Edmundo Acevedo H.
Drina Sotomayor
Virginia Zenteno
Laboratorio de Relación Suelo-Agua-Planta
Facultad de Ciencias Agrarias, Veterinarias y Forestales
Universidad de Chile
INTRODUCCION
La idea de que existiese la posibilidad de absorción de humedad atmosférica por parte de Prosopis tamarugo Phil. (11) desarrolló un gran interés en las relaciones hídricas de esta especie, que crece en una zona en que virtualmente no hay precipitaciones. Acevedo y Pastenes (1) proporcionan antecedentes que indican que el tamarugo sólo se distribuye en áreas en que el nivel freático se encuentra aproximadamente 4 a 16 m de profundidad y concluyeron que era poco probable que las condiciones atmosféricas permitiesen una absorción foliar de agua de alguna significación, sugiriendo que las raíces pivotantes descritas por Toro (12) y Sudzuki (11) debían alcanzar el nivel freático (o su franja capilar) abasteciendo al árbol de sus requerimientos hídricos. Otras observaciones informadas por estos autores señalan que el ascenso de agua en el suelo en forma de vapor desde el nivel freático, en una zona en que éste se encuentra a 9 metros de profundidad (área representativa de la mayor distribución de la especie), sólo alcanza a 9 mm al año, cifra insignificante si se considera el crecimiento de esta leguminosa. Al mismo tiempo, Mooney et al. (8), basados en antecedentes existentes y algunas determinaciones de terreno, concluyeron que la especie era una freatófita, aunque no proporcionaron evidencias directas ni descartaron la posibilidad de que en primavera se produjese algún movimiento de agua desde la parte aérea del árbol a la zona densa de raíces, que comúnmente ocurre en el suelo bajo la copa del árbol a una profundidad variable entre 30 y 100 cm de profundidad (12, 11 y Acevedo observaciones personales). En relación a la absorción foliar, Went (13) concluyó, en un análisis climático de la Pampa del Tamarugal, que había suficiente humedad en la columna de aire sobre el tamarugo como para suministrar una pérdida de agua que sustentase su crecimiento, si esta agua se condensa en forma de rocío sobre las hojas.
En este trabajo se analizan las relaciones hídricas del tamarugo considerando la posibilidad de formación de rocío en las hojas, y se entrega información adicional sobre parámetros ambientales de suelo, clima y agua en que se desarrolla esta especie, con el objeto de caracterizar su comportamiento hídrico.
MATERIAL Y METODOS
La investigación se realizó en las localidades de Refresco y La Tirana, ubicadas en la Pampa del Tamarugal, en marzo y diciembre de 1982, con observaciones de terreno por períodos de quince días en cada oportunidad.
Se determinó la temperatura de folíolos de tamarugo de la periferia de un árbol de 12 años de edad. Se insertaron termocuplas de cobre-constantar de 0,3 mm de diámetro que se leyeron en un microvoltímetro MJ-55 (Wescor). Las termocuplas se insertaron inmediatamente bajo la epidermis de las caras adaxiales de hojas que tuviesen una máxima emisividad. Al mismo tiempo, se determinó la humedad relativa del aire con un psicrómetro Assman de ventilación forzada, y el potencial total del agua y sus componentes en ramillas de 6–8 cm con una bomba a presión (10): Las determinaciones se realizaron en días nublados y despejados a intervalos de aproximadamente una hora, por períodos de 24 horas. Con estos antecedentes se calculó la concentración de vapor de agua (Cwv) a nivel del aire turbulento y del mesófilo de la hoja, además del punto de rocío de las hojas.
Se realizaron calicatas bajo la proyección de la copa del árbol, obteniéndose muestras de suelo en profundidad en triplicado, bajo la copa y fuera de ella, para su posterior análisis —en laboratorio— de contenido de humedad (W), conductividad eléctrica del extracto a saturación y potencial total del agua. Las muestras se pusieron en cajas de aluminio que se sellaron herméticamente con cinta adhesiva. El potencial total del agua (ψ) se determinó con un psicrómetro del tipo Richards y Ogata (9) y la conductividad eléctrica del extracto a saturación (CE) con una celda de conductividad.
PRESENTACION Y DISCUSION DE LOS RESULTADOS
La Figura 1 muestra curvas representativas para días nublados y despejados de la temperatura de las hojas, temperatura ambiental y temperatura del punto de rocío. Salvo en un punto, y en un período muy corto, las hojas no alcanzaron el punto de rocío, confirmando resultados previamente informados por Acevedo y Pastenes (1) para los meses de febrero y agosto. De la evidencia acumulada se desprende que la formación de rocío en la periferia del árbol es de baja probabilidad de ocurrencia y, por ende, que la absorción de agua líquida por los órganos aéreos de la planta es improbable bajo condiciones naturales tanto en meses de verano como de invierno.

Figura 1
Temperatura de hojas de P. tamarugo, temperatura ambiental y temperatura del punto de rocío, en tres días: a) 18 dic. (despejado); b) 3 marzo (nublado) y c) 5 marzo (despejado). Refresco, 1982.
En el supuesto que los estomas se abrieran durante algún período de la noche, el agua podría entrar a las células del mesófilo en forma de vapor, si el potencial del agua en las hojas fuese muy negativo y su temperatura lo suficientemente baja de manera que se crease un gradiente de concentración de vapor de agua hacia el interior. La Figura 2 muestra que éste no es el caso, y que la diferencia de concentración de vapor de agua siempre favorece un flujo desde el interior de las hojas hacia el exterior. Estos valores son también concordantes con los presentados por Acevedo y Pastenes (1), que incluyen otras épocas del año (invierno). Con posterioridad se demostró que los estomas están cerrados durante la noche (2), lo que hace virtualmente imposible el paso de vapor de agua al interior de la hoja debido a la baja conductividad.

Figura 2
Diferencia de concentración de vapor de agua entre los espacios intercelulares y el aire turbulento. Valores positivos señalan dirección hoja-aire turbulento en P. tamarugo. Refresco, 1982.
La Figura 3 muestra el curso diario del potencial total del agua en ramillas de tamarugo, señalando que a fines de primavera, éste fluctúa entre -1,3 y -3,0 MPa. El mayor valor de potencial se presentó al amanecer, concordante con una recuperación hídrica del árbol durante la noche. No se observó una disminución del potencial del agua de las hojas, la que debiera ocurrir si hay flujo savial descendente, ya que no existe recarga hídrica desde la atmósfera.

Figura 3
Curso diario del potencial total del agua (ψ) en ramillas de P. tamarugo. Refresco, 1982.
