Cl. botulinum en la fase del tratamiento térmico del atún en conserva

Fase de elaboración

Posible peligro

¿Es importante el posible peligro?

Justificación

Medidas de control

12. Tratamiento térmico

Esporas viables de Cl. botulinum


Un tratamiento térmico ineficaz podría dar lugar a la supervivencia de esporas de C. Botulinum y por tanto a la posibilidad de producción de toxinas

Cerciorarse de que se aplica calor suficiente durante un período de tiempo apropiado en autoclave


Cuadro 5.7 Ejemplo del defecto importante de ranciedad durante el almacenamiento de atún congelado para la elaboración de atún en conserva

Fase de elaboración

Posible defecto

¿Es importante el posible defecto?

Justificación

Medidas de control

2. Almacenamiento de atún congelado

Olores o sabores objetables claros y persistentes que indican ranciedad


El producto no cumple los requisitos de calidad o los requisitos de los consumidores

Regulación de la temperatura en los locales de almacenamiento
Procedimientos de gestión de las existencias
Procedimientos de mantenimiento del sistema de refrigeración
Capacitación y calificación del personal.


Cuadro 5.8 Ejemplo esquemático de análisis de riesgos con las medidas de control correspondientes y la aplicación del árbol de decisiones del Codex para determinar un punto crítico de control en la fase de elaboración N° 12 del proceso que se cita como ejemplo en la Figura 5.2.

Fase de elaboración N° 12
Tratamiento térmico

Aplicación del árbol de decisiones del Codex

Posibles peligros

Medidas de control

Esporas viables de Clostridium botullinum

Cerciorarse de que se aplica calor suficiente durante un período de tiempo apropiado en autoclave

P1: ¿Existen medidas de control?
Si es así - pasar a P2.
Si no es así - examinar si están disponibles o son necesarias medidas de control dentro del proceso.
Pasar al siguiente peligro identificado.

P2: ¿Se ha concebido expresamente esta fase para eliminar la probable presencia de Cl. botulinum o reducirla a un nivel aceptable?
Si es así - esta fase es un PCC.
Si no es así - pasar a P3.

P3: ¿Podría producirse una contaminación superior a los niveles aceptables o podrían aumentar estos niveles hasta ser inaceptables?
Si es así - pasar a P4.
Si no es así - esta fase no es un PCC.

P4: ¿Se eliminará o reducirá el peligro a un nivel aceptable en una fase posterior?
Si es así - esta fase no es un PCC.
Si no es así - esta fase es un PCC.
¿Qué sucedería si se examinara una fase anterior?

R: Sí, se ha definido claramente un procedimiento (programa, método) para el tratamiento térmico.

R: Sí, esta fase se concibió expresamente para eliminar las esporas.



Decisión: La fase de elaboración N° 12, “Tratamiento térmico”, es un punto crítico de control.


5.3.4 Determinación de puntos críticos de control y de puntos de corrección de defectos

Para asegurar tanto la inocuidad de los alimentos como el cumplimiento de los elementos relacionados con las disposiciones sobre calidad esencial, composición y etiquetado de las normas del Codex correspondientes, es importante determinar de manera minuciosa y concisa los puntos críticos de control y los puntos de corrección de defectos en un proceso. El árbol de decisiones del Codex (Figura 5.1, fase 7) es un instrumento que puede utilizarse para determinar los PCC; también es posible aplicar un sistema similar para los PCD. La utilización de este árbol de decisiones permite evaluar un peligro o defecto importante en una fase mediante una secuencia lógica de preguntas. Cuando se han identificado los PCC y PCD en una fase, hay que controlar ese momento del proceso para prevenir, reducir o eliminar la probable presencia del peligro o defecto a un nivel aceptable. A título ilustrativo, en los Cuadros 5.4 y 5.5 se ofrecen ejemplos de la aplicación del árbol de decisiones del Codex a un peligro y a un defecto, respectivamente, utilizando una cadena de elaboración de atún en conserva.

Cuadro 5.9 Ejemplo esquemático de un análisis de defectos con las medidas de control correspondientes y la aplicación del árbol de decisiones del Codex para determinar un punto de corrección de defectos en la fase de elaboración N° 2 del proceso que se cita como ejemplo en la Figura 5.2.

Fase de elaboración N°2
Almacenamiento de atún congelado

Aplicación del árbol de decisiones del Codex

Posibles defectos

Medidas de control

Olores o sabores objetables claros y persistentes, que indican ranciedad

Regulación de la temperatura en los locales de almacenamiento
Procedimientos de gestión de las existencias.

P1: ¿Existen medidas de control?
Si es así - pasar a P2.
Si no es así - examinar si están disponibles o son necesarias medidas de control dentro del proceso. Pasar al siguiente defecto identificado.

P2: ¿Se ha concebido expresamente esta fase para eliminar o reducir la probable presencia de ranciedad a un nivel aceptable?
Si es así - esta fase es un PCD.
Si no es así - pasar a P3.

P3: ¿Podría producirse una ranciedad superior a los niveles aceptables o podrían aumentar estos niveles hasta ser inaceptables?
Si es así - Pasar a P4.
Si no es así - Esta fase no es un PCD.

