Centre for Resource and Environmental Studies
Australian National University, Canberra, ACT 0200
Australia
<[email protected]>
1. INTRODUCTION
In 1986, New Zealand introduced management by Individual Transferable Quota (ITQ) for 26 of the countrys most economically significant fishery species. The system has since been expanded and extensively modified, and remains the most comprehensive and perhaps most robust example of ITQ-management in the world today.
The system was born of dual motivations: concern for the stress on stocks being imposed by rapidly expanding effort in inshore fin-fisheries; and the desire for a mechanism to allow the domestic industry to capture rents and build capacity in the offshore sector, dominated in the past by foreign fleets. These objectives implied restructuring of the fleet to better cater to resource-limitations on the one hand and opportunities for a great expansion of domestic effort on the other. ITQs do not dictate fleet structure nor distribution of catch entitlements, but provide a mechanism for such decisions to be taken at the level of the individual firm. It is important that the progress of adjustment of fleet-capacity and ownership of harvesting-rights is assessed so that other jurisdictions may learn from the early experience with ITQ-management.
The objectives of this paper are to analyse, to the extent possible with readily available data, the impacts of the introduction of ITQ-management on the structure of the New Zealand commercial fishing fleet, and on the distribution of ownership of the catch. Such an appraisal has not previously been undertaken for New Zealand, and only limited assessments of other quota-managed fisheries have been published. Together with the scale of the New Zealand Quota Management System (QMS) and data availability, this has limited the analysis to a broad assessment that is useful in itself, but which also raises issues for further investigation. These include methodological issues as well as questions requiring more detailed information on the structure and dynamics of the New Zealand fishing industry.
An analysis of fleet structure is presented following a brief description of the historical context and the New Zealand ITQ-management reforms. This stratifies the fleet by length-class and uses gross registered tonnage (GRT) as a proxy for vessel fishing-capacity. Trends are identified and discussed. Catch figures are reviewed to provide a basis for assessing capacity trends. An analysis is made of the age-structure of the fleet to aid understanding of fleet structural dynamics and the impacts of quota-management, which are then discussed. The next section undertakes analysis of the trends in distribution of quota and catch among quota-holders. A range of indices are generated from quota registry and catch data. These are used to assess the degree of, and trends in, concentration of ownership of quota and how this differs from concentration of end-of-year holdings and actual catch. The pre-ITQ baseline distribution used for comparison in this analysis is that of the provisional maximum individual transferable quota (PMITQ), issued by the Ministry as part of the ITQ-allocation process, based on assessment of individual fisher catch histories. The final section of the paper provides some discussion of the overall results of the analyses and potential for further research.
2. BACKGROUND
2.1 The historical context[101]
In 1978 New Zealand declared a 200-mile Exclusive Economic Zone around its coasts encompassing some 4.1 million square kilometres. About one-third of this area is fishable by modern demersal methods, and the zone has an estimated sustainable yield in excess of half a million tonnes. As in other coastal states, the declaration of the EEZ was in part a response to fishing of the zone by distant-water fleets of other nations, in particular by Japan, the Republic of Korea and the former USSR. This foreign exploitation of New Zealand fish-stocks had begun in the 1950s when the domestic industry was highly regulated. The government response was to completely deregulate fishing in 1963 and to provide subsidies and other encouragement for the domestic industry to compete for a larger share of the catch. The industry responded with a vessel-building boom and a rapid increase in catches from the inshore fisheries. However, the foreign fleets also increased their efforts, and by 1977 were taking nearly 90% of the known 476 000t catch of fin-fish from the area (Sharp 1997).
Responsibility for the management of New Zealands fisheries lay with the Ministry of Agriculture and Fisheries (MAF)[102]. Initially, following the declaration of the EEZ, the fisheries outside the twelve-mile Territorial Sea were managed separately. Total allowable catches (TACs) were struck for the offshore species, and these were first allocated preferentially to the domestic industry, and second to the foreign fleets under licence and government bilateral agreements. The policies offered the foreign fleets less of the prime species and areas than they had previously been fishing, changing the economic balance, and resulting in a much reduced total catch for the next few years (OECD 1997).
Government policies also proved incentives for domestic companies to invest in onshore processing-plants and vessels for offshore fishing, but the main initial domestic involvement was developed through joint-ventures with foreign companies and foreign vessel charters. Joint ventures brought local crew onto the big vessels, and direct involvement of domestic companies in the management of fishing operations and marketing, paving the way for further domestic expansion. Foreign vessels began delivering large catches to onshore processing. By about 1982 the local companies had learnt what they needed to know from joint ventures, and arrangements with foreign vessels moved to simpler contracts to charter fishing-capacity to catch against domestic company-quotas. Foreign vessel charter has remained an important part of offshore fishing in New Zealand since that time, gradually diminishing as domestic companies have invested in large freezer-trawlers. Both arrangements brought greatly increased cash-flow to the domestic industry, foreign exchange from exports and employment in processing.
It was at this time that the inshore fisheries began showing signs of stress and management gradually moved into crisis mode. New powers to declare controlled fisheries were introduced in 1977 and a moratorium on scallop and rock lobster permits followed in 1978. Alarming fluctuations in catches of the most economically important inshore species, snapper (Pagrus auratus), and rapidly increasing catches of vulnerable species of sharks and gropers, brought a total moratorium on new fishing permits in 1982. Both management and industry had recognised that there were economic as well as stock problems in the inshore fisheries (Riley 1982). Five per cent of the fleet was taking two-thirds of the catch, and there were large numbers of part-time operators.
During 1983 a consultative policy review process was initiated by the Ministry for the inshore fisheries, and a trial enterprise allocation (EA) quota-scheme was introduced in the offshore fisheries. After several rounds of consultation and a change of government, a decision was made in 1985 to adopt a near-comprehensive ITQ-based management system for both inshore and offshore sectors. For the offshore, existing EA quotas were converted to ITQ directly. For the inshore, a complex process of assessment and allocation was undertaken. Initial allocations of entitlement were based on catch-histories from the best two of three qualifying years and a tendering process was undertaken for reduction of total allocations through a government-funded quota buy-back. Where reduction targets were not met for critical species, administrative reductions were made to establish the required total allowable catches[103],[104].
2.2 The nature of the harvesting-right
Prior to the introduction of ITQs in New Zealand, rights to engage in commercial fishing were focused primarily on the fishing permit. Permits were issued by the Ministry and were subject to conditions elaborated on the permit, as well to the provisions of fisheries legislation and regulations. From 1963 to 1982 (1978 for rock lobster and scallops) there was no restriction on the number of permits available. The system was that of regulated open-access. From March 1982 there was a moratorium on the issuance of new permits for the inshore fin-fish fisheries. Part of the system of permit conditions was the nomination of the species being fished and methods to be used. The moratorium was intended to prevent further such endorsements to existing permits, and this was at least partially successful. In effect, the permit-moratorium limited the participants in each fishery and therefore the eventual recipients of ITQ allocations.
The passing of the Fisheries Act 1983 introduced a new definition of commercial fisherman that permanently excluded an estimated 1500-1800 part-time fishers from renewing their permits. This significantly reduced the population of fishing entitlements (by around 40%) and the potential for expanded effort, but did not significantly reduce the actual fishing-effort applied. Also in 1983, the introduction of administrative enterprise allocations (EAs), modelled on the system used in the Canadian Atlantic offshore trawl-fishery, established individual catch-entitlements for the first time. These were issued to seven large companies and two consortia active in the offshore sector, and additional amounts of the TACs were fished competitively by other smaller participants. These quotas were a trial scheme, were valid initially for ten years, and covered the nine key mid-depth and deep-water species. They were applicable to the company, not to individual vessels or skippers, so that the most efficient use could be made of catching-capacity. Transfer was possible subject to approval of the Ministry. These off-shore quotas became the trial for the later wider adoption of ITQs.
New Zealand ITQs came into effect in October 1986 applying to 153 management stocks of 26 species - the nine off-shore species under EAs, plus 17 inshore species. Catches of these species at the time comprised about 83% by weight of the total commercial fin-fish catch. Allocations were subject to appeal to a quasi-judicial Quota Appeal Authority, but this did not affect the full operation of the management-system or quota-trading. ITQs were created as a perpetual right to a part of the fish harvest, designated in absolute weights of whole fish (in tonnes) for a particular species or species group to be taken annually from a specified quota-management area. These rights were allocated free of charge to existing participants in the fisheries, and were to be fully compensated in the event of TAC reductions. Free transferability and lease was subject to reporting of all transactions with prices to the Ministry, and to aggregation limits of 20% for inshore and 35% for deep-water stocks. The ITQ allocated rights to utilise the resources, but the fishing permit remained as the right of access. Under the QMS legislation, a fishing permit was to be granted to anyone who fulfilled the minimum quota-holdings requirement of five tonnes for finfish.
Responsibilities attached to quota-ownership included legal obligations to land all catch of quota species, unless under minimum legal size; to submit monthly quota-monitoring reports in addition to completing catch and landing returns and catch-effort logs; and to pay resource-rentals on all quota held, whether caught or not. Some flexibility was built into the system by allowing the carry-over of up to ten percent of uncaught quota to the following year, or for up to 10% over-catch of holdings to be counted against the following years entitlements.
These characteristics established the character of the ITQ as private property in the right to harvest fish from a given stock - not in the fish stocks themselves - and a clear understanding of this character has become generalised in New Zealand since 1986. There was no legal impediment to the use of ITQ as security for bank loans, but the Ministry did not make provision for the registration of liens or caveats against the title to ownership and this in many cases prevented such use.
The nature of the ITQ-right underwent a major change in 1990. The original specification of ITQ in tonnes of fish required the government to enter the quota-market to buy or sell quota when it wished to alter the total allowable catch. When faced with potential for stock collapse in orange roughy[105] and the need to reduce this valuable quota by large percentages, the system was changed so that ITQ were denominated as a percentage of the TAC, rather than as a specific tonnage. Adjustment then implied merely the automatic pro rata adjustment of all ITQ-holdings at the beginning of each season to match the TAC.
3. ASSESSMENT OF FLEET-CAPACITY
3.1 Characterising fleet-capacity
3.1.1 Introduction
The New Zealand fisheries to which quota management has been applied cover a full range of species, habitats and methods. The fleet subject to quota-restrictions thus covers every possible size and configuration from 3m dinghies to freezer trawlers above-100m. Methods include single and pair trawling, seining, drop line, pelagic and bottom long-line, pole-and-line, trolling, set-net, potting, and trap. More than 100 finfish species caught ranging from estuary flounders to deep-sea oreos, and shellfish include scallops, clams, dredge oysters, abalone (paua) and rock lobster. Few vessels within the fleet pursue a single species. In such high-value specialist fisheries as rock lobster and abalone, fishers may be content with one target, but most exploit other species in other seasons, and/or take some bycatch. Some 32 species were managed under ITQ in 1996 when new fisheries legislation was passed mandating the gradual inclusion of all commercial species in the system. By 1998 there were 42 species under ITQ and another 40 species considered commercially significant, with more being moved into the system each year.
Detailed study of capacity-utilisation under these conditions would require specific data collection and would need to be confined to a small sample of the fleet. This study takes a broad descriptive approach: data available from the agency vessel-registry is used to examine trends in a vessel-capacity proxy (gross registered tonnage) by vessel size-class, and to assess the age structure of the fleet. Separation by method or target species was not possible with the data used, but would be possible using vessel logbook data. The fleet has been stratified by length over-all (LOA) into size-classes of 3m, so as to match data summaries of earlier years (e.g. King 1985).
3.1.2 Methods and data
In data supplied from the New Zealand Ministry of Fisheries Quota Management System (QMS), vessels are categorised as domestic, chartered or foreign. Vessel dimensions include gross registered tonnage (GRT), which is used here as a proxy for fishing-capacity. GRT by length-class is summarised for domestic vessels, and GRT by flag-state for charters from 1987 to 1998. Data on the dimensions of the foreign-licensed vessels were not available.
The available data contained many errors and duplications, with some significant gaps, although the error rate decreased in later years. For vessels with no recorded GRT, the averages of recorded GRT for the relevant length-class from the same year were used as estimates. After elimination of gross entry-errors these averages are quite consistent, with any changes being smooth trends. Pre-QMS data on vessels was only available for a few years (1984-88), was in a different format and was extremely patchy. For 1974 to 1982, GRT was estimated as the product of vessel numbers in each length-class published by King (1985) and mean GRT for each class calculated from QMS data for the years 1989-1991. Identified gaps have been filled by interpolation - particularly over 1983-4 - when the basis for data collection changed with the change in official fishing-year to begin in October. The vessel data for 1984-88 were the worst for data-entry errors, missing data, duplicates and so on, and the results for these years should be treated as indicative only.
The analysis of capacity is focused firstly on the inshore fleet, which was viewed as over-capitalised at the time that the QMS was introduced. An assumption is made in the analysis of GRT by length-class that vessels over 33m are not primarily part of the inshore fleet. This is somewhat arbitrary and, in part, is an artefact of the pre-QMS data that grouped together all vessels over 33m. However, it is considered reasonable that most vessels greater than 33m in length would be primarily deployed fishing in deeper waters. In fact many vessels smaller than 33m are likely to be deployed in fishing for offshore species.
The New Zealand Fishing Industry Board reported details of fleet composition and catch by method for 1984, 1986 and 1987 (FIB 1987; FIB 1989). These data are used to increase understanding of structural change in the fleet. In addition, QMS data recording the year of construction of vessels are used to examine the age structure of the fleet by size-class.
