9.1 PROJECTIONS OF FUTURE YIELDS AND STOCK DEVELOPMENT
9.2 SHORT TERM PROJECTIONS
9.3 STOCK RECRUITMENT
9.4 MEDIUM-TERM PROJECTIONS
9.5 LONG-TERM CONSIDERATIONS
9.6 FRAMEWORK FOR ADVICE
Projection of future yields under specified fishing scenarios is one of the two essential elements in fishery management advice based on fish stock assessment. The other is evaluation of these scenarios relative to a desired stock status defined through the reference points. Projections are done using the Thompson and Bell procedure described in Sparre and Venema (1998). The presentation given in this manual extends this procedure to include an account of the uncertainty in the following factors:
· Knowledge of the stock at the outset of the projection, which depends on:Dependent on the specific stock under investigation, the projection procedure will often be restricted to include only the uncertainty in the initial stock estimate and in the prediction of future recruitment through the stock-recruitment relation (ICES 1995a, 1997 and 1998). Projections based on multispecies VPA also include variation, but not uncertainty in the natural mortality. In particular, translating fisheries policy into fishing mortality is often dealt with rather unsystematically.· the reliability of the catch data,· Future population dynamics (i.e. recruitment, growth, maturity, fecundity, etc.), which depends on:· the amount of sampling of these catches, possible bias in sampling and in age reading,
· the availability, accuracy and precision of the abundance indicators, e.g. CPUE from research surveys,
· understanding the relation between the abundance indicators and the stock.
· the recruitment estimates, which can be obtained from pre-recruit surveys, a stock-recruitment relationship or from environmental conditions depending on the biology,· Translation of the specified fisheries policy into fishing mortality and the stock available to the fishery, which depends on:· the mean weight per individual in the catches and in the stock (either total stock or in the spawning stock only),
· the future maturity ogive and fecundity,
· natural mortality.
· the accuracy of the specified relationship between fishing mortality and effort,· knowledge of stock distribution in space and time by age groups,
· knowledge of the fleet reaction to changes in stock sizes, alternative fishing opportunities, regulations, etc.
The stock size can be projected using the procedures above to calculate the stock of survivors, that is the initial stock composition at the start of the period of projections. However, this is not sufficient for the purpose of providing fishery management advice. Management requires projection of the yield (in weight) and of stock indicators, most often recruitment trends and spawning stock biomass (SSB). To estimate the latter it is necessary to estimate mean weights per individual for the catches, the stock and spawning stock. When calculating the spawning stock the maturity ogive is also required. Ideally, this model should be expanded to include additional elements like the sex ratio and the fecundity, but this is seldom done. The mean weight-at-age and the maturity ogive used in projections are usually based on simple time series regressions. Often a mean of the last three years is used.
Biomass-based reference points are nearly always based on SSB, which is one of the most important stock status indicators. SSB is calculated based on stock in numbers, a maturity ogive and mean weights per individual by age. Many of these parameters vary between years. Therefore, among other checks, whether an overall maturity ogive is applicable or whether this ogive needs to be established for each spawning season should be investigated for each individual stock. There may well be other parameters that are also relevant for the calculation of the SSB, such as a year class-dependent female to male ratio, or age-dependent fecundity and hatching success (Rijndorp 1993).
When providing management advice the fishing scenarios should be evaluated in the light of the projected stock status in the short, medium and long term. The desired stock status is specified based on biological reference points (Caddy and Mahon 1995). The calculation of some of these reference points and some extensions is discussed in Section 9.5.1.
Fisheries management however, does not formulate the regulations in biological reference points, but in management tasks, such as an annual TAC, closed area or effort limitation. We therefore need tools that allow translation of the reference points projection into the management activities. Since management is based on socio-economic and political considerations, decisions are often not direct translations of the biological advice. Therefore it is necessary to calculate the fishing mortality and exploitation pattern that will result from any decision made by management, so that management can see the biological implications.
We distinguish between short-term, medium-term and long-term projections according to the degree of dependence on the current stock status (Figure 9.1).