P4: ¿Se eliminará o reducirá la probable presencia de la ranciedad a un nivel aceptable en una fase posterior?
Si es así - esta fase no es un PCD.
Si no es así - esta fase es un PCD. ¿Qué sucedería si se examinara una fase anterior?

R: Sí, se ha regulado la temperatura de almacenamiento y existen los procedimientos oportunos.

R: No.

R: Sí, el tiempo de almacenamiento es demasiado prolongado y/o la temperatura de almacenamiento es demasiado alta.

R: No.

Decisión: La fase de elaboración N° 2, “Almacenamiento de atún congelado”, es un punto de corrección de defectos.


5.3.5 Establecimiento de límites críticos

Deberán especificarse límites críticos para el control del peligro o defecto en cada PCC y PCD. Puede que sea necesario designar más de un límite crítico para cada medida de control en relación con un determinado peligro o defecto. El establecimiento de límites críticos se basará en datos científicos y será validado por expertos técnicos competentes a fin de garantizar su eficacia para controlar el peligro o defecto en cuestión. En el Cuadro 5.10 se indican límites críticos para un PCC y un PCD utilizando el ejemplo de una cadena de elaboración de atún en conserva.

5.3.6 Establecimiento de procedimientos de vigilancia

Todo sistema de vigilancia que elabore el equipo multidisciplinario deberá estar proyectado para detectar pérdidas de control en un PCC o un PCD con respecto a su límite crítico. La actividad de vigilancia de un PCC o un PCD se documentará en forma concisa, ofreciendo información detallada sobre la persona encargada de la observación o medición, la metodología utilizada, el parámetro o los parámetros que se están vigilando y la frecuencia de las inspecciones. También se examinará atentamente la complejidad del procedimiento de vigilancia. Entre los factores que han de tenerse en cuenta se incluyen la determinación del número idóneo de personas que han de efectuar la medición y la selección de los métodos apropiados con los que se obtendrán resultados rápidos (por ejemplo: tiempo, temperatura, pH). Por lo que respecta a los PCC, una persona encargada de la verificación certificará y fechará los registros de vigilancia.

Dado que cada proceso es exclusivo de cada producto pesquero, sólo es posible presentar, a título ilustrativo, un ejemplo de sistema de vigilancia para un PCC y un PCD basado en la utilización de una cadena de elaboración de atún en conserva. El ejemplo figura en el Cuadro 5.10.

5.3.7 Establecimiento de medidas correctivas

Para que resulte eficaz, el plan de HACCP o de PCD ha de tener carácter preventivo, pero hay que tener presente que en ocasiones pueden ser necesarias medidas correctivas. Deberá establecerse un programa documentado de medidas correctivas para hacer frente a los casos en que se ha superado el límite crítico y se ha producido una pérdida de control en un PCC o un PCD. El objetivo de ese plan es asegurar que haya controles amplios y específicos y que puedan aplicarse para impedir que el lote o lotes afectados lleguen a los consumidores. Igualmente importante es que la administración del establecimiento y otro personal competente lleven a cabo una evaluación para determinar la razón o razones por las que se ha perdido el control. En este último caso, puede que sea necesario modificar los planes de HACCP y de PCD. Deberá haber una persona encargada de llevar un registro en el que se documenten los resultados de la investigación y las medidas adoptadas para cada caso de pérdida de control en un PCC o un PCD. Ese registro demostrará que se ha restablecido el control del proceso. En el Cuadro 5.10 se ofrece un ejemplo de programa de medidas correctivas para un PCC y un PCD basado en la utilización de una cadena de elaboración de atún en conserva.

5.3.8 Establecimiento de procedimientos de verificación

Todo establecimiento de elaboración deberá establecer un procedimiento de verificación para evaluar periódicamente si los planes de HACCP y de PCD son completos y se aplican y funcionan correctamente. Este trámite permitirá determinar si los PCC y PCD están bajo control. Cabe citar como ejemplos de actividades de verificación la validación de todos los componentes del plan de HACCP, con inclusión de un estudio del sistema de HACCP y de sus procedimientos y registros, un examen de las medidas correctivas y de las disposiciones para deshacerse de los productos cuando no se cumplen los límites críticos y la validación de los límites críticos establecidos. Esta última actividad es de especial importancia cuando se produce un fallo inexplicado del sistema, cuando se prevé introducir un cambio importante en el proceso, el producto o el envasado, o cuando se han identificado nuevos peligros o defectos. También deberán incorporarse al procedimiento de verificación, cuando proceda, actividades de observación, medición e inspección dentro del establecimiento de elaboración. Las actividades de verificación deberán estar a cargo de personas competentes y calificadas. La frecuencia de la verificación de los planes de HACCP y de PCD deberá ser suficiente para ofrecer garantías de que su formulación y aplicación impedirán que se planteen problemas de inocuidad y cuestiones relacionadas con las disposiciones sobre calidad esencial, composición y etiquetado de la norma del Codex correspondiente, a fin de poder detectar los problemas y resolverlos prontamente. En el Cuadro 5.10 se ofrece, a título ilustrativo, un ejemplo de procedimiento de verificación para un PCC y un PCD basado en la utilización de una cadena de elaboración de atún en conserva.

