Table 1 Commercially important species in inland water cage and pen farming
| Species | Countries | Climate | Type of feeding | Lotic/Lentic | Cage/Pen | |
| Salmonids | Rainbow trout | Europe, North America, Japan, high altitude tropics (eg Colombia, Bolivia, Papua New Guinea) | Temperate | Intensive. High protein (40%) | Lentic | Floating cage |
| Salmon (various species) smolts | Europe, North America, South America, Japan | Temperate | Intensive. High protein (45%) | Lentic | Floating cage | |
| Carps | Chinese carps (Silver carp, grass carp, bighead carp) | Asia, Europe, North America | Temperate - tropical | Mainly semi-intensive, although also extensive (Asia) and intensive (Europe, North America) | Lotic and lentic | Cages and pens |
| Indian major carps (Labeo rohita) | Asia | Sub-tropical - tropical | Semi-intensive | Mainly lentic | Mainly cages | |
| Common Carp | Asia, Europe, North America, South America | Temperate - tropical | Mainly semi-intensive, although also intensive | Mainly lentic | Mainly cages | |
| Tilapias | (O. mossambicus, O. niloticus etc) | Asia, Africa, North America, South America | Sub-tropical - tropical | Mainly semi-intensive, although also intensive | Mainly lentic | Mainly cages |
| Catfishes | Channel catfish | North America | Temperate - sub-tropical | Intensive | Lentic | Floating cages |
| Clarias spp. | Southeast Asia, Africa | Tropical | Semi-intensive | Lotic and lentic | Floating cages | |
| Snakeheads | Channa spp. Ophicephalus spp. | Southeast Asia | Tropical | Semi-intensive/intensive | Lotic and lentic | Floating cages |
| Pangasius spp. | Southeast Asia | Tropical | Semi-intensive | Lentic | Floating cages | |
| Milkfish | Southeast Asia | Tropical | Semi-intensive | Lentic | Pens | |
Table 2: Advantages and limitations of cage fish culture technique (from Balarin and Haller, 1982)
| Advantages | Limitations |
| Possibility of making maximum use with the greatest economy of all the available water resources | Difficult to apply when the water surface is very rough therefore location restricted to sheltered areas |
| Helps reduce the pressures on land resources | Back up food store hatchery and processing units necessary therefore requires strategic location |
| Possibilities of combining several types of culture within one water body, the treatments and harvests remaining independent | |
| Ease of movement and relocation | |
| Intensification of fish production (i.e. high densities, optimum feeding results in improved growth rates and reduces length of rearing period) | Need an adequate water exchange through the cages to remove metabolites and maintain high dissolved oxygen levels. Rapid fouling of cage walls requires frequent cleaning |
| Optimum utilisation of artificial food for growth, improves food conversion efficiencies | Absolute dependence on artificial feeding unless utilised in sewage ponds. High quality balanced rations essential. Feed losses possible through cage walls |
| Easy control of competitors and predators | Sometimes important interference from the natural fish population, i.e. small fish enter cages and compete for food |
| Ease of daily observation of stocks allows for better management and early detection of disease. Also economical treatment of parasites and diseases | Natural fish populations act as a potential reservoir of disease or parasites and the likelihood of spreading disease by introducing new cultured stocks is increased |
| Easy control of tilapia reproduction | |
| Reduces fish handling and mortalities | Increased difficulties of disease and parasite treatment |
| Fish harvest is easy and flexible, and can be complete and of a uniform product | Risks of theft are increased |
| Storage and transport of live fish is greatly facilitated | Amortisation of capital investment may be short |
| Initial investment is relatively small | Increased labour costs for handling, stocking, feeding and maintenance |
Table 3: Theories proposed to explain floating and stationary Fish Attraction Devices (FAD's), and their applicability to inland water cage and pen structures.
| Applicability | ||
| 1. | Use as cleaning stations where external parasites of pelagic fishes can be removed by other fishes | - |
| 2. | Shade | * |
| 3. | Creates shadow areas in which zooplankton become more visible | * |
| 4. | Provides substrate for egg laying | - |
| 5. | Drifting object serves as schooling companion | - |
| 6. | Provides spatial reference around which fishes could orient in an otherwise unstructured environment | * |
| 7. | Provides shelter from predators for small fishes | ** |
| 8. | Attracts larger fishes because of presence of smaller fishes | ** |
| 9. | Acts as substrate for plant and animal growth, thus attracting grazing fishes | ** |
from M. Seki, 1983. Summary of pertinent information on the attractive effects of artificial structures in tropical and subtropical waters. Unpublished administrative report of the Southwest Fisheries Center, Honolulu. 49 p.
