3.1 Basic Theory
3.2 Appropriate Accounting Prices
3.3 Developed and Underdeveloped Economies
3.4 Ocean Ranching and Environmental Externalities
3.5 Calculation of Net Benefits
3.6 The Incidence of Costs and Benefits
3.7 The Impact of Estimated Recovery Rates
3.8 Summary Guidelines for the Economic Evaluation of Ocean Ranching Projects
3.9 Institutional Framework
This section deals with methodology for assessing the costs and benefits of an ocean ranching project. The basic approach of the section is as follows: We consider an economy - any economy, whose members satisfy the basic microeconomic axioms of consumer preferences and production possibilities.[19] We assume that within this economy there resides a benevolent authority, referred to as the government, that would like to increase social welfare. For this purpose, the government has certain opportunities or an opportunity set and a set of instruments or controls variables to exploit these opportunities. Given this setting, the task is to specify methodology and procedures for evaluating the desirability of pursuing one opportunity, ocean ranching.
Since we have imposed minimal restrictions on the structure of the economy in question, the discussion should be applicable to economies in various states of economic development. In particular, the analysis does not presuppose a developed market economy although we assume that the economy could sustain a price system.[20] Nevertheless, we find it useful to repeatedly refer to the market economy, in particular the perfect version. This, however, is for reference purposes only. The perfect market economy has been shown to exhibit certain economic optimality properties (Varian, 1991). Hence, the outcome of any particular employment of the control variables at the governments disposal, is conveniently evaluated with reference to the market economy.
As discussed in the previous section, ocean ranching poses a particularly intractable problem in the international context. Basically, however, the assessment methodology presented in this chapter applies to the international context as well.
Represent individuals i utility by ui. Let the vector u contain the utilities of all the individuals in the economy. Then on the assumption that social welfare depends on individual utility and only on individual utility, we may write the social welfare function as:
W(u)
(1)
In accordance with standard theory, we assume that the social welfare function is strictly increasing in the utility of all the individuals.[21]
Now, assume that the government has means to affect individual utilities - by fiscal and monetary means, public enterprise, redistribution etc. Let the set of these control variables be represented by the vector x. This basically means that
u = U(x,z),
(2)
where the vector z contains all the individually exogenous variables the government cannot control such as environmental conditions etc., and the expression U(.,.) represents a vector of utility functions, one for each individual.
It follows that the social welfare function depends on government controls and the other individually exogenous variables, i.e.
W(x,z).
We assume that the objective is to find a path for the control variables that maximizes the present value of social benefits. Formally:
(3)
where r is an appropriately defined rate of discount and t refers to a measure of time.
For complete economies, problem (3) is generally quite unmanageable. In the current context where the set of relevant control variables is limited to essentially one, namely the extent of ocean ranching (from zero to some positive number), the problem is greatly simplified. Nevertheless, an explicit solution to (3), giving exact time path for x(t), would typically not be obtainable.
In a perfect market system, with complete markets[22], full information and competition all valuables will have a price and these prices will faithfully reflect the corresponding marginal social costs and benefits. In this case, problem (3) becomes much simpler. In particular, economic theory (with the help of a few rather innocuous additional assumptions) has demonstrated[23], that in this case, the maximization of production profits provides a Pareto optimal solution, i.e. it maximizes social benefits given the initial allocation of endowments.
A Pareto optimal solution is economically efficient in the sense that at such a solution it is impossible to make anyone better off without making someone else worse off. Any social optimum, i.e. the solution to problem (3), must belong to the set of Pareto optimal solutions. The social welfare function allows us to distinguish between Pareto optimal solutions by weighing the utility of one person against the utility of another.
Now, consider a relatively small alteration in government controls, e.g. dx. This could for instance be a small increase in ocean ranching. Imagine that this takes place in a perfect market economy in the above sense. Then, on the basis of equations (1)-(3), the change in social welfare is obviously:
where w(i) represents the marginal weight given to individual i in the social welfare function. Without loss in generality, we assume there are I such individuals.