La posibilidad de un descenso savial nocturno en primavera no fue descartada por Mooney et al. (8). La Figura 4 muestra una mantención del potencial de presión durante la noche, lo que apoya con más énfasis lo anteriormente dicho. Cualquier movimiento hídrico de la parte aérea al suelo se vería inmediatamente reflejado en una disminución del potencial de presión, por cuanto las paredes celulares de los tejidos foliares de tamarugo son poco elásticas (3). El potencial de solutos (Figura 4), de hecho, aumenta en el período nocturno, lo que—junto al aumento del potencial total del agua—indica que los tejidos foliares están en un proceso de hidratación.

Figura 4
Valores de potencial total (ψ), potencial de presión (ψp), potencial de solutos (ψs) de ramillas de P. tamarugo. Refresco, 1982.
Es notable la disminución que experimenta el potencial de presión entre 8 y 10 horas (Fig.4), asociado a la disminución de potencial total del agua de las hojas. Este hecho induce un cierre parcial de los estomas a tempranas horas del día. La relación entre resistencia estomática y ψ se presenta en la Figura 5, y explica en parte el comportamiento estomático de esta especie durante el día, en que los estomas se mantienen totalmente abiertos por un período corto, temprano en la mañana (2).

Figura 5
Resistencia foliar a la difusión de vapor de agua (r) y potencial total (ψ) de P. tamarugo sometidas a ψm = -0,06 MPa y ψm = -0,3 MPa. Antumapu, 1983.
Agua en el suelo. La Figura 6 muestra perfiles hídricos típicos que se encuentran inmediatamente bajo la copa de los árboles de tamarugo plantados artificialmente. La masa de raíces se distribuye sólo bajo la copa y está asociada a altos contenidos de humedad. La figura muestra que inmediatamente fuera de la copa del árbol (en que no hay raíces) el contenido de humedad disminuye notablemente (en aproximadamente un 80% con respecto a la zona radicular). Es de interés señalar, sin embargo, que a pesar del alto contenido de humedad existente en la zona de alta densidad radicular, el potencial total del agua del suelo es bajo, del orden de -2,0 MPa, por efecto de la alta concentración de sales existentes. Sobre y bajo la zona de raíces el potencial se hace aún más negativo, siendo a los 20 cm de profundidad del suelo del orden de - 10,0 MPa y a los 70 cm del orden de - 5,0 MPa.

Figura 6
Contenido de humedad sobre base peso (W%) en dos perfiles de suelo de una misma calicata, uno bajo la copa del árbol y otro más alejado de la copa. Refresco, 1982.
En áreas de inundación de la Pampa por efecto del invierno altiplánico (zona de La Tirana), el tamarugo puede propagarse naturalmente; la salinidad es muy inferior a la existente en el área de los salares, en que se han realizado las plantaciones artificiales. La Figura 7 contrasta dos perfiles de salinidad para áreas de plantación (Refresco) y de propagación natural (La Tirana). En este último lugar, en tamarugo en crecimiento, se observaron sólo raíces pivotantes a una profundidad de más de 140 cm. El potencial total del agua en el suelo fluctuó entre - 12,0 y - 8,0 MPa entre 10 y 120 cm de profundidad en el perfil; el potencial del agua en las ramillas de los árboles fue de - 4,0 MPa a las 11:30 horas (tiempo solar). En este caso el agua provenía de una profundidad de suelo superior a la de la calicata realizada (140 cm de profundidad).

Figura 7
Perfiles de salinidad en suelos donde crece Prosopis tamarugo.
Area de plantación.
Zona de propagación natural.
Pampa del Tamarugal (Desierto de Atacama)
Las observaciones del árbol de La Tirana señalan que las raíces del tamarugo exploran el suelo húmedo para su abastecimiento hídrico a través de raíces pivotantes, y que la proliferación de una masa radicular relativamente superficial está de alguna forma condicionada a la salinidad presente en el perfil de suelo. Observaciones preliminares en plántulas cultivadas en invernadero, usando suelo salino de la Pampa, parecen sustentar esta última hipótesis por la alta proliferación radicular observada en estas condiciones.
Aravena y Acevedo (4) demostraron directamente que el origen del agua presente tanto en tamarugo como en el suelo a nivel de la masa radicular es el acuífero freático, es decir, que esta especie es una freatófita. El paso del agua del acuifero al suelo en la zona de la masa radicular se debe producir a través de las raíces pivotantes del árbol, y a que existe un gradiente de potencial hídrico entre el nivel freático y el primer metro de profundidad de suelo de 0,2 MPa/m, originado por la alta salinidad del suelo en que está inserta la masa radicular. Las resistencias involucradas en el flujo se desconocen y deben ser motivo de estudio.
Transpiración. Uno de los problemas importantes de resolver es la cuantificación de la tasa de transpiración del tamarugo. Su determinación directa es difícil por cuanto los árboles están obteniendo el agua de un acuífero que tiene recargas y descargas, cuya cuantificación es compleja. Fisher y Turner (16) observaron que la eficiencia en el uso del agua (EUA), definida como mg de materia seca producida/g de agua transpirada, era una constante para una especie si se consideraba un período relativamente largo y se corregía por el déficit de saturación de la atmósfera. Acevedo et al. (2) determinaron la EUA para plántulas de tamarugo de 6 a 12 meses de edad, encontrando un valor de 1,2 mg MS/g H2O transpirada en un amplio rango de estado hídrico de las plantas (potencial del agua en el suelo de - 0,06 MPa a - 3,0 MPa.). A partir de este parámetro es posible estimar la transpiración si se conoce el total de materia seca producida por el árbol. Oberpahuer (1982) midió el peso total de un tamarugo representativo de 50 años, encontrando 1533,7 kg de M.S. (los autores no conocen otras determinaciones similares). Si se supone una EUA constante de 1,2 y se considera una densidad de 100 árboles por há, la transpiración anual promedio para el período es de 256 mm/año. Por otra parte, si se asimila la curva de producción de hojas más frutos —obtenida por Elgueta y Calderón (5)— al crecimiento del árbol, se puede especular que el tamarugo transpira entre 100 y 400 mm anuales entre los años 10 y 40. Para establecer una curva de transpiración del árbol en función de la edad, se necesita con urgencia información sobre tasa anual de producción de materia seca total.
Proyecto financiado en parte por la Corporación de Fomento de la Producción, Chile; y por la Facultad de Ciencias Agrarias, Veterinarias y Forestales de la Universidad de Chile.
REFERENCIAS
1. ACEVEDO E., PASTENES J. 1980. Distribución de Prosopis tamarugo Phil. en la Pampa del Tamarugal (Desierto de Atacama). III Congreso Internacional de Zonas Aridas. La Serena, Chile. Enero, 1980.
2. ACEVEDO E., ARAVENA R., SOTOMAYOR D., ZENTENO V. Antecedentes sobre mecanismos de fijación de CO2 en Prosopis tamarugo Phil. Mesa Redonda Internacional de P. tamarugo. Arica-Chile. 11–15 de junio de 1984. (Este volumen.)