Table 4: Predators reported from cage and pen fish farms. Data taken from Salmon and Conte (1982), Martin (1982) and Ranson and Beveridge (1983)
| Predator | Country | |
| Snakes | (Natrix sp) | USA |
| Birds | Grebes | USA |
| Herons | USA, Europe | |
| Egrets | USA | |
| Cormorants | USA, Europe | |
| Ducks | USA, Europe | |
| Gulls | USA, Europe | |
| Kites | SE Asia1 | |
| Ospreys | USA, Europe | |
| Rodents | Muskrats | USA |
| Rats | SE Asia1 | |
| Mustelids | Otters | USA, Europe, SE Asia1 |
| Mink | USA, Europe |
Table 5: Summary of the results from studies of the environmental impacts of intensive cage fish culture in various countries
| WATER BODY | SIZE | CULTURED SPECIES | PRODUCTION (T annum-1) | DURATION OF CULTURE | IMPACT | NO DETECTABLE IMPACT | COMMENTS | REFERENCE |
| Bull Shoals Reservoir, Arkansas, USA Built 1961 | - | rainbow trout channel catfish blue catfish | ∼205 | 5 years | increase: NH4, total-P, green algae, diatoms, protozoa, game & coarse fish decrease: secchi disc build up: faecal material under cages | O2, temp, NO3, NO2, turbidity, CO2, pH, alkalinity, conductivity, blue-green algae, rotifers, desmids. | Changes localised in bay where cages sited | Hays, 1982 |
| White Oak Lake, Arkansas, USA Reservoir, built 1960 | 1083 ha | channel catfish | ∼150 | 2 years | increase: turbidity, alkalinity, total-P, PO4-P, organic N, BOD, bacteria, zooplankton, benthic invertebrates, primary production. decrease: dissolved 02, NO3, chlorophyll a | temp, COD | Cages localised near outflow | Eley et al, 1972 |
| Crystal Lake, Arkansas, USA | 24 ha | channel catfish rainbow trout | ∼9 | 1 year | increase: turbidity, PO4 -P, NO3, NO2, phytoplankton, zooplankton, oligochaetes, fish populations decrease: culicids | temp, O2, pH, NH4 | 3 sampling sites chosen | Kilambi et al, 1976 |
| Lake Hartwell, South Carolina, USA | 24,300 | channel catfish | 0.15 | 5 months | increase: local fish populations | - | Small, experimental cages. Only effects on fish community studied | Loyacano and Smith, 1976 |
| Lake Keowee, South Carolina, USA | 7,300 | channel catfish | 0.43 | 12 months | increase: local fish populations | - | Small, experimental cages. Only effects on fish community studied | Loyacano and Smith, 1976 |
| Lake Glebokie, Poland | 47.3 ha | rainbow trout | ∼18 | 5 years | increase: C, total-P, total N | - | Only C, P, and N budgets examined | Penczak et al, 1982 |
| Dgal Wielki, Poland | 93.9 | carp and tench | - | 4 years | increase: BOD, suspended solids, P content of seston decrease: O2 | PO4, NH4, NO3 | - | Korycka and Zdanowski, 1980 |
| Lake Skarsjon, Norway | 310 ha | rainbow trout | 20 | 3 years | increase: total-P, and in sediments total-P, total-N, O2 consumption decrease: redox potential in sediments | total-P, NH4, NO3 & NO2, Kjeldahl-N in water | Work concentrated on sediments | Enell, 1982 |
| Lake Byajon, Norway | 140 ha | rainbow trout | 15 | 3 years | increase: total-P, and in sediments total-P, total-N, O2 consumption decrease: redox potential in sediments | total-P, NH4, NO3 & NO2, Kjeldahl-N in water | Work concentrated on sediments | Enell, 1982 |
Table 6: Extensive cage tilapia production figures from the Philippines
| Lake | Date | Cage size (m) | Stocking Density ( m-3) | Size at stocking (g) | Culture Period (months) | Size at Harvest (g) | Production (kg m-3 month-1) | Reference |
| Bunot | 1980 | 20 × 25 × 5 | 4 | - | 4 | 250 | 0.24 | Alvarez, 1981 |
| Laguna de Bay | 1978 | 5 × 10 × 3 - 10 × 20 × 5 | 4–8 | ∼1 | 4–5 | 100 | 0.07–0.18 | Mane, 1979 |
| Sampaloc | 1983 | 10 × 10 × 9 - 25 × 20 × 9 | 1.6–2.0 | 12.5–16.0 | 6–9 | 225–300 | 0.05–0.08 | Guerrero, 1983 |
| Taal | 1983 | 10 × 5 × 3 | 50 | - | 4 | 100 | 1.25 | Guerrero, 1983 |
