Ramón Aravena
Laboratorio de Isótopos Ambientales
Comisión Chilena de Energía Nuclear
Edmundo Acevedo
Laboratorio Relación Suelo-Agua-Planta
Universidad de Chile
INTRODUCCION
Diversos estudios realizados en los bosques de Prosopis tamarugo Phil., ubicados en la Pampa del Tamarugal, Desierto de Atacama, han demostrado que esta especie podría ser un importante recurso para el desarrollo de la actividad forestal y ganadera de esta región (Habit 1980, Corfo 1983). La distribución actual y la futura expansión de esta especie están fuertemente ligadas a los recursos hídricos existentes en la zona. Esta área se caracteriza por un clima desértico normal, con carencia absoluta de precipitaciones. Sólo se registran en la parte alta de la Cordillera de los Andes, durante el invierno altiplánico. Estas aguas constituyen la fuente de recarga del sistema subterráneo de la Pampa del Tamarugal, siendo este recurso el único disponible tanto para el desarrollo de la agricultura y minería, como para las ciudades existentes en la región. Esta situación, ligada al posible impacto que ha tenido o que pueden tener las plantaciones de tamarugo en el balance hídrico de la Pampa del Tamarugal, ha llevado a diversos investigadores a estudiar las fuentes probables de alimentación del tamarugo. Estas podrían ser el acuífero freático y la humedad ambiental. Los estudios han permitido conocer la existencia de un alto contenido de humedad del suelo a nivel de la zona de alta proliferación radicular (entre 20 y 70 cm, aproximadamente), disminuyendo apreciablemente sobre, bajo y fuera de esta zona. Experiencias con tritio como trazador permitieron postular que esta agua podría provenir de la atmósfera, lo cual se interpretó como que el tamarugo tenía la capacidad de absorber agua a través de sus hojas y translocarla hasta la zona de mayor densidad radicular (Sudzuki 1969). Posteriormente, basado en el comportamiento de ciertos parámetros físicos, como la temperatura de rocío y potencial del agua en hojas y suelo, se postuló que la fuente del agua en la zona radicular es el acuífero freático, no encontrándose las condiciones físicas para el proceso de absorción foliar (Acevedo y Pastenes, 1980). Además, se propuso un modelo que postula que el origen del agua en la zona radicular sería tanto el acuífero freático como la humedad atmosférica, y que esta agua de almacenamiento sería usada por el árbol en las épocas de descenso del nivel estático (Mooney et al. 1980).
La necesidad de aportar mayor información y evidencia directa sobre la problemática planteada anteriormente nos ha impulsado a realizar algunas experiencias basadas en el comportamiento de los isótopos estables, oxígeno-18 y deuterio, elementos constitutivos de la molécula de agua. Esta característica hace de estos isótopos excelentes trazadores para estudiar el comportamiento del agua dentro del sistema suelo-planta-atmósfera. La concentración de estos isótopos en el agua depende de los procesos que haya sufrido ésta dentro del ciclo hidrológico. En general, las precipitaciones y, por ende, el agua subterránea de una zona determinada se caracterizan por una composición isotópica que es función de la historia de las masas de vapor que las originan, y de parámetros geográficos tales como altitud y latitud. Por lo tanto, la existencia y conocimiento de los diferentes procesos que afectan la composición isotópica del agua hacen que necesariamente el contenido isotópico del agua del acuífero freático sea diferente al del agua de la humedad ambiental, debido a su distinto origen. En el caso del sistema suelo-planta, los procesos de evaporación y transpiración causan un notorio enriquecimiento isotópico en el suelo y hojas, siendo posible seguir la dinámica de estos procesos mediante la variación de la concentración de oxígeno- 18 y deuterio en el agua residual.
Las causas de este enriquecimiento isotópico están ligadas al diferente comportamiento de las distintas especies isotópicas en el sistema líquido-vapor. Hay dos efectos que provocan fraccionamiento cuando el agua se evapora de una superficie o es transpirada en las hojas. Uno está asociado a las diferentes presiones de vapor de las especies H218O y H2HO con respecto a la especie H216O, lo cual trae como consecuencia un enriquecimiento en 18O y 2H en la fase líquida. Durante el cambio de fase, líquida a vapor, en condiciones de equilibrio, las moléculas más livianas tienden a evaporarse preferencialmente. Esta discriminación es función de la temperatura, siendo por ejemplo 9‰ más pesada la fase líquida en 18O que la fase vapor, a 25°C.
El segundo efecto que contribuye al enriquecimiento isotópico es llamado efecto cinético, que está asociado a las diferentes tasas de difusión de las distintas especies isotópicas, debido a sus masas diferentes.
Durante el proceso de difusión molecular en la evaporación, las moléculas más pesadas difunden a una tasa menor, lo cual tiende a acumular estas especies en la fase líquida. La magnitud de este efecto depende de las condiciones aerodinámicas de la capa límite en la interfase hoja-atmósfera, siendo del orden de 16% en condiciones turbulentas.
Los cambios en la composición isotópica del agua sujeta a los procesos mencionados presentan una evolución característica, que depende de las condiciones en que se realizaron dichos procesos. Estas tendencias permiten inferir el contenido isotópico del agua al inicio de estos procesos, lo cual, a su vez, permite conocer el origen del agua de alimentación del tamarugo y del agua de la zona de mayor densidad radicular.
En este trabajo se informan los resultados de una experiencia realizada durante marzo de 1984 en la localidad de Refresco, Pampa del Tamarugal, Desierto de Atacama (69° 35' W y 20° 15' a 20° 30' S, a 1200 m.s.n.m.).
MATERIALES Y METODOS
Para este estudio se requirió del muestreo de hojas y ramas de tamarugo, suelo, acuífero freático y humedad atmosférica. En el caso de las hojas, éstas se muestrearon cada dos horas en árboles de 12 y 55 años aproximadamente, ubicados en sectores diferentes dentro del bosque de la localidad de Refresco. La extracción del agua de las hojas se realizó por destilación en vacío a 100°C, condensándose el agua con nitrógeno líquido. Conjuntamente con el muestreo de las hojas se efectuaron mediciones de temperatura y humedad atmosféricas. El suelo, en ambos sitios de experimentación, fue muestreado por estratos, extrayéndose el agua por destilación y determinándose el contenido de humedad de éste por gravimetría. La humedad atmosférica se atrapó bombeando el aire a través de un cilindro cargado con zeolitas “molecular sieve” tipo 4A, previamente secadas y en vacío. El agua fue recuperada posteriormente de la zeolita por destilación a 450°C. Este método de colección de vapor de agua sólo permite analizar deuterio, ya que la concentración de 18O es afectada por las zeolitas. Este método fue usado ante la imposibilidad de tener mezclas frías (-80°C) en el área de experimentación.
Los análisis isotópicos se realizaron con un espectrómetro de masas, Micromass 602C, siendo ±0,5‰ y ± 2,0‰ la reproducibilidad de análisis para oxígeno-18 y deuterio, respectivamente. Esto incluye los errores asociados al tratamiento de las muestras y al análisis isotópico. Las técnicas de análisis están descritas en detalle en la literatura (Polastri et al. 1983). La unidad de concentración para oxígeno-18 y deuterio es δ‰, que se define como:

donde:
R = 18O/16O, 2H/1H, y V-SMOW (Vienna, Sea Mean Ocean Water) la norma internacional
usada como referencia.
RESULTADOS Y DISCUSION
Las experiencias se realizaron durante la época de mayor actividad fisiológica del tamarugo, lo cual permite observar al sistema suelo-planta-atmósfera en un momento de alta interacción entre sus componentes. Los resultados de este estudio están descritos en las Tablas 1 y 2.
