Previous PageTable Of ContentsNext Page

APPENDIX 5 - OPEN ECONOMY WITH TIMBER HARVESTING AND DEFORESTATION

In this appendix, we revert to the case where timber is the only good provided by the forest. However, we allow for conversion of forestland to agriculture.

Overview of the model and key results

There is a fixed land area , mostly in forest initially. L is the area in forest. The forest yields net income from harvesting and exporting a timber volume of at a net world price of Land area -L is in agriculture, yielding net income from agricultural exports.

World prices, initial areas, and concave production functions make the initial price of land in forestry, low and the initial price of land in agriculture, high (r is the social discount rate). This initial land price gap drives deforestation (clearing land for agriculture). Clearing area R costs C(aR), but it yields timber worth paR (p is unit value of salvaged timber, a is timber salvaged per hectare, and total salvaged volume is H=aR). This timber production from conversion fellings is in addition to "sustainable" timber production represented by .

With the initial land price gap large, the amount cleared per period, R, will also be large. In fact, R can be large enough that marginal value a[p-CH] will be negative. This negative marginal value implies positive "investment" by forest clearing: an asset with a negative value at the margin, namely the forest, is eliminated. The national accounting entry for wealth change in the economy is therefore

The amount cleared diminishes as the marginal value of salvaged timber, p-CH, becomes positive and prices of land in the two uses converge. At a certain point, land prices flip, with forestland becoming higher valued. Deforestation nevertheless continues for a while, due to the positive net timber value from conversion fellings. It ceases when land prices differ by the marginal profit from clearing (marginal value of timber harvest):

Forest area is now stable at L(T). In the earlier phase, the transformation of forested land to agriculture land resulted investment in the economy. The net increase in land value was offset by a negative marginal payoff to clearing a hectare. In the later phase, there is a net decrease in land value offset by a positive marginal payoff to clearing a hectare of trees. The economic depreciation term, a[p-CH(t)]R(t), correctly reflects the net change in land value. Early on, low value land is transformed to high value land, whereas later, higher value land is being transformed to lower value land but with a positive harvest payoff.

NDP is therefore given by

The last term is the change in asset (land) value. Note that change in wealth or capital value pertains to the amount of forested land cleared of forest. That is, wealth change is

where is forestland cleared and is land price (a capital value). This value is identical to the negative of rent on salvaged timber, namely

.

Hence wealth change manifests itself precisely in rent on salvaged timber volume. We are in the unusual position of being able to integrate wealth change into the product or output part of net national product, as in

where {.} contains the terms we combine. {.} reduces to

which is positive and declines to zero at the date defining the end of the clearing. This is a producer surplus, which can be linked to rent on land. At the moment the prices of land in agriculture and forestry become equal, the price of timber p equals the marginal cost of "harvesting" timber, and at that moment aCHR - C(aR) indeed defines the rent on the R hectares of land about to be cleared of timber.

In summary, rational forest clearing yields a timber payoff (worth negative dollars early on and positive dollars later) plus a land value capital gain (worth positive dollars early on and negative dollars later). The net value of these two effects is always positive, up to the point where clearing ceases. But the two effects are distinct from a national accounting perspective. One is essentially a value of product (timber cleared), while the other is a value of investment, possibly negative, in natural capital, namely land. From the perspective of national accounting, the terms should be kept separate, even though they each can be expressed in dollars of timber per se.17

The early phase bears strong resemblance to the formal structure of an extractive sector in an economy for the case of durable exhaustible resources. For example, gold, once mined, is used indefinitely above ground. A "useless" asset in the ground becomes useful above ground. Asset value increases by the act of extraction, and extraction is costly. The later phase bears strong resemblance to the formal structure of an extractive sector in an economy for the case of non-durable exhaustible resources. For example, oil extraction imposes an asset value decline on the economy, "in return for" current use of the oil extracted. In the forestry case, timber is cleared, opening up more low value land; the asset value decline is accepted "in return for" current profits from timber sales.

Reforestation

Reforestation of agricultural land is possible in the model. This process works as follows. At the equilibrium point L(T), the landowner observes that her land is more valuable in forest than in agriculture (the land price gap noted above). If the land could be reforested without delay, then she would let it be reforested and then she would mine off the new trees again. There is then the incentive for the landowner, when the state is at L(T), to let land reforest itself, for free. The retarding tendency is of course agricultural output forgone while the land reforests itself. This cost will be relatively small if natural reforestation is rapid, and the incentive to allow reforestation to occur will be stronger as the land price gap, is larger.

