FI : DP/CUB/74/006
Technical Report I
RAISING OF MARINE AND SALTWATER FISHES
C U B A
INDUCED SPAWNING OF THE MARINE FISHES
Report prepared for the Government of Cuba
by
the Food and Agriculture Organization of the United Nations
acting and executing agency for
the United Nations Development Programme
based on the work of
Dr. S.I.Doroshov
Fish Biologist
The Food and Agriculture Organization is greatly indebted to all those who assisted in the implementation of the project by providing information, advice and facilities.
UNITED NATIONS DEVELOPMENT PROGRAMME
FOOD AND AGRICULTURE ORGANIZATION OF THE UNITED NATIONS
Rome, I975
Hyperlinks to non-FAO Internet sites do not imply any official endorsement of or responsibility for the opinions, ideas, data or products presented at these locations, or guarantee the validity of the information provided. The sole purpose of links to non-FAO sites is to indicate further information available on related topics.
This electronic document has been scanned using optical character recognition (OCR) software. FAO declines all responsibility for any discrepancies that may exist between the present document and its original printed version.
1.1. Project origins
1.2 Objectives of work
1.3 Previous experience
Chapter 2 MATERIAL AND METHODS
2.1 Mugil curema
2.2 Eugerres plumieri
2.3 Bairdiella batabana
3.1 Maturation and induced spawning
of Mugil curema
3.2 Induced breeding of Eugerres plumieri
3.3 Maturation of Bairdiella batabana
4.1 Mugil curema
4.2 Eugerres plumieri
4.3 Bairdiella batabana
4.4 General
Chapter 5 CONCLUSIONS AND RECOMMENDATIONS
5.1 Mugil curema
5.2 Eugerres plumieri
5.3 Bairdiella batabana
5.4 General
LIST OF TABLES
1. Hypophyzation of Mugil curema results
2. Diameter of eggs and oil globules in Mugil curema
3. Rate of early development of Mugil curema
4. Hypophyzation of Eugerres plumieri results
5. Diameter of eggs, oil globules and fecundity of Eugerres plumieri
6. List of species recommended for pilot-scale artificial breeding
LIST OF FIGURES
1. Proportion of Mugil curema with different stages of maturity in the commercial catch at Nipe Bay.
3. Mugil curema GSI distribution at spring
I - length; 2- yolk sac diameter ; 3 - oil globule diameter.
5. Food consumption by larvae and fry of Eugerres plumieri :
I - Rotifers; 2- Copepods; 3 - Brine shrimp.
6. Growth of Eugerres plumieri larvae and fry (length). Mean and standart deviation plotted.
7. Growth of Eugerres plumieri larvae and fry (weight).
8. Hydrochemical regime in tank during larval rearing of Eugerres plumieri.
LIST OF PHOTOGRAPHS
1. Oocytes development of Mugil curema: (x I00)
A. Ovary after spawning (stage YI)
B. Stage I.
C. Beginning of oocytes growth (stage II)
D. Beginning of yolk accumulation (stage III)
E. Secondary yolk stage: diameter of oocytes 500 μm (stage IY)
F. Tertiary yolk stage, beginning of oil droplets fusion : oocytes diameter is 600μm.
G. Oil roplets fusion progressed.
H. Complete coalescing or oil droplets into
one oil globule, nucleus migrated. Oocytes
diameter is 650 μm.
2. Oocytes development in Eugerres plumieri: (X I00)
A. Mature oocytes in tertiary yolk stage: diameter 350 μm.
B. Coalescing of oil droplets.
C. Yolk fusion, nucleus migrated: diameter 550 μm. (x 200)
D Ovary after spawning (atretic corps can be seen).