3. ACEVEDO E., SOTOMAYOR D., ZENTENO V. Parámetros hídricos de tejidos foliares en Prosopis tamarugo Phil. Mesa Redonda Internacional de P. tamarugo. Arica-Chile. 11–15 de junio de 1984. (Este volumen.)
4. ARAVENA R., ACEVEDO E. Estudio de la relación hídrica de Prosopis tamarugo Phil., mediante isótopos estables, oxigeno-18 y deuterio. Mesa Redonda Internacional de P. tamarugo. Arica - Chile. 11–15 de junio de 1984. (Este volumen.)
5. ELGUETA S.H., CALDERON S. 1971. Estudio del tamarugo como productor de alimento del ganado lanar en la Pampa del Tamarugal. Instituto Forestal, Santiago, Chile. Informe Técnico No 38.36 p.
6. FISCHER R.A., TURNER N.C. 1978. Plant productivity in arid and semiarid zones. Ann. Rev. Plant. Physiol. 29:277–317.
7. MEYNARD S.D., OBERPAHUER W.C. 1982. Caracterización de una población y determinación de su fitomasa en tamarugo. Estudio inédito.
8. MOONEY H.A., GULMAN S.L., RUNDEL P.W., EHLERINGER J. 1980. Further observations on the water relations of Prosopis tamarugo of the Northern Atacama Desert. Oecologia (Berl.). 44:177–180.
9. RICHARDS L.A., OGATA G. 1958. Thermocouple for vapor pressure measurement in biological and soil systems at high humidity. Science. 128:1089–1090.
10. SCHOLLANDER P.J., HAMMEL H.T., BRADTREET E.D., HEMMINGSE E.A. 1965. Sap pressure in vascular plants. Sci. 148:339–345.
11. SUDZUKI F. 1969. Absorción foliar de agua atmosférica en tamarugo. Bol. Téc. Ext. Exp. Agron. U. de Chile. 30:3–23.
12. TORO J.M. 1967. Desarrollo radical del tamarugo. Informe interno (mecanografiado). Facultad de Agronomia, Universidad de Chile.
13. WENT F.W. 1975. Water vapor absorption in Prosopis. In: Physiological Adaptation to the environment (F.J. Vernberg ed.). New York. Intext Educational Publishers.
Carlos López Ocaña
Ph.D., M. of Sc., Ingeniero Agrónomo
Prof. Principal Depto. Biología, Director de CIZA
Universidad Nacional Agraria
Lima, Perú
RESUMEN
Se estudió el crecimiento y la transpiración de Prosopis tamarugo Phil., bajo condiciones controladas, utilizando ocho termoperíodos diferentes. Se encontró que el crecimiento de tamarugo—expresado en longitud de tallos, número de hojas y peso seco de órganos vegetativos— fue mayor conforme la fototemperatura y la nictotemperatura fueron también mayores. En condiciones de baja radiación solar (i.e. menos de 300 g-cal/cm2/día), la combinación de días frescos con noches frías (día, 20° C; noche, 5° C) detuvo el crecimiento del tamarugo; sin embargo, la tasa de crecimiento se incrementó substancialmente conforme aumentó la radiación solar. El tamarugo mostró una gran flexibilidad para ajustar rápidamente sus procesos metabólicos a grandes cambios diurnos de temperatura. La síntesis de antocianina en tallos y espinas fue influenciada tanto por la interacción de la baja radiación solar en el día con noches frías (5°C), como por el repentino descenso de la fototemperatura combinado con noches frías. La alta radiación solar neutraliza la síntesis de antocianina e induce la reabsorción.
Bajo fotoperíodos de 30° C y el termoperíodo día 20° C - noche 20° C se produjeron hojas de cuatro pinnas en vez de las dos normales.
Hubo correlación positiva entre la transpiración y la radiación solar. La influencia del termoperíodo en la transpiración fue más clara en condiciones de baja radiación solar.
Los termoperíodos y valores de radiación solar óptimos para el crecimiento del tamarugo encontrados en este experimento, son similares a los presentes en su hábitat natural.
1. INTRODUCCION
Prosopis tamarugo Phil,es un árbol leguminoso de 10 a 20 metros de altura, endémico al desierto del norte chileno, que se ubica detrás de la cordillera de la Costa. Aquí, el tamarugo forma un bosque extenso a unos 1.000 metros de altura sobre el nivel del mar, en un área completamente plana conocida como la Pampa del Tamarugal, cuya superficie está cubierta en parte por una costra salina. Este es el único lugar del mundo donde se encuentran las plantas maduras de tamarugo.
Al igual que otras especies del género Prosopis, el tamarugo no sólo produce madera sino que también sirve como alimento para el ganado. Es así que desde hace muchos años, tanto el follaje como los frutos del tamarugo han sido usados exitosamente como forraje para ovinos y caprinos, con una carga animal de aproximadamente 4 carneros por hectárea, gracias a la calidad de las legumbres que contienen alrededor de 5% de proteína cruda y 55% de nutrientes digestibles totales (Kammalade y Kammalade Jr. 1965, en Cadahia, 1970). Su producción de frutos y follaje es significativa, variando entre 4.000 kg/há en plantaciones de 10 años de edad, a casi 15.000 kg/há en plantaciones de 35 años (Cadahia, 1970). La madera ha sido ampliamente utilizada; sin embargo, muy poco se conoce acerca de sus propiedades.
Además de las ventajas mencionadas anteriormente el tamarugo es excepcional en sus requerimientos hídricos, ya que sólo durante el primer semestre de su vida necesita de riego (cada 4 a 5 días en el vivero y cada 10 a 20 días después del trasplante).
Una vez establecido en el desierto, crece rápidamente sin irrigación, alcanzando de 2 a 2,5 metros de altura en 3 a 5 años (Botti y Sudzuki, 1970). El porcentaje de prendimiento es de 80 a 90% al término del primer año (Carvallo, 1970). Más aún, el tamarugo vive en suelos que presentan costras salinas de 0,10 a 0,40 m de grosor sobre un subsuelo arenoso, y en lugares donde la napa freática es tan profunda, que sus raíces —que penetran unos 7 a 8 metros—no la alcanzan (Toro, 1967, Sudzuki, 1969).
Considerando que se conoce muy poco acerca del crecimiento y desarrollo de esta especie excepcional, se diseñó un experimento bajo condiciones controladas, para estudiar el efecto de diferentes termoperíodos en su crecimiento y transpiración durante su primer año de vida después de la germinación. Este artículo se refiere exclusivamente a los estudios de crecimiento.
2. METODOS Y MATERIALES
Semillas de Prosopis tamarugo Phil., tratadas previamente con ácido sulfúrico, se hicieron germinar en vermiculita, en macetas de 8 cm de diámetro.