3.2 Results of capacity-assessment
3.2.1 Inshore fleet
Changes were expected in the fleet across the boundary where the QMS was introduced in 1986, particularly for the inshore where total allowable catches were reduced considerably through a quota buy-back scheme. In addition, the Fisheries Act 1983 introduced a new definition of commercial fisherman that effectively excluded many smaller vessels prior to the implementation of quota, on the grounds that they were only fishing on a part-time basis.
The results of the analysis of trends in GRT for the inshore domestic fleet (less than 33m LOA) produce a natural stratification into three groups: under 12m; 12-24m; 24-33m. The general pattern has been for the small-boat sector to decline in both numbers and capacity; the mid-size fleet has remained fairly constant; and the larger vessels have increased in number. The result has been no net change in capacity from the pre-QMS peak in 1982 to 1998, although a higher peak was reached in 1994. Figure 1 illustrates the trends. The mean total GRT for vessels under-33m for the years 1976-85 was 31 301, and for 1987-1998 it was 34 219: an increase of 9%. The 1998 figure was 33 352 GRT.
A number of other features are evident in this data. Some of the variation in the period 1982 to 1989 is likely due to data problems, but the impacts of policy-change can be clearly seen. The enactment of the Exclusive Economic Zone Act 1977 stimulated expansion in the number of both small (<12m) and large (24-33m) vessels. From 1976 to 1982 small-vessel capacity increased by some 27% while that for large vessels increased by 400%, each of these groups contributing about the same amount of additional tonnage over the period. The 1983 exclusion of part-timer fishermen hit the small-vessels harder than the other classes, as expected. Numbers of vessels less-than-12m LOA have dropped substantially from 4800 at their peak in 1978, to just over 2000 following the implementation of the exclusion policy and ITQs. This represents a 54% drop in numbers and a 34% reduction in capacity, indicating that a greater number of smaller-boats from the group exited (see Figure 2). A brief resurgence in numbers of small-boats in the late 1980s was followed by further declines, to around 1300 in 1998 - representing 28% of the peak number and 54% of peak capacity for this sector. This reduction represents 14% of the 1978 total capacity of the inshore fleet less-than-33m.
The data trend settled down following the transition to ITQs in 1986, and the whole fleet experienced steady growth until 1994. From this date (the year that full cost-recovery was implemented in New Zealand) over the next four years the capacity in the small-boat sector declined by one-third, and by about seven percent in the other two classes. Further detail is provided in Figures 3 and 4. Notable in the data are the large numbers involved and the volatility in the smallest size-classes, the static nature of capacity and numbers in the 12-24m classes (this might be regarded as the core inshore fleet), and the high growth rate in the large-vessel classes. The 24-33m class increased in number and capacity by a full order of magnitude over two decades before growth was halted in the mid 1990s. As will be seen below, this indicates for these vessels 24-33m in length greater affiliation with the offshore-sector than the inshore.
Data sources: King 1985; FSU data; QMS data.Figure 2. New Zealand small boat sector - Total capacity (GRT) and count of registered vessels less than 12m length
Data sources: King 1985; FSU data; QMS data.Figure 3. Total capacity (GRT) and count by length class of registered fishing vessels of 12 to 24ms length - 1974 to 1998
Data sources: King 1985; FSU data; QMS data.Overall, although the total capacity of this under-33m fleet has not been reduced over time, policy changes have certainly had some impact in halting expansionary phases. Further, close examination of the activities of the larger vessels (24-33m) included in the analysis may significantly change the picture, as a significant proportion of the capacity in these classes is undoubtedly applied to offshore fisheries (such as hoki and the pelagic species). This would imply that the capacity being applied in the inshore fisheries has effectively declined from its pre-QMS peak in 1982. If the vessels greater-than-24m are excluded as being part of the inshore fleet, then capacity in 1998 is back down to pre-EEZ (1974) levels. The aggregate catch for the main inshore species has not changed between peak-years before and after the QMS, although the catch composition has changed through quota, effectively constraining the catch of particular species, while others have increased. Catch trends are considered in more detail below.
Because of the data-sources used here detailed analysis of the distribution of capacity by species and method has not been possible. However, Figures 5 and 6 show data published by the Fishing Industry Board (FIB 1987, 1989, 1990, 1994, 1996) covering the whole domestic fleet. Figure 5 indicates the proportion of catch taken by method, for the 1984-5 and 1987-8 fishing years. The total catch taken by the domestic fleet declined from 150 000t to 130 000t between these years with the implementation of ITQs. Catch from single-trawls is constant for the two years and so increases as a proportion of the total. The other mobile gear, purse seining, expanded its catch of jack mackerels and kahawai rapidly in this period. The catches from all other methods declined. Set-netting was particularly hard hit due to a targeted reduction in catches under quota, of shark species, snapper and groper, and most of the vessels exiting from this sector were from the under-12m classes. Figure 6 shows the change in numbers of vessels by method, and indicates that by the mid-1990s set-netting was making something of a comeback. Of note also is the similar recovery of hook-and-line methods, and a gradual but steady decline in numbers of rock lobster boats.
Proportions of total New Zealand Domestic catch by method - 1984/5 and 1987/8
Figure 5a

Figure 5b

Data source: FIB 1987, 1989.3.2.2 Offshore fleet
In the length-classes of vessels suited to fishing the offshore species, more dramatic trends are apparent. Figure 7 shows the growth in capacity and numbers for the over-33m fleet compared with that of the large inshore classes already discussed. While the 24-33m class has expanded to some 8000GRT of the 33 000GRT inshore fleet, numbers of over-33m domestic vessels have increased from two in the late 1970s to 49 vessels in 1998, totalling some 45 000 gross registered tonnes. This large fleet of offshore vessels has been gradually replacing the capacity provided in the past by foreign vessels chartered by New Zealand fishing companies. After some earlier use of very large vessels, the dominant vessel length-classes are now 60-70m and 40-45m (see Figure 8).
This bimodal configuration is due in no small measure to a regulation (the 43m rule) that limits the use of vessels over 43m long in the inshore and in designated areas important for the huge hoki fishery. Vessels have been custom built for this fishery to conform to the regulation, and these fat boats have increased the average tonnage for this length-class dramatically. In the 40-45m range, there were 4 vessels in 1987 and 18 in 1998. Average tonnage of these vessels has increased by 50%, so total tonnage has climbed from 1600 to over 11 000GRT. The 60-70m class are now the largest vessels in the domestic fleet: there was 1 vessel in 1987, and 12 in 1998. Again, average tonnage has increased by 50% and total GRT has increased from about 1400 to 23 000. The data shows that up to ten vessels in the length-classes greater-than-70m working in the years since the implementation of the QMS, but all have now gone. This capacity has been more than accounted for by the expansion in the two classes described (40-45m and 60-70m).
Figure 6. Numbers of full-time* domestic vessels by method for selected years

* Full-time vessels are defined as those landing more than 7t of fin-fish or molluscs, or 2tTrends for registered charter-capacity are shown in Figure 9. The charter fleet is still important to the New Zealand fishing industry, with vessels with a combined 125 000 GRT active during 1998. This compares with less than 80 000 GRT for the total domestic fleet, but the charter vessels do not generally spend all-year fishing in New Zealand waters. The 1998 charter tonnage was within 4% of the total in 1987, with 1997 being the lowest total since the start of the QMS. In the interim, a huge peak of 288 000 GRT was registered in 1990. The majority of these vessels (176 000 GRT) was Russian, possibly reflecting difficulties in the administration of the fleet following the collapse of the Soviet Union. The Japanese charter fleet was already declining from its peak the previous year. From a traditional base in the Russian, Korean, and Japanese distant-water fleets that have fished New Zealand waters since the 1950s and 60s, the flag status of the charter-capacity has diversified substantially since 1992, with some 20 nations now represented. Russian - and Ukrainian-flagged vessels still provide about 45% of chartered tonnage.
of rock lobster. Data sources: FIB 1987, 1989, 1994, and 1996.
3.3 Catch
Catch figures over the period have been reviewed in order to put fleet changes in context. Figure 10 shows the catches of the main inshore species from 1974 to 1998, and Figure 11 compares catches immediately before ITQs with the 1998 result. As mentioned above, the aggregate catch for these species has not changed dramatically, although the catch mix has changed. Red cod catches are volatile due to variable recruitment, but among the other 17 species examined, catches of four species were sharply reduced on the introduction of the quota system and have been kept down since. These were the specific targets of the quota buy-back programme implemented in 1986. Effort seems to have shifted to other species whose total allowable commercial catches (TACCs) were under-caught, but as mentioned above, there are interactions between vessel-size, fishing-method and species. Those fishing the four key buy-back species included small-boats using set-nets and long-lines, and production by these methods was reduced sharply by the reforms. Groper is the only one of the four species not currently constrained by aggregate quota, but this is an artefact of the distribution of quota across areas. The areas of highest historical catch are fully fished against quota, while more remote areas are not. Another feature is the dip in total catches in the first year of the quota system. The reported catch for many species was well under the TACC-levels in 1987, but rose again the following season as the fishers adjusted to the new system.
Figure 7. Domestic fleet - numbers and capacity of large length-classes 1974 to 1998
Data sources: King 1985; FSU data; QMS data.The relevance of catch data from offshore species to the issues of domestic-capacity is perhaps to point out the blue-sky opportunity for capacity-development in this sector. From the declaration of the EEZ in 1978, the New Zealand fishing industry worked to develop and domesticate the offshore fisheries. In 1977, foreign fleets took almost 90% of the 500 000t catch from the zone. This foreign catch was cut right back in 1978 and the fisheries were gradually redeveloped under joint venture and charter arrangements with foreign vessels. Some foreign-licensed fishing also continued. Figure 12 shows the split of total production from the zone between foreign licence, charter/joint-ventures, and domestic vessels for the period 1985-95. This indicates the domestic fleets increasing share of an expanding total catch. The gradual switch from foreign - to domestic-fishing accelerated in the 1990s as a consequence of the development of the large-vessel capacity described above.
Total catches of offshore quota species are shown in Figure 13[106]. The plot shows the cuts in catch in 1978 with the implementation of the EEZ, particularly for the rapidly expanding foreign catches of hoki, hake and ling. Orange roughy then came to dominate this sector in value terms until the major expansion of hoki catches from 1986[107]. Figure 12 shows the use of charter vessels that took this catch and the response of the domestic fleet, and Figures 8 and 9 indicate the massive investment in domestic capacity taking place in the offshore sector from 1987.
Data source: QMS data.Figure 9. New Zealand foreign charter fleet capacity (GRT) by major flag-State - Capacity in GRT
Data source: QMS data.Catches of orange roughy catches have declined markedly from the mid-1980s, with the 1998 landings being only 39% of 1987 totals, at just over 20 000t. The several roughy fisheries had had TACCs initially set high on biological assumptions that proved overly optimistic. Since 1990 the TACCs have been progressively reduced to what are thought to be more sustainable levels, and these changes have brought catches down. This has been a highly-charged process and there have been overt political and economic trade-offs made against scientific recommendations for large cuts in the TACC. To some extent reductions in the TACC may have been tracking falling catches, and explicit deals with the industry have delayed overall reductions by creating new divisions of quota-management areas, with industry investing in exploration of new areas to maintain their catch. This serial discovery of new sea-mounts and other aggregation sites has protected the industry from what otherwise would have been major economic impacts, but knowledge of the impacts on stocks and their ecology is uncertain.
Figure 10. Total catch for NZ inshore finfish species: 1974-1998
Data sources: King 1985; FSU data; QMS data.3.4 Age profile of the domestic fleet
An analysis was made of the age structure of the domestic fleet from the vessel-registry records. The most complete data set was for vessels registered in 1996 and this is used for the main assessment. A further limited analysis was conducted of 1987 and 1984 data, which were less complete but allow some comparisons to be made. Histograms were plotted by length-class showing vessel numbers and total GRT by year built (see Appendix II).
Regular cycles of vessel-building activity are clear from this analysis. In general, peaks in numbers of vessels built occur at approximately decade frequency, but these cycles are also strongly correlated with the major regulatory changes. A decade-long boom in vessel-building occurred in New Zealand following the deregulation of fisheries in 1963, and another occurred with the declaration of the EEZ. The bulk of the capacity in the offshore fleet was built between 1986 and 1992, following the implementation of the QMS, but the established fleet did not experience another boom at this time.
These vessel cohorts are evident in the 1996 registry data for the 12-24m vessels, where vessels built in the 1960s remain the dominant cohort in numbers and capacity (Table 1). Earlier cohorts are also still evident with peaks immediately post-WWII and again in 1956. In this range about 25% of the vessel numbers and the total capacity fishing in 1996 was built before 1960, with the oldest vessel built in 1906.
The general picture for this core inshore fleet is that it is aging, with 80% of capacity more than 15-years old. Replacement since the implementation of the QMS has been at a low rate, with 80 vessels totalling 2400GRT built between 1987 and 1996. This has maintained the aggregate capacity of the fleet, but this pattern does not reflect any great incentive provided by ITQs to increase productive efficiency by investing in new vessels. This sector of the fleet warrants closer study to determine the impacts of the quota system on exit and entry incentives, and could provide a good opportunity to examine strategic decision making of vessel owners under uncertainty.