3. Embryonic and postembryonic development of Eugerres plumieri:
A. Ten minutes after fertilization.
B. 1 hr.
C. 1 hr. 40 min.
D. 3 hrs. 30 min.
E. 6 hrs.
F. 9 hrs.
G. 13 hrs.
H. 24 hrs (before hatching).
3.2 Larval development at 27° :
A. At emergency.
B. 12 hrs after hatching.
C. 3 days after hatching.
D. 5 days after hatching.
E. 11 days after hatching.
3.3 Fry development at 24°– 27° :
F. 19 days old
G. 23 days old
H. 35 days old (metamorphosis completed)
| Desoxycorticostheronacetate | Derivate of corticostheroid hormone |
| Human Chorionic Gonadotropin | Gonadotropic hormone obtained from pregnant woman urine |
| Salmon Gonadotropin | Gonadotropic piscine hormone obtained from salmon pituitaries |
| Synachorine | Mixture of gonadotropic hormones |
| CIM | - Centro de Investigaciones Marinas, Universidad de la Habana |
| CIP | - Centro de Investigaciones Pesqueras del Instituto Nacional de la Pesca |
| C.P. | - Carp pituitaries |
| DOCA | - Desoxycorticostheronacetate |
| GSI | - Gonadosomatic indice |
| HCG | - Human Chorionic Gonadotropin |
| IU | - International Units |
| RU | - Rabbit Units |
| SG-GIOO | - Salmon Gonadotropin |
| SH | - Synachorine |
| M.P. | - Mullet pituitaries |
Project “Raising of Marine and Saltwater fishes” (FAO/UNDP/74/006) has been initiated with a view to develop the foundation of marine fish-culture in Cuba. Pilot-scale experiments on the commercial rearing of Mugilids have been done in 1974–76 and two species, Mugil liza and Mugil curema have been suggested as feasible for practice; some other lagoon species, like Bairdiella bathabana, Centropomus undecimalis, Eugerres plumieri have been recommended as potential objects for commercial rearing (FI:DP/CUB/74/006, Terminal Report, 1976).
Stock procurement for farming needs in artificial breeding development. Therefore, the experiments in this field have been conducted, as a part of the project, during 1976. Maturation and induced spawning have been investigated in three species as following:
Mugil curema Valencienne (Lisa)
Eugerres plumieri (Cuvier, 1830) (Patao rayado)
Bairdiella batabana (Poey) (Corvina)
The schedule of work and list of the documents presented are given in Appendices 1 and 2.
Preliminary results of work on induced spawning of all three species mentioned above have been briefly described in the Progress Reporss Nos. 1, 2, 3 to HQ of FAO (see Appendix 2). Date and recomeendations on induced spawning of Mugil curema have been included in Terminal Report, CUB/74/006, as well as the description of water circulation system constructed in Nipe Bay, Oriente. Work on indiced spawning of Mugil liza was also appointed to be carried out in Nipe Bay in October-December, 1976. Regrettably, this work was cancelled due to the lack of technical conditions (electricity supply of the field station was broken at the time of work).
Artificial breeding of marine fishes made a great progress for last two decades and was reviewed in many books and articles (Shelbourne, 1964; Bardach et al., 1972; Hash and Kuo, 1975). Action of gonadotropic hormones on the maturation and spawning was summarized by many authors as well (Pickford and Atz, 1957; Liley, 1969; Barannikova, 1975).
Grey mullet (Mugil cephalus L.) induced spawning was a subject of extensive study in several countries (Tang, 1964; Yashouv, 1969; Kuo et al., 1973; Kuo and Nash, 1975; Liao, 1975). According to these investigations grey mullet produce the eggs after obligatory gonadotropic stimulation with mullet, carp, salmon pituitaries, SG-GIOO,HCG,SH and DOCA; rotifers and brine shrimp nauplii can be used as a food for larval rearing; survival from larvae emerged to viable fry is greatly varying but 10–20 % rate can be achieved.
Artificial breeding of Eugerres sp.sp. is not studied. Induced spawning and fertilized eggs of Bairdiella icistis were obtained successefully in California; salmon pituitaries and purified hormones have been proved (Haydook, 1971).
In Cuba only one experiment on induced spawning of Harengula clupeola has been conducted up to date (Mester et al., 1974). Lyfe cycle of Mugil curema has been studied in coastal waters of Cuba by Alvarez-Lachonchere (1974,unpublished) and by Mefford (1955), Anderson (1957) and Moore (1974) in Florida and south Texas.
Fishes have been sampled in Nipe Bay (Oriente) in April-May (383 sp.) and November (359 sp.). Length, GSI distribution were determined and sections of ovaries (hematoxilin staining) prepared.
Experiments on induced spawning have been conducted at April-May. Spawners were captured in the setnets near the entrance to Nipe Bay and transported to the laboratory in nylon sacs with oxygen. Provisional water circulation system constructed had two pumps (90 l/min), two head tanks (3600 l), six tanks for spawners with a capacity from 500 to 1 500 l. Each tank has been provided with continious water circulation (6–1O l/min), and aeration. Temperature of water during experiments varied within a range 24–32°, salinity 35–38 so, dissolved oxygen 55– 100 % of saturation and pH 7.9–8.6.
After transportation and treatment with Monofuran (6g/500l) females and males were separated and oocytes were sampled ‘in vivo’ (Kuo et al., 1974). Injections were initiated within 6–20 hrs after transportation. Interval between injections varied from 10 to 30 hrs and first dose was always one-third of followed. Dry carp pituitaries (FAO), SG-GIOO (Dr.E.Donaldson, Vancouver Laboratory, Canada) and fresh mullet pituitaries were injected in varied total dose and combinations. Natural spawning in tanks with two uninjected males was performed as described by Kuo et al. (1974). Three females were stripped after ovulation and fecundaty was measured volumetrically. Fertilized eggs were kept in the spawning tank for incubation and sampled in 3–5 hrs. Larvae emerged did not receive any food (because food culture unit was not available) and were sampled until the mortality from starvation.