2.1 Tratamientos
Se estudió el efecto de 8 termoperíodos diferentes (tratamientos) en su crecimiento, en invernaderos con aire acondicionado del Laboratorio de Biología del Desierto, de la Universidad de Nevada en Reno, Nevada, de noviembre de 1971 a diciembre de 1972. Diez plántulas de un mes de edad fueron empleadas por tratamiento.
Uno de los invernaderos se mantuvo a 20° C durante el día y 10° C durante la noche y el otro a 30° C durante el día y 20° C durante la noche.
Se empleó un fotoperíodo de 16 horas de luz por 8 de oscuridad en todos los tratamientos. En los invernaderos se complementó la luz del día con luz fluorescente de 100 velas-pie de intensidad para completar el período de 16 horas luz. Un laboratorio con aire acondícionado, equipado con lámparas fluorescentes de 2.000 velas-pie se mantuvo a 10°C durante el día y 5°C durante la noche. El área central del fitotrón se mantuvo a 17°C.
En cada tratamiento, las plantas se pusieron en estructuras rodantes de fierro, ajustables, que eran movidas diariamente a las 8 y 18 horas, de acuerdo a los termoperíodos.
Todos las plantas se regaron diariamente con la solución nutritiva completa de Hoagland, ligeramente modificada (Went, 1957).
Los tratamientos fueron los siguientes:
Día 10° C-Noche 20° C (D10-N20)
Día 20° C-Noche 5° C (D20-N 5)
Día 20° C-Noche 10° C (D20-N10)
Día 20° C-Noche 20° C (D20-N20)
Día 30° C-Noche 5° C (D30-N 5)
Día 30° C-Noche 10° C (D30-N10)
Día 30° C-Noche 17° C (D30-N17)
Día 30° C-Noche 20° C (D30-N20)
De la decimosexta a la decimoctava semana de iniciados los tratamientos, se cambió temporalmente el termoperíodo a un grupo de plantas en 6 de ellos, procediéndose a una medición diaria de la longitud del tallo. Los cambios de temperatura aparecen en negrita:
De D20—N 5 a D30—N 5
De D20—N10 a D20—N20
De D30—N 5 a D30—N17
De D30—N17 a D30—N 5
De D30—N20 a D20—N20
De D20—N20 a D20—N10
2.2 Mediciones de Crecimiento
Todas las plantas se mantuvieron con un solo tallo. Se midieron semanalmente la longitud de los tallos y el número de hojas. Se obtuvo también el peso seco de hojas, tallos y raíces. Conforme las plantas crecían, se graduaban los tutores y los soportes metálicos para evitar el entrecruzamiento de tallos, facilitar las mediciones y asegurar una iluminación uniforme.
2.3 Mediciones de Transpiración
Se realizaron mediciones de transpiración en 3 períodos de 24 horas cada uno, 2 en el verano y uno a fines de otoño, empleando el método del transpirómetro desarrollado por Went (1957) y Stark (1967). Se utilizaron 3 plantas por tratamiento.
3. RESULTADOS
3.1 Tratamientos Iniciales
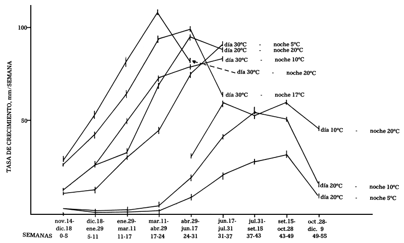
En la Fig. l se presentan las mediciones de crecimiento para períodos de 6 semanas. En la Fig. 2, se muestra la altura de las plantas de tamarugo al final de la 16a y 31a semana. Las plantas bajo el termoperíodo D30 N20 tuvieron la mayor tasa de crecimiento en las primeras 25 semanas, seguidos por los tratamientos D30-N17, D20-N20, D30-N5, D20-N10 y D20-N5, en ese orden.
Después de la 80a semana se discontinuaron las mediciones de longitud de tallo; en primer lugar del tratamiento D30-N20 y al finalizar la 37a semana de los tratamientos D30-N17, D20-N20, D30-N10 y D30 - N5. Como las plantas en los tratamientos D20-N10 y D20-N5 continuaron incrementando su tasa de crecimiento, las mediciones también continuaron hasta la 55a semana, en que el crecimiento decreció drásticamente. Se aplicó Tests-T entre coeficientes de regresión de crecimiento para un número de semanas seleccionado, en los diferentes tratamientos. Se encontró una diferencia significativa entre los tratamientos D30-N20 y D30-N17 hasta la 28a semana; luego, hubo un marcado decrecimiento de la tasa de crecimiento del primero, debido al tamaño de la maceta. No hubo diferencia significativa entre los tratamientos D30-N17 y D20-N20. La diferencia de crecimiento entre todos los otros tratamientos fue altamente significativa. A mayor temperatura diurna y nocturna, mayor fue la tasa de crecimiento.
3.2 Cambio Temporal de Termoperíodos
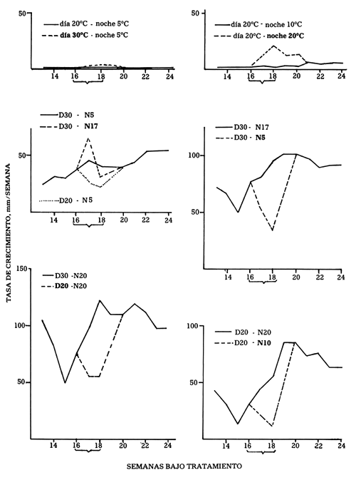
En la Fig. 3 se sintetiza el efecto del cambio temporal de la 16a a la 18a semana, tanto de la fototemperatura como de la nictotemperatura, en el crecimiento de las plantas de 6 de los tratamientos.
Los cambios de temperatura se muestran en negrita. En todos los casos hubo un incremento en la tasa de crecimiento cuando se elevó la temperatura, sea ésta diurna o nocturna y viceversa. Tanto las plantas en tratamiento D30-N5 como en D20-N10 agrandaron sus hojas cuando fueron cambiados a D30-N17 y D20-N20, respectivamente (Fig. 4).
Las plantas del tratamiento D30-N5 presentaron antocianina en el tallo y espinas cuando fueron cambiadas a D20-N5.
Retornadas las plantas a sus tratamientos originales, se observó que los cambios temporales mencionados produjeron un post-efecto (en la dirección tomada) en la tasa de crecimiento, por alrededor de dos semanas.