Moreover, it can be shown (Appendix 3.1) that this welfare change deriving from the government action can be written as:
(4)
where w(i) represents the weight of the individual in the social welfare function multiplied by his marginal utility of assets. Hence, w(i) is still a weight, but now it combines the importance of the individual in the social welfare function with the utility he personally gains from marginal additions in consumption. Let us refer to w(i) as the social utility weight of individual i. p(j) represents the price and y(i,j) the volume of commodity j consumed (or supplied) by consumer i. It is assumed that there are J such commodities. For expositional convenience we take it that these commodities are defined in such a way that more is always better.
It follows from (4) that in order to assess the net social benefits of a relatively small ocean ranching project, (or for that matter any small action), the following three pieces of information are needed:
|
(1) The social utility weights of individuals, w(i). |
Since a crucial component of w(i) is the individuals weight in the social welfare function, the determination of w(i) is to a large extent a normative problem and is often referred to as the distributional question. It is nevertheless an integral and important component of any reasonable project assessment (Sen, 1972). Few projects constitute a clear Pareto improvement. Most reduce the utility of one or more individuals. Hence the only fully satisfactory way to assess the social value of the project is to explicitly include the w(i).
Most cost-benefit studies ignore distributional questions[24] and elect to take individual weights to be equal, i.e. w(i)=1/I, all I. In that case equation (4) obviously reduces to:
(5)
where J1 represents the number of commodities whose consumption increases as a result of the project and J- J1 the remainder. Hence B represents total benefits of the project and C total costs aggregated over all the individuals in the economy. More precisely:
and, for those dy(i,j) that represent an increase,
Equation (5) is the basic equation of most cost-benefit studies (Layard and Glaister, 1994). In practice, however, costs and benefits are not calculated continuously but at discrete time intervals. The discrete counterpart to (5) is:, for those dy(i,j) that represent a decrease.
(6)
where the summation from t=1 indicates that it has been assumed that the first benefits and costs occur one period hence.
(2) Projects impact on individual consumption
Item (2) on the above list, i.e. the impact of the project on the consumption of individuals, is concerned with the generally extremely complex relationship between the project and the outcome for each individual. To deal with this aspect obviously requires a detailed description of the project and its immediate impact as well as a complete (or general equilibrium) model of the economy to delineate how the initial impacts are promulgated through the economy. Very few countries have developed an economic model suitable for this task and even fewer cost-benefits studies have utilized one.
(3) Prices
Finally, item (3) is concerned with relative prices. These are supposed to be true prices which may or may not coincide with actual market prices. Consequently, cost-benefit studies typically devote a great deal of effort toward constructing an appropriate set of prices to employ in the study. This topic is pursued further in the next section.
As demonstrated by e.g. equations (5) and (6) above, prices constitute a crucial component of any reasonable project assessment. However, what is relevant here are not any prices, but the so-called true prices, i.e. prices that correctly measure marginal social costs of the economic resources in question. Existing market prices are rarely true in this sense for a variety of reasons. Lack of economic competition and information distorts the price system in many economies. Most economies suffer from the lack of markets for numerous goods including many natural resources in which case the corresponding prices do not even exist.[25] For ocean ranching this is particularly relevant, as discussed at length in chapter 2 above. Finally, in most economies, government services, government price manipulation, taxes and subsidies further distort the price system. Therefore, for the purposes of a cost-benefit study, it is usually necessary to modify the existing price system substantially. The resulting modified prices are usually referred to accounting or shadow prices.
Certain classes of prices are usually regarded as particularly problematic in the above sense.[26] These include:
(1) Exchange ratesFor the purpose of assessing the desirability of ocean ranching, these are all highly relevant.
(2) Wages
(3) The rate of discount
(4) Prices of non-market goods, especially natural resources.
Exchange rates
In a balance of payments equilibrium, the appropriate exchange rate to be used is the market exchange rate. However, in a disequilibrium situation (excess net demand), for whatever reason, this is usually not so. Thus, for instance if the domestic exchange rate is above the equilibrium level with the result that there is a negative balance of payments, it may well be justifiable to value foreign currency more highly than the exchange rate suggests.
Wages
Many economies, not least the underdeveloped ones, suffer from underemployment and even unemployment, explicit or hidden. This essentially means that the going wage rate does not clear the labour market. It is simply too high. It follows that the shadow value of labour that should be used in project assessment studies is below the market rate.