· Short-term projections: the time period in which the estimated stock composition of the terminal year still dominates future yields. For example, more than 50 % of the yield is from cohorts in the terminal year. This short-term time period is often only 2-3 years.· Medium-term projections: the time period in which the estimated stock composition of the terminal year still has some influence on future yields. For example, more than 10% of the yield is from cohorts in the terminal year. The medium term time period is often 5-10 years.
· Long-term projections: the projected equilibrium state, usually including stochastic variation from recruitment and population dynamic parameters.
Figure 9.1 Percent of projected yield (Baltic cod ICES subdivisions 25-32) from year classes estimated in the 1996 assessment for 5 exploitation levels. As the projection is extrapolated into the future, the dependence of yield on the current assessment falls.

Interpretation of the projections varies substantially between time horizons. Short-term projections are used for calculating the TAC in subsequent years; medium-term projections are used for discussion of the consequences of the policy on which the TAC in a specific year is established. Finally, long-term equilibrium projections are used as background for this discussion, in particularly for measuring the policy relative to the biological reference points.
TACs are often used for regulating fisheries in the North Atlantic (see overview Halliday and Pinhorn 1996). This management measure establishes an overall limit on the total amount than can be removed from the stock, most often measured in weight but for large fish the removal limit may also be established in number of fish (e.g. Baltic salmon). This application often involves a 2-year projection, the year in which the assessment is made and the subsequent TAC year.
Short-term projections are usually made by the Thompson and Bell procedure (Sparre and Venema 1998, Section 8.6). The procedure projects the estimated age composition of the terminal year into the near future. This near future is the time period in which the estimated stock composition of the terminal year still dominates future yields, e.g. more than 50% of the yield is from year classes appearing in the estimated stock composition for the terminal year.
The mean weight-at-age and maturity ogive are often taken as the mean of the most recent three years or a similar simple method. The link between the calculated yield in the year of projection and the fishing mortality is usually established through the separable fishing mortality model. The projection assumes that the selectivity pattern (Sa) for the most recent years also applies in the near future and it is effort (Ey) that is adjusted. Sparre and Venema (1998) reformulate the Thompson and Bell model as Fay = X Emost recent year Sa, and it is the factor X (X = 1 for the recent level of fishing mortality) that is used to adjust the projected exploitation rate in the analysis. This procedure makes the determination of the exploitation pattern, also called the partial recruitment, an important issue (e.g. Rivard 1983).
If we have applied an estimation method based on separable VPA (e.g. ICA or CAGEAN) then the exploitation pattern (Sa) is estimated directly. If some other method was found more appropriate for the estimation of the stock status, then for the projections a model of how the fishing mortality by age will vary with stock size and other parameters is required. For this, the separable VPA model is often used. The calculation of the exploitation pattern based on the separable VPA model is as follows.
Assuming that the estimation procedure provided Fay and that the error is log-normally distributed, then the exploitation pattern is calculated as:
(101)
where n is the number of years that is summed over. To avoid estimating a redundant parameter in the multiplicative separable VPA model, Sa is normalised by setting Sa = 1 for some a and therefore:
(102)
For example, Rivard (1983) normalised each F-at-age array with the maximum element value for that year, then averaged the normalised values across years, and finally applied yet another normalisation with the maximum value in this averaged array.
Another approach would be to use a linear model and find the parameter array Sa using a generalised linear model (McCullagh and Nelder 1983). Note that the solution, if the log-normal is assumed, will give the same result as Equation 101, but other models can be tried. In particular, there is little reason not to include the separable model as a link model in the VPA analysis (Equation 42) if an independent measure of the overall exploitation rate (i.e. effort) is available.
9.3.1 Fitting the Stock-Recruitment Curve
Projections are based on estimates of stock productivity. The standard short-term projection accounts for growth and mortality, while the recruitment is not dealt with in depth. To be able to extend projections beyond the short term requires that more emphasis be placed on the model of recruitment.
Figure 9.2 Equilibrium yield of age 4+ as a percentage of total equilibrium yield in Baltic cod ICES subdivisions 25-32 based on the average exploitation pattern for years 1992-1996.