3.3 Continuación de los Tratamientos Iniciales
Se contó semanalmente el número de hojas de todas las plantas de los diferentes tratamientos durante las 5 primeras semanas, y cada dos semanas de la 6a a la 23a semana. El incremento en número de hojas fue mayor a mayor temperatura diurna o nocturna. Las plantas del tratamiento D20-N10 y D20-N5 incrementaron su producción de hojas después de la 23a semana, para disminuir drásticamente después de la 47a. De acuerdo a Test - T tomados entre los coeficientes de regresión de hojas por planta, para los diferentes tratamientos, no hubo diferencia significativa entre D30-N20 y D30-N17.
La proporción de vástago/raíz sobre base de peso seco fue también mayor conforme la temperatura, de día o de noche, fue mayor (Fig.5).
En el tratamiento D30-N17 las plantas mostraron una menor proporción vástago/raíz que aquéllas bajo D30-N20 debido al mayor crecimiento del sistema radicular en el segundo.
En la Fig. 6 se puede observar claramente que el crecimiento de tallo y hojas, expresado en peso seco, también aumenta con el incremento de la temperatura. Una característica sorprendente fue la producción de hojas con 4 pinnas (la especie tiene normalmente 2) en los tratamientos con fototemperaturas de 30°C y en D20-N20, siendo mayor el número de hojas por planta conforme la nictotemperatura fue mayor. El número de folíolos fue menor en las plantas de los tratamientos D20-N5 (7 a 10 pares) que en aquellos con 30°C de fototemperatura (12 a 13 pares).
3.4 Mediciones de Transpiración
El análisis de variancia inició una diferencia altamente significativa en favor de las tasas transpiratorias de verano con relación a las de otoño. No hubo diferencia significativa entre tratamientos. La tasa transpiratoria del tamarugo en ningún caso pasó de 1 × 10-4 de agua/cm2/minuto.
4. DISCUSION
4.1 Tratamientos Iniciales
Comparando las plantas de los tratamientos usados, la diferencia en crecimiento fue dramática, especialmente en condiciones de baja radiación solar del invierno. En esta época la tasa de crecimiento del tamarugo fue fuertemente influenciada tanto por la foto como por la nictotemperatura; es más, la combinación de días frescos (20° C) con noches frías (5 a 10° C) detuvo su crecimiento.
Con la alta radiación solar del verano de 1972, la tasa de crecimiento de tamarugo aumentó en todos los tratamientos, siendo particularmente notable en D20-N5 y D20 - N10.
El mayor incremento de alargamiento del tamarugo fue de 122 mm/semana en el termoperíodo D30-N20, muy por encima del mayor incremento (90 mm/semana) alcanzado por algarrobo (Prosopis juliflora) (SW DC.) en un experimento paralelo.
Analizando las tasas de crecimiento presentadas en la Fig. 1, vemos que en todos los tratamientos éstas mantuvieron sus incrementos hasta la 24a–28a semana. En esta fecha las plantas del tratamiento D30-N20 medían 2 m. Alcanzada dicha talla, la tasa de crecimiento decreció debido al pequeño tamaño de las macetas y el consiguiente problema hídrico.
Los incrementos en tamarugo del tratamiento D30-N5 fueron sorprendemente buenos, revelando la gran flexibilidad de esta especie para ajustar rápidamente sus procesos metabólicos a termoperíodos tan extremos (25° C de cambio cada 12 horas).
De acuerdo a Went, 1957, el termoperíodo óptimo para una mayoría de especies es aquel con diferencias de 3 a 7° C entre la mínima y la máxima; para tamarugo fue 10° C, enfatizándose que aun con 25°C de diferencia determinó excelente crecimiento.
Al poco tiempo de iniciado el experimento, las plantas de los tratamientos con 5°C de nictotemperatura, se pusieron antociánicas en los entrenudos terminales y espinas estipulares. Es bien conocido que la síntesis de la antocianina es influenciada por cambios de altas a bajas temperaturas (Martin et al. 1972) y por fotoperíodos largos (Went 1957). En el tamarugo encontramos posteriormente que la radiación solar también influye en dicho proceso. En efecto, la antocianina desapareció primero de las plantas en D30-N5 y después de aquellos en D20-N5 conforme la radiación solar aumentó a fines de la primavera y comienzos del verano, lo que mostró que la alta radiación solar (i.e., arriba de los 400 g-cal/cm2/día) había neutralizado el efecto de la interacción fotoperíodo largo-baja nictotemperatura.
Otra interesante observación fue el marchitamiento temporal de las puntas de los vástagos durante las primeras 8 semanas, en plantas bajo tratamientos de 5°C en las noches. Aparentemente la baja temperatura nocturna incidió en la absorción de agua del todavía pequeño sistema radicular, siendo mayor la transpiración que la absorción (Kozlowski, 1964). Este efecto fue neutralizado experimentalmente, elevando la temperatura a 10°C alrededor de la maceta. Posteriormente, cuando las raíces crecieron lo suficiente, ya no se presentó el marchitamiento.
4.2 Efecto del Cambio Temporal de Termoperíodo
De la Figura 3 se deduce claramente que las plantas más afectadas fueron las cambiadas de D20-N10 a D20-N20 y de D20-N20 a D20-N10.
Estos resultados corroboraron lo que era evidente con sólo mirar las plantas de los tratamientos originales D20 - N10 y D20 - N20; es decir, que 10° C de diferencia en nictotemperatura eran críticos para el crecimiento del tamarugo cuando se combinaba con días frescos (20°C). La dramática diferencia entre los dos tratamientos parece resultar de la mayor translocación de azúcar en noches de alta temperatura (20°C) seguidos de días frescos. Una indicación de aquello fue la marcada preferencia de pulgones (Aphidos) por los puntos de crecimiento y hojas tiernas, temprano en las mañanas, en el tratamiento D20 - N20.
Los resultados del cambio de la fototemperatura de D30 - N5 a D20-N5 corroboraron el efecto de la baja fototemperatura en la síntesis de antocianina. En efecto, las partes superiores de los vástagos se tornaron rojizas durante las 2 semanas en que la temperatura diurna se mantuvo en 20°C.
4.3 Continuación de los Tratamientos Iniciales
Durante la primavera de 1972 hubo cambios substanciales en el crecimiento de las plantas de tamarugo en los tratamientos D20 - N5 y D20 - N10, que incrementaron sus tasas 7 y 5 veces, respectivamente, en relación con los meses de invierno. Esto indica un aumento notable de la fotosíntesis neta en los meses de primavera, que presenta un promedio diario de radiación solar mayor de 550 g-cal/cm2.
Un efecto morfogenético del termoperíodo, acentuado por el incremento de la radiación solar, fue la producción de hojas con 4 pinnas en todas las plantas crecidas en fototemperaturas de 30° C y en aquellas de D20 - N20. Cuanto mayores fueron la foto y la nictotemperatura, mayores fueron el tamaño de las plantas y el número de hojas con 4 pinnas producidas por plantas. La formación de este tipo de hoja justamente por las plantas grandes, fue probablemente una consecuencia del gran vigor determinado por las óptimas condiciones ambientales. Las hojas en los tratamientos D20 - N5 y D20 - N10 fueron siempre bipinnadas, aun durante su mejor época de crecimiento.
