La plupart des poissons capturés dans l'Etang Saumâtre sont vendus sur les marchés de Thomazeau et de Croix de Bouquet. Les journées principales de ces marchés sont respectivement lundi /jeudi et lundi vendredi.
Chaque deux semaines, l'enquêteur visite 3 marchés (lundi, jeudi et vendredi). Le nombre de marchandes, la capture commercialisée/marchande ainsi que sa répartition selon l'espèce et leur taille moyenne sont enrégistrés. C'est données ont été recalculées sur une base journalière.
Durant le mois d'aout, une enquête a été effectués pour déterminer le prix moyen per kg selon l'espèce.
La commercialisation s'effectue ou par la vente des poissons à des marchandes qui assurent ensuite la vente finale des poissons (20 %), ou directement par les femmes des pêcheurs (80 %).
L'évolution saissonière des volumes moyen de poissons vendus par journée de marché est presentée dans figure 10.. Le poids commercialisé atteint un maximum durant les mois de mai et juin (saison de pluie et commencement saison sêche, voir fig 11.) d'environ 225 – 250 kg. Pendant les mois juillet- septembre le poids commercialisé/jour descend jusqu'à 120 kg.
C. haitiensis représente entre 73.5 % (mois de Septembre) - 96.5 % ( mois de Mai) du volume des poissons commercialisés. La pourcentage de G. dormitor atteint son minimum durant Avril-Mai, quand ils sont moins disponible aux pêcheurs à cause de leur comportement reproductif. A partir du mois de juin, leur pourcentage dans la volume commercialisé augmente jusqu à 8 % pour le mois de septembre. Le volume de T. mossambica fluctue entre 1,6 % (Juin) à 19.5 % (Aout). Durant la periode avril-septembre le nombre des marchandes reste plus au moins égal (25–35) et la quantité qu'elles apportent (4–8kg) suit la fluctuation des volumes commercialisés. En moyenne une marchande vend les captures d'environ deux pêcheurs (voir fig 12.).
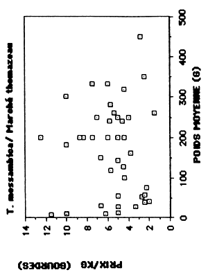
Le prix de vente moyen au kilo varie selon l'espèce, sa taille et le marché (voir fig 13. et Tableau 15.).
Tableau 15.: Prix de vente moyen au kilo de C. haitiensis et T. mossambica.
| TAILLE | PRIX/KG DE C. HAITIENSIS | PRIX/KG DE T. MOSSAMBICA | ||
| THOMAZEAU $ | C. D. BOUQUET $ | THOMAZEAU $ | C.D.BOUQUET $ | |
| 0 – 50 G | 0.57 | 1.20 | 0.91 | 0.89 |
| 50 – 100 G | 0.72 | 1.29 | 1.00 | - |
| 100 – 150 G | - | - | 1.07 | 2.00 |
| > 150 G | - | - | 1.49 | 2.00 |
Comme supposé, il y a un corrélation positive entre le prix moyen/kg et la taille, c.a.d. le prix/kg augmente avec la taille des poissons vendu. On remarque que le prix sur le marché de Croix de Bouquet est environ $ 0.5 plus élevé pour toutes les tailles de poissons que celui de Thomazeau et que le prix/kg pour T. mossambica est plus élèvé qeu celle de C. haitiensis.
Aucun technique de conservation des poissons a été observée puisque tous les poissons qui sont ammenés au marchés sont vendu sans difficultés. Les poissons vendus sont géneralement capturés le même jour ou mis dans un dépot jusqu'à cette date. Sur la route vers le marché les poissons sont souvent arrosés par les marchandes pour les proteger contre le déssèchement par le soleil. Bienque c'est une mèthode rudimentaire, elle est assez éfficace car on n'a pas observé des poissons gatés.
Figure 10.: Evolution saisinnière du volume de poisson commercialisé par jour marché.

Figure 11.: Volume de poisson commercialisé en rélation avec la pluviométrie de la zone.

Figure 12.: Poids commercialisé par marchande.

Figure 13.: Prix de vente selon espèce et selon marché.
![]() | ![]() |
![]() | ![]() |