Table 1. Cohorts of 12-24m vessels
|
Year vessel built |
Number still registered in 1996 |
Total GRT 1996 |
|
Pre-1963 |
152 |
4 970 |
|
1963-1974 |
201 |
7 780 |
|
1975-1985 |
134 |
5 050 |
|
1986-1996 |
89 |
2 700 |
|
All vessels |
576 |
20 500 |
Data source: QMS data.There were few vessels larger-than-24m in the New Zealand fleet before the 1970s. The 1996 records show 7 vessels in the 24-33m range built between 1967 and 1975, but the bulk of the capacity in this class was built between 1977 and 1981 (the EEZ cohort). Twenty-seven vessels totalling 4350 GRT from these 5 years were still fishing in 1996 - around 60% of the total tonnage in this range. The origin of these vessels is unknown, but it is certain that a good number of them were imported second-hand as 1984 records show fewer than 20 registrations for the class at that time (refer Figure 4).
Data sources: FIB 1987, 1989, 1990, 1994 and 1996.Figure 13. Total New Zealand catch for selected deep-water species - 1974 to 1998
Data sources: Annala and Sullivan 1997; QMS data.For very large vessels (greater than 33m) a similar strong cohort is present from the 1970s with 27 of 58 vessels registered in 1996 built between 1971 and 1981. However, another 25 vessels were built between 1986 and 1992, and these have an average tonnage of more than twice that of the earlier group. Again many of these vessels were imported into New Zealand from service in other countriesfisheries. In 1984 there were only 12 vessels of over-33m in length registered, but records show, that of vessels in this range registered in 1996, 30 were built before 1984. Similarly for the second cohort, there were 20 additional registrations in this class between 1992 and 1996, but only two of these vessels were built in that period. Hence, the majority of the capacity added to the New Zealand fleet as a consequence of the domestication of the offshore fisheries seems to have been sourced from existing foreign fleets, although some vessels have been purpose-built.
In the smaller vessel classes (less-than-12m LOA), the 9-12m vessels show the two earlier cohorts as dominant - the first peaking in 1969 and the second in 1978, with no sign of a resurgence of building after the QMS implementation. The replacement rate has been low - an average of 8.6 vessels (60t) per year since 1987 for a fleet of 500 vessels, and the average tonnage of these replacements is significantly down (28%). Total capacity was maintained from 1987 to 1996, but has fallen nearly 20% through to 1998.
In the 6-9m vessel-length range there are, as expected, fewer older vessels with only a handful built before 1976 still operating. The EEZ fleet build-up is the dominant feature here with 35% of 1996 capacity built between 1976 and 1980. Since 1980 the replacement-rate has been fairly constant at about 30 GRT/year, or 2.7% of the 1996 fleet size. This low rate has no doubt contributed to the decline of the class in recent years as boats built in the late 1970s are retired. One possible explanation for the decline in this class is the replacement of the older, permanently-moored vessels with smaller (5-6m) aluminium vessels, moved on trailers, so as to improve productive efficiency and reduce maintenance costs.
Most boats under-6m LOA in the fleet in 1996 had been built since 1984 (70%) at an average of 37.5 boats (5% of the 1996 total) per year. This seems to be a rate high enough to maintain the fleet but numbers have still fallen about 25% since 1987. Within this period the building-rate and total number was higher from 1989 to 1994, but has since tapered off. This sector is flexible, due to the low cost and relatively short life of boats. There will always be a place for these small boats, but it is unlikely under quota-management that they will ever again reach the numbers of the late 1970s, when almost 3000 boats under-6m LOA were registered for commercial fishing.
3.5 Summary of fleet-capacity trends
In summary, the total capacity of the New Zealand domestic fishing fleet grew by a net 43% from 1987 to 1998. This is accounted for by growth in the offshore (>33m) fleet to replace charter vessels and increase specialisation. The noteable expanding classes include the 43m vessels and the 60-70m freezer trawlers. The inshore fleet has changed little in aggregate capacity although it has undergone significant restructuring. This restructuring has important dimensions not covered in the current analysis, such as vessel replacement: changed ownership patterns; gear configurations; and changed targeting. A core inshore fleet of 20 000 GRT in the range 12-24m LOA has been maintained as a constant capacity component since the mid-1970s. This section of the fleet is aging and there is a suggestion in the data that the replacement rate may be increasing through the 1990s.
The reduction in fleet-capacity by a drop in numbers of more than 70% in small-boats (<12m) has brought the capacity for this sector down below that of the early 1970s, and seen a shift to larger average vessel-size. The 24-33m class has developed rapidly from a few boats in the mid-1970s to become a significant sector of the domestic fleet. Many of these vessels will be deployed in fishing for species other than the inshore ones, indicating an overall decline in the capacity dedicated to the inshore waters since the introduction of quota. At the same time the overall catch of inshore species has been maintained, although the proportions of the species-mix have changed significantly, as catch levels for some over-fished stocks have been brought down while others have increased.
Insufficient data were available to describe in detail the impact of charter-capacity. Charter vessels do not operate in New Zealand all-year-round, and a fuller assessment of the relationships and trends in capacity and catch will require data on how long vessels are in New Zealand waters. However it is clear that the domestic fleet is taking an increasing proportion of the catch, and the early 1990s were a time of significant expansion in domestic capacity. Some of the large vessels added to the fleet had previously operated as chartered vessels and have been purchased by New Zealand companies. Others have been purpose-built or imported from overseas. The numbers of foreign licensed vessels fishing New Zealand waters, as well as their catches, declined steeply as New Zealand companies increased charter-operations following the QMS implementation. In 1984, for example, the foreign-licensed vessels took a total of 120 000t of a range of species from New Zealand waters. By 1994 this had been reduced to about 30t of bluefin tuna.
3.6 Effects of the introduction of transferable property-rights on fleet-capacity
Without more detailed study, including interviews with vessel owners, it is not possible to fully separate the effects of the introduction of ITQs from those of other regulatory measures, changes in export markets, and other factors. However, some observations are possible.
First, the introduction of quota did not provoke a new vessel-building boom for the inshore fleet as other major regulatory changes had done in the past. The historical context is important, in that the bulk of the core inshore fleet constructed in the late 1960s was still serviceable at this time. Estimates made by the Fishing Industry Board in 1983 suggested the inshore fleet was over-capitalised by about 20% (NAFMAC 1983). This was highlighted at the time as a signal that the regulatory framework required reform, but the key issues for the inshore were the over-exploitation of a few valuable and vulnerable species. Through the setting of TACCs under the QMS, these catches were brought down effectively, while the permitted-catch levels for other species were increased over historical levels. This allowed the fleet to adjust without an urgent need to shed capacity. However, because of the implications of the targeted cuts for particular gears used by the small boats, particularly lining and set netting, a substantial number of smaller vessels exited at the implementation of the QMS. Pressure has continued on this sector and a significant decline in numbers of small-boats has occurred through the 1990s. The 6-9m class in particular seems to be disappearing, and this may be a product of both efficiency considerations for the size-class, and the age of many of these vessels.
Some vessels built elsewhere in the universal boom of the late seventies were imported into New Zealand after 1986 both for the core inshore fleet and the offshore sectors, but some new vessels have also been built. Whether the new constructions constitute any more than an efficient replacement-rate for the fleet or not, given that the offshore catches were being domesticated from foreign charters, is an unanswered question at this stage. In general, it seems that replacement of vessels in most classes has become more regularised than it has been in the past, with a similar number of new vessels brought-in each year, rather than all at once, in response to a policy change.
The increased security offered to businesses by quota ownership, as part of a credible commitment from government regarding access to resources, has undoubtedly promoted the massive investments required in vessels and shore processing-operations required to patriate the catching and processing of fish taken from the NZ EEZ. ITQ provided the means for repatriation of the flow of resource-rents, previously captured by the distant-water fishing nations, through charter and joint venture operations. Local companies used these cash flows to back investment to expand their own capacity, turning the fishing industry into a major contributor to GDP and export earnings for New Zealand.
The significant negative impact on capacity-growth trends for the inshore fleet from 1994 suggests that the new cost-recovery regime may be driving out marginal operators. Although cost recovery may be easier to justify in political terms than taxes or resource rentals, any increases in charges under transferable quota will affect less well-capitalised businesses harder. Higher charges will flow through into lower quota prices eventually, but for those who have paid top prices to get into the fishery, or have borrowed against high quota values, new charges could cause trouble. If operators have high debt-equity ratios and are not high-liners, they may be driven out by increases, where they could have survived had the charges been in place before they bought their quota, and thus been factored into the price.
In conclusion, although ITQ systems are often advocated where over-capacity is a problem, they do not act directly to regulate fleet-capacity. By limiting catches of individual species independently, quota systems can establish conditions for structural change within the fleet, and they provide the mechanism of transferability for catching-rights to allow autonomous adjustment. Whether a net decrease in capacity occurs in a particular fishery or sector of a fleet depends on a range of factors, including the degree of over-capacity initially present, opportunity-costs of holding vessels, labour and quota, and perceptions about the future of fishing and quota prices. In the case of New Zealand, the almost complete coverage of the quota system precludes movement of small vessels to other non-quota fisheries, and some may have been locked in while their vessels still had a useful life. As the fleet ages some small-boat capacity seems to be dropping-out, without being replaced, and this trend is likely to continue. At the other end of the scale, the QMS has provided the conditions for large-scale development of the offshore industry and the use of charter vessels has allowed the domestication of capacity to occur in ways most advantageous to New Zealand companies. It is unclear whether the future fleet will ever be totally domestically owned.
4. CONCENTRATION OF QUOTA-OWNERSHIP
4.1 Status prior to programme
The decade prior to the introduction of the general ITQ-regime in 1986 was one of rapid change for the fishing sector in New Zealand, as it was for the industry all over the world. The introduction of EEZs precipitated major changes in patterns of global fishing and catch distribution and shifts in fleet structure. The UNCLOS[108] negotiations and the EEZs were themselves a response to expanding international fishing activity and capacity that was causing conflict between distant-water fishing nations and the coastal states. It was this historical process of change, promoting rapid expansion of domestic fishing activity in New Zealand during the 1970s, that brought the need for new methods of regulation.
New Zealand fisheries management was liberalised in 1963 after four decades of conservative management that severely constrained growth of the industry and the activity of fishers. For the following period up to 1978 management was under a regime of regulated open-access. Fishing operators were required to be licensed and vessels registered, but most fisheries were able to be exploited by anyone who applied for access, and the industry expanded rapidly. Permits carried endorsements nominating methods, areas and species to which they applied. In 1978 entry to fisheries began to be restricted, and a complete moratorium on new permits was implemented in 1982. The moratorium was applied to existing permits by not allowing further endorsements to be added.
It is at this point of the virtual closure of fishing to new entrants, that it could be said that exclusive rights to access were first established. When allocation of ITQ was eventually undertaken in 1985-86, it was to be based on the three fishing-years immediately following this closure. Hence the set of fishers who might be eligible for ITQ-rights was fixed in 1982. This group was subsequently greatly reduced in number with the removal of part-time fishers by the Fisheries Act 1983, but this did not affect the distribution of the vast majority of the catch. The part-timer fishermen removed before quota was introduced were estimated to have been responsible for between 2 and 5% of the reported domestic catch at the time[109].
The outcome of a process of policy review and consultation with the industry between 1983 and 1985, was a government decision to implement the quota-management system. Allocation of quota was undertaken in a series of steps. The first was for the Ministry to assess the recorded catch-histories of all commercial fishers over the qualifying three fishing-years and notify these to the stakeholders. Following an objections-process the fishers were then issued provisional maximum ITQ (PMITQ) - reflecting the assessed catch history - and a guaranteed minimum ITQ (GMITQ) - reflecting the TAC levels desired by the regulator. The sum of the PMITQs for a species or fish-quota stock were in many cases higher than the desired TAC level for two reasons. First, each fisher nominated the best two of the three catch-history years which were then averaged to obtain their PMITQ allocations. Hence the sum of these averages was often greater than the actual total catch in any one year. Second, some stocks were considered over-fished and in need of catch reductions from pre-QMS levels.
The desired TAC reductions were made through a government-funded buy-back of PMITQ and lastly involved some pro rata administrative adjustments to reach the final ITQ allocations. Some fishers sold all of their quota back to the government, while others sold some so as to adjust the balance of their holdings and to avoid administrative reductions. For species where large reductions in allocations were made from PMITQ to final ITQ during the implementation (such as snapper, rig, school shark and gropers) the buy-back may have significantly altered the distribution and therefore concentration of catching-rights.
The relevance of PMITQ to this analysis is that it provides a convenient baseline for judging the impact of the QMS on the distribution of catching rights. The purpose of the extended process leading to the allocation of PMITQ was to produce a fair and agreed assessment of the distribution of catch in the qualifying years. It therefore provides a useful, and the most accessible, baseline data series for the analysis.
4.2 Restrictions on transfer of ownership
The implementation of management stocks under the QMS - where species are divided into between two and ten stocks by area - to some extent restricts the geographic concentration of fishing. Each quota can only be fished in its specified area, preventing companies buying-up quota being fished in one area of the New Zealands marine area in order to fish against it in another. There are exceptions to this, depending on management requirements: for example, hoki has only one management stock and one ITQ for the whole fishery. The initial 26 species brought under ITQ management were divided into a total of 153 stocks.