Applying a simple (often geometric) mean recruitment may be a reasonable procedure in short-term projection where the mean recruitment over recent years may be appropriate as the best guess of the strength of future recruitment. A fixed mean or time trend regression of recruitment may be adequate because the projection of the different fishing options is insensitive to the recruitment assumption. Where projections result in quite different levels of spawning stock biomass (SSB), a stock recruitment relationship may improve the accuracy of the forecast. The stock recruitment relation is also required for many of the reference points discussed in Section 9.4 as these attempt to account for stock productivity under heavy exploitation and therefore at low SSBs.
Traditionally there are two different S-R models in fish stock assessment: the Beverton and Holt (B&H, Beverton and Holt 1957) and Ricker models (Ricker 1954). Both these models have two parameters, but can be generalised into a single three parameter model of which these two are special cases (Deriso 1980, Schnute 1985). There are other models which have been proposed (e.g. Shepherd 1983, Patterson 1998a), but the likely forms of the S-R relations are well covered by the general Deriso-Schnute model, and most often the B&H and Ricker models suffice.
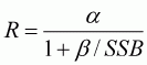
The B&H relation is similar to the logistic model. It has a carrying capacity, here the asymptotic maximum recruitment (a) obtained from the spawning stock biomass (SSB).
(103)
The parameter b is the spawning stock biomass where the recruitment (R) is half of its potential maximum. The biological concept behind the model is that the egg production - assumed proportional to the SSB - approaches a limit, which is set by a density dependent mechanism. Density-dependent mortality increases natural mortality in the egg, larvae and early fish life phases, so that the absolute number of survivors remains effectively constant at larger SSB levels. Where the asymptote is reached at a small SSB, the recruitment will appear constant except in cases of severe overfishing.
The Ricker stock recruitment curve is based on a feedback mechanism. For spawning stock biomass above some optimum the mortality in the egg, larvae and early fish life phases increases at such a rate, that this leads to a decrease in the recruitment. This feedback could be the result of cannibalism where the adult population has a negative impact on the survival success of its offspring.
The relation is:
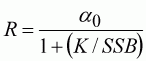
(104)
The first parameter a controls the slope at origin and as we shall see this is important for the limit and target reference points. The parameter K is the SSB when the recruitment is at its maximum.
The Deriso-Schnute generalisation has three parameters:
(105)
|
Model |
|
Formula |
|
Proportional |
|
|
|
Beverton and Holt |
-1 |
|
|
Ricker |
0 |
|
|
Quadratic |
1 |
|
where the form of the relationship is controlled by the g parameter as follows (see Figure 9.3):
In fish stock assessment, recruitment is often measured at the age when the stock recruits to the fishery rather than when the larvae hatch. The life history between the egg stage and when the fish appears in the fishery is often not well documented. However, it is expected that life history parameters in the early life stages (e.g. the natural mortality) are different than later in the life cycle. The S-R relation usually takes into account the survival from egg until the fish recruits to the fishery.
The estimation of the stock-recruitment curve is based on a standard least-squares fit. A common problem is that the stock recruitment curve fits the data poorly and there are significant outliers, where the predicted recruitment based on SSB is very far from the actual year class strength. Analysis of the influence of outliers on the estimated parameters is therefore a prominent part of this analysis.
There are two approaches to the problem.
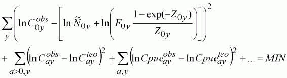
1) The VPA estimation procedure may be used to estimate recruitment and spawning stock biomass and then the stock-recruitment curve is fitted to these estimates orThe latter approach would mean that the population size (stock in numbers) at the recruitment age would be based upon the stock recruitment relationship, so the least-squares estimation procedure could be to minimise the following function:2) The stock-recruitment relation may be included directly in the estimation procedure.
(106)
where
(107)
where the
is the
population size relevant for the abundance estimate, corrected for timing of the
survey or averaged over the relevant period of the year.
It is usually advisable to introduce a transformation, such as a logarithms of both the recruitment and the spawning stock biomass, because of highly skewed variation usually seen in these types of data. Alternatively, the S-R model could be fitted using robust regression (Section 6.5).