The rate of discount
The rate of discount can be crucial for assessment of the net benefits of projects, especially long-lived ones. The question, therefore, is what rate to use.
As a matter of economic principle, the appropriate rate of discount is the one that equates the marginal rate of return on investments with individuals marginal time preference. In a perfect market economy with perfect capital markets, this is attained at the equilibrium rate of interest, i.e. the one that clears capital markets (Stiegler, 1966, Stiglitz, 1982). However, in the real world, even in developed market economies, there are certain problems with the market rate of interest: First inflation expectations will affect the nominal rate of interest while, for project assessment, it is the real rate of discount that counts (Layard and Glaister, 1994). Second, taxes especially asymmetric taxation on borrowers and lenders will tend to distort market interest rates. Third, there seem to be certain, quite pervasive social externalities associated with investments inducing a difference between the individual and the social rate of discount (Sen, 1967). This suggests that an appropriate rate of time discount might be lower for social projects than private ones. Fourth, market discount rates may be expected to contain an allowance for risk. The risk, however, is highly dependent upon the borrower. Hence, this factor will normally also imply that the public rate of discount is lower than the private one.
The most common discount rate used in cost-benefit studies is the rate on long term government bonds (Layard and Glaister, 1994). This has the advantage of minimizing the risk premium in the interest rate and to some extent internalizing the social externalities alluded to above. Another related approach, reflecting the social opportunity cost of capital is to discount all projects at the external rate of interest, i.e. the interest rate on foreign borrowings (for a net borrower) or foreign lending (for a net lender). Needless to say, these two approaches should yield very similar rates of discount.
Non-market goods
In any society, there are many goods that are not traded and for which there are no markets. This situation, often referred to as missing markets, often arises due to a lack of private property rights in the good in question. The problem of missing markets is particularly troublesome for cost-benefit studies, for in that case, a price (in the usual sense) does not even exist.
Many natural resources are subject to the problem of missing markets. This applies both to specific natural resources such as fish stocks, air quality or the ozone layer and general natural resources such as the environment, view etc. In those cases it is necessary to impose a valuation or a shadow price for the natural resources affected by the project.
The proper evaluation of non-market goods is sometimes very difficult. Thus, for instance many natural resources are characterized by the problem of irreversibility. In broad terms, irreversibility means that if the level of the resource falls short of (or in some cases exceeds) certain bounds, it can never be brought back. This aspect should, of course, be reflected in the resources shadow value with the result that the shadow value may increase greatly when the resource level approaches the region of irreversibility.
It should be noted that ocean ranching is a production process that to a great extent utilizes natural resources many of which are typically non-market ones. Hence the problem of missing markets may be particularly acute in the economic assessment of ocean ranching projects.
The project evaluation principles discussed in 3.1 and the accounting price problems discussed in 3.2 apply in a general sense to both developed and underdeveloped economies. However, from a practical point of view, the problems of project evaluation, at least as they are usually conducted, are much more difficult in underdeveloped economies.
There are two main reasons for this: First, in underdeveloped economies the market system is usually less well developed. Consequently, the problems of missing markets, persistent disequilibrium and imperfect competition are typically much more prevalent in underdeveloped economies than more developed ones. Second, when it comes to constructing proper shadow prices, the required data are usually less readily available in underdeveloped economies than developed ones.
Thus, it appears, that as far as sensible economic project evaluation is concerned, the underdeveloped world has the worst of both worlds. The problems of project evaluation are greater and the means to solve them less.
Pure ocean ranching consists of releasing juvenile fish into the ocean for a subsequent recapture. Therefore, the activity normally involves the construction and operation of:
(i) Hatcheries.Stock enhancement ocean ranching involves only the first two of these items. Since as far as externalities is concerned, stock enhancement ocean ranching is but a subset of pure ocean ranching we will only discuss the latter in what follows.
(ii) Ocean release facilities.
(iii) Recapture facilities.
(iv) Slaughter, and processing facilities.
Obviously ocean ranching is extensively based on natural resource use. As many of these resources are typically non-market ones, a number of environmental externalities are involved. The following are readily identifiable[27]:
I. Impact on other ocean biotaAdding fish into the (local) marine ecology is bound to require an adjustment in the stock sizes of other species in the ecology. It is convenient to distinguish between impacts on the following:
(1) Other ocean stocksII. Environmental impactsThis includes predation, competition and decease transmission. Notice that the impact may be both positive and negative.