Spawners were captured with a gillnet in Baracoa lagoon (Havana), transported to the laboratory in plastic tank with aeration and placed in 5001 fibrocement tanks with air barborage and changing of water twice per day. Three series of experiments have been carried out in August -October. Females received the injections of HCG (commercially produced in Cuba) in total dose 1.5 –22 IU per g of body weight. Fishes (one female and two males) were allowed to spawn naturally in tanks, and presence of buoyant eggs was checked periodically. Rate of fertilization, diameter of eggs and oil globules, length of yolksac and larvae were measured in the samples of 15 –35 sp. Drawings were prepared with live eggs and larvae narcotized (MS-222) and with fry preserved in 4% formol.
Two batches of larvae emerged were kept in tanks without food and third was transferred after hatching into 5001 tank supplied with simple filter, circulation of water (1–31/min), aeration and luminescent light (40 W). Algae (Tetraselmis sp. and Nannochloris sp.) and rotifer (Brachinus plicatilis) culture was installated outdoor (de la Cruz, Alfonso, 1975; de la Cruz y Millares, 1974). Density of algae and rotifer in tank with larvae was maintained at level 500 000 cells/ml and 1Osp/m/1 correspondingly at first ten days of rearing. Wild Copepods (mainly Acartia sp., copepodit stages) were used as food for days 10–20 of larval rearing and brine shrimp nauplii (Artemia salina, canned eggs from California) starting from day 18-th. Growth of larvae and fry has been measured up to day 73d. At age 60 –73 days all larvae were sacrificied (see 3.2) and length -weight relationship was calculated with computer as logarithmic regression.
Ten females were caught by gillnet in Santana -River (Havana) and transported to the laboratory in nylon sacs. No males have been caught. Eight females were sacrificied and ovaries analysed, two females were kept alive in 50 l plastic tanks. They received 2–3 injections of carp pituitaries and HCG and were stripped after ovulation.
Some features of spawning population in Nipe Bay are shown in Fig.1 and 2. Fishes captured at spring had only IY,Y and YI stages of gonadal development. At autumn the development of gonads is more variable. Spring spawning population is very uniform in size distribution; males and females are differed by size.
All the females at stage IY caught at spring had uniform GSI with a modal class 11–13 % (Fig. 3). There is a correlation between GSI and mean diameter of oocytes. Final size of vitellogenetic oocytes before hydration (650μm) is corresponding to GSI between 12 and 14%.
Results of hypophyzation are shown in Table 1. One female, kept in tank for one night, spawned without injections. Rest of oocytes from female stripped produced 34% of fertilization. Six females from 15 injected responded with ovulation and spawning (three spawned in tank and three were stripped). In most of cases fertilization has been failed due to poor quality of eggs or due to lack of good males, but one spawning produced 94 % of fertilization. Nine females from 15 did not respond to multiple injections and developed atresia. All the hormones administered separately or combined produced the same results, both positive and negative. Hydration was observed within 5–10 hrs after the injection of effective dose and spawning within 3–6 hrs after beginning of hydration. During this time GSI increased from 14 to 30 % and females stopped any swimming activity. Initial diameter of oocytes in all the females varied within a range 600–700 μm (except of one case) showing no significant difference between females with positive and negative response. However, responded females had coalesced oil globule before injections and those which did not respond had partially or not fused oil droplets.
Oocytes development is shown in Photo 1. This species has sinchronical vitellogenesis. Hypophyzation produces positive result when the oocytes are at tertiary yolk stage with oil globule coalesced, nucleus migrated and diameter 610–680 μm. Yolk fusion was observed always after the coalescing of oil droplets. During hydration the diameter of oocytes increased from 650μm to 850μm within a very short time. Some females with not coalescing of oil droplets. During hydration the diameter of oocytes increased from 650 μ m to 850 μ m within a very short time. Some females with not coalesced oil droplets responded to multiple injections by slow oocytes develop ment up to single oil globule stage but after two - four injections atresia developed in all of them; atresia was particularly rapid ( up to full resorption of mature oocytes) when the temperature of water increased up to the level higher 27°, at the middle of May.
All the eggs spawned, both fertilized and not, had single oil globule. Its diameter varied within a range 864–914 μm, and oil globules had 310– 377 μm (Table 2). Fecundity of three females has been determined as 700 –1 000 eggs per g of body weight.