Several provisions were made in the QMS restricting the ownership of ITQ and thereby its transfer. First, quota could only be held by permanent residents of New Zealand, or by companies with less than 25% foreign ownership. Second, maximum holdings were restricted as a percentage of the total quota (or TACC) for a stock or species. For a range of mainly deep-water and mid-depth stocks, listed in Schedule 1 of the Fisheries Amendment Act 1986, a maximum holding of 35% of the species over all areas was permitted. For other stocks, a maximum of 20% of the total by QMA was allowed, or 10% for rock lobster. Hence, for inshore stocks local concentration was restricted to 20%, whereas for off-shore species the restriction applied to the proportion of the aggregate for the whole country held by one interest, and could thus allow individual stocks of these species to be dominated by one or two interests.
Both the maximum-holdings and the foreign-ownership provisions are difficult to enforce strictly due to complex cross ownership of companies and other relationships that can be established to avoid these restrictions. The Minister of Fisheries retained the power to exempt companies, or individuals, from the aggregation limits and to allow them to accumulate further quota up to a stipulated level. During the 1990s, the government modified the foreign-ownership provisions to allow exemptions on the judgement of the Overseas Investment Commission with concurrence of the Ministry of Fisheries. This remains a poorly-defined and discretionary area of the fisheries law[110].
Minimum-holdings and transfer-restrictions also applied, being generally a total from all areas of at least one tonne for shellfish and 5 tonnes for fin-fish that must be held before fishing can be undertaken.
The Fisheries Act 1996 lifted the aggregation-limits for a schedule of 14 species to 45% of the New Zealand-wide total for each (most of these species had been under the 35% provision). It also changed minimum-holdings to 3 tonnes of rock lobster from the same area, 5 tonnes of southern scallops or a 3 tonne total from all areas for other shellfish species.
4.3 Concentration of catching rights
From an economic point of view there are two reasons for monitoring the concentration of ownership in fisheries. The first is that where production has been inefficient due to over-capitalisation and likely accompanied by stock-depletion and higher-than-necessary variable catching-costs, the introduction of quota-management often has as the explicit objective of reducing the number of vessels in the fishery. Assuming that grand-fathering is used in allocation, if rationalisation of the fleet is to occur, then some degree of quota-concentration is to be expected as a result. Hence increasing quota-concentration can indicate that the system is achieving one of its objectives. In addition, economies of scale in catching, processing and marketing, and the commercial advantages of secure supply, may mean that higher net gains are possible from more concentrated quota-ownership. In this way efficiency of resource utilisation may be improved even without a reduction in fleet size.
On the other hand, there are limits beyond which concentration can be negative. Should a small number of owners control the large majority of quota, monopoly-type market-power effects may be manifest. These can include the manipulation of prices for both fish and quota so as to capture rents and to facilitate further accumulation of quota, and undue dominance in the labour market affecting wages and conditions of fishers (National Research Council 1999). The development of such monopoly-power may be guarded against by the specification of aggregation limits for quota. In practice such limits have been set at levels ranging from 0.5% to 45% of a fish stock. Alternatively, anti-trust legislation or quasi-governmental regulatory commissions may be relied upon to guard against monopoly power without having to specify an arbitrary limit on individual holdings. However, some means to estimate market-concentration is required. To date there have been few published studies estimating quota-concentration in fisheries (for examples see Gauvin, Ward and Burgess 1994; Hogan, Thorpe and Timcke 1999).
4.4 Methods and data
4.4.1 Concentration indices
Standard measurements of concentration of such factors as market share, assets, physical output, or employment among competing industrial companies are considered by Scherer (1973). Should data on marginal costs of production be available (which is usually not the case) a direct comparison with price can estimate the degree of monopoly-power present in a market. The most straightforward index for commonly available data is the Concentration Ratio (CR), which is the proportion of the factor chosen represented by a selected number of the largest firms. The top four firms are commonly used (CR4), and often a table is presented with a range of values (e.g. CR4, 8, 20 and 50).
An extension of this comparison is to use percentiles, or to construct a Lorenz curve, which is a plot of the cumulative total proportion of the factor represented, against the proportion of the firms represented, sorted in rank-order for the factor. For example, if quota-owning firms are ranked by the amount of quota held, then the cummulative values for the proportion of the total held by each firm are plotted. In the case that all participants hold the same amount (for instance 100 firms with 1% of the quota each) a 45-degree straight line is the result. Where there are differences in holdings, the curve will sag below the 45-degree line but start and finish at the same points (0 and 100% of quota owned by 0 and 100% of owners). Figure 14 plots two Lorenz curves, showing the distribution of allocations of Provisional Maximum Individual Transferable Quota (PMITQ) for inshore species (reflecting catch-history assessment), and ownership of ITQ for the same stocks after one year of quota-trading. This illustrates the initial impact of ITQs in the sector through significant consolidation of ownership.
Figure 14. Example of Lorenz curves using inshore PMITQ and 1987 ITQ ownership data
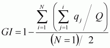
Data source: QMS data.The Lorenz curve can be converted to a single number, the Gini Index (GI), by comparing the area between the 45-degree line and the curve with the total area under the 45-degree line. For any number of firms all with identical shares, the curve will be the line, and the GI is zero. As the distribution of shares becomes less equal, the index approaches unity. The GI is a measure of inequality in shares, that does not take into account the number of participants. It is therefore not ideal for measuring competitiveness where firms are likely to have similar sized shares, as it will give the same answer for 2 firms with 50% of quota each and for 100 firms with 1% each. However, it may be useful in indicating inequality when used with other indices.
The Gini Index (GI) has a range from zero to one and is calculated as follows:

where:
q = quota or catch amountThe GIs for the distributions illustrated in Figure 14 are: 0.74 for PMITQ, and 0.84 for 1987 ITQ-ownership.Q = total of all quotas or catches
N = number of quota holdings or catches and all q are ordered, 1 to N from smallest to largest.
An index more useful for estimating potential market-power, the Herfindahl-Hirschman Index (HHI), which sums the squared proportionate shares of all firms. This takes account of both the number of firms and inequality in quota shares, weighting the larger firms quadratically. The HHI is calculated as follows:

where:
q = quota or catch amountThe index as calculated has a range of zero to one. In this study, both the GI and the HHI are expressed as percentages. Hence a calculated index of 0.75 is written as 75%.
Q = total of all quotas or catches and
N = number of quota holdings or catches
4.4.2 Data and indices used
Data supplied by the New Zealand Ministry of Fisheries included PMITQ/GMITQ allocations (1986), and balances of quota-ownership, leased-holdings and catches by quota-holder on the final day of the fishing-year for each year from 1987 to 1998. These data were processed to generate a range of indices:
i. Total quota/catchThe fisheries were split into three general classes of fin-fish species: inshore, mid-depth, and deep-water. The species in each group are listed in Appendix I. Jack mackerel, squid, and paua have been omitted from the analysis as they were added to the quota-system in the second year and some data problems remain unresolved. Rock lobster, which was added to the QMS in 1990 is included as an example of a more sedentary species suited to small operators and is treated separately.
ii. Number of owners/holders/catchers
iii. HHI
iv. GI
v. CR1; CR3; CR4; CR10
vi. Number and percentage of owners with 95% share
vii. Percentage share controlled by top 5% of owners and
viii. Number with less than minimum holdings for the class.
4.5 Results of concentration analysis
4.5.1 Presentation of results
The analysis is presented in several parts. First, a short section discusses some issues with respect to interpretation of the indicators. Then, each sector is examined more closely in two steps:
i. immediate restructuring on the introduction of the system through the quota buy-back and quota market-trading during the first twelve months andThe detailed results data are presented in Tables 6 to 10 and in Figures 15 to 18.ii. trends over the period 1987 to 1998.
4.5.2 Factors in interpretation of results
As will be seen in the results, no single index gives a clear indication of the nature of the concentration of rights. However, taken together and compared across sectors, the set of indices used here can provide a richer insight. The GI tends to be quite high for all fin-fish sectors, in the 75% to 97% range, reflecting the diversity of operator-size to be found within these groupings. In Rock Lobster, the GI is much lower reflecting the nature of the fishery, which dictates relatively small tonnages per operator. However, for the same GI, the HHI can range widely. For example, the holdings-data in Table 2 show the same degree of inequality in distribution (GI) with very different indications of market concentration (HHI).
Table 2. Disparate concentration with similar inequality
|
Sector:year |
GI |
HHI |
|
IS:1988 |
83.4% |
1.8% |
|
DW:1994 |
83.3% |
15.3% |
Many year-classes of quota have a long tail of small holdings that are less than the minimum for a fishing permit to be issued. If these are eliminated from the index calculations, the GI decreases slightly as the degree of inequality has decreased, but the HHI increases as the number of firms has decreased and thereby the concentration of ownership has increased. This illustrates the utility of the two indexes. In fact, neither is very sensitive to large numbers of small holdings being eliminated.
On the other hand, all the indices are sensitive to the presence of single large owners at the top of the scale. Relevant here are the large government quota-holdings in the first years of the system. On initial allocation of the fixed-tonnage ITQs, any part of the TACCs that was in excess of private entitlements was allocated to the government. At the end of the first year of the QMS, the New Zealand Government retained ownership of around 196 000t of quota, of which just over 150 000t was hoki, out of a total TACC for all quota species of 467 000t. Some of the offshore quota was sold by auction in the first years of the system, and the remainder was leased out to operators. With the transition to proportional quota in 1990 the government eventually got out of quota-ownership with some of the assets being used for settlement of Maori claims. But at the start of the QMS the government was the largest owner of quota, and this distorts the ownership-concentration indices to some extent. This is most marked in the mid-depth ownership figures for 1987 to 1991 - HHI and CRs. In the deep-water species the government held some 22% of quota in 1987, but here this has the opposite affect on the indices after 1990. Concentration of ownership in this sector increases when the government sold its holdings as the top few private owners increased their holdings.
After 1989 the government began transferring some of its quota-holdings to a Commission established to receive assets to be held in trust as part of the settlement of Maori claims to fisheries resources. Further quota was purchased by the government on the quota-market to fulfil these obligations until approximately 10% of all quota was held by the Treaty of Waitangi Fisheries Commission (TOKM)[111]. This has created a new large owner in all sectors, and the Commission is the largest owner in fisheries such as rock lobster. Again this distorts the picture in the short-term as this quota is being held in trust and will (eventually) be distributed in small holdings to the 78 tribal groups (Maori iwi) recognised by TOKM. The Commission, like the government as owner before it, differs from other large quota-owners in not being a commercial fish buyer, and is therefore not in a position to exert monopolistic influence on fish prices itself. However, TOKM does own, or have controlling, shares in several large fishing companies. It also leases large amounts of quota with discounted rates for companies controlled by Maori interests and this may affect demand and prices in the wider quota-market.
Another data issue that should be borne in mind with respect to interpreting indices, is that some interests in the industry effectively control more than one fishing company. For the major players these connections are fairly well known. In most sectors the same three principal interests effectively control at least two companies each of the top ten. Cross ownership by larger interests in the industry also effectively concentrates control over quota, but this is even more difficult to take into account.
The number of quota-holders with less than 5t of fin-fish must be interpreted with caution. Some of these quota-owners may be targeting non-quota species primarily and be catching quota-species in small amounts as bycatch. Some are rock lobster fishers who, after 1990, would qualify for a quota permit if they held more than one tonne of rock lobster quota. In 1990, for example, 180 amongst the 455 quota-holders with less than 5t of fin-fish quota, also owned rock lobster quota.
4.5.3 Inshore species
4.5.3.1 Effect in the first year of the QMS
The inshore is the most complex of the three fin-fish sectors considered. The quota buy-back applied to 16 of these 17 species (see Appendix I for species lists with scientific names), but was targeted to substantially reduce the fishing mortality of six of them. The others were bought largely to allow fishers to offer up all of their allocated PMITQ - that is, to quit the fishery entirely. Table 3 shows the combined impact of the buy-back and the first year of quota-trading. A 25% reduction in the overall number of quota-owners understates the proportions exiting from the species under pressure, which approached 40%. However, the largest numbers of fishers remain in these high-value fisheries, particularly snapper, rig and school shark.
The top 25 companies in the inshore fisheries are more-or-less the same as those in the other sectors and are heavily dominant in ownership of quota, with some 53% of privately-owned inshore-quota at the end of the first year, up from 33% of PMITQ. While the total privately-owned tonnage in 1987 was 30% less than PMITQ levels, the top 25 owners actually increased their aggregate tonnage by 10%. This represents a substantial concentration of ownership and financial restructuring of the sector in a single year. Five of the top eight quota-owners were either new companies or had substantially increased their holdings by acquisitions in the first year, with another five similar companies further down the order in the top twenty-five. The 156 largest owners had 60% of the PMITQ, but at the end of the first year this proportion of quota was owned by just 48 companies.
Table 4 tests statistics by quintile for the inshore sector. The 80:20 rule applies here, with the percentage of quota owned by the top 20% of owners moving from 76% to 85% over the first year, while the last 20% of owners have declined from having 0.7% of quota to just 0.4%.
Table 6 shows the jump in the indices between PMITQ allocations and the balances at end of 1987 for owned-quota. If the government holdings are taken out, the steps for the CR indices are significantly reduced, but the difference fades fairly quickly up the order. Table 5 shows the CR indices for 1987 with government-holdings excluded.
Large tonnages of quota have been bought up during the first year of trading by highly-capitalised companies. It seems that much of this quota has come from the medium-sized operations (in the 100 to 200t range) selling out or amalgamating. Many small holders have also sold up with a total of 440 quota-owners dropping out of the inshore in the first year.