Como era de suponer, tallos, raíces y peso seco de las hojas aumentaron conforme fueron mayores la foto y nictotemperatura. El caso fue el mismo para las proporciones vástago/raíz. Un efecto similar de la temperatura en el desarrollo radicular fue observado por Cochrane en pimientos y por Went en tomates (Went, 1945).
Los tratamientos D20 - N5 y D20 - N10 fueron los únicos que continuaron más allá de las 37 semanas, llegando hasta la 55a semana. En estos tratamientos las plantas alcanzaron sus máximos incrementos de crecimiento en el otoño, cuando la radiación solar estaba ya bien por debajo de los 400 g-cal/cm2/día. Más tarde, en el invierno de 1972, estas plantas disminuyeron su ritmo de crecimiento drásticamente, a un mínimo similar al obtenido en el invierno anterior (Fig. 1). En este caso, el factor limitante fue aparentemente la radiación solar.
4.4 Mediciones de Transpiración
Resultados preliminares de mediciones de transpiración indicaron que el efecto directo de la radiación solar en la transpiración del tamarugo y la duración de su post-efecto dependen de la cantidad de energía de onda corta que las plantas pueden absorber durante el día. A mayor radiación solar, más fuerte parece ser su efecto inmediato y post-efecto, y menos clara la influencia del termoperíodo en la transpiración. El post-efecto de la radiación solar disminuye marcadamente durante la noche. El efecto controlador del termoperíodo sobre la transpiración es más claro bajo condiciones de baja radiación solar.
Resulta bastante importante el hecho de que las tasas de transpiración obtenidas bajo condiciones controladas concuerdan con las tomadas en el medio natural del tamarugo. Los valores obtenidos en ambos casos estuvieron muy por debajo de 1 × 10-4 de agua/cm2/minuto, que indica una fuerte resistencia a la transpiración.
5. CONCLUSIONES
5.1 En condiciones de baja radiación solar (i.e. por debajo de 300 g-cal/cm2/día), el crecimiento del tamarugo es tan fuertemente influenciado por el termoperíodo que, por un lado, la combinación de días fríos con noches frías (D20 - N5) detiene casi por completo el crecimiento, y, por otro lado, la combinación de días cálidos con noches cálidas (D30 - N20) determina grandes tasas de crecimiento.
5.2 La alta radiación solar (i.e. arriba de 400 g-cal/cm2/día) aumenta el crecimiento del tamarugo; aun en el termoperíodo D20 - N5 el crecimiento aumenta considerablemente. Su postefecto es también fuerte.
5.3 Prosopis tamarugo muestra una tasa de crecimiento relativamente alta aun en termoperíodos extremos, como el de D30 - N5, lo que revela la gran flexibilidad de esta especie para ajustar rápidamente sus procesos metabólicos a una fluctuación rítmica de 25°C cada 12 horas.
5.4 Cuando la temperatura diurna o nocturna es incrementada temporalmente, aumenta el crecimiento del tamarugo, y viceversa.
5.5 Otras expresiones de crecimiento, como el número de hojas por planta, peso seco de hojas, tallos y raíces, relaciones vástago/raíz y mediciones de longitud total de tallos después de una poda, también indican que el crecimiento del tamarugo es mayor cuanto mayor es la foto o nictotemperatura.
5.6 La síntesis de antocianina en tallos y espinas del tamarugo es determinada por la interacción de una baja radiación solar en el día con noches frías (5°C) o por una brusca disminución de la fototemperatura combinada con noches frías. La alta radiación solar no sólo neutraliza la síntesis del pigmento sino que también determina su reabsorción. La reabsorción y bloqueo de la síntesis del pigmento son más rápidos en días cálidos (30°C) que en días frescos (20°C).
5.7 Durante los primeros meses de edad, las plántulas experimentan una marchitez temporal cuando están sometidas a bajas temperaturas nocturnas (5°C).
5.8 La interacción de altas temperaturas diurnas y nocturnas con una alta radiación solar tiene efecto morfogenético en tamarugo; en efecto, produce hojas con 4 pinnas en lugar de 2 normales cuando la fototemperatura es de 30° C, y también cuando el termoperíodo es D20 - N20. Cuanto mayor es la temperatura diurna y nocturna, mayor es el número de hojas con 4 pinnas producidas por planta.
5.9 Resultados preliminares indican bajas tasas transpiratorias en tamarugo.
5.10 Las condiciones ambientales óptimas para el crecimiento del tamarugo encontradas en este experimento coinciden con las existentes en su lugar de origen.
REFERENCIAS
BOTTI C., SUDZUKI F. 1970 Relaciones hídricas del tamarugo Prosopis tamarugo Phil., en la localidad de Canchones. Universidad de Chile. Santiago, Chile.
CADAHIA D. 1970. Informe sobre el plan forestal ganadero Pampa del Tamarugal, Depto. de Tarapacá. Corporación de Fomento de la Producción. Estudio elaborado para el BID, Santiago, Chile.
CARVALLO N. 1970. Determinación de tasas de riego en la plantación de Prosopis tamarugo Phil. Tesis para optar al título de Ingeniero Forestal, Universidad de Chile, Santiago, Chile.
KOZLOWSKI T.T. 1964. Water metabolism in plants. Harper and Row Publishers, New York.
MARTIN C.L., PAYNOT & J.C. VALEE. Quelques effets de la temperature sur la floraison, le metabolisme aminé et l'anthocyanogénese, phytotronique et prospective horticole. 18 Congres International de L'Horticulture. Gauthier - Villars Editeur. Paris.
STARK N. 1967 The transpirometer for measuring the transpiration of desert plants. Journal of Hydrology 5: 143–157.
SUDZUKI F. 1969. Absorción de agua atmosférica en tamarugo (Prosopis tamarugo Phil.) I. Observaciones sobre riego foliar en plántulas de tamarugo. II. Aplicación foliar de THO en plántulas de tamarugo. III. Absorción foliar de agua atmosférica en tamarugo. Universidad de Chile. Est. Exp. Agron. Bol. Téc. 3-: 1–23, Santiago, Chile.
TORO J.M. 1967. Desarrollo radicular del tamarugo. Informe Interno. Fac. de Agronomía de la Universidad de Chile, Chile.
WENT F.W. 1945. Plant growth under controlled conditions V. The relation between age, light, variety and thermo-periodicity of tomatoes. Am. J. Bot. 32 (8): 469–479.
WENT F.W. 1957. Experimental Control of Plant Growth. Vol. 17. Chronica Botanica Co., Waltham, Mass.