(2) Wild stocks of the same species
This includes all of the above and (possibly) genetic impacts as well. Again, the impact may be either positive or negative.
An ocean ranching operation also typically has other environmental impacts including:
(1) Impact on landIII. Land useDue to effluents and emissions form the operation.
(2) Ocean habitat impact.
Due to effluents and emission of the operation but also possibly the impact of the released fish on the ocean topology.
An ocean ranching operation inevitably requires some land, normally on the shoreline or close to it. Moreover, the operation typically requires certain exclusion area in the ocean surrounding the operation. This land and ocean area (hereafter referred to just as land) cannot be used for other purposes. If the land is not a market commodity, an externality is imposed. Even if the land has been bought on the market there may still be environmental externalities in the form of impact on view, recreational possibilities etc.
IV. Recapture externality
The ocean ranching operation may affect the harvesting possibilities for fishermen exogenous to the ocean ranching operation. Often, their harvesting opportunities of the ranched species would be increased due to the addition of the ranched fish.[28] For most other species, the opposite effect would tend to be the rule through the chain of ecological adjustments.
For an appropriate economic evaluation of an ocean ranching operation, it is imperative to assign a value to these externalities. Many of them may be either negative or positive implying that the corresponding shadow prices may be either negative or positive.
Some of the environmental impacts of an ocean ranching operation such as genetic impacts, ecological shifts and habitat impacts may be difficult to reverse or even not reversible at all. It is, of course, important that the assigned shadow prices reflect this.
Having obtained estimates of all costs and benefits stemming from the project at different times, the problem is to calculate the overall benefits. The present value of the project and its internal rate of return are by far the most common overall measures used for this purpose. Due to certain well-known problems with the internal rate of -return method,[29] it is strongly recommended that the present value of the project be used. This can be easily calculated on the basis of equation (6), in Section 3.1 here reproduced for ease of reference:
(6)
where dW represents the present value of the project, B(t) and C(t) the benefits and costs respectively at time t and r the rate of time discount.
From (6) it is readily seen that the rate of discount has an important impact on the present value of the project. Provided the net benefits are positive the present value of the project falls with the rate of discount as illustrated in Figure 3.1. Moreover, again generally speaking, the longer the project, the greater the impact of r.
It may seem that a project should be undertaken if its present value, correctly estimated, is positive. This, however, is not true as a general rule. For instance, it would only be true, if the project in question is independent of other projects with a positive present value. If two such projects are mutually exclusive, for instance because both require the same land, the one with the higher present value should be selected.
Figure 3.1 A present value diagram

Risk is another reason a project with a positive (expected) present value should not necessarily be undertaken. First, ocean ranching projects are inherently comparatively quite risky. Therefore risk aversion may make such a project unattractive even if the expected value is strictly positive. Second, and more fundamentally, due to the risk it may be optimal to postpone starting the project and thus keep the option open in hope that the future will bring additional information that reduces the uncertainty about the value of the project.[30]
An ocean ranching project may have an unequivocally positive present value but distributes the costs and benefits unequally amongst the population. In such cases little can be said in general about whether the project should be carried out or not. The problem is essentially one to be dealt with by the social welfare function, more precisely what weight to give to different individuals.[31]
To make some headway, however, it is convenient to distinguish between two cases. The first is the case where the project represents a Pareto improvement. This means that everyone is better off, although possibly unequally so. In this case, the recommendation is to do the project.
The other case is where some individuals are actually made worse off by the project, although the present value of the project (correctly calculated) is positive. In this case, the gainers could compensate the losers and still be better off. The project thus satisfies the Hicks-Kaldor criterion for projects worth doing (See Ng, 1980). However, as pointed out by many economists (see e.g. Layard and Glaister, 1994; Ng, 1980 and Sen 1987), if this reallocation does not actually take place, it is not at all clear that the project should be carried through.
If there are other projects that unequivocally represent a Pareto improvement, this is not much of a problem. The current project should simply be postponed and other projects done first. However, if there are no clear Pareto-improvement projects, it seems unavoidable to resort to the social welfare function to determine whether or not the current project is worth doing.