5.3.9 Establecimiento de procedimientos de documentación y mantenimiento de registros

La documentación puede incluir los procedimientos de determinación y verificación del análisis de riesgos y de los CCP.

Un sistema de mantenimiento de registros actualizado, preciso y conciso aumentará enormemente la eficacia del programa de HACCP y facilitará el proceso de verificación. En esta sección se han ofrecido, a título ilustrativo, ejemplos de los elementos de un plan de HACCP que deberán documentarse. Los registros de las inspecciones y de las medidas correctivas deberán ser prácticos y recoger todos los datos necesarios y apropiados para demostrar el control “en tiempo real” o el control de una desviación respecto de un PCC. Para los PCD los registros son recomendables, pero no imprescindibles salvo cuando se produce una pérdida de control. En el Cuadro 5.10 se ofrece, a título ilustrativo, un ejemplo de procedimiento de mantenimiento de registros para un PCC y un PCD basado en la utilización de una cadena de elaboración de atún en conserva.

5.3.10 Examen de los planes de HACCP y de PCD

Una vez finalizadas todas las fases para el establecimiento de planes de HACCP y de PCD que se esbozan en la Figura 1, se llevará a cabo un examen detallado de todos los componentes. La finalidad de ese examen es verificar que los planes pueden cumplir sus objetivos.

Cuadro 5.10 Ejemplo de los resultados de la aplicación de los principios de HACCP a dos fases concretas del proceso de elaboración de atún en conserva (Cuadros 5.8 y 5.9), para un PCC y un PCD, respectivamente.

PCC

Fase de elaboración N° 12: Tratamiento térmico
Peligro: Esporas viables de Clostridium botulinum

Límite crítico

Procedimiento de vigilancia

Medida correctiva

Registros

Verificación

Los parámetros específicos relacionados con el tratamiento térmico.

Quién: Persona calificada asignada al tratamiento térmico
Qué: Todos los parámetros
Frecuencia: Cada lote
Cómo: Controles del programa de esterilización y de otros factores

Quién: Personal capacitado competente
Qué: Readiestramiento del personal
Nuevo tratamiento térmico o destrucción del lote
Mantenimiento correctivo del equipo
Conservación del producto hasta que pueda evaluarse su inocuidad
Quién: Personal capacitado competente

Registros de vigilancia, de las medidas correctivas, de la evaluación del producto, de la calibración, de la validación, de las auditorías, del examen del plan de HACCP

Validación, evaluación de productos acabados, auditoría interna, examen de registros, calibración de la maquinaria (puede ser un requisito previo), examen del plan de HACCP, auditoría externa

PCD

Fase de elaboración N° 2: Almacenamiento de atún congelado
Peligro: Olores o sabores objetables claros y persistentes que indican ranciedad

Límite crítico

Procedimiento de vigilancia

Medida correctiva

Registros

Verificación

El número de unidades rancias de la muestra no puede exceder del número de aceptaciones del plan de muestreo establecido.
Temperatura y tiempo de almacenamiento

Quién: Personal capacitado competente
Cómo: Examen organoléptico Ensayos químicos
Comprobación de la temperatura en el lugar de almacenamiento
Comprobación de los formularios de existencias
Qué: Calidad y aceptabilidad del pescado tomando como base la norma del Codex para el producto
Frecuencia: Cuando sea necesario

Qué: Vigilancia intensificada
Con arreglo a los resultados de esa inspección intensificada, elaboración inmediata, clasificación o rechazo del atún congelado que exceda de los límites críticos.
Reajuste de la temperatura de almacenamiento
Readiestramiento del personal
Quién: Personal capacitado competente

Resultados del análisis
Formularios de existencias
Registros de las temperaturas

Auditoría sobre el terreno
Examen de los informes sobre vigilancia y medidas correctivas


Conclusión

En la Sección 5 se ha ofrecido una demostración de los principios de HACCP y de cómo han de aplicarse a un proceso para garantizar la inocuidad del producto. Los mismos principios pueden servir para determinar los puntos de un proceso en los que es necesario controlar los defectos. Puesto que cada establecimiento y cada cadena de elaboración es diferente, en este Código sólo el posible indicar los tipos de posibles peligros y defectos que han de tenerse en cuenta. Además, dada la distinta importancia de los peligros y defectos, no es posible determinar en forma categórica qué fases de un proceso serán PCC y/o PCD sin evaluar efectivamente el proceso, sus objetivos, las condiciones en que se desarrolla y los resultados previstos. El ejemplo de la cadena de elaboración de atún en conserva tiene por objeto ilustrar cómo han de aplicarse los principios y por qué cada plan de HACCP y de PCD ha de ser específico para cada operación.

