
(a) Milkfish pens in Laguna de Bay in the Philippines

(b) Flexible frame floating cages for rainbow trout culture in Lake Titicaca, Bolivia

(c) Fixed cages for tilapia culture, at SEAFDEC, Binangonan Station, Rizal, Philippines. (Note that the mesh bags have been lifted, and are drying in the sun prior to cleaning and restocking)
Fig. 1. Freshwater fish cages and pens

(a) A raft of floating cages used for bighead carp culture, with guard house, in Durian Tungal Reservoir, Melaka, Malaysia

(b) Smolt production cages, attached to land by a walkway, in a freshwater loch in Kintyre, Scotland

(c) A solitary cage of rainbow trout, with timber and oil drum frame, in Lake Titicaca, Bolivia
Fig. 2. Some types of floating cages

Fig. 3. Ranges of productivity values for tropical and temperate freshwater bodies. Data from Likens (1975), Hill and Rai (1982), and Tundisi (1983) (redrawn from Hill and Rai, 1982)

Fig. 4. Fixed cages for extensive and semi-intensive tilapia culture crowded together in the outflow from Lake Buhi, Camarines Sur, Philippines

Fig. 5. The growth of milkfish culture in Laguna de Bay, Philippines. Data from PCARRD (1982), Dela Cruz (1982) and the Philippine Bulletin Today (see text). A refers to fishkills, and B to typhoons.

Fig. 6. Map of Laguna de Bay, Philippines, showing legal fishpen belt and fish sanctuary (redrawn from Felix, 1982)

Fig. 7. Aerial photograph of part of the West Bay and Talim Island, Laguna de Bay, Philippines, November 1983, showing the extent of fishpen development

Fig. 8. Map of fishpens in Laguna de Bay, April 1982 (redrawn from Bulletin Today, May 2, 1982). Note the huge variation in pen size, and the proliferation of pens outside the legal fishpen belt (see Fig. 6)

Fig. 9. Two cores from a Scottish freshwater loch where rainbow trout cages are sited. The core on the left was taken from directly under the cages and shows the build up of organic debris - fish scales, faeces, uneaten food, etc. The core on the right was taken from a point some distance from the cages, and does not have this organic layer (photograph courtesy of Dr. M. Phillips).

Fig. 10. Typical pattern of development at an extensive cage or pen culture site (see text). Production refers to whole lake/ reservoir

Fig. 11. The relationships between specific growth rate of caged 50 g tilapia, and visibility to gross primary production, in Sampaloc Lake, Philippines (redrawn from Aquino, 1982)

Fig. 12. The impacts of enclosure structures on the aquatic environment

Fig. 13. The impacts of cage and pen culture methods on the environment

Fig. 14. The effects of intensive, semi-intensive and extensive cage and pen culture on aquatic productivity

Fig. 15. Some of the principal energy pathways in freshwater ecosystems

Fig. 16. Relationship between P-intake, P-excretion and growth in fishes (from Beveridge et al., 1982)

Fig. 17. Summary of principal P losses to the environment associated with intensive cage fish culture

Fig. 18. Suggested acceptable (dotted line) and ideal (solid line) P concentrations associated with freshwater bodies used for different purposes

Fig. 19. The relationship between areal water loading, qs, and P retention, R, in the southern African lakes. The curve shown in the figure is that of Kirchner and Dillon (1975). From Thornton and Walmsley (1982)

Fig. 20. The relationship between response time and water residence time, Tw, for water bodies with different mean depths, Z. From OECD, 1982

Fig. 21. The relationship between fish yield and primary production in tropical water bodies (redrawn from Marten and Polovina (1982))

Fig. 22. Summary of reasons for stocking freshwater bodies with fishes which feed at the aquatic food web base (see text)

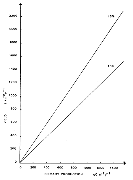
Fig. 23. Relationship between theoretical fish yields, and primary production, assuming conversion efficiencies of 10% and 15%

Fig. 24. Summary of the principal factors influencing the exploitable stock biomass in inland water fisheries (redrawn from Pitcher and Hart, 1982)

Fig. 25. Fish yields vs primary production. The dotted and dashed lines represent theoretically possible yields (Fig. 23 redrawn), whilst the lowermost plot represents typical fish yields from tropical freshwater bodies (Fig. 21 redrawn). The middle plot represents tilapia yields from inorganically fertilized ponds (data from Almazan and Boyd, 1978).

Fig. 26. The relationship between “risk” and intensive cage fish production. As production at a particular site increases, “risk” increases exponentially. The exact slope of this curve will vary with site, species and management (see text).

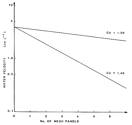
Fig. 27. The effect of a series of mesh panels with Cd panels of 1.46 and 1.09 (see Appendix 4) on current velocities, assuming an initial velocity of 4 cm s-1.

Fig. 28. The distribution of cages of extensively cultured bighead carp, at Selatar Reservoir, Singapore. Note how widely dispersed they are.

Fig. 29. Development patterns at extensive cage and pen culture sites. The typical pattern, A, could be modified to B, providing the carrying capacity of the environment was calculated prior to the introduction of fish culture.