Table 1
HYPOPHYZATION OF MUGIL CUREMA RESULTS
| Weight of fish | Initial diameter of oocytes | Total dose of hormones per fish | Number of injections | Results.1 | |||
| SG-GIOO | C.P. | M.P. | SH | ||||
| g | μm | mg | number of glands | RU | |||
| 570 | 660 | 14.07 | 4 | (-) | |||
| 470 | 672 | 9.81 | 3 | (-) | |||
| 550 | 533 | 2.7 | 2 | - | |||
| 365 | 611 | 1.8 | 1 | + | |||
| 425 | 641 | 4.08 | 8.5 | 2.5 | 30 | 5 | (-) |
| 530 | +2 | ||||||
| 442 | 635 | 3.5 | 1 | ++ | |||
| 515 | 677 | 4.02 | 25.7 | 2.0 | 37 | 1O | (-) |
| 830 | 616 | 49.97 | 1O.8 | 1.7 | 37 | 8 | (-) |
| 558 | 664 | 8.48 | 1 | + | |||
| 715 | 679 | 7.0 | 1 | + | |||
| 635 | 630 | 3.8 | 10.7 | 4 | (-) | ||
| 640 | 678 | 3.8 | 1 | + | |||
| 500 | 607 | 26.62 | 4 | (-) | |||
| 675 | 652 | 8.0 | 7.4 | 19 | 3 | (-) | |
| 525 | 686 | 9.4 | 5.8 | 17 | 4 | + | |
1 ++ spawned with fertilized eggs, + spawned, - did not spawned, () atresia checked.
2 spawned without injections.
Table 2
DIAMETER OF EGGS AND OIL GLOBULES IN MUGIL CUREMA
| Length of fish | Eggs ( ± S.E.) | Oil globule ( ± S.E.) |
| cm | μm | μm |
| 31.0 | 886 ± 7.2 | 316 ± 5.6 |
| 31.8 | 914 ± 4.6 | 353 ± 8.2 |
| 35.0 | 903 ± 3.9 | 310 ± 4.2 |
| 35.2 | 892 ± 11.5 | 312 ± 6.3 |
| 35.2 | 885 ± 10.1 | 329 ± 8.1 |
| 35.7 | 864 ± 4.7 | 359 ± 4.7 |
| 37.3 | 891 ± 3.9 | 377 ± 6.2 |
Embryonic development (morphology was described by Anderson, 1957) lasted 40 hrs at 25–27° (Table 3). After the hatching about 500 000 larvae were obtained in 700 l tank after one spawning. Larvae emerged had 1.8 mm in length and absorbed yolk sac within 30 hrs. Three days old they had length 2.1 mm, big oil globule, pigmented eyes, jaws and digestive system developed. Any significant mortality was not checked up to this time, but on the days fifth-sixth all the larvae died from starvation.
Ovary of this species has very thick walls and great mass of tissue with relatively low amount of vitellogenetic oocytes. Therefore, there was no difference in GSI between female sacrificied before (mean 1.8 %) and after (1.7%) spawning. Oocytes development seems to be sinchronicalbut ovulation and spawning passes by portions within several hours (Photo 2).
Results of induced spawning are given in Table 4. From 19 females injected three produced high fertilization and hatching success (at rate 90–100%). Eight females spawned naturally but the eggs have been found not fertilized or with very low fertilization rate; other four females ovulated but did not spawn. Females produced fertilized eggs and larvae received 3–10 IU of HCG per g of body weight (with two-five injections) and those produced not fertilized eggs received 4.6 – 20 IU / g (with three-six injections). Ovaries of the latter analyzed after spawning contained many atretic oocytes.
Fecundity varied from 18 000 to 70 000 eggs per fish and increased with a length of female. Diameter of eggs (534 –636μm) and single oil-globule (128–189μm) did not show such relationship (Table 5). Eggs were floating at the surface at salinity 35–36‰ and had a neutral buoyancy at 30‰.
Embryonic and postembrionic development is shown in Photo 3. Hatching was checked within 24 hrs after fertilization and complete metamorphosis within one month. Larvae emerged had 1.45 mm in length and not pigmented eyes. Three days old (length 1.8–2 mm) they had the mouth and intestine fully developed, eyes pigmented, yolk sac absorbed completely and oil globule partially. They started feeding at this age on young rotifers with a size 100–150 μm. Ten days old larvae had swimmbladder filled with gaz and the fins (C,IID,A) started development, they were feeding on the copepods 300–400 m of size. Between the days 15th and 25th (length 6–8 mm) all the fins are developed and larvae are feeding on brine shrimp nauplii (500–800 μm). Being 30–35 days old (length 15–25 mm) they had scales, the shape of body and pigmentation similar to adult fishes and accepted artificial food.