Las secciones restantes del Código se centran en la elaboración de pescado y productos pesqueros y tratan de ilustrar los posibles peligros y defectos en las diversas etapas de una amplia variedad de procesos. Al establecer un plan de HACCP o de PCD, será necesario consultar las Secciones 3 y 5 antes de pasar a las secciones sobre elaboración correspondientes en busca de asesoramiento concreto. Se observará también que la Sección 6 trata de la elaboración de pescado fresco, congelado y picado, y ofrece orientación útil para casi todas las operaciones de elaboración de pescado.

SECCIÓN 6 - Elaboración de pescado fresco, congelado y picado


6.1 Preparación del pescado
6.2 Elaboración de pescado envasado en atmósfera modificada
6.3 Elaboración de pescado congelado
6.4 Elaboración de pescado picado
6.5 Envases, etiquetas e ingredientes

Con miras a reconocer los controles en las distintas fases de elaboración, en esta sección se ofrecen ejemplos de posibles peligros y defectos y se describen directrices tecnológicas que pueden utilizarse para establecer medidas de control y medidas correctivas. Para cada fase concreta, sólo se enumeran los peligros y defectos que podrían introducirse y controlarse en ella. Hay que tener presente que, al preparar un plan de HACCP y/o de PDC, es esencial consultar la Sección 5, en la que se ofrece orientación para la aplicación de los principios de HACCP y de PCD. Sin embargo, dentro del ámbito de aplicación de este Código de Prácticas, no es posible dar detalles de los límites críticos, la vigilancia, el mantenimiento de registros y la verificación para cada una de las fases, ya que son específicos de los peligros y defectos concretos.

En general, la complejidad de los procesos de elaboración de pescado fresco, congelado y picado varía considerablemente. En su forma más sencilla, el pescado fresco, congelado y picado elaborado puede presentarse crudo ya limpio, en filetes o picado, para ser distribuido en mercados e instituciones o utilizado en establecimientos de elaboración. En este último caso, la elaboración de pescado fresco, congelado y picado constituye a menudo una fase intermedia para la obtención de productos con valor añadido (por ejemplo, pescado ahumado, que se describe en la Sección 12, pescado en conserva, que se describe en la Sección 13, o pescado congelado empanado o rebozado, que se describe en la Sección 15). Cuando se formula un proceso, prevalecen a menudo los métodos tradicionales. Sin embargo, la tecnología de los alimentos moderna y científica está contribuyendo de manera creciente a mejorar la conservación y la estabilidad en almacén de los productos. Independientemente de la complejidad de cada proceso, la fabricación del producto deseado se basa en la ejecución consecutiva de las distintas fases. Como se subraya en este Código, la aplicación de los elementos apropiados del programa de requisitos previos (Sección 3) y de los principios de HACCP (Sección 5) en esas fases proporcionará a los elaboradores una garantía razonable de que se cumplirán las disposiciones sobre calidad esencial, composición y etiquetado de las normas del Codex correspondientes y de que se controlará la inocuidad de los alimentos.

El ejemplo del diagrama de flujo (Figura 6.1) puede servir de guía en algunas fases habituales en una cadena de preparación de filetes de pescado y para tres tipos de producto final: pescado envasado en atmósfera modificada (EAM), pescado picado y pescado congelado. Como en el caso de la elaboración ulterior de pescado fresco para obtener un producto EAM, de pescado picado o de pescado congelado, la Sección “Preparación del pescado” constituye la base para todas las demás operaciones de elaboración de pescado (Secciones 7-15), si es el caso.

Este diagrama de flujo se presenta aquí a título meramente ilustrativo. Para la aplicación concreta del sistema de HACCP en un establecimiento será necesario preparar un diagrama de flujo completo y detallado para cada proceso.

Los números remiten a las Secciones correspondiente del Código

Figura 6.1 Ejemplo de diagrama de flujo para una cadena de preparación de filetes de pescado, incluidas las operaciones de EAM, picado y congelación

6.1 Preparación del pescado

Las condiciones de higiene y los métodos técnicos de preparación son similares para los distintos tipos de pescado y el fin a que éstos se destinan (distribución directa o elaboración ulterior) no influye excesivamente en ellos. Sin embargo, se observan variaciones entre las formas en que se presenta la carne del pescado fresco. Estas formas incluyen, entre otras, el pescado ya limpio, los filetes y las rodajas.

6.1.1 Recepción de pescado crudo fresco o congelado (Fase de elaboración 1)

Posibles peligros:

Patógenos microbiológicos, parásitos viables, biotoxinas, productos químicos (incluidos residuos de medicamentos veterinarios) y contaminación física.

Posibles defectos:

Descomposición, parásitos, contaminación física


Orientación técnica:

6.1.1.1 Evaluación sensorial del pescado

La mejor manera de evaluar el grado de frescura o descomposición del pescado consiste en aplicar técnicas de evaluación sensorial[22]. Se recomienda que se apliquen criterios apropiados de evaluación sensorial para determinar la aceptabilidad del pescado y eliminar el pescado que presente una merma con respecto a las disposiciones sobre calidad esencial de las normas correspondientes del Codex. Por ejemplo, el pescado fresco de especies blancas se considera inaceptable si presenta las características siguientes:

Piel/baba: arenosa, colores apagados con motas de baba pardo-amarillenta

Ojos: cóncavos, opacos, hundidos, descoloridos

Agallas: gris-pardo o blanquecinas, baba amarillenta opaca, compacta o coagulada.