Fig. 1: Tasas de crecimiento (mm/semana) de Prosopis tamarugo, bajo los diferentes termoperíodos, para períodos sucesivos de 6 semanas (Nov. 14 1971 a Dic. 9, 1972).

![]() | ![]() |
![]() | ![]() |
Fig. 2: Prosopis tamarugo bajo los diferentes termoperíodos. Arriba: 16a semana. Abajo: 31a semana. De izquierda a derecha, plantas de los tratamientos D20-N5, D20-N10, D20-N20, D30-N5, D30-N10, D30-N17 y D30-N20.

Fig. 3: Efecto del cambio temporal de termoperíodos (15 días) en el crecimiento de Prosopis tamarugo. Los cambios de temperatura aparecen en negritas.
![]() | ![]() |
Fig. 4: Planta de tamarugo del tratamiento D20-N10. Izquierda: hojas grandes producidas por el cambio de la nictotemperatura a 20° C (efecto de la temperatura). Derecha: La misma planta 10 semanas después; las hojas grandes en el medio del tallo son las mismas de la planta de la izquierda, y las hojas grandes de la parte superior han resultado del efecto del incremento de la radiación solar en la primavera (efecto de la radiación solar).

Fig. 5: Proporción vástago/raíz, sobre base peso seco, de plantas de tamarugo de 9 meses de edad, creciendo bajo diferentes termoperíodos.

Fig. 6: Peso seco de hojas y tallos de plantas de tamarugo de 9 meses de edad, creciendo bajo diferentes termoperíodos.
Fusa Sudzuki H.
Ingeniero Agrónomo
Todo organismo vivo debe adaptarse al ambiente para sobrevivir y reproducirse. La selección natural, la inexorable fuerza tras esa adaptación, provee a los organismos con una enorme variedad de destrezas, capacitándolos para utilizar los recursos locales. Cada organismo, por lo tanto, debe ser considerado como un microcosmos dentro de un inmenso ecosistema y, para poder apreciar el todo, debemos entender sus partes, es decir, al individuo.
La vida de un vegetal en un medio xerofítico está supeditada a su capacidad para desarrollar un adecuado sistema radical y una determinada morfología foliar que le permitan realizar en forma equilibrada sus procesos biológicos. Las plantas están intercorrelacionadas con el ambiente a través de sus propios reguladores internos, los que controlan sus modificaciones de acuerdo con las condiciones ambientales.
Según Etherington (1978), la capacidad de sobrevivir de una especie vegetal está íntimamente relacionada con la mayor o menor habilidad que posea para realizar cambios estratégicos. Un ejemplo cotidiano, que se presenta prácticamente en todos los ambientes, es el rápido cambio, incluso en fracciones de segundo, de la tasa respiratoria y de fotosíntesis.
Varios autores (Cunningham y Strain 1969; Smith y Nobel 1977a, 1977b y 1978; Ehleringer et al. 1976) han discutido los cambios estacionales en la morfología de hojas de arbustos perennes del desierto, relacionando temperatura, períodos secos del año, efecto de la radiación, humedad del suelo y temperatura foliar, encontrando diversas relaciones morfológicas y climatológicas.
El propósito del presente trabajo es únicamente evidenciar ciertos cambios morfológicos que sufren los folíolos de las hojas de tamarugo al desarrollarse en ambientes diferentes, y sólo pretende hacer una descripción de lo observado sin llegar a analizar sus causas, puesto que la variabilidad del material obliga a un estudio más metódico y profundo.
MATERIALES Y METODOS
Las muestras de hojas utilizadas en el estudio se obtuvieron de árboles de la Pampa del Tamarugal (69° 35'W y 20° 30'S a 1.200 m.s.n.m.) provenientes de 14 lugares, donde el suelo y profundidad del agua subterránea eran diferentes. Además, se incluyó material proveniente de San Pedro de Atacama (68° 20'W y 22° 55'S a 2.436 m.s.n.m.), Caldera (70° 50'W y 27° 5'S a 10 m.s.n.m.) y de Santiago (70° 40'W y 33° 30'S a 520 m.s.n.m.). Asimismo, se comparó la anatomía de folíolos de plántulas desarrolladas en Canchones (Pampa del Tamarugal) y de Santiago en condiciones de invernadero. Las observaciones se hicieron en material fresco y en preparaciones permanentes.
Como fijador se usó FAA; se deshidrató con la serie alcohol etílico y se incluyó en parafina (Johansen 1940). Los cortes de material fresco y los fijados se tiñeron con diversos colorantes y combinaciones de ellos (Johansen 1940), de las cuales se prefirió trabajar con Safranina-picro-anilina azul.
Para las observaciones de los cortes se utilizó un microscopio óptico con fase contrastada, Nikon Labofhot.
Aun cuando taxonómicamente no se han diferenciado formas de tamarugo, en la Pampa pueden fácilmente visualizarse dos hábitos de crecimiento: uno, cuya copa está formada por ramas rígidas y bastante erectas, y otro, cuyas ramas tienden a doblarse. El primero normalmente es poco fructífero comparado con la otra forma. Con el objeto de ver si sus folíolos mostraban diferencias anatómicas, se colectaron separadamente, denominándoseles Fastigiado y Péndulo, respectivamente.
En el Cuadro 1 se detalla el tipo de material con el cual se trabajó.
DESCRIPCION DEL MATERIAL
La Fig. 1 resume en forma esquemática la típica estructura de un folíolo adulto de una hoja de tamarugo.

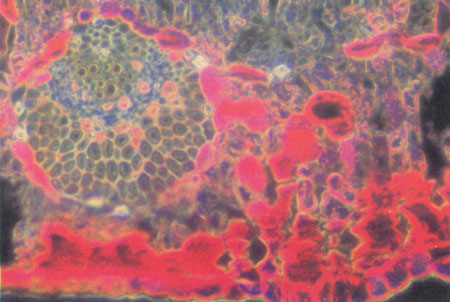
Figura 1. Esquema de corte transversal de un folíolo de hoja de tamarugo. Las medidas indicadas corresponden a mínimas y máximas registradas. A. Estoma de epidermis adaxial; a. células especiales (C.E.), b. vaina del haz con las células que adquieren la misma tonalidad que las C.E. con los colorantes usados. B. Epidermis abaxial.
Los folíolos paripinados de 6 a 12 pares de las hojas de tamarugo se caracterizan por ser glabros, elíptico-oblongos, de 3 a 6 mm de largo y 1 a 2 mm de ancho, ápice obtuso o ligeramente apiculado.