| Bato | 1983 | - | 50 | - | 4 | 160 | 1.90 | Job Bisuña, pers. com. |
| Buluan | 1982–3 | 5 × 10 × 5 | 10 | ∼1 | 5 | 200 | 0.40 | Oliva, 1983 |
Table 7: Life span of various materials used in temperate and tropical cage and pen construction (modified from IDRC/ SEAFDEC, 1979)
| Materials | Life expectancy in fresh waters | ||
| Bamboo and logs | 1–2 years | ||
| Metal drums | 0.5–3 years | ||
| Rubber tyres* | 5+ years | ||
| Used plastic drums | 1.2+ years | ||
| Styrofoam | - covered | 5+ years | |
| - not covered | 2+ years | ||
| Ferrocement | 10+ years | ||
| PVC Pipes | 5+ years | ||
| Spherical buoys | - aluminium | 10+ years | |
| - plastic | 5 years | ||
| Aluminium cylinders | 10+ years | ||
Table 8: The relative supply and demand of elements required by plants and algae and derived from soils and rocks (lithosphere) of the catchment area (from Moss, 1980)
| Element | (1) Ratio of amount of element to that of phosphorus in the lithosphere | (2) Ratio of amount required of element to amount required of phosphorus in plants and algae | Ratio of (1) to (2) |
| Na | 32.5 | 0.52 | 43 |
| Mg | 22.2 | 1.39 | 16 |
| Si | 268.1 | 0.65 | 410 |
| P | 1.0 | 1.0 | 1.0 |
| K | 19.9 | 6.1 | 3.3 |
| Ca | 39.5 | 7.8 | 5.1 |
| Mn | 0.90 | 0.27 | 3.3 |
| Fe | 53.6 | 0.06 | 880 |
| Co | 0.02 | 0.0002 | 110 |
| Cu | 0.05 | 0.006 | 8.5 |
| Zn | 0.07 | 0.04 | 1.5 |
| Mo | 0.0014 | 0.0004 | 3.6 |
Table 9: N:P ratios (by weight) in a range of freshwater bodies
| Data base | No. | Ratio | % above ratio | Reference |
| Lakes and reservoirs from all over the world | 54 | >5:1 total-N:total P | 85 | Schindler, 1978 |
| European and North American lakes and reservoirs | 89 | >7:1 inorganic N:PO4 -P | 85 | OECD, 1982 |
| Shallow water bodies in Europe and North America | 70 | >7:1 inorganic N:PO4-P | 95 | Clasen, 1981 |
| Reservoirs in Missouri and Iowa, USA | 6 | >7:1 total-N:total-P | 99 | Hoyer and Jones 1983 |
| Lakes off the Pre-Cambrian Shield, Canada | 22 | >12:1 total-N:total-P | 95 | Prepas and Trew, 1983 |
| Kenyan lakes | 8 | >9:1 total N:total-P | 100 | Kalff, 1983 |
| Southern African man-made lakes | 25 | >7:1 variable | 68 | Walmsley and Thornton, 1984 (in press) |
Table 10: Dietary phosphorus requirements of fish, expressed as percentage weight of diet (after Beveridge et al, 1982).
| Species | Requirement | Source |
| Anguilla japonica | 0.29% | Arai et al, 1975 |
| Salmo trutta | 0.71% | McCartney, 1969 |
| Salmo salar | 0.30% | Ketola, 1975 |
| Salmo gairdneri | 0.70–0.80% | Ogino and Takeda, 1978 |
| Oncorhynchus keta | 0.50–0.60% | Watanabe et al, 1980a |
| Cyprinus carpio | 0.60–0.80% | Ogino and Takeda, 1976 |
| Ictalurus punctatus | 0.45–0.80% | Andrews et al, 1973; Lovell, 1978 |
| Chrysophrys major | 0.68% | Sakomoto and Yone, 1980 |
| Oreochromis niloticus | 0.90% | Watanabe et al, 1980b |
Table 11: Ranges and mean values (%) of total-P content of commercially available salmonid diets in the U.K. Data based on the analysis of feeds produced by six manufacturers.
| Starter | Fingerling | Grower | Broodstock | ||
| Trout | (mean) | 1.48 | 1.49 | 1.50 | 1.45 |
| (range) | 0.95–2.82 | 1.09–2.16 | 1.08–2.18 | 0.96–1.62 | |
| Salmon | (mean) | 1.46 | 1.55 | 1.19 | |
| (range) | 1.15–2.05 | 1.15–2.05 | 0.94–1.71 |
Data from Tacon and De Silva (1983).
Table 12: Total-P content (% wt.) of carp and tilapia diets used in intensive culture in various parts of the tropics
(a) Tilapias
| Country | Diet | P content of ingredients (%) | P in diet (%) | |
| Philippines | DIET 1 | |||
| 75% rice bran (‘cono’) | 0.41 | 0.31 | 1.30 | |
| 25% fish meal | 3.97 | 0.99 | ||
| DIET 2 | ||||
| 65% rice bran (‘cono’) | 0.41 | 0.27 | 1.32 | |
| 10% copra meal | 0.60 | 0.06 | ||