Olor: carne con olor a aminas, amoníaco, lechoso, láctico, sulfuro, fecal, pútrido, rancio.

6.1.2 Almacenamiento en refrigerador (Fases de elaboración 2 y 14)

Posibles peligros:

Patógenos microbiológicos y biotoxinas.

Posibles defectos:

Descomposición, daños físicos


Orientación técnica:

6.1.3 Almacenamiento en congelador (Fases de elaboración 3 y 20)

Posibles peligros:

Poco probables. Patógenos microbiológicos, toxinas, parásitos viables.

Posibles defectos:

Deshidratación, ranciedad, pérdida de calidad nutricional.


Orientación técnica:

6.1.4 Descongelación controlada (Fase de elaboración 4)

Posibles peligros:

Patógenos microbiológicos y biotoxinas.

Posibles defectos:

Descomposición.


Orientación técnica:

6.1.5 Eviscerado y lavado (Fases de elaboración 6 y 7)

Posibles peligros:

Patógenos microbiológicos y biotoxinas.

Posibles defectos:

Presencia de vísceras, magulladuras, malos olores, fallas de corte.


Orientación técnica:

6.1.6 Fileteado, desuello, recorte y examen a contraluz (Fases de elaboración 8 y 9)

Posibles peligros:

Parásitos viables, patógenos microbiológicos y biotoxinas, presencia de espinas

Posibles defectos:

Parásitos, presencia de espinas, materias objetables (por ejemplo piel, escamas, etc.), descomposición


Orientación técnica:

6.2 Elaboración de pescado envasado en atmósfera modificada

Esta sección tiene por objeto ampliar la sección relativa a la elaboración de pescado fresco incorporando en ella otras fases específicamente relacionadas con el envasado de pescado en atmósfera modificada (véase también el Apéndice I).

6.2.1 Pesaje (Fase de elaboración 10)

Posibles peligros:

Poco probables.

Posibles defectos:

Peso neto incorrecto.


Orientación técnica:

6.2.2 Envasado en atmósfera modificada (Fase de elaboración 11)

Posibles peligros:

Patógenos microbiológicos y biotoxinas posteriores, contaminación física (con metales).

Posibles defectos:

Descomposición posterior.


Orientación técnica:

La medida en que el tiempo de conservación del producto pueda prolongarse mediante el EAM dependerá de la especie, el contenido de grasa, la carga bacteriana inicial, la mezcla de gases, el tipo de material de envasado que se utilice y, sobre todo, la temperatura de almacenamiento. Para cuestiones relacionadas con el control del proceso de envasado en atmósfera modificada, véase el Apéndice I.

6.2.3 Etiquetado (Fases de elaboración 12 y 18)

Posibles peligros:

Poco probables

Posibles defectos:

Etiquetado incorrecto.


Orientación técnica:

6.2.4 Detección de metales (Fases de elaboración 13 y 19)

Posibles peligros:

Contaminación con metales

Posibles defectos:

Poco probables


Orientación técnica:

6.3 Elaboración de pescado congelado

Esta sección tiene por objeto incorporar en la sección relativa a la elaboración de pescado fresco otras fases específicamente relacionadas con la elaboración de pescado congelado.

6.3.1 Proceso de congelación (Fase de elaboración 15)

Posibles peligros:

Parásitos viables

Posibles defectos:

Deterioro de la textura, desarrollo de olor a rancio, quemaduras de congelador


Orientación técnica:

El producto pesquero se debe congelar con la mayor rapidez posible, ya que inútiles demoras antes de la congelación hacen subir su temperatura, aumentando la velocidad con que se deteriora la calidad y reduciendo el tiempo de conservación a causa de la acción de microorganismos y de reacciones químicas no deseadas.

6.3.2 Glaseado (Fase de elaboración 16)

Posibles peligros:

Patógenos microbiológicos y biotoxinas

Posibles defectos:

Deshidratación posterior, peso neto incorrecto.


Orientación técnica:

6.4 Elaboración de pescado picado

Esta sección tiene por objeto incorporar en la sección relativa a la elaboración de pescado fresco (antes del picado) y en la sección relativa al pescado congelado (después del picado) otras fases específicamente relacionadas con la elaboración de pescado picado.

6.4.1 Picado del pescado mediante un proceso de separación mecánica (Fase de elaboración 21)

Posibles peligros:

Patógenos microbiológicos y biotoxinas, contaminación física (metales, espinas, caucho de la correa del separador, etc.)

Posibles defectos:

Separación incorrecta (es decir, materias objetables), descomposición, presencia de espinas, parásitos


Orientación técnica:

6.4.2 Lavado del pescado picado (Fase de elaboración 22)

Posibles peligros:

Patógenos microbiológicos y toxinas bioquímicas.

Posibles defectos:

Color deficiente, textura deficiente, exceso de agua.


Orientación técnica:

6.4.3 Mezclado y aplicación de aditivos e ingredientes al pescado picado (Fases de elaboración 23 y 24)

Posibles peligros:

Contaminación física, aditivos y/o ingredientes no aprobados.