9.4.1 Projection Methods
Short-term projections focus on the development of the existing population in the year of the assessment. This may be misleading as the fishing mortality could be in a region where the stock is overexploited, but the most recent year classes by chance are strong. Therefore, short-term prediction is supplemented with medium-term prediction to illustrate the stock development and in particular to investigate if the stock is expected to increase or decrease if normal recruitment prevails.
Medium-term analysis also includes the uncertainties in the stock status and in the projections. These uncertainties include the variance of the estimates from the assessment of the state of the stock, from the uncertainties on what fishing mortality the management measures will produce and from the future population dynamics (e.g. recruitment, mean weights, maturity ogive and natural mortality). Several of these uncertainties may be correlated (e.g. high stock abundance may be correlated with slow growth) and a simple sum of all these uncertainties may therefore overestimate the true variance on the projections.
The projected yield and stock are therefore subject to uncertainties that originate from:
· The initial stock size.It is standard practice to only include separate errors from the initial stock size and stock-recruitment in projections. Errors due to changes in population dynamics parameters and management measures are usually ignored. This concentrates on sources of uncertainty, which should have greatest impact on management controls. In this form, it is also easier to study the link between the management controls (e.g. effort) and fishing mortality.· Future recruitment.
· Population dynamic parameters and variables, e.g. mean weight-at-age, natural mortality, etc.
· The fishing mortality in the years of projection. Fishing mortality may be controlled by management measures, e.g. from a TAC.
These error contributions have different statistical properties. The initial stock size may have log-normal distributed observation errors, while the recruitment process is often considered as a stochastic process with log-normal variation. The management implementation errors (i.e. that the fishing mortality intended is not realised) are usually ignored. The system is often investigated using Monte Carlo simulation rather than attempting a full analytical solution to the problem.
Medium-term projections are stochastic simulations where, in particular, the variation in the recruitment is included in the analysis. It is quite possible, and in some cases desirable, to include the variability of other biological parameters in the projections. The result is a time diagram showing curves, for example, of the 5, 25, 50, 75 and 95 percentiles of the projection of the relevant stock indicators such as spawning stock biomass, yield and recruitment. The projections are usually made for well-defined fishing scenarios, for example with a harvest control law. Typically, the control is very simple, such as a constant fishing mortality throughout the entire period.
The noise in recruitment can be derived from any of three different procedures:
· Direct bootstrapping of recruitment without any particular biological stock recruitment model:. This assumes past recruitment random distribution will be the same as future recruitment and requires a long time series.· Empirical bootstrap: Estimation of the S-R relation and bootstrapping of the residuals. This also requires a long time series, so bootstraps can be drawn from a reasonable sample of residuals.
· Parametric bootstrap: Estimation of an S-R relation and fitting the residuals to some statistical model of the random noise (e.g. log-normal). Then simulate recruitment from the S-R relation with an added noise term taken from a random number generator. This is preferred if the number of residuals is small.
9.5.1 Biological reference points
Long-term projections consider the general state of the stock in relation to reference points. These ignore short-term fluctuations, but consider the long-term status under different exploitation rates. They are used to indicate the direction management controls should take to improve the status of the stock.
Biological reference points are discussed in detail in Caddy and Mahon (1995). Reference points are introduced here to provide a method to assess the general exploitation level of the stock. The biological reference points only consider the state of the stock, so there is no consideration of the economics or the social well-being of the fisheries.
Reference points fall into two groups:
· Limit reference points. These points are upper limits on the exploitation that should not be approached.In terms of fisheries management the limit reference points define the space within which the manager should maintain the stock. The reference points are biological states that help in an evaluation of the stock. Because of the uncertainties involved in all steps of the management procedure, it is usually advisable that management objectives include a buffer to the limit reference points to ensure that the stock remains healthy.· Target reference points. These are levels of exploitation that should be targets for fisheries management.
Stocks are said to be within safe biological limits when there is a high probability that
1) The spawning stock biomass is above the threshold where recruitment is impaired, andThe biomass threshold is defined as Blim (subscript lim stands for limit) and the fishing mortality threshold as Flim. The accuracy with which the thresholds and current status of the stocks are known, and the risk that is tolerable, are important factors in determining the distance away from the threshold that can be accepted. The greater the accuracy of the assessment, the smaller the distance between the limit and precautionary reference points that would define the target. If the assessment is less reliable, the distance needs to be greater. Within ICES, Bpa (subscript pa stands for precautionary approach) is defined as the biomass below, and Fpa as the fishing mortality above which management action should be taken. The distance between the limit and the precautionary approach reference points is also related to the degree of risk that fishery management agencies are willing to accept.