TABLA 1
Variación diaria del contenido de 18O y 2H en agua de hojas
Prosopis tamarugo Phil, localidad de Refresco, Pampa del Tamarugal
| MUESTRA | FECHA | HORA SOLAR | δ18O‰(SMOW) | δ 2H‰(SMOW) | |
| TAMARUGO | 17-3-84 | 12.7 | + 22.1 | + | 9 |
| 12 años | 17-3-84 | 16.7 | + 21.8 | + | 8 |
| 17-3-84 | 20.7 | + 18.5 | + | 7 | |
| 18-3-84 | 1.2 | + 15.6 | + | 4 | |
| 18-3-84 | 5.7 | + 13.6 | - | 2 | |
| 18-3-84 | 9.7 | + 14.9 | + | 2 | |
| TAMARUGO | 17-3-84 | 14.0 | + 20.2 | + | 7 |
| ~ 55 años | 17-3-84 | 17.7 | + 18.9 | + | 4 |
| 17-3-84 | 22.0 | + 18.3 | + | 6 | |
| 18-3-84 | 3.4 | + 15.1 | - | 2 | |
| 18-3-84 | 6.7 | + 11.8 | - | 9 | |
| 18-3-84 | 10.7 | + 16.5 | + | 4 | |
| 14.0 | + 21.2 | + | 7 | ||
TABLA 2
Humedad de suelo (W) y contenido isotópico en agua de suelo,
humedad atmosférica, ramas (tamarugo) y acuífero freático.
Refresco, Pampa del Tamarugal
| MUESTRA | δ 18O‰(SMOW) | δ 2H‰(SMOW) | W % | ||
| SUELO | |||||
| Sitio 1* | |||||
| 20 – | 50 cm | - 4.2 | - 54 | 7.41 | |
| 50 – | 80 cm | - 5.3 | - 57 | 14.06 | |
| 80 – | 100 cm | - 3.1 | - 49 | 6.14 | |
| 100 – | 130 cm | - 1.8 | - 47 | 2.60 | |
| Sitio 2** | |||||
| 20 – | 35 cm | + 2.4 | - 42 | 9.54 | |
| 35 – | 60 cm | - 4.5 | - 55 | 9.21 | |
| 60 – | 85 cm | - 5.3 | - 56 | 14.19 | |
| 85 – | 135 cm | - 5.9 | - 56 | 19.13 | |
| HUMEDAD ATMOSFERICA | |||||
| (20 hrs. PM – 9:30 AM) | |||||
| Sitio 2 | 17/3/84 – 18/3/84 | - 111 | |||
| Campamento | 17/3/84 – 18/3/84 | - 104 | |||
| Sitio 2 | 18/3/84 – 19/3/84 | - 101 | |||
| Campamento | 18/3/84 – 19/3/84 | - 110 | |||
| Campamento | 19/3/84 – 20/3/84 | - 103 | |||
| RAMAS TAMARUGO ~ 55 años | |||||
| 7 hrs. | - 7.8 | - 61 | |||
| 18 hrs. | - 7.8 | - 62 | |||
| ACUIFERO FREATICO | - 7.7 | - 60 | |||
* Bajo copa tamarugo 12 años.
** Bajo copa tamarugo ~ 55 años.
Uno de los parámetros importantes que influyen en la variación diaria del contenido de oxígeno- 18 y deuterio en el agua de las hojas es el ciclo diario de humedad relativa, lo cual sugiere que existe una relación entre la composición isotópica en las hojas con el ciclo de transpiración. Esto puede ser analizado en los datos experimentales que están representados en la Figura 1, donde se observa la variación diaria del contenido de oxígeno- 18 en el agua de las hojas. En estas curvas se observa un comportamiento cíclico con decrecimiento de los valores de δ18O en la tarde y la noche, con un mínimo alrededor de las 7 AM (hora solar) y un incremento en la mañana, con un máximo entre las 14 y 15 horas. Esta evolución coincide con las curvas de déficit de saturación y humedad relativa, observándose un pequeño desfase en los puntos de mínima y máxima respectivamente. Este desfase, que no es observado en zonas templadas, ha sido detectado en experiencias realizadas en una zona semiárida del Brasil y ha sido atribuido a una respuesta lenta del sistema ante los cambios de humedad relativa (Dongmann et al. 1974, Zundel et al. 1978).
En cuanto al proceso de transpiración, experiencias realizadas por Förstel (1978) mostraron una evolución paralela de la tasa de transpiración con el contenido de oxigeno-18 en las hojas. Sin embargo, estudios realizados por otro grupo de investigación mostraron que no existe una relación clara entre estos dos procesos (Farris y Strain, 1978). Los datos de oxigeno-18 obtenidos en esta experiencia muestran una evolución que parece estar ligada al ciclo de transpiración del tamarugo. En la Figura la se observa que el decrecimiento de la concentración de oxigeno-18 coincide aproximadamente con el proceso de cierre de estomas, es decir, la etapa de disminución de la tasa de transpiración. Para efectos de comparación se consideraron los valores de Cwv y ΔCwv para tener una estimación de la tasa de transpiración, obteniéndose valores máximos entre las 11–13 horas solar, comenzando luego a decrecer. Con respecto al nivel de 18O en las hojas, comienza a aumentar alrededor de las 7 horas, que coincide aproximadamente con el inicio del proceso de transpiración, llegando a un máximo enriquecimiento alrededor de las 15 horas. Este desfase observado entre los máximos de 18O y tasa de transpiración fue explicado anteriormente como una respuesta lenta del sistema en ese período a cambios ambientales, tomando en cuenta que después de las 13 horas la tasa de transpiración en aún importante.

Fig. 1: Variación diaria del contenido de 18O en agua de hojas de tamarugo, conductividad al vapor de agua, humedad relativa y déficit de saturación de la atmósfera, localidad de Refresco, Pampa del Tamarugal.
Es conveniente mencionar que el enriquecimiento isotópico observado en el agua de las hojas con respecto al agua de alimentación del árbol está asociado solamente al proceso de transpiración, ya que evidencias experimentales de la literatura muestran que la toma de agua por las raíces y posterior traslado a las diferentes partes del árbol es un proceso no fraccionante, es decir, no afecta la composición isotópica del agua (Zimmermann et al. 1967, Förstel 1978).
En cuanto al objetivo principal de esta experiencia—definir el origen del agua de alimentación del tamarugo y del suelo en la zona de mayor densidad radicular—, fue abordado observando dos procesos que ocurren en el ecosistema del tamarugo: evaporación desde el suelo y transpiración desde las hojas. Estos procesos pueden ser seguidos en un gráfico δ2H vs.δ18O, ya que provocan una evolución de la composición isotópica del agua a lo largo de una recta de evaporación, cuya pendiente depende de las condiciones en que se realiza el proceso. En zonas templadas, esta pendiente tiene valores de 4 a 6 (en suelos) pero en zonas áridas puede tener valores menores que 3 (Dincer et al. 1974, Allison et al. 1983).
Los datos de oxígeno-18 y deuterio obtenidos en los perfiles de suelo (Tabla 2) están representados en la Figura 2. En este gráfico, la recta δ2H = 8 δ18O + 10 representa el contenido isotópico de las precipitaciones a nivel local y/o regional, siendo válida para la gran parte de las regiones del mundo (Dansgaard, 1964). Las precipitaciones de la zona altiplánica en el Norte de Chile caen sobre una recta ligeramente diferente (Fritz et al. 1981). Como en general la composición isotópica del agua subterránea representa el promedio ponderado en el tiempo de las precipitaciones, procesos tales como evaporación cambian la composición del agua subterránea hacia zonas fuera de la recta meteórica. El agua subterránea de Refresco tiene una composición isotópica (δ18O = -7,7‰y δ2H = -60‰) que se ubica bajo la recta meteórica, hecho que puede ser atribuido a evaporación en la zona de recarga o representa aguas que precipitaron en condiciones climáticas muy diferentes a las actuales.