Posibles defectos:

Contaminación física, adición incorrecta de aditivos


Orientación técnica:

6.4.4 Envoltura y envasado (Fases de elaboración 17 y 25)

Posibles peligros:

Poco probables.

Posibles defectos:

Deshidratación posterior, descomposición.


Orientación técnica:

6.5 Envases, etiquetas e ingredientes

6.5.1 Recepción de materias primas - Envases, etiquetas e ingredientes (Fases de elaboración 26 y 28)

Posibles peligros:

Patógenos microbiológicos, biotoxinas, contaminación química y física

Posibles defectos:

Descripción incorrecta.


Orientación técnica:

6.5.2 Almacenamiento de materias primas - Envases, etiquetas e ingredientes (Fases de elaboración 27 y 29)

Posibles peligros:

Patógenos microbiológicos, biotoxinas, contaminación química y física

Posibles defectos:

Pérdida de características de calidad de los materiales de envasado o los ingredientes.


Orientación técnica:

SECCIÓN 13 - Elaboración de pescado y marisco en conserva


13.1 Consideraciones generales que complementan el programa de requisitos previos
13.2 Identificación de peligros y defectos
13.3 Operaciones de elaboración
13.4 Precocción y otros tratamientos previos

Con miras a reconocer los controles en las distintas fases de elaboración, en esta sección se ofrecen ejemplos de posibles peligros y defectos y se describen directrices tecnológicas que pueden utilizarse para establecer medidas de control y medidas correctivas. Para cada fase concreta, sólo se enumeran los peligros y defectos que podrían introducirse y controlarse en ella. Hay que tener presente que, al preparar un plan de HACCP y/o de PDC, es esencial consultar la Sección 5 (Análisis de riesgos en puntos críticos de control (HACCP) y análisis en puntos de corrección de defectos (PCD)), en la que se ofrece orientación para la aplicación de los principios de HACCP y el análisis en PCD. Sin embargo, dentro del ámbito de aplicación de este Código de Prácticas, no es posible dar detalles de los límites críticos, la vigilancia, el mantenimiento de registros y la verificación para cada una de las fases, ya que son específicos de los peligros y defectos concretos.

Esta sección se refiere a la elaboración de productos de pescado y marisco en conserva esterilizados mediante tratamiento térmico que han sido envasados en recipientes rígidos o semirrígidos cerrados herméticamente[26] y están destinados al consumo humano.

Como se subraya en este Código, la aplicación de los elementos apropiados del programa de requisitos previos (Sección 3) y de los principios de HACCP (Sección 5) en esas fases proporcionará a los fabricantes una garantía razonable de que se cumplirán las disposiciones sobre calidad esencial, composición y etiquetado de las normas del Codex correspondientes y de que se controlará la inocuidad de los alimentos. El ejemplo del diagrama de flujo (Figura 13.1) servirá de guía en algunas de las fases que son habituales en una cadena de preparación de pescado o marisco en conserva.

Este diagrama de flujo se presenta aquí a título meramente ilustrativo. Para la aplicación concreta del sistema de HACCP en un establecimiento será necesario preparar un diagrama de flujo completo y detallado para cada proceso.

Los números remiten a las secciones correspondientes del Código.

Figura 13.1 Ejemplo de diagrama de flujo para la elaboración de pescado y marisco en conserva

13.1 Consideraciones generales que complementan el programa de requisitos previos

En la Sección 3 (Programa de requisitos previos) se indican los requisitos mínimos relativos a las buenas prácticas de higiene que han de aplicarse en los establecimientos de elaboración antes de llevar a cabo análisis de los peligros y defectos.

En las fábricas de conservas de pescado y marisco, es necesario cumplir requisitos complementarios de las directrices que figuran en la Sección 3, dada la tecnología específica que utilizan. Algunos de ellos se enumeran a continuación, pero también habrá que consultar el Código Internacional Recomendado de Prácticas de Higiene para Alimentos Poco Ácidos y Alimentos Poco Ácidos Acidificados Envasados (CAC/PRC 23-1979, Rev.2 (1993)) para obtener más información.

13.2 Identificación de peligros y defectos

Véase también la Sección 4.1 (Posibles peligros asociados con el pescado y marisco frescos). En esta Sección se describen los posibles peligros y defectos más importantes que son específicos del pescado y marisco en conserva.

13.2.1 Peligros

A Peligros biológicos

A1 Toxinas marinas naturales

Puesto que es sabido que biotoxinas como las tetrodotoxinas o las ciguatoxinas son generalmente termoestables, es importante conocer la identidad de la especie y/o el origen del pescado que ha de elaborarse.

Ficotoxinas como DSP, PSP o ASP también son termoestables, de modo que es importante conocer el origen y la situación de la zona de origen de los moluscos u otras especies afectadas que se destinan a elaboración.

A2 Toxinas microbiológicas

Histamina

La histamina es termoestable, y por consiguiente su toxicidad se mantiene prácticamente intacta en los recipientes. Para prevenir la producción de esta toxina es esencial que se apliquen buenas prácticas de conservación y manipulación, desde la captura hasta el tratamiento térmico. En sus normas para ciertas especies de pescado la Comisión del Codex ha adoptado niveles máximos admisibles de histamina.