2) The fishing mortality is below that which will drive the spawning stock to the biomass threshold.
Formal definitions are provided below:
· Flim is the fishing mortality limit that should be avoided with high probability because it is associated with unknown population dynamics or stock collapse. Flim is usually set so that the spawning stock biomass will remain above a threshold below which the probability of good to average recruitment is too low. There are very few stocks for which Flim is accurately known. Some stocks in the ICES area have collapsed in the past when fishing mortality exceeded Flim. Generally there are great uncertainties in the estimate of Flim, as well as the estimates of current fishing mortality.· Fpa is the fishing mortality that should be the target for management of the stock under the precautionary approach. In order to have a high probability that fishing mortality will be below Flim, a precautionary reference point, Fpa is defined. Used as a constraint on fishing, Fpa is designed to ensure that there is a high probability that fishing mortalities greater than Flim will be avoided. It is the upper bound on fishing mortality rate to be used by ICES in providing advice. Fpa, should be set in the range of previous fishing mortalities, and maintain a biomass within those perceived to be acceptable.
· Blim is the limit spawning stock biomass, below which recruitment is impaired or the dynamics of the stock are unknown. Stocks may become depleted due to reduced recruitment even if fishing mortality is successfully maintained at or below Fpa. Furthermore, restraining fishing below Fpa may not be successful and biomass may decline as a result. Clearly, therefore, in addition to a constraint on fishing mortality, it is desirable to have a biomass-based constraint to prevent stock decline to values where expected recruitment is low or unknown. Whereas Fpa defines an overfishing threshold, a definition of when the stock is regarded as being in a depleted state is also necessary.
· Bpa is defined to ensure a high probability of avoiding reducing the stock to a point, Blim. Bpa is the biomass below which the stock would be regarded as potentially depleted or overfished. When SSB is below Bpa, fishing mortality may need to be reduced below Fpa to allow recovery.
To establish the value of Fpa and Bpa, a number of other reference points can be used. The list given below is not exhaustive, but includes some of those most often used.
9.5.1.1 Reference points defined on optimal yield considerations
The traditional target is Fmax (Beverton and Holt 1957). This is the maximum on the yield-per-recruit curve and as such does not take into account the effect fishing may have on recruitment. Therefore, Fmax is a long-term reference point only if recruitment is independent of the spawning stock biomass over applicable ranges of fishing mortality. Another reference point often derived from the yield-per-recruit curve is F0.1, the fishing mortality where the slope on the yield-per-recruit curve is 10% of the slope at the origin. This is more conservative, and results in little overall loss in yield with the benefit of a relatively large decrease in fishing mortality.
Figure 9.4 Yield-per-recruit for Peruvian hake under different target reference points.

The extension of Fmax to include a stock recruitment relation produces a new reference point, FMSY. This is done by applying the equation Yield = Recruitment * (Yield/Recruit) and finding FMSY, which is the fishing mortality where the yield is at its maximum. In order to establish the equilibrium recruitment level, we need the equilibrium spawning stock biomass (SSB), which is obtained by solving the non-linear yield and population equations.
Another reference point is where SSBeq = 0 (subscript eq implies an equilibrium solution), also called Fcrash (Cook et al. 1997). This is the minimum fishing mortality where the stock will go extinct.
Any of the stock recruitment relations (Section 9.3) can be used with the Thompson and Bell yield calculation. For each value of F, the equations can be solved to find the equilibrium recruitment from the stock-recruitment relation and the derived SSB. Then the yield is calculated. Although the models may be complex and non-linear, these are essentially one dimensional problems (solve for F or SSB), and so solutions can be found using simple methods such as bisection.