Table 3. First year impacts of ITQ on number of owners and TACs - Inshore species
|
Species
Code[112] |
No. of PMITQ owners |
1987 ITQ owners |
Change |
Change |
PMITQ tonnes |
1987 ITQ tonnes |
Change |
Change |
Gvt holdings |
|
BCO |
649 |
500 |
-149 |
-23 |
1 968 |
2 328 |
360 |
18 |
6 |
|
BNS |
237 |
159 |
-78 |
-33 |
1 825 |
1 351 |
-474 |
-26 |
8 |
|
BYX |
52 |
41 |
-11 |
-21 |
1 984 |
1 780 |
-204 |
-10 |
10 |
|
ELE |
299 |
183 |
-116 |
-39 |
1 037 |
471 |
-566 |
-55 |
17 |
|
FLA |
796 |
546 |
-250 |
-31 |
6 170 |
6 055 |
-115 |
-2 |
5 |
|
GMU |
197 |
170 |
-27 |
-14 |
1 125 |
972 |
-152 |
-14 |
5 |
|
GUR |
938 |
593 |
-345 |
-37 |
4 828 |
4 302 |
-526 |
-11 |
9 |
|
HPB |
831 |
538 |
-293 |
-35 |
3 353 |
1 845 |
-1 508 |
-45 |
18 |
|
JDO |
406 |
261 |
-145 |
-36 |
1 072 |
863 |
-210 |
-20 |
10 |
|
MOK |
518 |
330 |
-188 |
-36 |
862 |
268 |
-594 |
-69 |
24 |
|
RCO |
528 |
344 |
-184 |
-35 |
13 862 |
15 311 |
1 448 |
10 |
15 |
|
SCH |
1 122 |
688 |
-434 |
-39 |
6 156 |
2 601 |
-3 555 |
-58 |
10 |
|
SNA |
1 007 |
643 |
-364 |
-36 |
12 468 |
6 609 |
-5 860 |
-47 |
1 |
|
SPO |
988 |
601 |
-387 |
-39 |
4 508 |
1 448 |
-3 060 |
-68 |
5 |
|
STA |
305 |
194 |
-111 |
-36 |
2 123 |
4 162 |
2 039 |
96 |
54 |
|
TAR |
713 |
454 |
-259 |
-36 |
5 985 |
5 390 |
-596 |
-10 |
9 |
|
TRE |
629 |
403 |
-226 |
-36 |
4 692 |
3 261 |
-1431 |
-30 |
2 |
|
Totals |
1 749 |
1 309 |
-440 |
-25 |
74 017 |
59 015 |
-15 002 |
-20 |
12 |
|
Owner percentile |
PMITQ (t) |
PMITQ % |
1987 ITQ (t) |
1987 ITQ % |
|
20 |
503 |
0.68 |
196 |
0.38 |
|
40 |
2 231 |
3.01 |
1 047 |
2.02 |
|
60 |
4 680 |
6.32 |
2 082 |
4.02 |
|
80 |
9876 |
13.34 |
4 399 |
8.49 |
|
100 |
56 728 |
76.64 |
44 079 |
85.09 |
|
Totals |
74 018 |
|
51 803 |
|
|
Quota |
CR1 |
CR3 |
CR4 |
CR10 |
|
PMITQ |
8% |
13% |
15% |
23% |
|
Ex-Govt ITQ |
9% |
20% |
23% |
38% |
|
All ITQ |
12% |
26% |
30% |
44% |
While total allowable commercial catches (TACCs) and therefore quota owned for these species increased by 15% between 1987 and 1998, the number of quota-owners decreased by a further 26%, from 1309 to 963 (see Table 6). The HHI has increased marginally, which would be predicted by falling numbers of owners, but there is more happening than just this. While the top-ten owners have steadily increased their share of the quota from 43% to just under 50%, some jockeying has been going on among the top-three or top-four owners. In 1987 the Government was the largest quota-owner in this as in the other sectors. This changed with the move to proportional quota in 1990 and the agreement in 1989 to provide 10% of all quota to Maori in interim recognition of their claim to the resource. The Maori Fisheries Commission subsequently acquired from the government 2.5% of all quota per year for four years, to take its place as the largest inshore quota-owner. Figure 15 shows the trends in concentration for the largest owners.
Table 6. Quota owned by sector
|
Fishery |
Year |
Total quota owned |
No. owning quota |
HHI |
CR1 |
CR3 |
CR4 |
CR10 |
No. Owning |
% owning |
% owned by top |
No. Owning |
Gini index |
|
Inshore
|
PMITQ |
74017 |
1749 |
1.1 |
8 |
13 |
15 |
23 |
957 |
55 |
49 |
428 |
73.5 |
|
1987 |
59015 |
1309 |
3.1 |
12 |
26 |
30 |
44 |
563 |
43 |
69 |
454 |
84.1 |
|
|
1988 |
61198 |
1289 |
3.2 |
12 |
25 |
29 |
45 |
533 |
41 |
71 |
445 |
84.8 |
|
|
1989 |
64715 |
1312 |
3.5 |
12 |
28 |
32 |
46 |
525 |
40 |
72 |
452 |
85.3 |
|
|
1990 |
67026 |
1320 |
3.4 |
13 |
27 |
30 |
44 |
512 |
39 |
71 |
459 |
85.6 |
|
|
1991 |
66666 |
1291 |
2.9 |
10 |
23 |
28 |
44 |
491 |
38 |
73 |
439 |
86.1 |
|
|
1992 |
68391 |
1244 |
2.8 |
7 |
21 |
27 |
46 |
457 |
37 |
74 |
411 |
86.7 |
|
|
1993 |
67694 |
1187 |
2.8 |
9 |
23 |
28 |
44 |
426 |
36 |
74 |
398 |
86.9 |
|
|
1994 |
67858 |
1161 |
2.8 |
10 |
23 |
28 |
44 |
411 |
35 |
74 |
386 |
86.9 |
|
|
1995 |
68057 |
1110 |
3.3 |
11 |
27 |
31 |
45 |
391 |
35 |
74 |
364 |
86.9 |
|
|
1996 |
68444 |
1077 |
3.0 |
10 |
24 |
29 |
46 |
366 |
34 |
75 |
350 |
87.3 |
|
|
1997 |
69071 |
1023 |
3.2 |
10 |
24 |
29 |
49 |
343 |
34 |
75 |
323 |
87.5 |
|
|
1998 |
67958 |
963 |
3.3 |
10 |
24 |
30 |
49 |
322 |
33 |
76 |
292 |
87.6 |
|
|
Mid-depth
|
PMITQ |
160178 |
708 |
10.6 |
21 |
48 |
55 |
81 |
32 |
5 |
95 |
451 |
97.1 |
|
1987 |
325175 |
493 |
30.2 |
53 |
72 |
76 |
91 |
15 |
3 |
98 |
327 |
98.2 |
|
|
1988 |
326081 |
478 |
29.9 |
52 |
72 |
77 |
90 |
17 |
4 |
98 |
317 |
98.1 |
|
|
1989 |
329119 |
475 |
28.9 |
51 |
71 |
78 |
91 |
16 |
3 |
97 |
312 |
98.1 |
|
|
1990 |
333569 |
466 |
26.6 |
49 |
68 |
74 |
89 |
18 |
4 |
97 |
291 |
97.9 |
|
|
1991 |
308161 |
457 |
19.0 |
40 |
59 |
66 |
84 |
23 |
5 |
95 |
290 |
97.3 |
|
|
1992 |
290266 |
449 |
14.8 |
31 |
58 |
65 |
86 |
20 |
4 |
96 |
278 |
97.3 |
|
|
1993 |
290694 |
424 |
14.1 |
31 |
55 |
62 |
85 |
22 |
5 |
95 |
259 |
97.0 |
|
|
1994 |
290770 |
417 |
14.6 |
31 |
55 |
65 |
87 |
22 |
5 |
95 |
247 |
97.0 |
|
|
1995 |
311864 |
409 |
11.4 |
21 |
50 |
60 |
88 |
21 |
5 |
95 |
236 |
96.9 |
|
|
1996 |
331514 |
396 |
13.6 |
29 |
53 |
63 |
89 |
18 |
5 |
96 |
224 |
97.0 |
|
|
1997 |
340668 |
378 |
13.5 |
28 |
53 |
63 |
90 |
17 |
4 |
96 |
217 |
97.0 |
|
|
1998 |
338242 |
360 |
13.6 |
28 |
53 |
63 |
90 |
17 |
5 |
96 |
210 |
96.9 |
|
|
Deep-water
|
PMITQ |
64559 |
54 |
11.9 |
22 |
52 |
60 |
86 |
24 |
44 |
52 |
1 |
77.4 |
|
1987 |
83010 |
44 |
12.4 |
22 |
55 |
64 |
88 |
19 |
43 |
40 |
1 |
76.3 |
|
|
1988 |
85216 |
38 |
13.8 |
23 |
56 |
70 |
90 |
16 |
42 |
41 |
1 |
76.0 |
|
|
1989 |
86623 |
43 |
13.6 |
23 |
56 |
70 |
90 |
16 |
37 |
41 |
3 |
78.2 |
|
|
1990 |
70353 |
42 |
10.9 |
20 |
50 |
61 |
85 |
20 |
48 |
36 |
2 |
72.7 |
|
|
1991 |
64110 |
41 |
15.8 |
28 |
64 |
72 |
87 |
18 |
44 |
50 |
4 |
76.9 |
|
|
1992 |
63076 |
49 |
15.5 |
29 |
60 |
66 |
84 |
19 |
39 |
52 |
2 |
78.3 |
|
|
1993 |
61700 |
47 |
15.9 |
30 |
61 |
68 |
84 |
18 |
38 |
52 |
4 |
78.1 |
|
|
1994 |
61534 |
49 |
16.1 |
30 |
62 |
70 |
85 |
18 |
37 |
52 |
6 |
79.8 |
|
|
1995 |
56233 |
47 |
15.6 |
27 |
61 |
69 |
86 |
18 |
38 |
52 |
5 |
79.1 |
|
|
1996 |
50050 |
41 |
16.5 |
29 |
62 |
71 |
89 |
14 |
34 |
53 |
6 |
79.3 |
|
|
1997 |
50474 |
39 |
16.2 |
28 |
62 |
71 |
92 |
13 |
33 |
50 |
7 |
79.9 |
|
|
1998 |
50474 |
40 |
16.1 |
28 |
62 |
72 |
92 |
13 |
33 |
50 |
8 |
80.2 |
|
|
Rock lobster
|
1990 |
3726 |
686 |
0.6 |
6 |
8 |
9 |
13 |
503 |
73 |
23 |
411 |
48.7 |
|
1991 |
3597 |
656 |
0.6 |
4 |
9 |
10 |
16 |
479 |
73 |
27 |
418 |
51.2 |
|
|
1992 |
3286 |
598 |
0.7 |
6 |
9 |
11 |
18 |
438 |
73 |
29 |
382 |
52.6 |
|
|
1993 |
2936 |
554 |
1.1 |
8 |
12 |
14 |
21 |
404 |
73 |
32 |
379 |
54.5 |
|
|
1994 |
2932 |
525 |
1.1 |
8 |
13 |
15 |
21 |
383 |
73 |
32 |
350 |
55.0 |
|
|
1995 |
2915 |
517 |
1.2 |
8 |
14 |
15 |
22 |
372 |
72 |
33 |
342 |
55.5 |
|
|
1996 |
2968 |
512 |
1.2 |
8 |
14 |
16 |
23 |
358 |
70 |
35 |
336 |
57.5 |
|
|
1997 |
2894 |
490 |
1.3 |
8 |
15 |
17 |
24 |
344 |
70 |
34 |
315 |
57.1 |
|
|
1998 |
2954 |
470 |
1.4 |
8 |
15 |
17 |
26 |
329 |
70 |
37 |
293 |
58.1 |
Data source: QMS data.Given that there are almost one thousand owners (1998), having 50% of quota owned by 10 interests (1% of owners) might seem concentrated, but these same companies own greater proportions of quota in the other fin-fish sectors. The top 5% of owners have 75% of the inshore quota, up a little from 69%, and the proportion of all owners holding 95% of all quota has dropped from 43 to 33%. The HHI is low at around 3.3%, the GI has moved from 84% to 88%, indicating a moderately high degree of inequality in holding sizes, and the number with less than minimum holdings has dropped by one-third.
The figures for end-of-year holdings (Table 7), which take into account effective redistribution of access through leasing, show a decrease in concentration with respect to the ownership figures, systematically expressed in all indicators. Numbers of holders are about 10% up on numbers of owners, HHI is down slightly, all concentration ratios are down and so on. The numbers with less than the minimum holdings are up slightly, presumably because some have leased almost all their quota.
For catch, Table 8 shows the HHI and GI indicators are lower again than for holding and ownership. The CR1 and CR3 are the same as holdings indicating the top owners are getting all their fish, but CR4 and CR10 drop off slightly. The proportion caught by the top 5% in 1998 was two-thirds the total catch, whereas the top 5% of owners owned three-quarters of all quota. This indicates a small shift in the effective share of owners to smaller operators.
4.5.4 Mid-depth species
4.5.4.1 Effect in the first year of the QMS
The mid-depth species-group comprises seven of the nine species (or species groups) included in the enterprise allocation quota scheme from 1983 (refer Appendix I). PMITQ allocations reflected either existing enterprise allocation quotas held. For the competitive TAC fishers in this sector, were based on assessed catch-histories. All but one of these species had their TACCs set higher than the sum of PMITQ, with the government taking ownership of the increases as well as some ling - and gemfish-quota surrendered as part of the inshore buy-back. With a total holding of 53% of this sector the government was by far the biggest quota-owner.