| 25% fish meal | 3.97 | 0.99 | ||
| Central African Republic | 82% Cottonseed oilcake | 1.05 | 0.86 | 1.29 |
| 8% Wheatflour | 0.11 | 0.01 | ||
| 8% Cattle blood meal | 0.29 | 0.02 | ||
| 2% Bicalcium phosphate | 20.00 | 0.40 | ||
| Ivory Coast | DIET B1 | |||
| 65% Rice polishings | 1.32 | 0.86 | 1.19 | |
| 12% Wheat middlings | 0.83 | 0.10 | ||
| 18% Peanut oilcake | 0.50 | 0.09 | ||
| 4% Fishmeal | 3.58 | 0.14 | ||
| 1% Oyster shell | 0.07 | - | ||
| DIET B2 | ||||
| 61% Rice polishings | 1.32 | 0.81 | 1.29 | |
| 12% Wheat middlings | 0.83 | 0.10 | ||
| 18% Peanut oilcake | 0.50 | 0.09 | ||
| 8% Fishmeal | 3.58 | 0.29 | ||
| 1% Oyster shell | 0.07 | - | ||
| DIET B3 | ||||
| 65% Rice polishings | 1.32 | 0.86 | 1.30 | |
| 12% Wheat middlings | 0.83 | 0.10 | ||
| 18% Cottonseed oilcake | 1.10 | 0.20 | ||
| 4% Fishmeal | 3.58 | 0.14 | ||
| 1% Oystershell | - | - | ||
| DIET B4 | ||||
| 15% Brewery waste | 0.53 | 0.08 | 1.51 | |
| 15% Maize bran | 0.80 | 0.12 | ||
| 15% Rice bran | 0.43 | 0.65 | ||
| 12% Wheat middlings | 0.83 | 0.10 | ||
| 38% Cottonseed oilcake | 1.10 | 0.42 | ||
| 4% Fishmeal | 3.58 | 0.14 | ||
| 1% Oyster shell | - | - | ||
| UK ( 35g fish) | 5% Brown fishmeal | 3.97 | 0.20 | 1.25 |
| 3% Hydrolysed feathermeal | 0.70 | 0.02 | ||
| 5% Meatmeal | 1.40 | 0.07 | ||
| 4% Soybean meal | 0.67 | 0.03 | ||
| 10% Groundnut meal | 0.50 | 0.05 | ||
| 20% Cottonseed meal | 1.05 | 0.21 | ||
| 37% Rice bran | 0.41 | 0.15 | ||
| 10% Dried distillers sol. | - | - | ||
| 2% Vitamin premix | - | - | ||
| 4% Mineral premix | 13.10 | 0.52 | ||
(b) Carps
| Country | Diet | P content of ingredients (%) | P in diet (%) | |
| Europe | DIET 1 | |||
| 25% Soybean meal | 0.63 | 0.16 | 1.03 | |
| 10% Fishmeal | 3.58 | 0.36 | ||
| 10% Meatmeal | 1.40 | 0.14 | ||
| 5% Lucerne meal | - | - | ||
| 25% Rice bran | 0.43 | 0.11 | ||
| 20% Rice polish | 1.32 | 0.26 | ||
| 5% Distillers solubles | - | - | ||
| DIET 2 | ||||
| 25% Soybean meal | 0.63 | 0.16 | 0.94 | |
| 10% Fishmeal | 3.58 | 0.36 | ||
| 10% Meatmeal | 1.40 | 0.14 | ||
| 20% Wheat middlings | 0.83 | 0.17 | ||
| 5% Lucerne meal | - | - | ||
| 25% Rice bran | 0.43 | 0.11 | ||
| 5% Distillers solubles | - | - | ||
| USA | 46% Fishmeal | 3.58 | 1.65 | 3.09 |
| 28% Wheat middlings | 0.83 | 0.23 | ||
| 7% Rice bran | 0.43 | 0.03 | ||
| 5% Wheat bran | 1.27 | 0.06 | ||
| 5% Soybean seeds | 0.63 | 0.03 | ||
| 4% Yeast | 1.67 | 0.07 | ||
| 1.5% Corn gluten | 0.47 | 0.01 | ||
| 0.5% Vitamin premix | 0 | 0 | ||
| 0.5% Mineral premix | 13.10 | 0.66 | ||
| 0.5% Sodium chloride | 0 | 0 | ||
| 2% Potassium phosphate | 17.64 | 0.35 | ||
Tilapia diet formulations from Coche (1982), Jauncey and Ross (1982). Carp diet formulations from Pearson (1967) and NRC (1977). P content of feedstuffs from NRC (1977) and Santiago (1983).
Table 13: Recommended food particle sizes for salmonids and tilapias. The term ‘crumb’ refers to round particles, whereas ‘pellet’ refers to cylindrical (1 ≤ 3d) particles. Sizes refer to particle diameter (d).
| (a) Trout | (b) Tilapias | ||||
| Fish size | Pellet size | Fish size | Pellet size | ||
| (g) | (mm) | (g) | (mm) | ||
| 0.4 | 0.3–0.6 | crumb | Fry first 24 hrs | liquifry* | |
| 0.4–1 | 0.4–1.0 | 0.015 | 0.5 | crumb | |
| 1–3 | 1.1–1.5 | 0.015–0.15 | 0.5–1.0 | ||
| 3–9 | 1.5–2.0 | 0.5–1.0 | 0.5–1.5 | ||
| 9–20 | 2.0–3.0 | 1–30 | 1.0–2.0 | ||
| 9–20 | 1.5 | pellet | 20–120 | 2.0 | pellet |
| 20–40 | 2.0 | 100–250 | 3.0 | ||
| 35–110 | 3.0 | 250+ | 4.0 | ||
| 90–300 | 5.0 | ||||
| 200–800 | 6.5 | ||||
| 750+ | 8.0 | ||||
Table 14: Summary of data from Glebokie Lake, Poland (Penczak et al, 1982). Units in kg, and total losses (F + C + U; see p. 41 for terminology) calculated assuming mortalities were not removed from the lake.