Clostridium botulinum

El riesgo de botulismo sólo suele darse cuando el tratamiento térmico o la integridad de los recipientes es deficiente. La toxina es sensible al calor, pero, por otra parte, para destruir las esporas de Clostridium botulinum, especialmente de las cepas proteolíticas, se requieren valores elevados de esterilización. La eficacia del proceso térmico depende del grado de contaminación en el momento del tratamiento. Por consiguiente, conviene limitar la proliferación y los riesgos de contaminación durante la elaboración.

Staphilococcus aureus

Las toxinas de Staphilococcus aureus pueden estar presentes en una materia prima sumamente contaminada o bien ser producidas por la proliferación bacteriana durante la elaboración. Estas toxinas son termoestables, de modo que deben tenerse en cuenta en el análisis de los peligros.

B Peligros químicos

Se debe tener cuidado de evitar la contaminación del producto por componentes de los recipientes empleados (por ejemplo, plomo).

C Peligros físicos

Puede darse el caso de que los recipientes contengan fragmentos de metal o vidrio antes de su llenado.

13.2.2 Defectos

Los posibles defectos se describen en los requisitos sobre calidad esencial, etiquetado y composición que figuran en las normas del Codex pertinentes, enumeradas en el Apéndice XII. Cuando no existan Normas del Codex, se tomarán en consideración los reglamentos nacionales y/o las especificaciones comerciales.

En las especificaciones relativas al producto final que se esbozan en el Apéndice IX se indican los requisitos facultativos para los productos en conserva.

13.3 Operaciones de elaboración

Los fabricantes pueden consultar también el Código Internacional Recomendado de Prácticas de Higiene para Alimentos Poco Ácidos y Alimentos Poco Ácidos Acidificados Envasados (CAC/PRC 23-1979, Rev.2 (1993)) para obtener asesoramiento detallado sobre las operaciones relativas a los productos en conserva.

13.3.1 Recepción de materias primas

13.3.1.1 Pescado y marisco (Fase de elaboración 1)

Posibles peligros:

Contaminación química y bioquímica (DSP, PSP, histamina, metales pesados...).

Posibles defectos:

Sustitución de especies, descomposición, parásitos.


Orientación técnica:

Véase la Sección 6.1.1 (Recepción de pescado crudo fresco o congelado) y también:

13.3.1.2 Recipientes y materiales de envasado (Fase de elaboración 1)

Posibles peligros:

Contaminación microbiológica posterior

Posibles defectos:

Contaminación del producto.


Orientación técnica:

Véase la Sección 6.5.1 (Recepción de materias primas - Envases, etiquetas e ingredientes); y también:

13.3.1.3 Otros ingredientes (Fase de elaboración 1)

Véase la Sección 6.5.1 (Recepción de materias primas - Envases, etiquetas e ingredientes)

13.3.2 Almacenamiento de materias primas, recipientes y materiales de envasado

13.3.2.1 Pescado y marisco (Fase de elaboración 2)

Véanse las secciones 6.1.2 (Almacenamiento en refrigerador), 6.1.3 (Almacenamiento en congelador) y 7.6.2 (Acondicionamiento y almacenamiento de moluscos en tanques, cubetas, etc. de agua).

13.3.2.2 Recipientes y envases (Fase de elaboración 2)

Posibles peligros:

Poco probables

Posibles defectos:

Materias extrañas.


Orientación técnica:

Véase la Sección 6.5.2 (Almacenamiento de materias primas - Envases, etiquetas e ingredientes); y también:

13.3.2.3 Otros ingredientes (Fase de elaboración 2)

Véase la Sección 6.5.2 (Almacenamiento de materias primas - Envases, etiquetas e ingredientes)

13.3.3 Desembalado, eliminación de la envoltura (Fases de elaboración 3 y 4)

Posibles peligros:

Poco probables

Posibles defectos:

Materias extrañas


Orientación técnica:

13.3.4 Descongelación (Fase de elaboración 5)

Véase la Sección 6.1.4 (Descongelación controlada)

13.3.5 Procesos de preparación del pescado y el marisco (Fase de elaboración 6)

13.3.5.1 Preparación del pescado (eviscerado, recorte...)

Posibles peligros:

Contaminación microbiológica, desarrollo bioquímico (histamina)

Posibles defectos:

Materias objetables (vísceras, piel, escamas,... en ciertos productos), malos olores, presencia de espinas, parásitos...