The adjustment in the first year seen in this sector is similar in character, although not as extensive, as in the inshore - catch in the sector was already highly concentrated. The same four new large business entities who were thus present in the top-25 owners, with the basic order in this group unchanged from PMITQ allocations at the end of 1987. However, below this about a dozen of the next 25-biggest entities have disappeared, their quota having been taken up through mergers and acquisitions by the new larger players. There were 215 departures during the year, reducing the total number of quota-holders by 30% from 708 to 493, with the species caught by smaller vessels showing the greatest reduction in numbers.
The distribution of rights in this sector is the most highly skewed of all. The top quintile of owners had over 99% of both PMITQ and subsequent privately owned ITQ. The majority of fish in these quota are caught by large factory freezer-trawlers, but almost all of the species are also available to relatively small boats as targeted species or bycatch. Hence the distribution-plot has a long tail. There were only 86 of the 493 owners with greater than 20t of mid-depth quota in the first year of the QMS. Tables 6 and 7 tell the story. Note the numbers owning or holding 95% of the quota. Ownership is significantly more concentrated than holdings indicating large amounts of leasing, some of which will doubtless involve conditions as to where fish is to be landed and processed. The number of firms holding (rather than owning) 95% of quota in 1987 is in fact not too different from the PMITQ figure.
4.5.4.2 Trends under the QMS: 1987 to 1998
The figures in Table 6 for the first four years of the quota system are confounded by the fact that the New Zealand Government owned large amounts of quota that was leased out. Hence in this early period the concentration ratio is 53% which would have been illegal for any owner other than the government (under the prevailing aggregation limits of 20% for inshore fin-fish and 35% for deepwater and mid-depth species). In 1992, the concentration ratio reached 31%, as the government sold quota with the move to proportional quota, and has stayed about there since. The number of quota-owners has dropped by another 25% since 1987 and those with less than minimum holdings (5t) by a third, accounting for most of the overall reduction. The HHI is about 14% and the GI is 97%; both indices have remained stable since the exit of the government from ownership. The concentration ratios are all high with 17 of 360 quota-owners having 95% of the quota in 1998 (see Figure 16).
The relation of end-of-year holdings to owned-quota is similar to that of the inshore sector. The number of holders are about 10% up on the number of owners, and all the indicators show the quota is spread around a little more, with CR10 dropping from 90 to 82% indicating about 30 000t of quota is been leased out from this group of owners. The HHI drops from 14% for owned to 10% for held. The effect of government ownership on the indices can be seen in the contrast between owned and held figures for the early years. The HHI for held quota in 1987 was only 11%, almost the same as in 1998, as are all the concentration ratios. The dominance of the top few owners in the hoki fishery can be seen in the change in numbers-owning-95% column of Table 6 for the years 1991 to 1995, reflecting the 20% quota reduction for hoki in place during that time.
Table 7. End of year quota holdings by sector
|
Fishery |
Year |
Total quota held |
No. holding quota |
HHI |
CR1 |
CR3 |
CR4 |
CR10 |
No. holding |
% |
% |
No. Holding |
Gini index |
|
Inshore
|
1987 |
60272 |
1408 |
1.9 |
7 |
17 |
21 |
37 |
625 |
44 |
68 |
444 |
83.1 |
|
1988 |
61871 |
1432 |
1.8 |
7 |
17 |
20 |
35 |
618 |
43 |
68 |
459 |
83.4 |
|
|
1989 |
65566 |
1473 |
2.2 |
9 |
20 |
23 |
37 |
616 |
42 |
70 |
448 |
84.2 |
|
|
1990 |
67575 |
1502 |
1.9 |
8 |
18 |
21 |
36 |
597 |
40 |
69 |
485 |
84.9 |
|
|
1991 |
66750 |
1567 |
1.6 |
6 |
15 |
20 |
32 |
658 |
42 |
68 |
449 |
83.7 |
|
|
1992 |
68395 |
1608 |
1.5 |
6 |
16 |
19 |
31 |
666 |
41 |
70 |
458 |
84.4 |
|
|
1993 |
67815 |
1503 |
1.6 |
6 |
16 |
20 |
31 |
604 |
40 |
70 |
439 |
84.8 |
|
|
1994 |
67867 |
1436 |
1.9 |
7 |
19 |
22 |
35 |
557 |
39 |
70 |
431 |
85.2 |
|
|
1995 |
68065 |
1276 |
2.4 |
11 |
21 |
24 |
36 |
471 |
37 |
70 |
413 |
85.6 |
|
|
1996 |
68444 |
1155 |
2.9 |
10 |
24 |
29 |
44 |
381 |
33 |
75 |
390 |
87.6 |
|
|
1997 |
69071 |
1168 |
2.5 |
8 |
21 |
26 |
42 |
426 |
36 |
72 |
345 |
86.2 |
|
|
1998 |
67958 |
1091 |
2.8 |
8 |
22 |
28 |
44 |
395 |
36 |
73 |
322 |
86.3 |
|
|
Mid-depth
|
1987 |
330583 |
565 |
11.4 |
25 |
51 |
58 |
81 |
27 |
5 |
96 |
336 |
97.1 |
|
1988 |
329063 |
567 |
10.5 |
24 |
49 |
56 |
78 |
27 |
5 |
95 |
322 |
97.1 |
|
|
1989 |
330331 |
542 |
11.0 |
25 |
51 |
58 |
77 |
27 |
5 |
95 |
296 |
96.9 |
|
|
1990 |
341261 |
543 |
9.2 |
20 |
46 |
56 |
74 |
31 |
6 |
94 |
304 |
96.6 |
|
|
1991 |
308166 |
554 |
7.0 |
16 |
36 |
45 |
71 |
36 |
6 |
92 |
323 |
96.1 |
|
|
1992 |
290266 |
583 |
10.9 |
25 |
49 |
55 |
79 |
34 |
6 |
93 |
334 |
96.8 |
|
|
1993 |
290751 |
547 |
8.7 |
20 |
45 |
51 |
75 |
41 |
7 |
91 |
298 |
96.1 |
|
|
1994 |
290770 |
544 |
9.7 |
24 |
45 |
52 |
75 |
45 |
8 |
90 |
257 |
95.9 |
|
|
1995 |
311864 |
589 |
13.0 |
27 |
57 |
64 |
80 |
40 |
7 |
93 |
260 |
96.8 |
|
|
1996 |
331514 |
464 |
10.7 |
22 |
47 |
57 |
87 |
21 |
5 |
96 |
226 |
97.0 |
|
|
1997 |
340668 |
455 |
10.5 |
23 |
48 |
55 |
81 |
29 |
6 |
93 |
242 |
96.4 |
|
|
1998 |
338242 |
400 |
10.3 |
22 |
48 |
54 |
82 |
27 |
7 |
92 |
219 |
96.1 |
|
|
Deep-water
|
1987 |
83469 |
61 |
9.7 |
18 |
45 |
54 |
83 |
27 |
44 |
45 |
2 |
77.6 |
|
1988 |
85416 |
43 |
11.6 |
22 |
53 |
61 |
86 |
19 |
44 |
38 |
0 |
74.4 |
|
|
1989 |
87519 |
48 |
10.5 |
20 |
48 |
58 |
84 |
19 |
40 |
35 |
3 |
76.1 |
|
|
1990 |
70353 |
53 |
8.9 |
19 |
41 |
50 |
80 |
22 |
42 |
41 |
2 |
74.4 |
|
|
1991 |
64160 |
66 |
12.9 |
24 |
58 |
62 |
78 |
28 |
42 |
58 |
4 |
78.9 |
|
|
1992 |
63076 |
55 |
14.6 |
25 |
59 |
65 |
84 |
21 |
38 |
59 |
11 |
80.0 |
|
|
1993 |
61850 |
66 |
14.9 |
30 |
61 |
68 |
86 |
20 |
30 |
61 |
12 |
83.8 |
|
|
1994 |
61534 |
74 |
15.3 |
26 |
65 |
68 |
83 |
27 |
36 |
68 |
12 |
83.3 |
|
|
1995 |
56233 |
76 |
15.8 |
26 |
64 |
69 |
84 |
22 |
29 |
69 |
14 |
85.1 |
|
|
1996 |
50050 |
45 |
15.6 |
27 |
60 |
69 |
87 |
16 |
36 |
51 |
5 |
79.8 |
|
|
1997 |
50474 |
55 |
16.1 |
27 |
65 |
74 |
89 |
15 |
27 |
65 |
11 |
84.0 |
|
|
1998 |
50474 |
54 |
15.1 |
25 |
63 |
72 |
89 |
16 |
30 |
63 |
9 |
82.9 |
|
|
Rock lobster
|
1990 |
3757 |
679 |
0.6 |
6 |
8 |
9 |
13 |
498 |
73 |
23 |
398 |
48.0 |
|
1991 |
3603 |
686 |
0.3 |
2 |
4 |
5 |
8 |
514 |
75 |
20 |
417 |
45.2 |
|
|
1992 |
3288 |
658 |
0.3 |
1 |
3 |
4 |
8 |
510 |
78 |
19 |
416 |
42.5 |
|
|
1993 |
2936 |
599 |
0.3 |
2 |
4 |
5 |
10 |
466 |
78 |
21 |
395 |
43.5 |
|
|
1994 |
2932 |
573 |
0.3 |
1 |
3 |
4 |
8 |
451 |
79 |
17 |
338 |
39.6 |
|
|
1995 |
2915 |
548 |
0.4 |
4 |
5 |
6 |
11 |
438 |
80 |
20 |
328 |
40.5 |
|
|
1996 |
2968 |
556 |
0.4 |
3 |
6 |
7 |
12 |
423 |
76 |
21 |
326 |
44.1 |
|
|
1997 |
2894 |
507 |
0.5 |
4 |
7 |
8 |
13 |
397 |
78 |
21 |
288 |
43.0 |
|
|
1998 |
2954 |
482 |
0.5 |
5 |
8 |
8 |
13 |
376 |
78 |
21 |
250 |
43.7 |
Data source: QMS data.Table 8. Total catch by sector
|
Fishery |
Year |
Total Catch |
No. reporting catch |
HHI |
CR1 |
CR3 |
CR4 |
CR10 |
No. catching |
% |
% |
No. Catching |
Gini index |
|
Inshore
|
1987 |
33972 |
1489 |
1.8 |
10 |
17 |
19 |
30 |
659 |
44 |
61 |
746 |
81.1 |
|
1988 |
40291 |
1390 |
1.6 |
8 |
15 |
18 |
32 |
571 |
41 |
65 |
649 |
82.9 |
|
|
1989 |
44927 |
1446 |
1.8 |
7 |
16 |
19 |
36 |
520 |
36 |
70 |
731 |
85.9 |
|
|
1990 |
44360 |
1350 |
1.6 |
7 |
16 |
19 |
33 |
502 |
37 |
69 |
684 |
85.0 |
|
|
1991 |
43414 |
1317 |
1.7 |
7 |
17 |
21 |
33 |
523 |
40 |
66 |
623 |
83.6 |
|
|
1992 |
44214 |
1254 |
2.1 |
8 |
21 |
25 |
36 |
478 |
38 |
69 |
602 |
85.1 |
|
|
1993 |
50529 |
1238 |
2.1 |
8 |
20 |
25 |
37 |
464 |
37 |
69 |
559 |
85.3 |
|
|
1994 |
49820 |
1260 |
2.1 |
8 |
20 |
25 |
36 |
450 |
36 |
70 |
598 |
86.0 |
|
|
1995 |
58352 |
1196 |
2.1 |
8 |
20 |
23 |
37 |
404 |
34 |
70 |
535 |
86.4 |
|
|
1996 |
59295 |
1132 |
2.0 |
7 |
19 |
23 |
36 |
390 |
34 |
70 |
486 |
86.2 |
|
|
1997 |
58407 |
1035 |
2.1 |
7 |
20 |
23 |
37 |
390 |
38 |
69 |
383 |
85.0 |
|
|
1998 |
54272 |
925 |
2.5 |
9 |
23 |
26 |
41 |
348 |
38 |
67 |
349 |
84.6 |
|
|
Mid-depth
|
1987 |
210283 |
569 |
11.7 |
25 |
53 |
59 |
83 |
22 |
4 |
97 |
402 |
97.5 |
|
1988 |
275358 |
541 |
12.7 |
26 |
56 |
64 |
83 |
24 |
4 |
96 |
379 |
97.5 |
|
|
1989 |
231637 |
525 |
11.6 |
24 |
53 |
60 |
81 |
26 |
5 |
95 |
377 |
97.3 |
|
|
1990 |
263867 |
488 |
9.2 |
18 |
46 |
56 |
76 |
28 |
6 |
94 |
339 |
96.6 |
|
|
1991 |
275908 |
476 |
9.0 |
19 |
44 |
53 |
76 |
31 |
7 |
92 |
308 |
96.3 |
|
|
1992 |
243232 |
482 |
12.6 |
28 |
51 |
59 |
85 |
24 |
5 |
95 |
318 |
97.1 |
|
|
1993 |
231871 |
485 |
11.5 |
24 |
51 |
60 |
84 |
29 |
6 |
94 |
320 |
96.9 |
|
|
1994 |
241837 |
481 |
9.9 |
25 |
44 |
51 |
75 |
30 |
6 |
93 |
306 |
96.3 |
|
|
1995 |
245265 |
480 |
9.3 |
21 |
43 |
53 |
79 |
37 |
8 |
91 |
286 |
96.1 |
|
|
1996 |
287706 |
497 |
8.4 |
17 |
42 |
51 |
76 |
39 |
8 |
90 |
310 |
96.0 |
|
|
1997 |
327712 |
470 |
7.5 |
13 |
37 |
47 |
75 |
35 |
7 |
90 |
275 |
95.8 |
|
|
1998 |
351521 |
450 |
7.0 |
14 |
36 |
45 |
72 |
30 |
7 |
91 |
278 |
95.8 |
|
|
Deep- water
|
1987 |
65725 |
76 |
9.1 |
19 |
42 |
51 |
80 |
29 |
38 |
51 |
14 |
80.2 |
|
1988 |
65565 |
51 |
12.2 |
21 |
54 |
64 |
86 |
20 |
39 |
54 |
8 |
78.7 |
|
|
1989 |
69946 |
52 |
11.4 |
22 |
50 |
58 |
83 |
20 |
38 |
50 |
5 |
77.4 |
|
|
1990 |
66496 |
49 |
10.7 |
20 |
48 |
57 |
83 |
21 |
43 |
38 |
7 |
75.5 |
|
|
1991 |
56389 |
60 |
13.9 |
25 |
61 |
65 |
80 |
26 |
43 |
61 |
8 |
78.8 |
|
|
1992 |
56799 |
48 |
17.0 |
28 |
65 |
72 |
90 |
15 |
31 |
54 |
8 |
81.9 |
|
|
1993 |
54919 |
42 |
19.7 |
32 |
73 |
77 |
90 |
14 |
33 |
57 |
5 |
81.6 |
|
|
1994 |
52109 |
61 |
16.2 |
24 |
68 |
72 |
88 |
17 |
28 |
68 |
9 |
84.3 |
|
|
1995 |
40752 |
57 |
14.8 |
24 |
64 |
69 |
88 |
18 |
32 |
64 |
10 |
82.7 |
|
|
1996 |
43718 |
62 |
15.0 |
26 |
62 |
72 |
90 |
14 |
23 |
62 |
23 |
85.9 |
|
|
1997 |
40369 |
50 |
17.3 |
27 |
69 |
74 |
92 |
13 |
26 |
52 |
14 |
84.4 |
|
|
1998 |
37425 |
50 |
15.1 |
26 |
63 |
69 |
90 |
13 |
26 |
47 |
16 |
83.0 |
The catch indices show a further dilution of concentration with respect to holdings and ownership, with the biggest holders taking the losses - that is, the largest proportion of uncaught quota was held by the big companies. However, the top 5% of those companies reporting catch still controlled 90% of the catch.