Fig. 2: Contenido de 18O y 2H en agua. a) hojas (Eucaliptus sp), precipitación y camanchaca, El Tofo, IV Región. b) hojas y ramas (Prosopis tamarugo Phil), suelo, acuífero freático y humedad atmosférica, Refresco, Pampa del Tamarugal, I Región.
Lo interesante que se observa en la Figura 2b, es la tendencia que presenta el contenido isotópico del agua del suelo en la zona radicular (zona de mayor contenido de humedad, Tabla 2) y de los otros estratos. Se advierte un enriquecimiento en deuterio y oxígeno-18, siendo de mayor magnitud para el último isótopo, lo cual es típico del proceso de evaporación. Estas muestras se alinean en una recta con pendiente aproximada 2, que corresponde con valores reportados en zonas áridas (Dincer et al. 1974) y cuyo origen está en la composición isotópica del agua subterránea. Esta evolución está indicando que el agua del suelo y, por ende, de la zona radicular, es agua subterránea, modificada por el proceso de evaporación. Estas evidencias descartan la posibilidad de que el agua que llega a la zona radicular provenga de la atmósfera, lo cual es corroborado por los análisis isotópicos de humedad atmosférica, que presenta valores de δ2H, alrededor de -105‰, versus -60‰ del acuífero freático.
La evolución isotópica del agua debido al proceso de transpiración en las hojas del tamarugo se puede observar en la Figura 2b. La metodología de análisis de los datos isotópicos se sustenta en experiencias realizadas en la IV Región, en el área del Cerro El Tofo. En la cumbre de este cerro existe un pequeño bosque de Eucaliptus sp que sobrevive solamente por su capacidad de captar camanchaca (niebla costera). Esto fue confirmado a través de la evolución isotópica del agua en sus hojas, que tiene como punto de partida la composición isotópica de la camanchaca, modificada posteriormente por el proceso de transpiración (Figura 2a). Para comparación, en esta figura también se encuentra representada la composición isotópica de las precipitaciones en esa área.
En el caso de tamarugo, también se puede observar una relación lineal en las muestras de las etapas iniciales y finales del período de transpiración. El cambio de tendencia que se observa al final de la recta de evaporación por transpiración de tamarugo en la Figura 2b, se debe a un fuerte enriquecimiento de 18O en relación al deuterio, que estaría reflejando las extremas condiciones climáticas a que está sujeto el tamarugo. La evolución que muestran estos datos sugiere que el agua que está llegando a las hojas y participando en el proceso de transpiración, es agua proveniente del acuífero freático. Esto se confirma con los análisis isotópicos del agua a nivel de las ramas, que presenta valores similares al agua subterránea.
En conclusión, las evidencias presentadas en este estudio permiten afirmar que el agua de alimentación del tamarugo, y el agua que se encuentra en el suelo en la zona de alta proliferación radicular, proviene del acuífero freático.
AGRADECIMIENTOS
Los autores de este trabajo desean agradecer la valiosa colaboración prestada por el Sr. Guillermo Alvarez de Araya, administrador del Fundo Refresco, durante las experiencias realizadas en ese lugar. Se extienden estos agradecimientos a la Sra. Evelyn Aguirre y a la Sra. María Paz Albornoz, por su labor realizada en la etapa de tratamiento y análisis isotópicos de muestras.
Trabajo financiado por el Proyecto CONAF/PNUD/FAO/CHI/76/003, la Comisión Chilena de Energía Nuclear y la Facultad de Ciencias Agrarias, Veterinarias y Forestales de la Universidad de Chile.
REFERENCIAS
ACEVEDO E., PASTENES J. 1980. Distribución de Prosopis tamarugo Phil. en la Pampa del Tamarugal (Desierto de Atacama). Tercer Congreso Int. Zonas Aridas. La Serena, Chile.
ALLISON G.B., BARNES C.J., HUGHES M.W. 1983. The distribution of deuterium and 18O in dry soils. 2 Experimental J. Hydrol., 64: 377–397.
CHILE. 1983. Desarrollo de zonas desérticas de Chile. CORFO. Tomo 1, 56 pp.
DANSGAARD W., 1964. Stable isotopes in precipitation. Tellus, 16: 436–468.
DINCER T., AL MUGRIN A., ZIMMERMANN U., 1974. Study of the infiltration and recharge through sand dunes in arid zones with special reference to the stable isotopes and thermonuclear tritium. J. Hidrol., 23:71–109.
DONGMANN G., NÜRNBERG H.W., FÖRSTEL H., WAGENER K., 1974. On the enrichment of H218O in the leaves of transpiring plants. Rad and Environm. Biophys. 11: 41–52.
FARRIS F., STRAIN B.R. 1978. The effect of water stress on leaf H218O enrichment. Rad and Environm. Biophys. 15: 167–202.
FÖRSTEL H. The enrichment of H218O under field and under laboratory conditions. Proc. Third Int. Cong. on Stable Isot., Oak Brook, May 1978.
FRITZ P., SUZUKI O., SILVA C., SALATI E., 1981. Isotope hydrology of groundwaters in the Pampa del Tamarugal, Chile. J. Hydrol., 53: 161–184.
HABIT M. 1980. Contribución al conocimiento del árbol forrajero de desierto Prosopis tamarugo Phil. FAO. Stgo. de Chile. 124 pp.
MOONEY H.A., GULMON S.L., RUNDEL P.W., EHLERINGER J., 1980. Further observations on the water relations of Prosopis tamarugo of the Northern Atacama Desert. Oecologia (Berl) 44: 177–180.
POLASTRI A., ARAVENA R., SUZUKI O., 1983. Técnicas de Análisis para 18O y 2H en agua y 13C en Carbonatos. Informe Técnico C.CH.E.N. 30 pp.
SUDZUKI F., 1969. Absorción foliar de humedad atmosférica en tamarugo, Prosopis tamarugo Phil. Universidad de Chile, Facultad de Agronomía. Boletín Técnico 30: 1–23.
ZIMMERMANN U., EHHALT D., MUNNICH K.O. 1967. Soil water movement and evapotranspiration: Changes in the isotopic composition of the water. Proc. Symp. on Isotopes in Hydrology, Vienna, 1966, Int., at. Energy Agency, Vienna, pp. 567–584.
ZUNDEL G., MIEKELEY W., GRISI B.M., FÖRSTEL H. 1978. The H218O enrichment in the leaf water of tropic trees: Comparison of species from the tropical rain forest and the semi-arid region in Brasil. Rad and Environm, Biophys., 15: 203–212.
Edmundo Acevedo H.
Drina Sotomayor
Virginia Zenteno
Laboratorio de Relación Suelo-Agua-Planta
Facultad de Ciencias Agrarias, Veterinarias y Forestales
Universidad de Chile
INTRODUCCION
La relación que existe entre el potencial total de agua (ψ) en un tejido vegetal y su contenido de agua (CRA), llamada curva presión-volumen, ha sido utilizada ampliamente para conocer características hídricas del teiido de importancia fisiológica y ecológica (1,3,7,19,23). De esta curva es posible inferir la suma de los potenciales de soluto y mátrico (ψs + ψm) y el potencial de presión del agua (ψp) del tejido a diferentes valores de ψ y/o CRA y estudiar diferentes adaptaciones fisiológicas al déficit hídrico.
La mantención del potencial de presión o presión de turgor en los tejidos vegetales en la medida que el potencial total del agua disminuye es una adaptación fisiológica que permite a las plantas enfrentar en mejor forma condiciones de déficit hídrico (12,13), manteniendo procesos como fotosíntesis, crecimiento, absorción de iones y otros con bajos valores de ψ (10,2,23,8).