The lesson is that distributional aspects of an ocean ranching project are important. In such projects, it is likely that some individuals (e.g. conventional fishermen) will be hurt. Hence, it is important to design an appropriate compensatory mechanism as a part of the project.
Next to the output price, recovery rates are the most important single determinant of ocean ranching profitability. In a typical operation, with considerable fixed costs the sensitivity of annual profits to recovery rates is generally very high. Employing economic jargon, the elasticity of profits with respect to recovery rates is well in excess of unity.[32] Due to the effect of discounting at a positive rate of interest, the elasticity of the present value of the project as a whole with respect to recovery rates is generally somewhat lower. The sensitivity of the present value of a typical ocean ranching project with respect to recovery rates (actually deviations from the expected rate) is illustrated in Figure 3.2.
The large impact of recovery rates on the profitability of ocean ranching projects suggests the importance of accurately predicting these rates in evaluating the project. Unfortunately, it turns that this is usually not a very easy task.
The first problem has to do with the ecological response to the introduction of ranched individuals. This is generally somewhat unpredictable unless there is a great deal of knowledge about the ecology (which is rare). This means first of all that it is difficult to predict recovery rates without experimentation. It also means that the experiments have to be relatively large scale ones, preferably of the same relative scale as the project under consideration. It means thirdly that the experiments have to be run for time sufficient to reach the neighbourhood of a new ecological equilibrium. There is limited use in recovery data along a disequilibrium adjustment path.
Figure 3.2 Ocean ranching profitability: sensitivity to recovery rates

The second problem is to design the experiments. This can be quite complicated. As already mentioned, the experiments should throw light on the eventual recovery rates in the project. This means that the experiments must in some way reflect the eventual scale of releases. Also, in order to generate useful data, the experimental design must make it possible to distinguish between the returns from different batches of releases. This suggests an extensive tagging or marking project. Moreover, the experiments have to generate data useable to forecast equilibrium recovery rates. A prolonged experimental period, on the other hand, is expensive.
The third problem is to make the statistically appropriate inference from the collected recovery data. This is by no means trivial, even if the data reflect ecological equilibrium. The problem is to map the releases into recoveries under the appropriate probability distribution function. The data are essentially releases in numbers, recoveries at different time periods in numbers and weights and other relevant conditions of the recovered fish. However, in addition to the releases, ecological conditions, reflected in natural mortality and fish weight changes, are also major determinants of returns. Moreover, recovery techniques determine the actual recoveries of returned fish. Hence, all these variables should play a role in the recovery prediction.
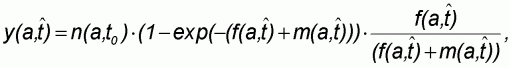
Generally speaking, recoveries are a complicated function of natural mortality, weight gain functions and other variables. An example of a theoretically appropriate equation of this type, further discussed in appendix 3.2, is as follows[33]:
(7)
where
represents returns from release a during period
,
n(a,t0) represents surviving fish from release
a at time to and
and
represent respectively the
rate of returns and the natural mortality rate of release a during the
time period
. As shown in
Appendix 3.2, n(a,t0) depends on releases
according to the equation:
(8)
where n(a,a) represents, of course, the number of initial releases at time a.
Now, the objective is to obtain consistent estimates of the
variables
and
on the basis of
observations on
and
n(a,a). The variables,
and
, however, are actually
functions of a number of environmental variables. Hence, the estimation
procedure will normally be faced with the problem of unobservable explanatory
variables. Even ignoring these problems, it is clear from expressions (7) and
(8) that the estimation procedure will normally be a highly nonlinear one and
therefore numerically cumbersome.[34]
There are other, more direct, approaches to estimating recovery rates in a consistent manner. The main point here, however, is that the estimation problem is inherently a complex one and any consistent statistical estimation procedure requires a good deal of careful thought.