Orientación técnica:

Véanse las secciones 6.1.5 (Lavado y eviscerado) y 6.1.6 (Fileteado, desuello, recorte y examen a contraluz); y también:

13.3.5.2 Preparación de los moluscos y crustáceos

Posibles peligros:

Contaminación microbiológica, fragmentos de caparazón

Posibles defectos:

Materias objetables


Orientación técnica:

Véanse las secciones 7.7 (Tratamiento térmico/desconchado térmico aplicado a los moluscos en el establecimiento), y también:

13.4 Precocción y otros tratamientos previos

13.4.6 Precocción

Posibles peligros:

Contaminación química (componentes polares de aceites oxidados), desarrollo microbiológico o bioquímico (escombrotoxina)

Posibles defectos:

Liberación de agua en el producto final (para productos envasados en aceite), sabores anómalos


Orientación técnica:

13.4.6.1 Consideraciones generales

13.4.6.1.2 Programa de precocción

13.4.6.1.3 Control de la calidad de los aceites y otros líquidos empleados en la precocción

13.4.6.1.4 Enfriamiento

13.4.6.2 Ahumado

13.4.6.3 Empleo de salmuera y otros baños

Posibles peligros:

Contaminación microbiológica y química por la solución empleada en el baño

Posibles defectos:

Adulteración (aditivos), sabores anómalos


Orientación técnica:

13.4.7 Envasado en recipientes (Llenado, cierre hermético y codificación) (Fase de elaboración 8)

13.4.7.1 Llenado

Posibles peligros:

[Desarrollo microbiológico [(período de espera)], desarrollo microbiológico y recontaminación después del tratamiento térmico debido a un llenado incorrecto o a unos recipientes defectuosos

Posibles defectos:

Peso incorrecto, materias extrañas


Orientación técnica:

13.4.7.2 Cierre hermético

El cierre hermético de los recipientes constituye uno de los procedimientos más importantes en la fabricación de conservas.

Posibles peligros:

Contaminación posterior debida a una costura defectuosa

Posibles defectos:

Poco probables


Orientación técnica:

13.4.7.3 Codificación

Posibles peligros:

Contaminación posterior debida a recipientes dañados

Posibles defectos:

Imposibilidad de identificación debida a una codificación incorrecta


Orientación técnica:

13.4.8 Manipulación de los recipientes después del cierre - Período de espera antes del. tratamiento térmico (Fase de elaboración 9)

Posibles peligros:

[Desarrollo microbiológico(período de espera)], contaminación posterior debida a recipientes dañados

Posibles defectos:

Poco probables


Orientación técnica:

13.4.9 Tratamiento térmico (Fase de elaboración 10)

El tratamiento térmico es una de las operaciones más importantes en la fabricación de conservas. Los fabricantes pueden consultar el Código Internacional Recomendado de Prácticas de Higiene para Alimentos Poco Ácidos y Alimentos Poco Ácidos Acidificados Envasados (CAC/RCP 23-1979, Rev. 2-1993) para obtener asesoramiento detallado sobre el tratamiento térmico. En esta Sección sólo se indicarán algunos elementos fundamentales.

Posibles peligros:

Supervivencia de esporas de Clostridium botulinum

Posibles defectos:

Supervivencia de microorganismos causantes de la descomposición


Orientación técnica:

13.4.9.1 Programa de esterilización

13.4.9.2 Operación de tratamiento térmico

13.4.9.3 Vigilancia de la operación de tratamiento térmico

13.4.10 Enfriamiento (Fase de elaboración 11)

Posibles peligros:

Recontaminación debida a una costura defectuosa o a agua contaminada

Posibles defectos:

Formación de cristales de estruvita, abombamiento de los recipientes, chamuscado


Orientación técnica:

13.4.10.1 Vigilancia después del tratamiento térmico y el enfriamiento

13.4.11 Etiquetado, colocación en cajas y almacenamiento del producto terminado (Fases de elaboración 12 y 13)

Posibles peligros:

Recontaminación posterior debida a daños sufridos por los recipientes o a la exposición a condiciones extremas

Posibles defectos:

Etiquetado incorrecto


Orientación técnica:

13.4.12 Transporte de productos acabados (Fase de elaboración 14)

Posibles peligros:

Recontaminación posterior debida a daños sufridos por los recipientes o a la exposición a condiciones extremas

Posibles defectos:

Poco probables


Orientación técnica:

Véase la Sección 17 (Transporte): y también:


[19] Directrices de la OMS para la calidad del agua potable, 2ª edición, Ginebra, 1993.
[20] Directrices de la OMS para la calidad del agua potable, 2ª edición, Ginebra, 1993.
[21] Código Internacional Recomendado de Prácticas - Principios Generales de Higiene de los Alimentos (CAC/RCP 1-1969, Rev.3 - 1997), Anexo: El sistema de HACCP y Directrices para su Aplicación.
[22] Directrices para la Evaluación Sensorial de Pescado y Marisco en Laboratorios (CAC/GL 31-1999)
[23] Norma del Codex para los Bloques de Filetes de Pescado, Carne de Pescado Picada y Mezclas de Filetes y Pescado Picado Congelados Rápidamente (Codex Stan. 165-1989, Rev. 1-1995).
[24] Norma del Codex para los Filetes de Pescado Congelados Rápidamente (Codex Stan. 190-1995).
[25] Norma General del Codex para el Etiquetado de Alimentos Preenvasados (Codex Stan. 1-1985, Rev. 2-1999).
[26] Este Código no comprende el llenado aséptico. La referencia al código pertinente figura en el Apéndice XI.

Página precedente Inicìo de página Página siguiente