Los mecanismos mediante los cuales es posible la mantención de turgor fueron analizados y discutidos por Weatherley en 1970 (25), quien destacó la posibilidad de una disminución del potencial de solutos de las células y/o un aumento de la elasticidad de las paredes celulares de éstas. Existe evidencia en la literatura que ambos procesos pueden ocurrir, conociéndose el primero de éstos como ajuste osmótico (14) e implicando un aumento neto de solutos a nivel celular. En el segundo caso la elasticidad de las paredes celulares permite que ψp se mantenga aunque disminuya el CRA (17, 9,23), habiéndose observado que las células de menor tamaño suelen presentar una mayor elasticidad de sus paredes celulares (20).
En el presente trabajo se estudiaron las curvas de desorción o curvas presión-volumen en ramillas terminales (6–8 cm) de Prosopis tamarugo Phil. El estudio se realizó en árboles de 12 años de edad plantados en la localidad de Refresco, en árboles de 6 años propagados naturalmente en las cercanías de La Tirana (ambos sitios ubicados en la Pampa del Tamarugal, Desierto de Atacama), y en plántulas cuya edad fluctuó entre 5 y 12 meses y que crecían en macetas en condiciones de invernadero en el Campus Antumapu de la Universidad de Chile (Santiago), bajo dos condiciones hídricas extremas.
MATERIALES Y METODOS
Las curvas presión-volumen se obtuvieron utilizando una bomba a presión (18) de acuerdo a la técnica propuesta por Tyree y Hammel (24). Las ramillas terminales de tamarugo (6–8 cm de longitud) se cortaron al amanecer, entre 6 y 7 h (tiempo solar). Inmediatamente se determinó el peso fresco y el potencial total del agua con una bomba a presión. Luego se hidrataron a máximo turgor mediante flotación en agua destilada por un período de 4 horas en discos Petri, bajo una intensidad de luz cercana al punto de compensación (16). El tiempo necesario para lograr una máxima hidratación se determinó en experiencias previas utilizando ramillas con diferente potencial hídrico. Las ramillas hidratadas se secaron con papel absorbente y luego se pesaron para obtener el peso de tejido túrgido. A continuación se introdujeron en una bomba a persión en que la presión de vapor en el interior se mantuvo cercana a saturación mediante la adición de agua destilada en la base de la bomba. La presión en la bomba se incrementó a intervalos de 0,3 a 0,5 MPa en un rango de 0 a 7 MPa, pesando las ramillas después que estuviesen en equilibrio con cada presión aplicada en una balanza ubicada en una cámara húmeda. El equilibrio entre la presión aplicada y el tejido en la bomba se logró en un tiempo de aproximadamente diez minutos. Terminado el proceso de desorción hídrica de las ramillas, se secaron en estufa a 75° C por 48 horas. Con los valores de peso túrgido, peso fresco y peso seco se calculó el contenido relativo de agua (CRA) correspondiente a cada presión aplicada con la bomba, la que a su vez, en equilibrio con el tejido y suponiendo un potencial del agua apoplástica igual a cero, corresponde en valor absoluto al potencial del agua del simplasto del tejido.
El procedimiento indicado se realizó en ramillas de árboles de la localidad de Refresco, en una plantación de 12 años de edad en marzo y diciembre de 1982; en árboles propagados naturalmente de 6 años de edad en diciembre de 1982, en un área que se inundó con aguas provenientes de avenidas del invierno altiplánico en las cercanías de La Tirana en 1976; y en plántulas cuya edad fluctuó entre 5 y 12 meses cultivadas en macetas en invernadero en el Campus Antumapu de la Universidad de Chile (Santiago). Las plántulas se cultivaron de acuerdo a la técnica indicada por Acevedo et al. (4) por un período de doce meses (enero a diciembre de 1983), diferenciándose a los 2 meses de edad dos tratamientos, uno en que las plantas se regaron cada vez que tensiómetros ubicados a 12,5 cm de profundidad de las macetas marcaban 0,06 MPa, y el otro cuando bloques de yeso ubicados a igual profundidad y calibrados hasta -1,5 MPa indicaban, por extrapolación de la curva de calibración, un potencial mátrico del agua del suelo de aproxima-damente -3,0 MPa.
RESULTADOS Y DISCUSION
En la Figura 1 se presenta la curva presión-volumen promedio de 7 ramillas de tamarugo de 12 años de edad. Al momento de muestreo (amanecer) estas ramillas tuvieron un potencial del agua promedio de -1,15 MPa. Al graficar el recíproco del potencial del agua en la ramilla (1/ψ) versus el contenido relativo de agua para cada valor de potencial, se obtiene una curva que se hace recta a partir del punto en que el potencial de presión del agua se hace cero. Esta recta corresponde a la variación del recíproco del potencial de solutos más el recíproco del potencial mátrico del tejido para sus diferentes contenidos relativos de agua, obteniéndose el potencial de solutos a máximo turgor (ψ STM) cuando la recta intercepta el valor de CRA igual a 1,0 (24). Para el tamarugo de Refresco este valor fue de -2,5 MPa, siendo similar o ligeramente superior al obtenido en Atriplex repanda por Silva en 1982 (19). La diferencia entre los valores de ψ y (ψ s + ψ m) entrega el valor de turgor o potencial de presión (ψ p) para cada CRA. El ψ p se mantuvo superior a cero entre valores de CRA de 0,92 al muestreo y 0,72. El potencial total del agua correspondiente a ψ p = 0 fue de -3,7 MPa para los árboles de Refresco.
Figura 1: Curva presión-volumen promedio de 7 ramillas terminales de Prosopis tamarugo. Arboles de 12 años. Localidad de Refresco, diciembre 1982.
| ψ = -1,15 MPa (en el muestreo) | |||
| CRA | ψ | ψs | ψp |
| 0,70 | -3,70 | -3,70 | -0,00 |
| 0,75 | -3,33 | -3,44 | -0,11 |
| 0,80 | -2,77 | -3,22 | -0,44 |
| 0,85 | -2,22 | -2,98 | -0,76 |
| 0,87 | -2,00 | -2,94 | -0,94 |
| 0,90 | -1,61 | -2,81 | -1,20 |
| 0,92 | -1,23 | -2,74 | -1,50 |

La literatura indica que plantas sometidas a déficit hídrico muestran un cambio en la relación entre el potencial total del agua y el CRA de sus tejidos, de manera que a un determinado valor de ψ tienen un CRA mayor en la medida que el déficit hídrico aumenta. Este comportamiento ha sido observado en manzanas, maíz y sorgo (15), hipocotilos de soya (6), sorgo (22), tejidos foliares de Atriplex repanda (19), trigo y otras especies (23).
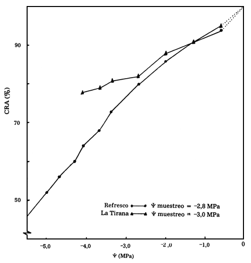
La Figura 2 muestra que la relación entre estos parámetros fue idéntica para los tejidos foliares de tamarugo de 12 años de la localidad de Refresco y aquellos de las plántulas cultivadas en invernadero sin restricción hídrica (ψm del suelo de -0,06 MPa), observándose una clara diferencia con la curva de desorción de los tejidos foliares de plántulas sometidas a déficit (ψ m del suelo de -3,0 MPa) por un período de 210 días (Figura 2).
Figura 2: Contenido relativo de agua (CRA) vs. potencial total del agua (ψ) en ramillas terminales de P. tamarugo. Antumapu, diciembre 1983; Refresco, diciembre 1982.

Mediante el cambio de la curva de desorción el tejido puede mantener valores de ψ p positivos en condiciones de déficit hídrico y éste constituye un mecanismo de adaptación al déficit. Como en otras especies, la adaptación en tamarugo es gradual, como lo muestran las curvas de la Figura 3 para tres fechas del período de aclimatación de las plántulas en invernadero.
Figura 3: Contenido relativo de agua (CRA) y potencial hídrico (ψ) en ramillas de plántulas de P. tamarugo con a) ψm suelo = -0,06 MPa y b) ψm suelo = -3,0 MPa. Antumapu, 1983.