Table 3
RATE OF EARLY DEVELOPMENT OF MUGIL CUREMA
| Age (hrs.) after fertilization. | Stage of development | T° of water1 |
| 0.30 | Two cells division | 26.8 |
| 1.00 | 64 cells | 26.2 |
| 7.00 | Epiboly (1/2 of yolk mass) | 26.2 |
| 11.00 | Body of embryo | 25.2 |
| 14.00 | Beginning of segmentation | 25.2 |
| 18.00 | 16 miotomes, | 25.5 |
| 23.00 | 18 miotomes, pigmentation | 25.1 |
| 30.00 | Hatching | 25.6 |
| 57.00 | Complete yolk absorption | 26.3 |
| 90.00 | Intestine developed | 26.7 |
| 100.00 | Eyes pigmented, mouth and stomach developed | 26.7 |
| 120.00 | Small oil globule is present, starvation and heavy mortality | 26.5 |
1 measured at sampling of larvae.
Table 4
HYPOPHYZATION OF EUGERRES PLUMIERI RESULTS
| Weight of fish | Total dose of HCG per g of body weight | Number of injections | Results1 |
| g | IU | ||
| 210 | 3.2 | 3 | +++ |
| 215 | 4.6 | 3 | (++) |
| 320 | 5.3 | 3 | (++) |
| 130 | 1.5 | 2 | - |
| 230 | 8.7 | 4 | (++) |
| 295 | 3.4 | 2 | (+) |
| 110 | 10.9 | 1 | - |
| 190 | 2.1 | 2 | (+) |
| 365 | 5.2 | 4 | (++) |
| 170 | 10.6 | 3 | (+) |
| 265 | 10.3 | 5 | +++ |
| 100 | 3.0 | 1 | - |
| 200 | 18.8 | 6 | ++ |
| 210 | 17.9 | 6 | ++ |
| 210 | 17.6 | 3 | (-) |
| 250 | 6.0 | 2 | +++ |
| 135 | 12.6 | 3 | (++) |
| 85 | 20.0 | 3 | (++) |
| 90 | 21.7 | 4 | (+) |
Table 5
DIA METER OF EGGS, OIL GLOBULES AND FECUNDITY OF EUGERRES PLUMIERI
| Length of fish | Eggs ( ± S.E) | Oil-globule ( ± S.E.) | Fecundity |
| cm | μm | μm | eggs/fish |
| 14. | 636 ± 3 | 164 ± 2 | 18 075 |
| 14.5 | 566 ± 4 | 166 ± 2 | |
| 15.5 | 41 785 | ||
| 15.5 | 58 330 | ||
| 16. | 42 594 | ||
| 16.5 | 595 ± 3 | 189 ± 1 | |
| 18.5 | 583 ± 5 | 166 ± 2 | |
| 19. | 566 ± 1 | 154 ± 5 | |
| 19. | 608 ± 4 | 153 ± 2 | 68 380 |
| 19.3 | 554 ± 4 | 132 ± 2 | |
| 20. | 581 ± 4 | 128 ± 2 | |
| 20.5 | 594 ± 1 | 187 ± 1 | 41 360 |
| 21. | 534 ± 3 | 156 ± 2 | |
| 22.5 | 630 ± 4 | 154 ± 1 | |
| 23. | 562 ± 4 | 158 ± 2 |
Larvae emerged absorbed yolk sac within two days at 28° and three days at 24°. Within this time its length increased, however, growth stopped after complete yolk absorption and started again when the feeding is established. Oil globule demonstrated slow absorption compared with yolk sac (Fig. 4).
Larvae and fry are carnivorous at first month of life. Food consumption is extremely high (Fig. 5). 2 500 larvae emerged have been stocked in one tank and 1 500 fry have been estimated at the metamorphosis. This very high survival rate, rare for marine fish larvae with a such small size, produced overcrowding conditions in tank, therefore, larvae, starting from day 25th have never been fed “ad libido”. Length and weight increments shown in Fig. 6 correspond to this situation but can be considered, generally as very high.
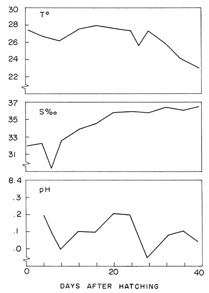
Hydrochemical regime was maintained at first 30 days of rearing as close as possible the natural conditions of Baracoa lagoon during the peak of spawning (Fig. 7). Later the temperature was, apparently, lower and salinity higher then in lagoon. Heavy mortality of fry occured between 60 and 73 days of rearing. The cause of mortality was not clear, but symptoms appeared to be very typical for intoxication. Fry have been sacrificied and relationship between weight and length was calculated as following:
W = 0.00601 × L3.215912
(at n = 962 and r = 0.992)
GSI of the females in stage IY varied from 1.7 to 5.8%. At GSI 4% and higher oocytes are in tertiary yold stage (diameter 550–600 μm) and oil droplets are partially fused. At this stage females can be used for induced spawning.