| Generation 2 | Generation 3 | |
| (June 1976–Dec. 1977) | (Jan. 1978–Dec. 1978) | |
| Fish Production | 27,534 | 11,000 |
| total-C losses | 16,708 | 9,701 |
| total-P losses | 507 | 291 |
| total-N losses | 2,094 | 1,296 |
| C losses per kg trout production | 0.607 | 0.890 |
| P losses per kg trout production | 0.019 | 0.026 |
| N losses per kg trout production | 0.076 | 0.118 |
Average (Gen. 2 and Gen 3) C losses per kg trout production = 0.748
P losses per kg trout production = 0.023
N losses per kg trout production = 0.097
Table 15: Feed Conversion Ratios (FCR's) for various intensive trout and tilapia diets. The composition of tilapia diets are detailed in Table 12
(a) Trout | |||||
| Feed Brand/Type | Feed Form | Crude Protein Level (%) | Culture System | FCR | Reference |
| Commercial, various | Pellets, dry, sinking | 40–41 | Ponds | 1–3:1 | Edwards, 1978 |
| Ponds | 1–28:1 | Templeton & Jarrams, 1980 | |||
| EWOS, T-4D | Pellets, dry, floating | 47%* | Tanks | 0.94:1 | Ketola, 1982 |
| Abernathy | Pellets, dry, sinking | - | Tanks | 1.19:1 | Ketola, 1982 |
| Purina Trout Chow | Pellets, dry, floating | 40 | Cages | 2.09–3.26:1 | Kilambi et al, 1976 |
| Pellets, dry, sinking | 40* | Cages | 1.59–2.73:1 | Templeton & Jarrams, 1980 | |
(b) Tilapia | |||||
| Feed Brand/Type | Feed Form | Crude Protein Level (%) | Culture System | FCR | Reference |
| Philippines, Diet 1 | Mash, moist, sinking | 24.2 | Cage | 2.57:1 | Guerrero, 1980 |
| Philippines, Diet 2 | Mash, moist, sinking | 24.3 | Cage | 2.58:1 | Guerrero, 1980 |
| Central African Republic Diet | Pellets, sinking | - | Cage | 3.20:1 | Coche, 1982 |
| Ivory Coast Diets B1 + B4 | Pellets, dry, sinking | 20–25 | Cage | 2.0–2.40:1 | Coche, 1982 |
Table 16: Theoretical calculations of total-P released into the environment during intensive cage culture of trout and tilapia.
(a) Rainbow trout
| Phosphorus content of commercial trout pellets | 1.50%a |
| ∴ 1 tonne feed contains | 15.0 kg |
| Food Conversion Ratio | (FCR) = 1.0:1, | Pfood = 15.0 kg |
| FCR = 1.5:1, | Pfood = 22.5 kg | |
| FCR = 2.0:1, | Pfood = 30.0 kg | |
| FCR = 2.5:1, | Pfood = 37.5 kg |
Phosphorus content of trout = 0.48% wet weight of fishb = 4.8 kg tonne fish-1
∴ Phosphorus release to environment (Penv):-
1.0:1 FCR = 15-4.8 = 10.2 kg tonne fish prod-1
1.5:1 FCR = 22.5-4.8 = 17.7 kg " " "
2.0:1 FCR = 30.0-4.8 = 25.2 kg " " "
2.5:1 FCR = 37.5-4.8 = 32.7 kg " " "
(b) Tilapia
| Phosphorus content of compounded feeds (see Table 12) | 1.30% |
| ∴ 1 tonne feed contains | 13.0 kg |
| Food Conversion Ratio | (FCR) = 2.0:1 | Pfood = 26.0 kg |
2.5:1 | Pfood = 32.5 kg | |
3.0:1 | Pfood = 39.0 kg | |
3.5:1 | Pfood = 45.5 kg | |
4.0:1 | Pfood = 52.0 kg |
Phosphorus content of tilapia = 0.34% wet weight of fishc = 3.4 kg tonne fish-1
∴ Phosphorus release to environment (Penv):-
2.0:1 FCR = 26.0-3.4 = 22.6 kg tonne fish produced-1
2.5:1 FCR = 32.5-3.4 = 29.1 kg " " "
3.0:1 FCR = 39.0-3.4 = 35.6 kg " " "
a = Average P content of commercial grower feeds used in Europe. Data from Tacon and De Silva (1983).
b = data from Penczak et al (1982)
c = P content of tilapia, estimated from Meske and Manthey (1983), assuming dry weight = 25% wet carcasse weight
Table 17: Total-P loadings associated with intensive land-based salmonid culture (modified from Beveridge et al, 1982)
| P (kg tonne fish production-1) | Source | |
| 40.15 | P | Liao and Mayo, 1972 |
| 15.70 | P | Solbe, 1982 |
| 36.50 | total-P | Warrer-Hansen, 1982 |
| 18.25 | PO4-P | |
| 10.95–113.15 | total-P | Alabaster, 1982 |
| 18.32 | total-P | Sumari, 1982 |
| 9.10–22.77 | total-P | Ketola, 1982 |
Table 18: Food Conversion Ratios (FCR) of rainbow trout grown in cages and in ponds, using commercial dry pellets as food source
| FCR | Reference | |
| Ponds | 1.00–3.00:1 | Edwards, 1978 |
| 1.28:1 | Templeton and Jarrams, 1980 | |
| 1.20–1.40:1 | Stevenson, 1980 | |
| 1.50:1 | Bardach et al, 1973 | |
| Cages | 2.09–3.26:1 | Kilambi et al, 1976 |
| 1.50–1.80:1 | Landless, 1980 | |
| 1.59–2.73:1 | Templeton and Jarrams, 1980 | |