La Figura 3a muestra que existe un leve desplazamiento de la curva por concepto de edad de las plántulas que no fueron sometidas a déficit. Este efecto es muy pequeño, sin embargo, si se compara con el cambio inducido por el déficit (Figura 3b). El resultado es que las relaciones hídricas de los tejidos foliares cambian manteniendo un determinado potencial de presión a potenciales totales más bajos (Figura 4). Es impactante constatar que los tejidos foliares de los árboles de 12 años en plantaciones de Refresco tienen una curva de desorción que corresponde a plantas que no están sometidas a déficit hídrico y, en consecuencia, éstas deben estar absorbiendo agua de una fuente de fácil acceso, como puede ser el agua freática, que en el área se encuentra a 9 metros de profundidad. Esta agua puede ser fácilmente absorbida por las raíces pivotantes que tiene este árbol (21) y no desde la zona de la masa radicular superficial, en que el potencial total del agua del suelo es del orden de -2,28 MPa (5).
Figura 4: Potencial de presión (ψp) vs. potencial total del agua (ψ) en hojas de P. tamarugo en tres períodos de acondicionamiento (48, 185 y 210 días). Antumapu, 1983.

Los árboles propagados naturalmente, cuyo éxito en la propagación está supeditado a la existencia de un continuo líquido entre la superficie del suelo y el nivel freático (3), en su lento proceso de crecimiento, a expensas del agua almacenada en el perfil del suelo, presentan una curva de desorción que guarda similitud con la de las plántulas sometidas a déficit hídrico en condiciones de invernadero (Figura 5). El cambio de la curva de desorción tanto en este caso como en las plántulas sometidas a déficit hídrico en invernadero obedece a un ajuste osmótico o disminución del potencial de solutos a turgor máximo, más que a un cambio en la elasticidad de las paredes celulares. El ajuste osmótico detectado en 210 días de aclimatación al déficit en plántulas de invernadero fue de -0,8 MPa, lo que se reflejó en un cambio del potencial total del agua al cual el ψp se hizo cero, y que fluctuó entre -3,0 y -4,0 MPa en la medida que las plántulas se aclimataban al déficit. El módulo de elasticidad de los tejidos se mantuvo sin variación consistente en el periodo de aclimatación, en contraposición a la disminución observada en otras especies, como maíz y sorgo (17), y en Atriplex repanda (19).
Figura 5: Contenido relativo de agua (CRA) vs. potencial total del agua (ψ) en ramillas terminales de P. tamarugo; árboles de 12 años plantados en la localidad de Refresco y árboles de 6 años propagados naturalmente en el sector de La Tirana. 1982.

De este trabajo se concluye que las curvas de desorción de ramillas de tamarugos adultos (12 años) plantados indican que los tejidos foliares del árbol no están sometidos a déficit hídrico; que plántulas de esta especie (12 meses de edad) pueden ajustar osmóticamente sus tejidos ante un déficit hídrico dentro de un rango de 0,8 MPa, pudiendo mantener un potencial de presión positivo; y que en este proceso de mantención de turgor los cambios de elasticidad de las paredes celulares no tienen una participación efectiva.
Agradecimientos
Los autores desean agradecer la colaboración del personal de SACOR (CORFO) durante la realización de este trabajo en el fundo Refresco. Agradecen además la colaboración prestada por el señor Quintiliano Gómez Araneda en la preparación de los dibujos.
Trabajo financiado en parte por la Corporación de Fomento de la Producción (CORFO-SACOR), Chile.
REFERENCIAS
1. ACEVEDO E. 1975. The growth of maize (Zea mays L.) under field conditions as affected by its water relations. Ph. D. thesis. Univ. Calif. Davis. pp. 253.
2. ACEVEDO E., FERERES E., HSIAO T.C., HENDERSON D.W. 1979. Diurnal growth trends, water potentials, and osmotic adjustment of maize and sorghum leaves in the field. Plant Physiol. 64:476–480.
3. ACEVEDO E., PASTENES J. 1980. Distribución de Prosopis tamarugo Phil. en la Pampa del Tamarugal (Desierto de Atacama). III Congreso Internacional de Zonas Aridas, La Serena, Chile. Enero, 1980.
4. ACEVEDO E., ARAVENA R., SOTOMAYOR D., ZENTENO V. 1984. Antecedentes sobre mecanismo de fijación de CO2 en Prosopis tamarugo Phil. Mesa Redonda Internacional de P. tamarugo. Arica - Chile. 11–15 junio, 1984. (Este volumen).
5. ACEVEDO E., SOTOMAYOR D., ZENTENO V. 1984. Parámetros ambientales y comportamiento hídrico en Prosopis tamarugo Phil. Mesa Redonda Internacional de P. tamarugo. Arica - Chile. 11–15 de junio de 1984. (Este volumen).
6. BOYER J.S. 1970. Leaf entergement and metabolic rates in corn soybean, and sunflower at various leaf water potentials. Plant Physiol. 46:233–235.
7. CAMPBELL G.S., PEPERDICK R.I., RABIE E., SAYONGWI A.J. 1979. A comparison of osmotic potencial. Elastic modulus and apoplastic water in leaves of dryland winter wheat. Agronomy Journal. 71:31–36.
8. CUTLER I.M., RAINS H.W., LOOMIS R.L. 1977. The importance of cell size in water relations of plants. Physiol. Plant. 40:255–260.
9. CHEUNG Y.N.S., TYREE M.T., DAINTY J. 1975. Water relations parameters on single leaves obtained in a pressure bomb and some ecological interpretation. Can. J. Bot. 53:1342–1346.
10. FERERES E. 1976. Growth, development and yield of sorghum in the field under variable water supply. Ph.D. Thesis, Davis, California.
11. GOODE J.E., HIGGINS K.J. 1964. The response of laxton's superb apple trees to different soil moisture conditions. J. Hort. Sci. 39:254–276.
12. HSIAO T.C. 1973. Plant responses to water stress. Ann. Rev. Plant. Physiol. 24:519–570.
13. HSIAO T.C., ACEVEDO E. 1974. Plant responses to water deficits, water use efficiency and drought resistance. Agric. Meteorol. 146:59–84.
14. HSIAO T.C., ACEVEDO E., FERERES E., HENDERSON D.W. 1976a. Stress metabolism, water stress growth and osmotic adjustment. Phil. Trans. R. Soc. London B. 273:479–500.
15. HSIAO T.C., FERERES E., ACEVEDO H.E., HENDERSON D.W. 1976. Water stress and dynamics of growth and yield of crop plants. In: O.L. Lange, L. Kappen, E.D. Schulze, Ed. Ecological studies and synthesis. V. 19. Water and Plant Life. pp.:281–303.
16. NOBEL P.S. 1977. Internal area and cellular CO2 resistance. Photosyntetic implications of varations with growth conditions and plant species. Plant Physiol. 40:137–144.
17. SANCHEZ-DIAZ M.F., KRAMER P.J. 1973. Turgor differences and water stress in maize and sorghum leaves during drought and recovery. J. Expl. Bot. 24:511–515.
18. SCHOLLANDER P.F., HAMMEL H.T., BRADTREET E.D., HEMMINGSEN, E.A. 1965. Sap pressure in vascular plants. Sci. 148:339–345.
19. SILVA R.H. 1982. Acondicionamiento a la sequía. Crecimiento y eficiencia en el uso del agua en Atriplex repanda Phil. Tesis Magister. Facultad de Ciencias, Universidad de Chile. 200 p.
20. STEUDLE E., ZIMMERMAN V. 1977. Effect of turgor pressure and cell size on the wall elasticity of plant cells. Plant. Phisiol. 59:285–289.
21. SUDZUKI F. 1969. Absorción foliar de agua atmosférica en tamarugo. Bol. Tec. Est. Exp. Agron. Univ. de Chile. 30:3–23.