Both females hypophyzated responded with ovulation. One received 3 500 IU of H CG (weight of fish was 450 g) died and ovulated partially. Another female (800 g) injected with 1.5 carp pituitary ovulated completely and was stripped. Eggs were transparent, with diameter 730 m and single oil globule of 190μm.
3.4 TRAINING AND PERSPECTIVES
The limited number and inadequate facilities available for research and training precluded the conduction of a formal training programme. Therefore, the only kind of training offered was mainly carried out in conjunction with the primary research objectives of the project. The counterparts were chiefly the recipients of on-the-job training on the techniques of induced spawning of marine fishes.
It is hoped that improved conditions will allow the counterparts to continue the work and pass down to others their newly acquired knowledge.
This species in Cuba has two peaks of spawning corresponding to the range of temperature 22–27°. Spawning population at spring is more abundant and uniform as it was suggested by Meffort (1955) for the United States coast. Type of vitellogenesis and final stages of maturation are similar in many respectw with Mugil cephalus (Kuo et al., 1974; Liao, 1975; Pien and Liao, 1975). Females with the oocytes accomplished final stage of development before hydration (coalesced oil globule, diameter 610–680 μm, GSI = 12–14%) can be successfully hypophyzated with different crude and purified gonadotropic hormones. If the oocytes are at less advanced stage, atresia develops ven with high total dose of the hormones due to stress at catching and handling and block of gonadotropin pathway. This phenomena, usually observed in Mugilids, is particularly crucial for Mugil curema indiced spawning because of high rate of metabolism in this species (Moore, 1973). Rearing of captive brood stock recommended and proved for Mugil cephalus is a best solution for future work on induced breeding (Shehadeh et al., 1973).
Spawning of this species, compared with mullet, can be easily induced with 5–10 IU/g of HCG but high percentage of females developed atresia (see Table 4) indicates that the methods of handling and, particularly, catching of wild spawners must be improved. In spite of very small size eggs and larvae demonstrate high survival rate and resistance to artificial environment compared with other marine fishes and rapid growth and development up to metamorphosis. Eugerres plumieri spawn all the summer, therefore, high production of viable fry per year could be obtained. The problems related to high rate of food consumption can be solved by installation of continuous supply of rearing tanks with culture of algae, rotifers and brine shrimp nauplii and by transfer of larvae on artificial diet as early as possible.
Patao is one of most numerous fishes in cuban lagoons. Its low position in the food chain (Borrero et al., 1974) is greatly favourable for cultivation. In many respects this species is similar with Siganids which are very important and potential mariculture object in the tropical and subtropical countries (Lam, 1974).
Spawning technique with this species seems to be similar with Bairdiella icistis, strictly described by Haydock (1971). Mature spawners have been checked from January to April but, possibly this species spawn all year around, like many other species in Cuba (Buesa, 1974).
Mariculture has good prospects in Cuba due to great variety of important food species, stable temperature and sheltered shore line. Feasibility of artificial breeding and production rate in commercial rearing are two main biological factors for choice of species which must be proved in pilot-scale experiments. Some species which can be recommended for these experiments in first turn, are characterized in Table 6.
Construction of the experimental fish farm and modern water circulation system available for pilot-scale experiments is main condition for the development of marine fish farming in Cuba 1.
Artificial breeding of marine fishes seems to be most sophisticated field in aquaculture. Single scientists working actually in different Institutes (CIM, CIP, Institute of Oceanology) have very few chance to solve many problems and to develop technology in pilot-scale experiments. Coordination and organization of joined working team is a second important condition for a further progress in this work.
Further development of marine fish artificial breeding in Cuba will be enhanced, if the following conditions are performed:
The induced spawning of other marine fishes should be attainable, with slight modifications, through the basic technical procedures employed with the fish tried during the project.