| 1.50:1 | Enell, 1982 | |
| 1.60–2.00:1 | Coche, 1978a | |
| 3.40–3.70:1 | Korycka and Zdanowski, 1980 |
Table 19: Summary of [P] predictive models (r = correlation coefficient; S.E. = standard error)
| Model type | Model | Data Base | Performance | Reference |
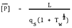
| Vollenweider, 1976 | ![]() | 68 mid-western reservoirs, USA | r = 0.64; S.E. = 0.39 | Mueller, 1982 |
| 32 Southern African reservoirs (42 observations) | difference between predicted and observed: n = 42; x2 = 4.90; P 0.01 | Thornton and Walmsley, 1982 | ||
| Jones-Bachmann, 1976 | ![]() | 75 North American lakes | Jones and Bachmann, 1976 | |
| 68 mid-western reservoirs, USA | r = 0.65; S.E. = 0.37 | Mueller, 1982 | ||
![]() | 704 natural and artificial lakes in Europe and North America | r = 0.81 | Canfield and Bachmann, 1981 | |
![]() | 271 natural lakes in Europe and North America | r = 0.82 | Canfield and Bachmann, 1981 | |
![]() | 433 artificial lakes in Europe and North America | r = 0.82 | Canfield and Bachmann, 1981 | |
![]() | 704 natural and artificial lakes in Europe and North America | r = 0.77 | Canfield and Bachmann, 1981 | |
| Dillon-Rigler, 1974 | ![]() | 18 Canadian lakes | - | Dillon and Rigler, 1974 |
| 68 mid-western reservoirs, USA | r = 0.86; S.E. 0.20 | Mueller, 1982 | ||
| 32 Southern African reservoirs (37 observations) | difference between predicted and observed n = 37; x2 = 1.83; p < 0.001 | Thornton and Walmsley, 1982 | ||
| OECD - 1982 | ![]() | 87 lakes in Europe and North America | r = 0.93 | OECD, 1982 |
| 14 Nordic lakes | r = 0.86 | OECD, 1982 | ||
| 18 Alpine lakes | r = 0.93 | OECD, 1982 | ||
| 31 North American lakes | r = 0.95 | OECD, 1982 | ||
| 24 shallow lakes and reservoirs in North America and Europe | r = 0.95 | OECD, 1982 |
Table 20: Tentative1 values for maximum acceptable [P] in lentic inland water bodies used for enclosure culture of fish
| Water Body Category | Species Cultured | Tentative maximum acceptable [P] |
| Temperate | Salmonid | 60 |
| Carp | 150 | |
| Tropical | Carp & tilapia | 250 |
Table 21: Regression equations relating annual mean chlorophyll levels
[chl] and peak chlorophyll levels
to each other, and to
mean in-lake total phosphorus concentrations [P]. N. B. Three
equations are given for each relationship except the last (see
text). Units = mgm-3.
| (a) Relationships between [ch1] and [P] | ||||
| (i) | [ch1] = 0.61 [P].69 | n = 99; | r = 0.75; | S.E. = 0.335 |
| (ii) | [ch1] = 0.38 [P].86 | n = 88; | r = 0.86; | S.E. = 0.272 |
| (iii) | [ch1] = 0.28 [P].96 | n = 77; | r = 0.88; | S.E. = 0.251 |
(b) Relationships between and [P] | ||||
| (i) | = 1.77 [P].67 | n = 65; | r = 0.70; | S.E. = 0.375 |
| (ii) | = 0.90 [P].92 | n = 54; | r = 0.86; | S.E. = 0.296 |
| (iii) | = 0.64 [P]1.05 | n = 50; | r = 0.90; | S.E. = 0.257 |
(c) Relationships between and [chl] | ||||
| (i) | = 2.86 [chl]1.03 | n = 73; | r = 0.93; | S.E. = 0.199 |
| (ii) | = 2.60 [chl]1.06 | n = 72; | r = 0.95; | S.E. = 0.167 |
data derived from OECD (1982)
Table 22: Relationship between [chl] and ΣPP in some tropical lakes
| Lake | [chl] | ΣPP | Reference |
| Madden | 6 mg m-3 | 600 mg O2 m-2h-1 | Gliwicz, 1976 |
| Chad | 18 mg m-3 | 45 g O2 m-2d-1 | Lemoalle, 1975 |
| Victoria | 44 mg m-3 | 7.4 g O2 m-2d-1 | Talling, 1965 |
| Naivasta Crater | 45 mg m-3 | 4.9 g O2 m-2d-1 | Melack, 1979 |
| McIlwaine | 93 mg m-3 | 3.9 g O2 m-2d-1 | Robarts, 1978 |
| Elementia | 97 mg m-3 | 570 mg O2 m-2h-1 | Melack, 1979 |
| Castanho | 127 mg m-2 | 2.8 g O2 m-2d-1 | Schmidt, 1973 |
| George | 400 mg m-2 | 7.4 g O2 m-2d-1 | Ganf, 1974, 1975 |
Table 23: Empirical models for calculating the sedimentation rate, ρ, retention coefficient, R (1/ρ), and the sedimentation coefficient, V, of phosphorus, for both general and specific categories of temperate water bodies
| Model type | Size of data base | Model | Correlation coefficient | Source | |
| (a) General. U.S. EPA data base & several European lakes and reservoirs | 704 | σ = 0.129 (L/Z)0.549 | 0.81 | Canfield and Bachmann, 1981 | |