The above discussion has made it clear that the private outcome of an ocean ranching project, i.e. the economic results experienced by the operator, may easily differ from the social one. The difference between the two is both in terms of quantities and prices. A private evaluation of a project usually involves fewer items of costs and benefits than the public one. Thus, the private operator naturally ignores cost (and benefit) items that do not affect his operating account. These include among other things the external effects of the operation discussed at some length in previous sections. Even more importantly, there is generally a gap (sometimes a large one) between many private and social prices. The private operator generally employs market prices in his evaluation of the cost and benefit items he includes in his calculation. These often do not coincide with the shadow values of the commodities appropriate in a social evaluation of the net benefits of a project.
For these reasons it appears convenient to deal with private and social evaluation separately. It should be realized that private evaluation may in general differ considerably from the social one which is, of course, theoretically more correct. Nevertheless, since the private evaluation is in a certain sense a subset of the social one, it is useful to start with that. The strategy is to list the cost and benefit items and to comment briefly on each.
Ocean ranching (at least pure ocean ranching) generally requires a substantial[35] investment in physical, financial and human capital. The capital investment is in hatching facilities, release facilities, recovery facilities and slaughter and processing facilities (including storage). In addition, since ocean ranching is a delayed output process, i.e. the revenues generally appear some time after the investment and the operating costs, it requires a relatively high level of operating capital. The human capital investment is in the development of expert knowledge (some of which is not person specific) and training of the workforce. Due to this relatively high level of capital investment, an ocean ranching operation must be a long term one to be profitable and, consequently, must be evaluated as one.
I. Private evaluation
1. Output prices
A market study must be conducted to determine current output prices and forecast future ones. This exercise is usually quite demanding, especially the output price forecasts which are crucial for a proper evaluation of the project due to its length. The most convenient price to use in this exercise is usually the ex-factory price.
2. Investment costs and their timing
A schedule for investments in physical capital, operating capital, human capital, and research and the associated costs must be completed.
3. Recovery rates
Recovery rates are crucial for the success of the project. The estimation and forecasts of these requires experimentation and statistical evaluation as discussed at length in section 3.7. In some cases, recovery data from similar projects especially those utilizing a similar or the same ecology may assist in this task.
4. Hatchery costs
This includes investment and operating costs giving rise to a supply price of fish for release. In some cases the fish at or close to release size is actually available in the market or from a subcontractor. In those cases, provided this is the actual procurement method, these prices are the appropriate ones to use. They have to be forecast, nevertheless.
5. Release costs
Again this includes investment and operating costs. These costs will include release charges as applicable.
6. Recovery costs
Again investment and operating costs should be distinguished.
7. Slaughter and processing costs
Once again this should be separated into investment and operating costs. Note that packaging is included in the processing costs.
8. Storage and shipping costs
This would cover shipping to the output price point employed under point 1 above. Once again investment and operating costs should be distinguished.
9. Management and marketing costs
This is an important cost item in most ocean ranching operations. Fish products as other food products are quite heterogenous with respect to quality. Hence, the prices vary a great deal not only according to product type and quality but also for identical products with different brand name and distributional channels. Consequently, the marketing aspect of an ocean ranching operation may be crucial.
10. Capital and financing costs
An ocean ranching project needs capital for physical human capital investment. Hence capital costs are generally quite high. In addition to the usual capital costs, an ocean ranching operation generally needs a good deal of operating capital to finance investment in the stock of fish being ranched in the ocean. This last category of costs, sometimes overlooked in the evaluation of ocean ranching projects, may be quite high often amounting to the commercial interest of up to one year turnover in equilibrium.
11. Scrap value
An important aspect of any project is the value of the operation at the end of the foreseen operation period. This applies to an ocean ranching operation as well.
12. Risk analysis
Ocean ranching projects are inherently risky. Probably they belong to the riskier half of economic projects. Consequently a risk analysis constitutes an integral part of their economic evaluation. This involves essentially two things; description of the risk and determination of the risk attitude of the investors. Ideally risk is described as a probability distribution of outcomes. The most common way to generate this is via Bayesian statistical techniques or Monte Carlo simulations. In certain situations[36], sensitivity analysis and mean-value calculation are sufficient. In some cases, risk can be represented as a risk premium to be added to the discount factor rate.
Measures of project outcome
There are many measures of project outcome, operating accounts, cash-flow accounts, balance sheets, present values, internal rates of return, investment repayment period etc. The most important single measure and in many respects the crucial one, is the present value of the project. Given a time path of all the cost and benefit items discussed above, this and all the other performance measures can be calculated.