9.5.1.2 Reference points designed to ensure reproductive capacity of the stock
These reference points focus on the stock recruitment relationship. The basic idea is to make sure that the spawning stock biomass is sufficient to guarantee the full reproductive capacity of the stock. Therefore, it is assumed that the relation between the stock and recruitment has some SSB beyond which recruitment is independent of the SSB. This point is often called Minimum Biological Acceptable Level (MBAL). The B&H type stock-recruitment curve shows such behaviour with an asymptotic recruitment level independent of the SSB for large SSB values. For the Ricker curve, where a larger SSB leads to decreasing recruitment, the analysis is confined to the right hand part of the curve.
MBAL does not have a strictly formal definition, but it is the point where the stock-recruitment curve begins to show a positive correlation between the spawning stock biomass and the recruitment, hence the point where the recruitment is impaired by reduced SSB. The MBAL is often related to the Beverton and Holt curve, and as such may be defined using the B&H b parameter (Equation 103, Figure 9.5), which defines the point where the recruitment is half the asymptotic maximum. MBAL is in many applications used as a Blim reference point.
9.5.1.3 Reference point defined based on historic performance of SSB/R
A reference point of this class based on fishing mortality is the Fmed and the associated Flow and Fhigh. These reference points are defined based on the historic performance of the recruitment of the stock. Therefore, they are only relevant as a possible basis for precautionary reference points if the stock is in good health.
The formal definition of these reference points is
(108)
So, the observed SSBy/Ry time series is calculated, and the median found. We then find the fishing mortality for which the SSB-per-recruit is this median value based on known weight-at-age and the maturity ogive.
These reference points depend on the average state of the stock over the time period for which there are data available. These points therefore should be used with caution as they may be misleading for stocks that have been systematically over- or under- exploited for the entire period for which there are data available.
Figure 9.7 Yield and SSB per recruit for changing F in the Eastern Baltic cod fishery. The line parallel to the x-axis is the SSB/R = 1.4; this line intersects the SSB/R (from the yield per recruit model) at an F -factor (relative to the 1996 exploitation pattern) at 0.2. The process can also be done numerically by solving the definition equations for F. The Fhigh and the Flow are found by a similar construction, but using the 90 and 10 percentiles instead of the median SSB/R.

9.5.1.4 Risk-Defined Reference Points
Risk-defined reference points, based on the fishing mortality, are mortality values where the probability of observing the SSB (or another stock indicator) below a threshold is less than a %. The probability is calculated for a long time series, e.g. 100 years. The calculations are therefore to start with a stock composition, project this stock composition under a fixed fishing mortality regime for, say 100 years and use a stochastic stock-recruitment model to generate the recruitment and each year in the projection record the relevant stock indicator. This calculation is then repeated perhaps 100 times. Then, the frequency of the stock indicator falling below the set threshold is counted. This is done for several values of the fishing mortality and through iteration the reference point is derived (Figure 9.8).
Figure 9.8 SSB cumulative frequency distribution from a Monte Carlo simulation series. In the example, based on the Eastern Baltic Cod, three series were simulated based on fishing mortality corresponding to 1, 1.1 and 1.2 times the F96 (i.e. with the average F (age 4-7) levels of 0.49, 0.54 and 0.59). The simulation time series was 228 years, and the first 20 years after seeding with the estimated 1996 stock were ignored. The MBAL (SSB) level is usually set around 240 000 t and the graph suggests that an F25% corresponding to this value is around the mid-value of the three (F(4-7) = 0.54 year-1). These simulations were based on a B&H stock-recruitment relations fitted on the year classes 1993 -1994 to avoid an apparent shift in stock productivity in the early 1980s.

If fishery management decisions lead to Fpa being exceeded, then this should be regarded as overfishing and management of the fishery would not be consistent with a precautionary approach. The development of a management plan to reduce fishing mortality to no greater than Fpa should be advised.
In general, Bpa is the biomass threshold triggering advice for a reduction in F to a value below Fpa. This would depend, however, on the probability of recovering to above Bpa in the short term using current Fpa. If SSB were predicted to remain below Bpa in the short to medium term, the development of a recovery plan would be advised.
Fpa and Bpa are the main devices in the ICES framework for providing advice. They are thresholds which constrain advice or which trigger advice for the implementation of management/recovery plans.