![]() | * | 0.79 | Larsen and Mercier, 1976 | ||
| σ = 0.94 | * | 0.79 | Jones and Bachmann, 1976 | ||
| V = 2.99 + 1.7qs | * | 0.73 | Reckhow, 1979 | ||
| V = 5.3 | * | 0.71 | Chapra, 1975 | ||
| 73 | ![]() | 0.79 | Larsen and Mercier, 1975 | ||
| σ = 0.65 | 0.79 | Jones and Bachmann, 1976 | |||
| R = 0.426 exp(-0.271qs)+0.574exp(-0.00949qs) | 0.71 | Kirchner and Dillon, 1975 | |||
| V = 11.6 + 1.2qs | 0.68 | Reckhow, 1979 | |||
| σ = 10/Z | 0.68 | Vollenweider, 1975 | |||
| V = 12.4 | 0.66 | Chapra, 1975 | |||
| (b) Reservoirs. North American | 210 | σ = 0.114 (L/Z)0.589 | 0.83 | Canfield and Bachman, 1981 | |
![]() | * | 0.80 | Larsen and Mercier, 1976 | ||
| (c) Natural lakes | 151 | σ = 0.162 (L/Z)0.458 | 0.83 | Canfield and Bachmann, 1981 | |
![]() | * | 0.80 | Larsen and Mercier, 1976 | ||
| (d) Lakes with low flushing rates (qs < 10m) | 53 | R = 0.201 exp (-0.0425qs)+0.574exp(-0.00949qs) | - | Ostrofsky, 1978 | |
qs = areal water loading (mg-1)
ρ = flushing rate (volumes per year)
* = coefficients recalculated by Canfield and Bachmann (1981) using their data base
Table 24: Diet of tilapias and carps commonly used in aquaculture (tilapia data modified from Jauncey and Ross, 1982)
| Species | Diet |
| O. mossambicus | Adults omnivorous, but feed mainly on plankton, vegetation and benthic algae. Juveniles feed initially entirely on zooplankton. |
| O. niloticus | Adults omnivorous, but feed predominantly on phytoplankton, and can utilise blue-green algae. Juveniles consume wider range of food items. |
| H. molitrix | Adults and juveniles feed largely on phyto-plankton, although they will ingest detritus and zooplankton, providing the particle size is within the range 8–100 μm. |
| A. nobilis | Adults feed on larger phytoplankton, zooplankton and detritus particles within the size range 17- 3000 μm. |
Table 25: Assimilation efficiencies (Aε) of tilapias feeding on various diets (modified from Bowen, 1982)
| Species | Diet | Component | A |
| O. niloticus | Microcystis sp. | 14C | 70 |
| Anabaena sp. | 14C | 75 | |
| Nitzschia sp. | 14C | 79 | |
| Chlorella sp. | 14C | 49 | |
| Lake George suspended matter | total C | 43 | |
| O. mossambicus | Najas guadalupensis | dry wt. | 29 |
| protein | 75 | ||
| energy | 45 | ||
| T. rendalli | Ceratophyllum demersum | dry wt. | 53–60 |
| protein | 80 | ||
| energy | 48–58 |
Table 26: Increases in yields from lake fisheries in China, following the implementation of stocking and other management policies. Data from FAO (1983).
| Lake | Size (ha) | Yield prior to stocking, etc. | Yield subsequent to stocking, etc. | %increase in yield |
| Baitan Hu, Hubei | 400 | 450 kg ha | 750 kg ha | 67 |
| Xi Hu, Zhejiang | 559 | 35 kg ha | 536 kg ha | 1431 |
| Dianshan Hu, Shanghai | 6,670 | 48 kg ha | 75 kg ha | 56 |
| Tai Hu, Jiangsu | 226,700 | 24 kg ha | 56 kg ha | 133 |
Table 27: The relationship between gross areal photosynthetic rates and fish yields from seven suburban lakes near Wuhan, China (data from Liang et al, 1979). Efficiencies of energy transfer (fish yield/primary production) are based on a conversion factor of 0.375 for photosynthetic O2 production → photosynthetic C production (APHA, 1980), and a fresh fish C content of 10% (Gulland, 1970).
| Lake | Gross photosynthetic rate (g C m-2y-1) | Gross fish yield (g m-2y-1) | Net fish yield (g m-2y-1) | Gross efficiency (%) | Net efficiency (%) |
| South Lake | 219 | 45 | 31 | 2.0 | 1.4 |
| Temple Lake | 561 | 31 | 13 | 0.5 | 0.2 |
| East Lake | 589 | 26 | 22 | 0.4 | 0.4 |
| Ink Lake | 712 | 91 | 77 | 1.3 | 1.1 |
| Yu's Lake | 1,013 | 194 | 166 | 1.9 | 1.6 |
| Tea Leaf Bay | 1,246 | 263 | 245 | 2.1 | 2.0 |
| Inlet Bay | 1,916 | 446 | 429 | 2.3 | 2.2 |
Table 28: Conversion efficiencies of ΣPP to annual fish yield (Fy), for water bodies of different productivities. Conversion efficiencies for lakes and reservoirs with ΣPP ≤ 2500 g C m-2y-1 have been derived from Fig. 25, whilst for those with ΣPP > 2500 g C m-2y-1, yields have been assumed to lie on the upper portion of the logistic curve described by Liang et al (1981).