22. TURNER N.C., BEGG J.E. 1977. Response of pasture plants to water deficits. In: J.R. Wilson. Plant relations in pastures. C.S.I.R.O. Melbourne, pp. 50–56.
23. TURNER N.C. 1981. Drought resistance and adaptation to water deficits in crop plants. In: Stress Physiology in Crop Plants. Mussell. H. and Stoples, R.C. eds. Wiley, N.Y. pp.: 343–372
24. TYREE M.T., HAMMEL H.T. 1972. The measurement of turgor pressure and the water relations of plants by the pressure bomb technique. J.Exp. Bot. 24:267–282.
25. WEATHERLEY P.E. 1970. Some aspects of water relations. Adv. Bot. Res. 3:171–206.
Edmundo Acevedo
Drina Sotomayor
Virginia Zenteno
Laboratorio de Relación Suelo-Agua-Planta
Facultad de Ciencias Agrarias, Veterinarias y Forestales
Universidad de Chile
Ramón Aravena
Departamento de Aplicaciones
Comisión Chilena de Energia Nuclear
INTRODUCCION
Desde un punto de vista fisiológico, es de interés conocer el tipo de incorporación y metabolismo inicial del carbono en una especie. Se distinguen 3 grandes grupos de plantas en relación al mecanismo de fijación de CO2: C3, C4 y CAM. Cada uno de estos grupos posee características fisiológicas que dentro de ciertos rangos son comunes (20, 7), como son entre otras el ciclo diario de apertura estomática, la eficiencia en el uso del agua (EUA), la variación diaria de la acidez titulable del tejido fotosintético, el primer compuesto formado en la incorporación de CO2 y enzima que cataliza el proceso. Este último aspecto es posible de ser diagnosticado a través de la discriminación isotópica entre carbono-12 y carbono-13 (25, 5) y los otros con metodologías tradicionales.
La tabla siguiente proporciona características tanto anatómicas como fisiológicas de los 3 grupos de plantas mencionadas.
CUADRO 1
| Tipo de metabolismo | |||
|---|---|---|---|
| Característica | C3 | C4 | CAM |
| Anatomía de la hoja | No se distingue vaina del haz | Vaina del haz prominente | Grandes vacuolas en células del mesófilo |
| Enzima carboxilación | Carboxidismutasa | PEP Carboxilasa. Carboxidismutasa | Obsc. PEP Carboxilasa Luz. Carboxidismutasa |
| Requerimiento energético teórico | 1 : 3 : 2 | 1 : 5 : 2 | 1 : 6,5 : 2 |
| CO2: ATP:NADPH EUA (mg MS/g H2O) | 1,1 – 2,2 | 2,8 – 4,0 | 18 – 20 |
| Apertura estomática δ13C | día -37‰ a -23‰ x = -27‰ | día -16‰ a -9‰ x = -12‰ | noche -29‰ a -9‰ |
| Temperatura óptima de fotosíntesis (° C) | 15 – 25 | 30 – 40 | 10 noche 35 día |
| Materia seca Ton/há/año | 23 ± 0.3 | 39 ± 17 | Variable |
| Fluctuación diaria en acidez titulable μeq/g/peso fresco | - | - | 100 – 200 |
En Prosopis tamarugo se ha informado de un porcentaje alto de estomas abiertos durante la noche y un menor porcentaje durante el día (8), lo que haría pensar en la posibilidad de un ritmo estomático invertido, característico de plantas con metabolismo crasulceso (CAM). Por otra parte (13), en India sugirió, basado en cambios en la acidez titulable en hojas de Prosopis juliflora, que esta especie podría tener comportamiento CAM en condiciones naturales.
El ambiente desértico en que se desarrolla Prosopis tamarugo (1), junto a la evidencia anteriormente expuesta hizo pensar que esta especie pudiese haber adoptado estrategias fisiológicas que optimizasen la eficiencia en el uso del agua, entre ellas el mecanismo de fijación de CO2.
En este trabajo se estudió en condiciones naturales y de invernadero, bajo dos regímenes hídricos extremos, el ritmo estomático diario, δ 13C de los tejidos, fluctuaciones de acidez titulable en tejido foliar y la EUA. Este último parámetro se estudió sólo en condiciones de invernadero.
MATERIAL Y METODO
Las determinaciones de terreno se realizaron en un bosque de tamarugo adulto (50 años) del Fundo Refresco en la Pampa del Tamarugal (19°33' LS y 69°–70° W). En invernadero (Santiago) se utilizaron plántulas de tamarugo de 5 a 12 meses de edad. Las semillas se hicieron germinar en una mezcla de arena gruesa y tierra de hoja en una proporción de 3:1 en volumen, donde las plántulas se mantuvieron por un período aproximado de 60 días. Posteriormente las plántulas se transplantaron a macetas de metal, cilíndricas, de 25 cm de altura y 16 cm de diámetro. Las macetas se revistieron internamente con bolsas de polietileno negro perforadas en la base y se rellenaron con 4 kg de suelo tamizado a 4 mm de textura franco arcillo arenosa, conductividad eléctrica del extracto a saturación de 0,5 mmhos cm 1 a 25°C, pH 7,1 y 2,4% de materia orgánica. Se colocó una plántula por maceta y se cubrió la superficie del suelo con una capa de 1,5 cm de espesor de arena de cuarzo y un plástico para eliminar las pérdidas de agua por evaporación directa.
Las macetas se ubicaron en el invernadero sobre tarimas de madera de 20 cm de altura en arreglo experimental de bloques totalmente al azar, con dos tratamientos y seis repeticiones. Se pusieron 12 macetas por tratamiento en cada repetición. Un tratamiento consistió en regar las macetas cuando tensiómetros ubicados a 12,5 cm de profundidad marcaban -0,06 MPa de potencial mátrico (tratamiento húmedo). En el segundo tratamiento las macetas se regaron cuando bloques de yeso ubicados a igual profundidad que los tensiómetros indicaban un potencial mátrico del agua del suelo de aproximadamente -3,0 MPa, a juzgar por la extrapolación de la curva de calibración de los bloques de yeso efectuada en un plato a presión hasta -1,5 MPa (tratamiento seco). La cantidad de agua aplicada en cada riego fue la necesaria para llevar el suelo a capacidad de campo por gravimetría. La capacidad de campo del suelo disturbado se había determinado previamente de acuerdo al método descrito por Silva (22). Los tratamientos se impusieron por 7 meses, de junio a diciembre de 1983; las condiciones climáticas del invernadero durante este período se presentan en los Cuadros 2 y 3
CUADRO 2
Humedad Relativa de Invernadero (%)
| Mes | Media | Máxima Media | Mínima Media | Máxima Absoluta | Mínima Absoluta |
| Agosto | 41.10 | 59.67 | 22.36 | 60 | 6 |
| Septiembre | 36.30 | 58.70 | 13.60 | 60 | 4 |
| Octubre | 33.08 | 57.94 | 6.54 | 60 | 1 |
| Noviembre | 31.56 | 58.77 | 4.53 | 62 | 2 |
| Diciembre | 34.27 | 58.23 | 9.60 | 60 | 2 |
| Enero | 33.01 | 57.39 | 7.59 | 60 | 2 |
CUADRO 3
Temperaturas de Invernadero (°C)
| Mes | Media | Máxima Media | Mínima Media | Máxima Absoluta | Mínima Absoluta |
| Agosto | 15.2 | 22.4 | 7.9 | 35.6 | 4.0 |
| Septiembre | 15.6 | 23.1 | 8.1 | 34.2 | 4.0 |
| Octubre | 22.7 | 33.4 | 11.5 | 42.2 | 7.8 |
| Noviembre | 24.1 | 34.7 | 13.4 | 40.6 | 7.9 |
| Diciembre | 26.3 | 37.2 | 15.4 | 42.5 | 13.0 |
| Enero | 26.1 | 36.5 | 16.0 | 40.0 | 14.0 |
Comportamiento estomático. El ritmo diario de abertura estomática se determinó con un porómetro de difusión LI-COR equipado con un sensor LI 20S con abertura de 2 cm2. Como los folíolos de las hojas de tamarugo no cubrían la totalidad de la superficie de la abertura, se efectuó la corrección de área correspondiente. Las lecturas se realizaron por períodos de 24 h,a intervalos aproximadamente de 1 h. Se tomaron entre 3 y 4 lecturas en cada oportunidad, calibrando inmediatamente el porómetro in situ y corrigiendo los valores obtenidos a una temperatura de 25°C. Los resultados se expresaron en términos de conductividad al vapor de agua (Cwv). Al mismo tiempo se midió la radiación fotosintéticamente activa (PAR) que incidía sobre un plano horizontal utilizando un radiómetro LI 170 equipado con un sensor cuántico y la humedad relativa mediante un psicrómetro Assman de ventilación forzada. Esta última determinación permitió conocer el déficit de saturación (SD) de la atmósfera.