4.5.5 Deepwater species
4.5.5.1 Effect in the first year of the QMS
This group comprises orange roughy and the oreo species. These were part of the EA quota scheme and EAs were converted directly to PMITQ in 1986. TACCs were increased by some 29% overall in moving to ITQ, and again the government retained ownership of this share for leasing and sale. This share was similar in size to that of the next biggest owner, so the concentration ratio does not show any movement from PMITQ to 1987 (refer Table 6).
Table 9. Quota owned: all fin-fish sectors combined
|
Fishery |
Year |
Total quota owned |
No. holding quota |
HHI |
CR1 |
CR3 |
CR4 |
CR10% |
No. owning |
% |
% |
No. Owning |
Gini index |
|
IS+MD +DW
|
PMITQ |
298759 |
1756 |
7.0 |
17 |
40 |
46 |
66 |
434 |
25 |
85 |
412 |
92.1 |
|
1987 |
467201 |
1357 |
20.7 |
42 |
63 |
68 |
83 |
62 |
5 |
95 |
457 |
97.2 |
|
|
1988 |
472495 |
1333 |
20.6 |
42 |
63 |
70 |
83 |
57 |
4 |
95 |
448 |
97.3 |
|
|
1989 |
480458 |
1353 |
19.9 |
41 |
61 |
70 |
83 |
65 |
5 |
95 |
452 |
97.2 |
|
|
1990 |
469696 |
1362 |
18.0 |
39 |
59 |
63 |
81 |
71 |
5 |
95 |
455 |
97.1 |
|
|
1991 |
412272 |
1332 |
14.4 |
34 |
53 |
59 |
76 |
82 |
6 |
94 |
430 |
96.7 |
|
|
1992 |
421726 |
1292 |
10.6 |
26 |
47 |
53 |
77 |
76 |
6 |
95 |
392 |
96.7 |
|
|
1993 |
420079 |
1230 |
10.4 |
26 |
46 |
51 |
75 |
69 |
6 |
95 |
380 |
96.7 |
|
|
1994 |
420023 |
1203 |
10.8 |
26 |
46 |
55 |
77 |
67 |
6 |
95 |
370 |
96.7 |
|
|
1995 |
433347 |
1151 |
9.5 |
18 |
46 |
56 |
79 |
67 |
6 |
94 |
349 |
96.7 |
|
|
1996 |
446246 |
1113 |
10.8 |
25 |
46 |
55 |
80 |
57 |
5 |
95 |
334 |
96.9 |
|
|
1997 |
454783 |
1054 |
10.9 |
25 |
46 |
55 |
82 |
50 |
5 |
95 |
301 |
97.0 |
|
|
1998 |
450631 |
992 |
11.0 |
25 |
46 |
56 |
83 |
48 |
5 |
95 |
276 |
97.0 |
Data source: QMS data.Table 10. Quota held: all fin-fish sectors combined
|
Fishery |
Year |
Total quota held |
No. holding quota |
HHI |
CR1 |
CR3 |
CR4 |
CR10 |
No. Holding |
% |
% |
No. Holding |
% |
||
|
IS+MD +DW
|
1987 |
473657 |
1461 |
8.5 |
21 |
43 |
49 |
74 |
97 |
7 |
94 |
450 |
96.5 |
||
|
1988 |
476350 |
1524 |
7.8 |
20 |
40 |
46 |
71 |
88 |
6 |
95 |
442 |
96.6 |
|||
|
1989 |
483416 |
1552 |
8.3 |
21 |
42 |
49 |
69 |
92 |
6 |
94 |
437 |
96.7 |
|||
|
1990 |
477937 |
1584 |
6.7 |
18 |
37 |
45 |
65 |
96 |
6 |
94 |
458 |
96.5 |
|||
|
1991 |
412412 |
1648 |
4.7 |
12 |
28 |
35 |
60 |
137 |
8 |
92 |
407 |
95.7 |
|||
|
1992 |
421731 |
1687 |
6.6 |
18 |
36 |
43 |
67 |
126 |
7 |
93 |
409 |
96.0 |
|||
|
1993 |
420407 |
1576 |
5.7 |
14 |
34 |
41 |
65 |
120 |
8 |
93 |
385 |
95.9 |
|||
|
1994 |
420032 |
1518 |
6.4 |
17 |
35 |
44 |
66 |
122 |
8 |
92 |
375 |
95.9 |
|||
|
1995 |
433355 |
1425 |
10.3 |
23 |
51 |
57 |
71 |
108 |
8 |
93 |
375 |
96.2 |
|||
|
1996 |
446247 |
1255 |
8.7 |
20 |
40 |
50 |
79 |
65 |
5 |
95 |
368 |
96.9 |
|||
|
1997 |
454783 |
1216 |
8.6 |
21 |
42 |
51 |
74 |
78 |
6 |
94 |
333 |
96.5 |
|||
|
1998 |
450631 |
1128 |
8.4 |
20 |
42 |
50 |
75 |
72 |
6 |
94 |
308 |
96.5 |
|||
Data source: QMS data.The total number of owners in the group was reduced by 19% from 54 to 44 by the end of the first year, with the quota being acquired by a few new large business entities. Most of this quota came from those fishers operating under the competitive TACC section of the fishery, who received 100 and 200t ITQ allocations and who sold out.
4.5.5.2 Trends under the QMS: 1987 to 1998
The same set of large companies controls the bulk of this sector as is the case in the mid-depth stocks. The nature of the fishing limits participation to large vessels and the total of around 40 owners has remained relatively stable over the period. However, ownership has become more concentrated among the top four as a result of the government relinquishing quota-ownership, with CR4 moving from 64-72% while CR10 has increased less than four percentage points. The HHI reflects the movement of the government share to the big three private owners in shifting from 12.5 to 16% over the period. Ninety-five percent of deepwater-quota is held in 13 accounts. Despite this high concentration, the deepwater-quota is more evenly spread among the owners than the other categories according to the GI, due to the limited scope for smaller players. The top 5% of owners (2) had 50% of the quota in 1998 with a GI ranging from 72-80% over the period (see also Figure 17).
Holdings show somewhat different patterns to the other groups relative to owned-quota. Numbers of participants are 25-30% higher, but the HHI barely moves, and the concentration ratios are all about the same as for ownership. This pattern is likely to be a result of the leasing-out of small amounts of quota to cover incidental catches in mid-depth fisheries, rather than any attempt by non-owners to target these species.
Both catches and TACCs have fallen by about 40% over the period. Thirteen accounts reported 95% of the catch in 1998, and the other indicators are almost identical to ownership.
4.5.6 Rock lobster
This fishery has a relatively large number of participants with small tonnages, as it is a high-value, small-boat, near-shore fishery. Rock lobster was introduced into the QMS in 1989-90, and TACCs had fallen 20% in total by 1998. PMITQ data for rock lobster was not investigated.
Total participants fell by one-third from 686 to 470 over the nine year period. Along with the entry of TOKM as the largest owner, this has contributed to a doubling of the HHI, but it is still comparatively low at 1.4%. The CR10 is only 26% in 1998, but this has also doubled since 1989-90 (see Figure 18). The proportion of all quota owned by the top 5% has increased from 23 to 37%, and the GI has ranged from 49% in 1990 to 58% in 1998, indicating a relatively low, but increasing, inequality in parcel sizes among quota-owners. The average holding for rock lobster is around six tonnes.
The number holding quota at the end of year is almost identical to ownership, but indices of holdings show large amounts of leasing by the big owners. This reflects both the fact that TOKM is the largest owner, and the nature of the fishery, as it would be a busy lobsterman that brought in 250t in a season. The holding concentration ratios are all about half the ownership values and have remained stable over the period. A full 78% of holders are included in the group with 95% of the quota at years end.
4.6 Summary and discussion of quota concentration
This assessment has shown significant restructuring in the New Zealand fishing industry as a result of the implementation of the QMS. Dramatic changes were seen in the first year of the system, particularly in the inshore fisheries. Some adjustment was due directly to the government-sponsored quota buy-back, to administrative cuts to quotas as part of the allocation process, and part of the remainder can be assumed to have occurred as a knock-on effect from that process. However, a large amount of quota-trading in the first year seems to have occurred through aggressive acquisition by larger trawling companies bolstering their portfolios in the face of the TACC cuts and the formation of new highly-capitalised commercial entities.
A total of 400 (23%) of 1750 quota-owners sold out in the first year of the system. All of these held PMITQ for inshore species and about half of them held mid-depth species. It is not possible to tell from the available data how many left completely through the buy-back, and how many through trading-down during the first year of the system.
The retention and subsequent disposal of large amounts of ITQ by the government, the conversion to a proportional quota system and the settlement of Maori claims complicate the interpretation of the analysis, but all seem to have been handled without great disruption to the system. Changes in indices through the transitions show consolidation of the dominance of the top 10 to 15 companies.
Since the initial adjustment over 1986-87, all the fin-fish sectors have gradually seen an increase in the degree of concentration of ownership. The total number of quota-owners in 1998 was 57% of the number who were issued PMITQ in 1986. The top-10 owners in the inshore have moved from owning 23% of PMITQ in 1986 to 38% of quota a year later, to 49% in 1998. In the other two sectors they own in excess of 90% of the quota. Taking into account the ownership relationships between companies, the dominant three interests in the New Zealand industry have controlled between 65 and 80% of all quota over the life of the system.
Consistently, end-of-year holdings and catch have been less concentrated than ownership, with the exception of deep-water species. The major holders in the inshore and mid-depth sectors are leasing out about 10% of their quota to others. Where catches fall short of TACCs in the inshore, the largest owners have generally leased out surplus quota, whereas in the mid-depth fisheries the major players bear the losses associated with catch shortfalls.
The lowest concentration of ownership found was in the rock lobster fishery where small parcels of quota are comparatively evenly distributed reflecting the practicalities of the fishery. A couple of large holders (including TOKM which holds quota in trust for Maori) distort the indices somewhat, with half the quota of the top-10 owners leased out of the group. When ownership of TOKM-held quota is distributed to tribal groups, indices in all of the sectors will fall.
The ownership patterns observed over the four sectors examined conform to the characteristics of each fishery. Many owners of mainly small parcels of rock lobster quota makes sense in a small-boat high value per unit catch fishery. Specialised central processing is not required and large rents are available for capture by the individual fisher. Although processors and export companies may wish to purchase rock lobster quota, fishers have good reason to hold on to this profitable asset. The diverse inshore fin-fishery exhibits moderately high, and gradually increasing, concentration following a burst of adjustment after several years of anticipation. The stock-specific restrictions on quota-concentration for these species provides some protection against severe market-power developing, but it is reasonable to postulate that a degree of monopoly-power may be exercised in some fisheries to control port-prices for fish and consequently the price of quota.