Decision rule
The basic decision rule is very simple: Do projects with a positive present value provided (a) the risk is not too great, (b) the benefits of waiting one more period are not too great and (c) they do not prevent other higher value projects.
II. Social evaluation
A social evaluation of an ocean ranching project includes all of the items included in a private evaluation (possibly excluding taxes) with the following additions:
(1) Inclusion of all non-market items or externalities.
(2) Employment of correct (shadow prices) for all inputs, outputs and external quantities[37].
(3) Determine economic multiplier effects if any.
Multiplier effects would be particularly relevant in a situation of unemployment. To carry such a study out, however, requires a general equilibrium economic model.
(4) Study the distributional implications of the project.
The main purpose of a study of the distributional aspects of ocean ranching would be to identify losers and to determine whether or not it might be possible to device a mechanism to compensate them.
(5) Do a social risk analysis.
A social risk analysis generally produces very different results from a private study. First, social attitudes toward risk are often quite different from individual ones, if only because the society is larger and therefore better able to absorb risk. Second, society would include in its calculations risks associated with external effects that private individuals would not consider. Third, certain natural resource irreversibilities are of much greater concern to society as a whole than they are to most individuals.
Given these modifications, measures of project outcome and decision rule would be identical to that of a private evaluation procedure.
III. Global evaluation
An ocean ranching project may produce positive net benefits for a given nation while being globally uneconomical. The situation is very much the same as between a private assessment of a project and a national one. The global community has to be concerned with more external effects than the national one which, in turn, is concerned with more external effects than the private one. Thus, apart from the difference in scale, a global evaluation of an ocean ranching project would proceed as a national one.
Social evaluations of ocean ranching projects are not needed if private enterprise can be relied on to make the socially appropriate decisions. The market system is an institutional framework designed to bring this about. In conventional production activity in developed economies it may be presumed to work quite well. In the case of ocean ranching, however, the associated externalities are so pervasive that private evaluations of projects are likely to diverge quite drastically from social ones. On the other hand, national evaluations of such projects are costly and time consuming. It is therefore highly desirable to devise an institutional framework or modifications thereof capable of guiding private enterprise in ocean ranching toward the socially optimal solution.
This is not an easy task. In principle it is necessary to examine each particular situation in order to determine the appropriate modifications of the institutional framework. Fundamentally, however, there are two general approaches to this task:
(1) Define the appropriate property rightsIt should be noted that approaches (1) and (2) are not mutually exclusive. They can be used in conjunction to support each other. In all cases, it is important to clarify legislation and rights.Ocean ranching imposes externalities on various groups such as fishermen, shoreline users and other ocean ranchers. These externalities arise because the ocean ranching operation affects the resources which these groups utilize without compensation. This would not be the case, if these resources - fish stocks, pristine shorelines etc. were the property of the users in question. Hence, a solution to the externality problem of ocean ranching is to grant adequate property rights to the resources affects by the ocean ranching operation. One method to do that is discussed in section 2.2 above. Incidentally, provided these property rights are well-defined, tradable and permanent, it doesnt really matter who receives the property rights. Given sufficiently high quality property rights, trades and bargaining will tend to produce the socially optimal solution (Coase, 1960; Arnason, 1990). As a further refinement, the authorities could reduce transaction costs and facilitate conflict resolution by providing appropriate market fora and legal avenues.
(2) Impose corrective taxes (and subsidies) on ocean ranching operations
Another approach is to impose corrective taxes (or subsidies) on the ocean ranching operation to reflect its use of resources having alternative use value. This in effect, is an attempt to restore price signals to commodities for which there are no markets. Correct taxes of this nature will, in principle, produce the same result as a complete property rights structure.
Redefinition of the institutional framework along the lines discussed above is considerably easier in a developed economy than in an underdeveloped one. In underdeveloped economies, the basic institutional framework of economic activity tends to be too weak to sustain modifications of this type. The problems of missing markets and externalities are simply too extensive to permit simple corrections. In addition, the imposition of corrective taxes and the enforcement of novel property rights structures are, in many cases, administratively infeasible.