Routine calculation shows that for any plot with

it pays for the owner to wait (not wait) N+1 periods while re-forestation occurs. With more rapid natural reforestation, the factor N becomes smaller, resulting in more plot owners being induced to allow reforestation to occur, given state L(T).

For cases of agricultural land price being pushed down sufficiently far as tree "mining" occurs, owners will find it profitable not to farm the cleared land. They will leave the land to reforest itself; subsequently, new clearing will follow. A perpetual cycle of the Faustmann sort occurs: harvest trees, leave for reforestation, harvest again, leave for reforestation, etc. The driving force is the relatively low value of cleared land for agriculture. Given this low value, the owner can afford to keep the land unfarmed, while timber regrows on it.

Another interpretation of the regrowth phenomenon is overshooting a quasi-equilibrium. It appears that forest owners are clearing land for agricultural use, when in fact the primary motive is to obtain the valuable timber. In a sense, agricultural land is a by-product of timber "mining". Once mined of timber, the land may be used for agriculture for a while, but ultimately it will be allowed to reforest itself. This scenario appears to have played itself out in Eastern Canada and New England in the United States. Timber was mined, low productivity farming followed, and then reforestation was allowed to occur.

Investment and consumption levels

In our small open economy we can associate all production with exports to the world. Then net revenue can be thought of as payment for imports of consumption goods plus possibly investment in banks abroad at, say, r percent. If B(t) is bonds accumulated and held abroad paying r%, then current consumption is

where is current investment in bonds abroad. Consumption level Y(t) will remain constant when investment is set at the level of the decline in natural capital value, namely, -a[p-CH]R(t). This implies that in the early phase will be selected at a negative value. Foreign bond holdings are being run down and the proceeds consumed. This corresponds to a developing country borrowing from abroad early in the development process. In the later phase, will be selected at a positive value as investment in capital abroad balances off the decline in natural capital at home. These arguments for sustaining constant consumption originate with Solow (1974) and Hartwick (1977), and a version paralleling ours here, but for a small open oil-exporting nation, is explored in Vincent, Panayotou, and Hartwick (1997).

Wealth accounting

A seeming alternative approach to national accounting, with due attention to natural capital, is to construct wealth accounts and to incorporate changes in wealth into expressions for net investment in the national accounts. Intuitively, it seems apparent that one should end up with the same values for the wealth change associated with changes in natural stocks when one does the wealth accounting correctly and when one does the change in wealth calculations, focused on in the previous sections. Formally, this link can be made but one needs to draw on dynamic efficiency conditions (optimization conditions) to make it. Total wealth in our small open economy, with no investment, is

Change in wealth is

This is a basic asset valuation condition: current change in asset value equals current "income" forgone, plus interest on the current value. The latter "wedge" occurs because as time moves forward, there is less discounting on the remaining wealth.

The above differentiation is a key ingredient in the understanding of wealth accounting. The other key ingredient is the observation that equals -a[p-CH(t)]R(t). This result is from dynamic programming.

Estimates of many types of natural wealth are difficult to obtain because the basic accounting inputs, the physical quantities of the resources, are hard to obtain. This is clearly the case for fish stocks and mineral stocks. The accountant cannot obtain only very approximate estimates of stock sizes, which are prone to large errors. Forests are easier to measure, through either field inventories (unlike fish, trees do not move) or remote sensing. Needless to say, considerable expertise is needed to translate satellite data into accurate timber stock estimates, as forests comprise trees of different ages, sizes, and species. Nevertheless, wealth estimation for timber stocks appears to be more feasible than for other natural resources.

Details of the model

At each date, the country exports some agricultural produce at net price some sustainable forest produce at net price and timber aR(t) salvaged from deforested land at price p. The cost of salvage timber operations is C(aR(t)).

is the total land in the economy; L(t) is in forest and -L(t) is in agriculture. Forest output is concave in forestland L(t). Current net income from forestland is . Output g(-L(t)) in agriculture is also concave, in L-L(t), and current net income from farmed land is Current net income from R(t) hectares currently cleared of forests is paR - C(aR), where C(.) is convex in harvest aR.