The high concentration of ownership in the mid-depth and deep-water sectors also reflects the nature of these predominantly trawl fisheries which require large capital investments in vessels and processing plant. Some cause for concern may arise with the mid-depth species, in that many small operators still hold quota in these fisheries but the vast majority of the quota is controlled by a few entities. Identification of the specific problems associated with market-power would require detailed research at a local level.
What is clear is that the predominant patterns of catch-ownership, particularly in the offshore sectors, were in place before the QMS came along. The biogeographical and technological issues in fishing these species, the degree of capitalisation required to harvest and process, and the nature of international fish-marketing are the key factors in the economic equation that dictates highly concentrated ownership of catching-rights. ITQs have provided increased security of fish supply that improves competitiveness in marketing. They also provide a means to optimise operations and maximise returns from New Zealands fisheries resources, but they do not change the fundamental economics of the fishery.
For the inshore, the major adjustment in distribution of catch-rights in the first year of the QMS tends to support the decision to introduce a means such as ITQ through which rationalisation could take place. Prior management regimes had allowed the development of an inefficient configuration in the industry and of over-exploitation of vulnerable high-value species. The permit moratorium and several years of reform policy consultation contributed to a build-up of tension and expectation in the industry, that was released when quotas were implemented. The large cash-flows and expectation of further large-scale development in the offshore fisheries no doubt contributed to a spree of deal-making and quota buy-outs of inshore quota by the corporate sector. There may be ongoing cause for concern in the relations between large quota-owners and contracted catching-capacity as well as the exercise of undue influence over prices for fish and quota in the inshore fisheries, but its elucidation would require detailed study of local conditions.
Unfortunately New Zealand lacks the well-developed checks and balances in the area of anti-competitive commercial behaviour, and the vigilance, compared to, for example, the Australian Competition and Consumer Commission, or the anti-trust watchdog groups and concerned authorities in the United States. Further independent research in this area may be necessary to pinpoint any current abuses of market-power and potential hazards for the future due to high concentration in ownership of catching-rights.
5. CONCLUSION
The general discourse concerning individual transferable quota often includes assumptions about what might, or does, happen under quota-management in regard to ownership-concentration and fleet-change. A common understanding is that the key economic argument made in support of ITQ-type management is to reduce over-capitalisation in the harvesting sector through rationalisation of fleet-capacity. This in turn implies some concentration of quota-ownership.
Although the analysis in this paper has been developed at a broad level, and only from available agency data, it gives some indications as to the veracity of the above understanding in practice under New Zealand conditions. At best the argument is incomplete. The data indicate that the restructuring of ownership of catching-rights under quota is the predominant change, rather than being a consequence of fleet-rationalisation. This supports a view that significant gains in efficiency were available to the industry elsewhere than in the catching sector itself. Returns to scale in processing and export marketing, security of supply, and synergies between inshore and expanding offshore operations saw the emergence of new large companies and significant rationalisation among existing large and medium enterprises, but without significant impact on fleet capacity.
The patterns of vessel registrations support the view that boats tend to remain in use as long as possible. With no alternative application, vessels may need to decline in value to that equivalent to their salvage value before being withdrawn from fishing. The fleet appears to be adjusting and reducing through the attrition of old vessels rather than exit of working boats. This is seen in the reduced numbers of the smallest vessels in the fleet during the 1990s, but significant reduction in total capacity of the inshore fleet may not come until the largest cohort of 12 to 24m vessels reach the end of their economic life. In addition, the over-capitalisation argument may have been somewhat oversold in relation to the pre-QMS fleet. Modelling at the time suggested the fleet was about 20% larger than it needed to be (NAFMAC 1983; Sissenwine and Mace 1992). This is not a great deal of surplus capacity, and given the shifts in target species and increases in TACCs and catches for many stocks under the QMS, the inshore fleet may not require significant reduction. On the other hand, technological change has undoubtedly increased fishing-power per registered tonne (GRT) over the past two decades.
Data examined here suggest that the QMS successfully checked and contained expansion of the inshore fleet in areas that were over-capitalised, and provided the means to redirect effort and existing capacity away from over-fished and vulnerable stocks, toward those capable of higher production levels. Given the levels of capacity existing in the mid-1980s, the use of ITQs undoubtedly produced a more efficient economic outcome than could the alternatives of input regulation or competitive TAC-management, and took pressure off increases in the fishing of vulnerable stocks.
At the same time the QMS provided a significant boost to the rapidly-expanding export-oriented industry led by the major companies. Ownership of exclusive rights to harvest provides greatly enhanced security of supply - an essential component for success in international marketing of fish products. New Zealand is a relatively small player in the world market, but it has been remarkably successful in selling into distant and competitive markets such as Japan, the Republic of Korea, the United States, and Europe, prospering as a result. Being able to confidently predict forward-supply is an important component of this success. This factor more than fleet-rationalisation may help explain the patterns in ownership of fishing-rights and changes seen on transition to quota-management.
The factors discussed here make New Zealand something of a special case in fisheries management. The country is small enough to make a unified management system and administration of fisheries possible, so that all economically significant commercial fisheries are under quota, leaving nowhere for vessels to go to exit the system. A small domestic market (relative to production levels) has led to export-orientation driving both vertical integration and concentration resulting in firms large enough to succeed in world markets.
However, for other management jurisdictions implementing or considering quota-management, these types of factors are becoming increasingly significant. Many fisheries are managed under some form of limited-entry, reducing the potential for vessel displacement. The concentration of ownership in domestic marketing channels in supermarket chains makes security of supply issues more important and will have implications for transferable catching rights. Vessel lock-in, in that no other options exist for their use, may have implications for levels of discarding and high-grading in some fisheries, and local concentration could develop to the point that independent catchers are exploited by large quota-owners. It is all too easy to believe that under ITQs a generally prosperous industry indicates efficiency and management success. However, an argument can be made that part of the price of such prosperity is an obligation of vigilance to look more closely at the areas of potential market-failure such as the commercial relationships between large and small players and possible undue influence on prices.
Certainly, further study of New Zealands implementation of ITQs is warranted, given the rather halting progress towards success in fisheries management globally. Closer examination of the issues raised in this paper on a fishery-by-fishery and method-by-method basis with input from the industry could yield further insights into both the detailed outcomes of the New Zealand system and the specific conditions for positive results with ITQs. Research would also prove helpful in the related areas of the fate of exiting boats and fishers, the interaction of property-rights and processes of stakeholder involvement in management, and the changing management cultures in regulation and within the industry under quota-management.
6. ACKNOWLEDGEMENTS
The data upon which this paper is primarily based were supplied by the New Zealand Ministry of Fisheries from their Quota Management System (QMS) databases. The author gratefully acknowledges the assistance of Ministry staff in the extraction and provision of this data. Special thanks are owed to John Annala, Kim Duckworth and William Emerson.
7. LITERATURE CITED
Annala, J.H. and K.J. Sullivan 1997. Report from the Fishery Assessment Plenary, May 1997: stock assessments and yield estimates. Ministry of Fisheries, Wellington.
Clark, I.N. and A.J. Duncan 1986. New Zealands Fisheries Management Policies - Past, Present and Future: The Implementation of an ITQ - Based Management System. Fisheries Access Control Programs Worldwide: Proceedings of the Workshop on Management Options for the North Pacific Longline Fisheries, Orcas Island, Washington, April 21-25, 1986. Alaska Sea Grant College Program, University of Alaska.
Clark, I.N., P.J. Major and N. Mollett 1988. Development and Implementation of New Zealands ITQ Management System. Marine Resource Economics 5: 325-349.
Connor, R. 2001 Initial allocation of Individual Transferable Quota in New Zealand fisheriues In: Shotton, R. (Ed.) Case studies on the allocation of transferable quota rights in fisheries. FAO Fish. Tech. Pap. No. 411. FAO, Rome.
FIB - Fishing Industry Board 1987. Economic Review of the New Zealand Fishing Industry 1986-87. New Zealand Fishing Industry Board, Wellington, New Zealand.
FIB - Fishing Industry Board 1989. G. Bevin, P. Maloney and P. Roberts, (Eds.) Economic Review of the New Zealand Fishing Industry 1987-88. New Zealand Fishing Industry Board, Wellington, New Zealand.
FIB - Fishing Industry Board 1990. G. Bevin, P. Maloney, P. Roberts and N. Redzwan, Eds. Economic Review of the New Zealand Fishing Industry 1988-89. New Zealand Fishing Industry Board, Wellington, New Zealand.
FIB - Fishing Industry Board 1994. The New Zealand Seafood Industry Economic Review 1993. New Zealand Fishing Industry Board, Wellington, New Zealand.
FIB 1996. The New Zealand Seafood Industry Economic Review 1994-1996. New Zealand Fishing Industry Board, Wellington, New Zealand.
Gauvin, J.R., J.M. Ward and E.E. Burgess 1994. Description and evaluation of the Wreckfish (Polyprion americanus) fishery under Individual Transferable Quotas. Marine Resource Economics 9: 99-118.
Hogan, L., S. Thorpe and D. Timcke 1999. Tradable quotas in fisheries management: implications for Australias south east fishery. Canberra, ABARE.
King, M.R. 1985. Fish and shellfish landings by domestic fishermen, 1974-82. Fisheries Research Division, Occasional Publication, Data Series No. 20. Ministry of Agriculture and Fisheries, Wellington.
NAFMAC 1983. Future policy for the inshore fishery - a discussion paper, August 1983. National Fisheries Management Advisory Committee, MAF, Wellington.
National Research Advisory Council 1980. Commercial Marine Fisheries Working Party Report to the Minister of Science and Technology, 31 October 1980, Wellington.
National Research Council 1999. Sharing the fish: toward a national policy on individual fishing quotas. National Academy Press, Washington D.C.
OECD - Organisation for Economic Co-operation and Development. 1997. Towards Sustainable Fisheries. OECD, Paris.
Riley, P. 1982. Economic Aspects of New Zealands Policies on Limited Entry Fisheries. In: Sturgess, N.H. and T.F. Meany (Eds.), Policy and Practice in Fisheries Management, 365-383. Australian Government Printing Service, Canberra.
Scherer, F. M. 1973. Industrial Market Structure and Economic Performance. Chicago, Rand McNally and Co.
Sharp, B.M.H. 1997. From regulated access to transferable harvesting rights: policy insights from New Zealand. Marine Policy 21, 501-517.
Sissenwine, M.P. and P.M. Mace 1992. ITQs in New Zealand: the era of fixed quota in perpetuity. Fishery Bulletin, U.S. b (1): 147-160.
Wallace, C. 1997. New Zealands Fisheries Quota Management System Assessed. Creating a green future: 1997 Conference of the Australia New Zealand Society for Ecological Economics, Melbourne, ANZSEE.
APPENDIX I. Species codes, names and groupings
|
QMS species-code |
Common name |
Scientific name |
TACC 1998 (tonnes) |
|
Inshore fin-fish species |
|||
|
BCO |
Blue cod |
Parapercis colias |
2665 |
|
BNS |
Blue nose |
Hyperoglyphe antarctica |
2490 |
|
BYX |
Alfonsino |
Beryx splendens; B. decadactylus |
2727 |
|
ELE |
Elephant fish |
Callorhinchus milii |
715 |
|
FLA |
Flatfish (group of 8 species) |
Rhombosolea leporina; R. plebeia; R. etiaria; R. tapirina;
Pelotretis flavilatus; Peltorhamphus novaezelandiae; Colistium guntheri; C.
nudipinnis |
6670 |
|
GMU |
Grey mullet |
Mugil cephalus |
1086 |
|
GUR |
Red gurnard |
Chelidonichthys kumu |
5143 |
|
HPB |
Groper (2 species) |
Polyprion oxygeneios; P. americanus |
2181 |
|
JDO |
John dory |
Zeus faber |
1107 |
|
MOK |
Blue moki |
Latridopsis ciliaris |
604 |
|
RCO |
Red cod |
Pseudophycis bachus |
16066 |
|
SCH |
School shark |
Galeorhinus galeus |
3106 |
|
SNA |
Snapper |
Pagrus auratus |
6495 |
|
SPO |
Rig |
Mustelus lenticulatus |
1888 |
|
STA |
Stargazer |
Kathetostoma giganteum |
4972 |
|
TAR |
Tarakihi |
Nemadactylus macropterus |
5992 |
|
TRE |
Trevally |
Pseudocaranx dentex |
3932 |
|
Rock lobster species |
|||
|
CRA |
Rock lobster |
Jasus edwardsii |
2927 |
|
Mid-depth fin-fish species |
|||
|
BAR |
Barracouta |
Thyrsites atun |
34233 |
|
HAK |
Hake |
Merluccius australis |
13997 |
|
HOK |
Hoki |
Macruronus novaezelandiae |
250010 |
|
LIN |
Ling |
Genypterus blacodes |
22113 |
|
SKI |
Gemfish |
Rexea solandri |
2211 |
|
SWA |
Silver warehou |
Seriolella punctata |
9512 |
|
WAR |
Blue warehou |
Seriolella brama |
4512 |
|
Deep-water fin-fish species |
|||
|
OEO |
Oreos (group of 3 species) |
Allocyttus niger; Neocyttus rhomboidalis; Pseudocyttus
maculatus |
25654 |
|
ORH |
Orange roughy |
Hoplostethus atlanticus |
21330 |
Sources: QMS data; Annala & Sullivan 1997.