Table 6
LIST OF SPECIES RECOMMENDED FOR PILOT-SCALE ARTIFICIAL BREEDING
| Name | Common name | Type of feeding | Size of eggs | Spawning season | Spawning area |
| mm | |||||
| Mugil liza | Lebrancho | Detritophagous | 0.9 | Autumn | Sea |
| Nugil curema | Lisa | " | 0.8–0.9 | Spring, autumn | Sea |
| Gerres cinereus. | Moharra | " | ? | ? | Sea |
| Eugerres plumieri | Patao rayado | " | 0.5–0.6 | Summer | Lagoon |
| Diapterus olithostomus | Patao blanco | Omnivorous | ? | Summer | Lagoon |
| Bairdielle batabana | Corvina | Benthophagous | 0.8 | Winter, spring | Lagoon |
| Centropomus undecimalis | Robalo | Carnivorous | ? | spring | Lagoon |
| Lutjanus synagris | Biajaiba | Carnivorous | Spring | Sea | |
| Lutjanus analis | Pargo criollo | Carnivorous | Spring, summer | Sea |
Induced spawning with wild spawners can be conducted in April-May, with injections of 2–4 carp pituitaries or 3–5 mullet pituitaries per female if oil globule in oocytes is coalesced, diameter of oocytes is higher 600 μm and GSI in spawning population reach 12–14 %. HCG produced in Cuba has to be proved at dose 30–50 IU/g. Temperature 24–26°, salinity 34–36°, oxygen saturation 70–100 %, flow rate 6–10 1/min are required for normal spawning. Rearing of captive brood stock can be recommended for further improvement of operation.
Artificial breeding seems to be feasible for commercial scale. Induced spawning can be conducted at summer, with injections of 5–10 IU/g of HCG, at the temperature 28–30° and salinity 30–35 ‰. Larvae can be reared up to metamorphosis within one month with 50 % survival rate. Automatic continuous supply of larval tanks with algae, rotifers and brine shrimp nauplii can be recommended in order to improve the feeding operations.
Species seems to be feasible for induced spawning and additional experiments on induced spawning and, particularly, on larval rearing are recommended.
Two main conditions are determining a further development of marine fish artificial breeding in Cuba:
Alvarez-Lachonchere, L.S. 1974 Contribución al estudio del ciclo de vida de Mugil curema Valenciennes. M.S. Thesis Univ. Habana, 116 p.
Anderson, W.W. 1957 Early development, spawning, growth and occurrence of the silver mullet (Mugil curema) along the south Atlantic coast of the United States. Fish. Bull. Fish. Wild. Serv. U.S., 57 (119): 397–414
Barannikova, I.A. 1975 Gonadotropic and sex hormones and their role in the regulation of the reproductive system in poikilothermic vertebrates. Tr.All-Union Research Institute of Marine Fisheries and Oceanography, v.III: 34–53
Bardach, J.E., Ryther, J.H. and W.O. McLarney 1972 Aquaculture. The Farming and Husbandry of Fresh water and Marine Organisms. N.Y., Wiley Interscience, 868 p.
Borrero, M., Godinez, E. y J.J. Tápanes 1974 Relaciones troficas en una laguna costera. INP/CIP Res. Invest., I:143–148
Buesa, R.J. 1974 Epocas de desove de peces cubanos. Proyecto CIP, poM - I0,H abana, 7 p.
De la Cruz, A.S., Alfonso, E.1795 Cultivo masivo de algas planctonicas marinas mediante fertilizasion. Invest. marinas, Ser.8, no I7,25 p.
De la Cruz, A.S. y N.D.Millares 1974 Metodo de cultivo masivo de Brachionus plicatilis (Rotifera) a escale experimental. Invest. marinas, Ser.8, no II, 29 p.
FAO 1977 Cultivo de Peces Marinos en Lagunas Costeras de Cuba. FI: DP/CUB/74/006, Informe Terminal, 85 p.
Haydock, I. I97i Gonad maturation and hormone induced spawning of the Gulf Croaker, Bairdiella icistis. Fish. Bull., v.69,noI : 157–180.
Kuo, C.-M., Shehadeh, Z.H. and C.E.Nash 1973 Induced spawning of captive Mugil cephalus females by injections of Human Chorionic Gonado tropin (HCG). Aquaculture, I : 429–432.
Kuo,C.-M.,Nash C.E. and Z.H.Shehadeh. 1974 A procedural guide to induce spawning in grey mullet (Mugil cephalus L.). Aquaculture, 3 : 1-14.
Kuo, C.-M. and C.E. Nash. 1975 Recent progress on the control of ovarian development and induced spawning of the grey mullet (Mugil cephalus L.). Aquaculture, 5 : 19–29.
Lam, T.J. 1974 Siganids : their biology and mariculture potential. Aquaculture, 3 : 325–354.
Liao, I.C.1975 Experiments on induced breeding of the grey mullet in Taiwan from 1963 to 1973. Aquaculture, 6: 31–58.
Liley, N.R.1969 Hormones and Reproductive Behavior in Fishes. In “Fish Physiology”, Ed. Hoar W.S. and D.J. Randall, v.III : 73–117, Academic Press, N.Y.-S.F.-L.
Mefford, H.P. 1955 The silver mullet fishery in south Florida. Florida State Board of Conservation, Report no 55– 34, 15 p.