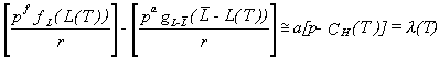
The marginal net payoff a[p-CH(t)] measures the first-order change in land value (forest to agriculture) from clearing the marginal hectare. The second-order effect is the capital gain, Current clearing of one hectare yields timber worth λ(t) plus a hectare of agricultural land worth minus a hectare of forestland worth and some capital gains That is, the basic asset equilibrium condition is

Roughly speaking, the net land price gap equals the net cost of clearing a hectare. The refined statement has capital gains factored in properly. λ(t) is formally the net price (capital value) of a hectare of forestland because

The market "selects" the clearing level, R(t), to maximize the present value of net wealth in the economy,

subject to

The current-value Hamiltonian is

The necessary conditions are

These two equations describe the pace of clearing forestland and the corresponding net price of land inclusive of capital gains. At some finite date T, clearing ceases, and the economy carries on with fixed amounts of land in agriculture and in forests. The steady state is reached when the Hamiltonian H(T) equals the level of future steady income. That is, T is defined by

This implies that at Given our choice of C(aR) convex in aR with C(0) = 0, this endpoint condition implies that clearing level R(t) declines to zero at date T. Then λ(T) = ap. As this transition date is approached, capital gains λ(t) approach zero.

Reforestation

This steady state will be backwards-unstable in the sense that some owners of agricultural land will wish to let their holdings reforest themselves in order to reap an increase in land value. Consider a landowner with a vacant plot with rent (marginal profit) when worked in agriculture. If the plot could be instantaneously forested, it would be worth when used in sustainable harvesting. Once forested, the land could be cleared and the timber sold off. Then the forestland would revert to vacant land, suitable for agriculture. Should the owner of the vacant plot farm it or let it reforest itself? There is an immediate capital gain if reforestation occurs instantaneously. The gain is delayed in the case of gradual reforestation. The cost of waiting for reforestation to occur is agricultural output forgone. This cost is per period. Hence the owner should wait (not wait) for re-forestation (N periods hence) as

This inequality reduces to

For large N (slow growing trees), the owner should simply farm her cleared land. Alternatively, if the gap between alternative land rents is large, the owner can afford to wait while the land reforests itself.

Investment and consumption levels

The definition of wealth for the economy is discounted future income (Irving Fisher):

Differentiation with respect to t yields

(t) = rW(t) - [pff(L(t)) + pag(-L(t)) + paR(t) - C(aR(t))].

When R(t) is chosen optimally, the Bellman equation is satisfied, namely

rW(t) = pff(L(t)) + pag(-L(t)) + paR(t) - C(aR(t)) - R(t)[pa – aCH(t)].

Using this in (t) above yields

(t) = -R(t) [pa – aCH(t)].

This basic relation indicates the change in wealth as forestland is cleared. In the early phase (low land prices for forested land), wealth change is positive because, roughly speaking, new agricultural land is very valuable. In the later phase, the economy is giving up high-priced forested land to be able to harvest the valuable timber.

How can the economy sustain consumption levels as these changes in the composition of wealth occur? Suppose the country can use some of its export earnings to invest in bonds abroad, earning r%. Let B(t) be bonds held abroad and (t) be current investment in bonds. Current income from bonds is rB(t). This leaves current consumption as

Y(t) = pff(L) + pag(-L) + paR - C(aR) + rB -.

Assume investment abroad is selected to cover the decline in asset value in the economy. Wealth change at any date (economic depreciation of assets, i.e. land) is -a(p – CH(t))R(t). This is

-λ(t)R(t), in light of (A2). This, under our savings assumption, is -(t). Hence

Consider now the time path of consumption Y(t). Differentiating Y(t) with respect to time, we obtain

   

      = 0,

given (A3). This establishes that consumption in the economy remains constant under investment arranged to offset asset value decline (or increase in the early phase).

Further issues

Two possible extensions of the model are to introduce (i) an exogenous upward drift in world timber prices, and (ii) clearing costs that rise with cumulative clearing. Methods for dealing with (i) are set out in Vincent, Panayotou, and Hartwick (1997). Dealing with (ii) is known in the literature as the introduction of stock size effects in costs. We simply note here that neither extension is trivial.

Previous PageTop Of PageNext Page