![]() | % conversionto fish yield |
| <1000 | 1 – 1.2 |
| 1000–1500 | 1.2 – 1.5 |
| 1500–2000 | 1.5 – 2.1 |
| 2000–2500 | 2.1 – 3.2 |
| 2500–3000 | 3.2 - 2.1 |
| 3000–3500 | 2.1 - 1.5 |
| 3500–4000 | 1.5 - 1.2 |
| 4000–4500 | 1.2 - 1.0 |
| >4500 | ∼ 1.0 |
Table 29: Feeding practices of 70 cage operators at Lakes Buhi and Bato, Camarines Sur, Philippines (after Escover and Claveria, 1984, in press)
| A | Type of feed | Lake Buhi | Lake Bato |
| Rice bran Rice bran and dried shrimp Rice bran and “irin-irin” Rice bran and coconut meat refuse Rice bran, corn and “irin irin” No feeding | 23 14 7 4 1 1 | 9 2 - 1 1 7 | |
| 50 | 20 | ||
| B | Method of feeding | ||
| Broadcast (dry feed) Broadcast (wet feed) Broadcast combination wet and dry Do not feed | 32 12 5 1 | 7 6 - 7 | |
| 50 | 20 | ||
| C | Frequency of feeding | ||
| Once per day Twice per day Thrice per day Once per week Twice/Thrice per week Four-Ten times per week Once/Twice per month | 12 14 1 4 15 3 - | - 2 - 2 6 1 2 | |
| 49 | 13 |
Table 30: Total-P content and P loadings1 of various feedstuffs commonly used as supplementary feeds in semi-intensive tilapia culture. FCR values refer to O. mossambicus. Data from Jackson et al (1982), NRC (1977), and Balarin and Hatton (1979).
| Feedstuff | total-P content (%) | FCR | total-P loading (k tonne-1 fish culture) |
| Rice bran | 0.41 | - | - |
| Copra meal | 0.60 | - | - |
| Brewery waste | 0.53 | 12.60 | 63.38 |
| Soya meal | 0.67 | 3.04 | 16.97 |
| Groundnut meal | 0.64 | 4.91 | 28.02 |
| Cottonseed meal | 1.01 | 2.69 | 23.77 |
1 P loadings calculated as:- total-P fed per tonne fish - total-P content per tonne fish harvested
Table 31: Summary of problem areas associated with the predictive models discussed in the text
| Method of Culture | Problem | Solution | |
| (a) Intensive Culture | Setting of desirable/acceptable water quality criteria | - | Research into the relationship between mortality of farmed fish, and envirinmental conditions in cages. |
| - | Research into the feedback effects of qualitative changes in the plankton community on cultured fish | ||
| - | Study of the economics of risk at high production sites | ||
| Estimation of waste production | - | Research into the nature and bioavailability of wastes, with particular emphasis on diet formulation and manufacture, and the influence of temperature and fish size on feed utilisation and waste composition | |
| - | Research into the effects of harvesting schedule (continuous/quantum cropping) on waste output | ||
| Estimate of impact | - | Research into impacts in different types of inland water body (deep/shallow, N-limited/P-limited, oligotrophic/eutrophic/dystrophic, tropical/temperate, etc.) | |
| (b) Extensive Culture | Estimates of conversion efficiencies | - | Studies on predation efficiencies of planktivorous species under varying conditions (temperature, turbidity, different algal and zooplankton species, etc.) |
| - | Research into the effects of increased predation on one particular trophic level | ||
| - | Research into the effects of stocking density on predation efficiency and food utilisation | ||
| - | Research into poly- versus monoculture in enclosures | ||
| - | Research into diet of cultured species in pens and cages | ||
| - | Research into the design and siting of enclosures | ||
| (c) Semi-intensive culture | The relationships between supplementary feed quantity and quality, and fish production | - | Research into the utilisation and nutritional role of materials used as supplementary feeds in pens and cages |
| - | Studies on the effects of stocking density on diet |
Table 32: Production of O. niloticus in cages and pens, without supplementary feeding*, in Cardona, Laguna de Bay, Philippines, 1982–83. Cages are 3–5m deep.
| Method of culture | Area (m2) | Stocking density (fish m-2) | Stocking period (months) | Size at harvest (g) | Production (g m-2month-1) | Reference |
| Cage | 138–2900 | 7.4 | 6.3 | 119 | 140 | Lazaga & Roa, 1983 |
| Pen | 15000 | 20 | 4–6 | 170–250 | 833–850 | Guerrero, 1983 |
* In fact, limited amounts of feed were given to the caged fish
Table 33: Estimated potential for reduction in total-P wastes associated with intensive fish culture through various feed manufacturing and management options. Costs estimated as ranging from * (inexpensive) to *** expensive.
| Option | Method | Cost | Reduction | |
| Reduction of dust added to water body | - | Improved manufacturing (e.g. use of steam conditioning, increased mash transit time in steam conditioner, etc1) | ** | 2%+ |
| - | Sieving of feeds by farm staff prior to use | * | ||
| Reduction of pellet losses to the environment | - | Improved feeder design | ** | 10%+ |
| - | Careful siting of cages | * | ||
| - | Careful adjustment of feeding regime to prevailing environmental conditions | * | ||
| Reduction of total-P load in wastes | - | Reduced P content in feeds | ** | 30%+ |
| - | Use of high digestibility diets | * | 30% | |
| Removal of surplus P added to lake or reservoir during culture | - | Pumping and removal of wastes from under cages | *** | ? |
| - | Removal of mortalities to site on shore | * | 10%2 | |
| - | Trapping and removal of escaped fish | * | 1.5%2 | |
| - | Utilisation of wastes through combination with extensive culture | ? | ? |
2 these figures depend very much on extent of mortalities and number of escaped fish