Mester R., Garcia T.y R.Ros. 1974 Desove de dos especies de sardina, Harengula clupeola (Cuvier) y Harengula humeralis (Cuvier) sometidas a tratamiento hormonal. Invest. marinas, Ser. 8, no 9, 13 p.
Moore, R.H. 1973 Age, growth, respiration and general ecology of the mullets : Mugil cephalus and Mugil curema on the south Texas Coast.Ph.D. Thesis, Univ.Texas, Austin, 16 p.
Moore, R.H. 1974 General ecology, distribution and relative abundance of Mugil cephalus and Mugil curema on the south Texas coast. Contr. Marine Science, 18 : 241–255.
Nash C.E. and C.-M. Kuo. 1975 Hypotheses for problems impending the mass propagation of grey mullet and other finfish. Aquaculture, 5 : 119–133.
Pickford, G.E. and J.W.Atz 1957 The physiology of the pituitary gland of fishes. New York Zoological Society, N.Y., 613 p.
Pien, P.C. and I.C. Liao 1975 Preliminary report of histological studies on the grey mullet gonad related to hormone treatment. Aquaculture, 5 : 31–40.
Shehadeh,Z.H., Kuo,C.-M. and C.E.Nash 1973 Establishing brood stock of grey mullet (Mugil cephalus L.) in small ponds. Aquaculture, 2 : 379–384.
Shelbourne, J.E. 1964 The artificial propagation of marine fish. “Advances in Karine Biology”, v.2, 83 p. Academic Press, L.
Tang, Y.-A. 1964 Induced Spawning of Striped Mullet by Hormone Injection. Japan.J.Ichthyol., v.XII,no I/2 : 23–28.
Yashouv,A. 1969 Preliminary report on induced spawning of Mugil cephalus L. reared in captivity in freshwater ponds. Bamidgeh, 21 (I) : 19–24.

Fig. 1

Fig. 2

Fig. 3

Fig. 4

Fig. 5

Fig. 6

Fig. 7

Fig. 8


Photo 2

Photo 3.1

Photo 3.2

Photo 3.3
Appendix 1
Schedule of work on induced spawning
| 1. | Preparation period | January - March 1976 |
| (Analysis of gonadal development in mullet and other marine species, training of counterparts on induced spawning of Bairdiella batabana, the choice of sites and species for induced spawning.) | Havana, Institute of Oceanology | |
| 2. | Construction of water circulation system | March - April 1976 |
| (Planning and construction of water circulation system for artificial breeding of mullet.) | Caranerito, Nipe Bay, Oriente | |
| 3. | Experimental work on induced spawning ofMugil curema | April - June 1976 |
| (Capturing of spawners, hypophyzation and induced spawning.) | Caranerito, Nipe Bay, Oriente | |
| 4. | Processing of data on induced spawnings ofof mullet | July - August, 1976 |
| (Measuring of ooeytes and eggs, preparation of histological sections.) | Havana, Institute of Oceanology, CIP | |
| 5. | Induced breeding of Eugerres plumieri | August - October 1976 |
| (Catching of spawners, induced spawning and larval rearing.) | Havana, CIP | |
| 6. | Experimental work on induced spawning ofMugil curema and Mugil liza | November, 1976 |
| (Only field data on the gonadal development of Mugil curema have been collected. Experimental work has been cancelled due to the lack of electricity supply.) | Caranerito, Nipe Bay, Oriente |
Appendix 2
List of documents concerning induced
spawning prepared by Expert for Cuban
counterparts and UNDP/FAO Missions
Report on duty trip to Ortigoza lagoon (to Team Leader). 21 January 1976, 1p. Gonadal development of mullet, corvina and robalo caught in lagoon.
Report on duty trip to Cien-Juegos (to Team Leader), 5 February 1976, 1 p. Recommendations for the improvement of transportation methods of live mullet fry.
Progress Report No.1, 2 p. (to HQ). Results of analysis of gonadal development and prespawning population of mullet and experiments on induced spawning of corvina.
Scheme and description of water circulation system constructed in Caranerito (to FAO and UNDP Missions in Cuba), June 3 1976, 3p.
Recommendations on the planning and development of marine fish culture in Cuba (to INP, El-Dicke fish-breeding Station), June 10 1976, 7p.
Progress Report No. 2, 2p. (to HQ). Preliminary results of work on induced spawning of Mugil curema.
Data on Mugil curema induced spawning and recommendations for Terminal Report for CUB/74/006 (to Team Leader), July 22 1976, 2p.
Progress Report No. 3, 3p. (to HQ). Results of work on induced breeding of Eugerres plumieri.
Recommendations about construction of water circulation system in CIP. (to Director of CIP), October 21 1976, 4p. Scheme and description of water circulation system required for the work of the Institute on artificial breeding of marine fishes.