Acidez titulable. A intervalos de 1 h, aproximadamente, en períodos de 24 h se muestrearon 100 g de folíolos de tamarugo en triplicado, los que se maceraron en morteros con 2 g de arena de cuarzo (previamente lavada con ácido clorhídrico y agua destilada); para macerar se añadieron 10 ml de agua destilada y el proceso se desarrollo en un período de 3 min. Luego se agregaron 20 ml adicionales de agua destilada y se tituló con NaOH 0,01 N a pH 6,4 utilizando un pHmetro portátil Lilliput Digital modelo 765, según el método descrito por Hartsock y Nobel (14). Conocido el porcentaje de humedad de las hojas, la acidez titulable se expresó en μeq de ácido por gr de materia seca. Al mismo tiempo se determinó el PAR incidente en una superficie horizontal y el potencial total de agua en ramillas terminales mediante el método de la bomba a presión (21).
Carbono-13. Hojas y ramillas de tamarugo fueron secadas a estufa a 70°C, molidas y combustionadas. El gas resultante CO2 fue analizado posteriormente en un espectrómetro de masas Micromass 602C, con una reproducibilidad del análisis de ± 0,1‰, de acuerdo a la técnica descrita por Aravena (3). La concentración de carbono-13 se expresó en unidades δ ‰ definidas de acuerdo a

en que R = 13C/12C y el standard internacional usado como referencia fue el PDB (carbonato de formación Pee Dee, South Carolina).
Todas las determinaciones anteriormente expuestas se realizaron tanto en los árboles de Refresco (plantación de 50 años), como en plántulas de invernadero. Como se mencionó, la EUA se determinó sólo en las plántulas de invernadero, incluyendo ambos tratamientos hídricos.
Eficiencia del uso del agua (EUA). La determinación de EUA requiere del conocimiento de la materia seca producida y del agua transpirada por la planta, por lo que para su determinación es conveniente utilizar plantas que crezcan en macetas. La cantidad de agua transpirada se midió gravimétricamente, considerando cada maceta como un fitómetro. El peso se obtuvo en una balanza con una sensibilidad de ± 25 g, lo que para macetas de un peso aproximado de 5.400 g da un error de alrededor de 0,02%. La materia seca se obtuvo de cosechas periódicas, cada 45 días, separando hojas, tallos y raíces que se secaron en estufa a 70°C por 48 horas. La pendiente de la curva en relación con la materia seca producida con el agua transpirada corresponde a la EUA.
RESULTADOS Y DISCUSION
La Figura 1 presenta los valores de conductividad al vapor de agua, déficit de saturación de la atmósfera, radiación fotosintéticamente activa y potencial total del agua en ramillas de árboles adultos de la localidad de Refresco. Es evidente de la Figura 1.a. que los estomas se abren durante el día, teniendo un máximo de apertura entre 8 y 9 horas (tiempo solar), para luego cerrarse en un proceso gradual durante las horas de luz y permanecer cerrados durante la noche. Asociado al comienzo del cierre de los estomas hay un aumento del déficit de saturación de la atmósfera y una disminución del potencial hídrico del tejido foliar. Los estomas permanecen totalmente abiertos sólo en condiciones que determinan una transpiración relativamente baja, por un bajo SD de la atmósfera (0,6 μmol cm -3) y una eficiencia fotosintética alta (9, 17) a bajos niveles de PAR (500 μE m-2 S -1). Con posterioridad comienzan a cerrarse, probablemente afectando más el proceso de transpiración que el de fotosíntesis (12, 15). Es probable que este comportamiento tienda a optimizar la eficiencia en el uso del agua en esta especie, de acuerdo a la concepción de Farquhar y Sharkey (11) y Cowan y Farquhar (10). El comportamiento estomático observado discrepa del informado por Botti (8) y Sudzuki et al. (23), ya que la Cwv disminuye en la noche en orden de magnitud con respecto a su valor máximo, que ocurre durante el día (0,02 vs. 0,2 cm S-1). El comportamiento que acá se informa es típico de una planta con metabolismo C3 o C4, y en ningún caso con metabolismo CAM. La discrepancia con los autores anteriores en cuanto a comportamiento estomático puede atribuirse a diferentes metodologías de estudio, ya que ellos utilizaron impresiones en silicona (Sil 21) que podrían causar reacciones en los estomas al momento de tomarlas, o bien dar una falsa impresión de apertura (4).

Figura 1 : Radiación fotosintéticamente activa (PAR) (a), déficit de saturación de la atmósfera (SD) (b) y conductividad al vapor de agua (Cwv) (c) en hojas de Prosopis tamarugo. Refresco, marzo 1984.
En invernadero el comportamiento estomático es similar al observado en Refresco: la máxima apertura se produce entre 7 y 8 hrs. (tiempo solar), pero el cierre de los estomas es mucho más rápido. Probablemente los árboles de Refresco han estado expuestos a un proceso de ajuste estomático con respecto al medio ambiente en comparación con las plántulas de invernadero. El ajuste estomático se ha observado en numerosas especies (16).

Figura 2 : Potencial total de agua (ψ) en ramillas (a), déficit de saturación de agua de la atmósfera (SD) (b), conductividad al vapor de agua (Cwv) en hojas de P. tamarugo con ψm suelo = -0,06 MPa (c) y conductividad al vapor de agua (Cwv) en hojas de P. tamarugo con ψm suelo = -3,0 MPa (d). Antumapu, enero 1984.
La Figura 3 muestra el curso diario del PAR y de acidez titulable a pH 6,4 de hojas provenientes de las plantas adultas de Refresco y de plantulas sometidas a tratamientos húmedo y seco. En ambos casos la acidez fluctúa entre 30 y 60 μeq/g de materia seca. Las plantas que poseen metabolismo ácido crasuláceo presentan una fluctuación diaria de ácidos orgánicos muy superior a los valores encontrados en este estudio, del orden de 100 a 200 μeq/g de peso fresco (24), con una secuencia muy clara de un mínimo al atardecer y un máximo al amanecer (ver p. ej. Acevedo, Badilla y Nobel, 1983 [2]). Los valores de la Figura 3 no presentan esta tendencia, y la dispersión de puntos es atribuible a errores experimentales. Algunas especies presentan un cambio de metabolismo C3 a CAM en la medida que experimentan un déficit hídrico (24); sin embargo, esto no fue observado en cambios de acidez titulable para plántulas de tamarugo sometidas a -3,0 MPA de potencial de agua en el suelo. Los puntos de la Figura 3 se confunden para plántulas con y sin déficit hídrico.

Figura 3: Curso diario de la acidez titulable a pH 6,4 para P. tamarugo. 7–8 (x) y 17–18 (o); diciembre 1982, Refresco (a); diciembre 1983, Antumapu (b).
El Cuadro 4 presenta los valores δ 13C obtenidos en hojas de plántulas cultivadas en invernadero con y sin déficit hídrico, además de análisis de hojas y ramas de árboles adultos de la localidad de Refresco. Los valores de δ 13C (Cuadro 4) fluctúan entre -24,9‰ y-26,3‰.
CUADRO 4
Contenido de carbono-13 en hojas y ramas de plántulas y árboles adultos de Prosopis tamarugo con y sin déficit hídrico
| Material | δ 13C ‰ |
| Hojas (especie adulta Refresco) | -24,9 |
| Ramas (especie adulta Refresco) | -25,8 |
| Hojas (plántulas de 12 meses regadas a -0,06 MPa) | -26,3 |
| Hojas (plántulas de 12 meses regadas a -3,0 MPa) | -26,2 |
Los resultados permiten afirmar que el tamarugo usa el ciclo de Calvin-Benson en la incorporación de CO2, es decir, es una planta con metabolismo C3. Los datos excluyen la posibilidad de un metabolismo C4, cuyos valores de δ 13C fluctúan entre -9‰ y -16‰, y de un metabolismo CAM, ya que en este caso las plántulas sometidas a déficit hídrico habrían presentado valores de δ 13C más positivos (6, 19).
La Figura 4 muestra que la eficiencia en el uso del agua de esta especie es baja —1,2 mg materia seca/g de agua transpirada—, con un valor que se encuentra dentro del rango de las plantas C3. La Figura 5 muestra que en plantas sometidas a déficit hídrico esta eficiencia tiende a subir ligeramente, lo que probablemente esté asociado a cambios anatómicos y morfológicos de las hojas (18).

Figura 4: Materia seca producida y agua transpirada en P. tamarugo. La línea recta une puntos estimados mediante una regresión (Δ—Δ) con r2 = 0,892, obtenido con datos provenientes del tratamiento húmedo (•) y seco (x). La eficiencia en el uso se estimó en 1,2 mg MS/g H2O transpirada. Antumapu, 1983.

Figura 5: Eficiencia en el uso del agua en plántulas de P. tamarugo de 5 a 12 meses de edad bajo dos tratamientos hídricos: a) riego a ψm suelo de -0,06 MPa (.—.) y b) riego a ψm suelo de aproximadamente -3,0 MPa (.— — —.).
De este trabajo se puede concluir que Prosopis tamarugo es una leguminosa con metabolismo C3. Aparentemente puede subsistir en un ambiente de aridez extrema, como el Desierto de Atacama, en parte gracias a la disponibilidad hídrica subterránea y a la estrategia de cierre parcial de los estomas comentada en este trabajo.
Agradecimientos
Los autores desean agradecer la colaboración del Profesor Herman Silva R. en la discusión del estudio de eficiencia del uso del agua y al Sr. Quintiliano Gómez Araneda por la preparación de los dibujos.
Trabajo financiado con aportes de CORFO-SACOR y Proyecto CONAF/PNUD/FAO/CHI/76/003
REFERENCIAS
1. Acevedo, E. y Pastenes, J. 1980. Distribución de Prosopis tamarugo Phil en la Pampa del Tamarugal (Desierto de Atacama). III Congreso Internacional de Zonas Aridas. La Serena, Chile. Enero, 1980.
2. Acevedo E., Badilla, I. and Nobel, P.S. 1983. Water relations, diurnal acidity changes and productivity of cultivated cactus, Opuntia ficus-indica. Plant. Physiol. 72:775–780.
3. Aravena, O. 1983. Técnica de análisis de carbono-13, oxígeno-18 e hidrógeno-2 en materia orgánica.
4. Barrs, D. 1968. Determination of water deficits in plant tissues. In: T.T. Kozlowski ed. Water deficit and plant growth. pp. 236–368.
5. Bender, M. 1971. Variations in the 13C/12C ratios of plants in relation to the pathway of photosynthetic carbon dioxide fixation. Phytochemistry 10:1239–1244.
6. Bender, M., Rouhani, I., Vines, M. and Block, C. 1973. 13C/12C radio changes in Crassulacean acid metabolism. Plant Phisiol. 52:427–430.
7. Botini, R. 1981. Fotosintesis. Sus implicaciones agronómicas. Serie Ciencias. Cuadr. N.o 1. Univ. Nacional de Río Cuarto. Argentina, 24 p.
8. Botti, C. 1970. Relaciones hídricas del tamarugo (Prosopis tamarugo Phil.) en la localidad de Canchones. Stgo., Univ. de Chile, 65 p. (tesis Ing. Agr. mimeografiada).
9. Chang, Y.H. 1968. Climate and Agriculture. (Aldine Publishing Co.), 304 p.
10. Cowan, I.R. y Farquhar, G.D. 1977. Stomatal function in relation to leaf metabolism and environment. In: Integration of Activity in the Higher Plant. D.H. Yennings ed. pp. 471–505.
11. Farquhar, G.D. and Sharkey. 1982. Stomatal Conductance and Photosynthesis. Ann. Rev. Plant Physiol. 33:317–345.
12. Gaastra, P. 1959. Photosynthesis of crop plants as influenced by light, carbon dioxide, temperature and stomatal diffusion resistance. Medad Landbank Wageningen 59:1–68.
13. Gaud, Y.D. 1968. Preliminary studies on titrable acidity in xerophytic plants:Salvadora persica. Linn. and Prosopis juliflora.
14. Hartsock, T.L. y Nobel, P.S. 1976. Watering converts a CAM plant to daytime CO2 uptake. Nature. 262:574–576.
15. Hsiao, T.C. and Acevedo, E. 1975. Plant responses to water deficits, water use efficiency and drought resistance. In: F.G. Stone ed. Plant Modification for more Efficient Water Use (Elsevier) pp. 59–84.
16. Ludlow, M.M. 1980. Adaptative significance of stomatal responses to water stress. In: Adaptations of Plant to Water and High Temperature Stress. N.C. Turner and P.J. Kramer eds. pp. 123–138.
17. Milthorpe, F.L. and J. Moorby. 1974. An Introduction to Crop Physiology (Cambridge University Press) 202 p.
18. Nobel, P.S. 1980. Leaf anatomy and water use efficiency. In: Adaptations of Plant to Water and High Temperature Stress. N.C. Turner and P.J. Kramer eds. pp. 43–55.
19. Osmond, C.B. Allaway, W.G., Sutton, B.G. Troughton, J.H., Queiroz, O. Luttge, V. and Winter, K. 1973. Carbon isotope discrimination in photosyntesis of CAM plants. Nature, 246:41–42.
20. Salisbury, F.B. and Ross, C.W. 1978. Plant Physiology. (Second. Ed. Wadsworth Pub. Co. Inc.) Belmont. California. 422 p.
21. Schollander, P.F., Hammel, H.T., Badtreet, E.D. and E.A. Hemmingsen. 1965. Sap pressure in vascular plant. Sci. 148:339–345.
22. Silva, H. 1982. Acondicionamiento a la sequía, crecimiento y eficiencia en el uso del agua en Atriplex repanda Phil. Tesis M.S. Fac. de Ciencias, Univ. de Chile. 197 p.
23. Sudzuki, F., Botti, C. y Acevedo, E. 1973. Relaciones hídricas del tamarugo en la localidad de Canchones. Bol. Téc. Est. Exp. Agr. Univ. Chile 37:2–23.
24. Ting, I.P. and Ryder, L. 1982. Regulation of C3 to CAM shifts. In: I.P. Ting and M. Gibbs eds. Crassulacean Acid Metabolism. pp 193–207.
25. Troughton, I.H. 1972. Carbon isotope fractionation by plants. In: Proc. 8th Conf. Radiocarbon Dfing. Wellington. N.Z. pp. E20–E57.