CUADRO 1
Origen de las muestras estudiadas, indicando características relevantes del suelo, tipo del árbol
y fecha de recolección
| Localidad | Características | Tipo de árbol | Fecha |
|---|---|---|---|
| Quillagua | Suelo húmedo cercano Río Loa, muy salobre | Fastigiado | 21-XII-68 |
| Quillagua | Péndulo | 29-XII-68 | |
| Barreda | Costra salina de 5 cm | Fastigiado | 29-XII-68 |
| Barreda | Napa a 8 m | Péndulo | 29-XII-68 |
| Barreda | Péndulo | 18-VII-69 | |
| Yamará | Bosque natural. | Fastigiado | 29-XII-68 |
| Costra salina de 5 cm. Napa a 8–10 m | Péndulo | 29-XII-68 | |
| Sulfatera | Agua casi superficial altamente salina | Fastigiado | 28-XII-68 |
| Péndulo | 28-XII-68 | ||
| Junoy | Costra salina de 20 cm. | Fastigiado | 19-I-68 |
| Napa a 14 m | Péndulo | 19-I-68 | |
| Fastigiado | 26-III-69 | ||
| Péndulo | 26-III-69 | ||
| Fastigiado | 27-VII-69 | ||
| Péndulo | 27-VII-69 | ||
| Sta. Emilia | Arenal sin costra salina. | Fastigiado | 18-VII-69 |
| Péndulo | 18-VII-69 | ||
| Fastigiado | 21-XII-69 | ||
| Péndulo | 21-XII-69 | ||
| Canchones | Arenal sin costra salina. Napa a 12 m | Fastigiado | 22-XI-68 |
| Péndulo | 22-XI-68 | ||
| Canchones | Plántula de vivero | 20-IX-69 | |
| Gatica | Costra salina 40 cm. | Fastigiado | 24-I-68 |
| Napa a 8–10 m | Péndulo | 24-I-68 | |
| Fastigiado | 18-III-69 | ||
| Péndulo | 18-III-69 | ||
| Refresco | Costra salina delgada 3–5 cm. Napa a 12 m | Fastigiado | 24-I-68 |
| Péndulo | 24-I-68 | ||
| Fastigiado | 18-VII-68 | ||
| Péndulo | 18-VII-68 | ||
| Tirana | Bosque natural, arenal. | Fastigiado | 26-III-69 |
| Péndulo | 26-III-69 | ||
| Cortina | Costra salina 20 cm. | Fastigiado | 26-III-69 |
| Napa a 10 m | Péndulo | 26-III-69 | |
| Fastigiado | 18-VII-69 | ||
| Péndulo | 18-VII-69 | ||
| Recreo | Suelo arcilloso-salino. | Fastigiado | 26-III-69 |
| Napa a 8–14 m | Péndulo | 26-III-69 | |
| Victoria | Suelo muy arcilloso, costra salina 15 cm. Napa a 2 m | Fastigiado | 26-III-69 |
| Péndulo | 26-III-69 | ||
| Fastigiado | 18-VII-69 | ||
| Péndulo | 18-VII-69 | ||
| Santa María | Bosque natural. | Fastigiado | 18-VII-69 |
| Arenal sin costra salina. | Péndulo | 18-VII-69 | |
| Canchones | Arenal, árboles bajo riego constante id anterior, pero sin riego desde 1973 | Fastigiado | 18-I-67 |
| Fastigiado | 10-XI-83 | ||
| San Pedro | Fastigiado | 18-XII-69 | |
| Atacama | |||
| Caldera | Arenal, cercano al mar | Arbolito de 3 años muestras tomadas | 01-IX-69 |
| Santiago | Invernadero bajo riego | Plántula | 04-V-71 |
| Santiago | Suelo franco-arcilloso, bajo escaso riego | Fastigiado | 20-XI-83 |
Epidermis. La epidermis está recubierta por una cutícula de grosor variable (2,5 a 10μ). Las células epidermales se presentan irregulares en cuanto a forma y tamaño, pudiendo ser triangulares, rectangulares o irregularmente poliédricas. Cabe hacer notar que son teñidas fácilmente con los colorantes usados. Algunas veces, en mayor o menor número, dentro del citoplasma se presenta un cuerpo esférico que no toma los colorantes.
La cara adaxial presenta un promedio de 200 estomas por mm2 y la abaxial 120/mm2. Hull y Bleckmann (1977) dan cifras de 217 y 97/mm2, respectivamente, para plántulas desarrolladas bajo condiciones de invernadero.
En ambas caras los estomas se encuentran ligeramente hundidos en la epidermis y pueden o no estar complementados por células subsidiarias en disposición actinocítica o paracítica (Esau, 1965) en la adaxial y abaxial, respectivamente (Fig. 2).

Figura 2. Estomas: A. adaxial, distribución actinocítica.; B. abaxial, disposición paracítica. El número y organización de las células subsidiarias difieren en uno u otro estoma.
Bajo la epidermis, intimamente relacionadas con ella, como si fuese su propia prolongación, se presentan células subepidermales que se caracterizan por su transparencia y falta de afinidad con los colorantes.
Mesófilo. Por presentar estructura isolateral, en los folíolos del tamarugo el tejido de empalizada se organiza bajo ambas epidermis. Está formado por tres a cinco corridas de células elongadas, portadoras de los cloroplastidios, siendo las del lado adaxial ligeramente más largas y angostas (largos mínimos y máximos 30 a 50 μ por 6 a 8 μ de ancho), que las de la cara abaxial (16 a 24 μ y 8 a 12 μ de ancho).
Llama fuertemente la atención, entre las células de empalizada, la presencia de células cónicas de mayores dimensiones (Fig. 1), a las cuales nos referiremos como “células especiales” (C.E.), las que, al igual que las células epidermales, se tiñen fuertemente con los colorantes usados. Es de hacer notar que al usar yodo yodurado o solución Schulze, sus paredes no adquieren el característico color amarillo o azul, respectivamente, típico de la celulosa (Raulin y Takahashi, 1952). Estas células están formadas por un solo elemento o por 2 a 4 segmentos, como puede verse en la Fig. 1.
Las C.E., posiblemente, corresponden a las estructuras más peculiares en la anatomía del folíolo. Siempre son de dimensiones mayores que las células de empalizada, y su número es bastante variable, logrando en algunos casos sobrepasar al de las de empalizada, especialmente en la cara adaxial y, de preferencia, bajo el haz conductor central en la cara abaxial. Su presencia ha sido difícil de correlacionar con alguno de los parámetros estudiados.
El mesófilo, salvo algunas excepciones, se presenta compacto y carente de espacios intercelulares, y las células entre el tejido de empalizada, cuando existen, están representadas por algunas grandes células isodiamétricas de paredes delgadas, con escasos o sin cloroplastidios.
Tejido Conductor. Está constituido por haces colaterales, pero muchas veces en el haz central el floema es más prominente que el xilema, rodeándolo casi completamente, constituyendo entonces una estructura del tipo semianficribal. Es posible que el tejido de resistencia esté representado por colénquima o fibras, cuyas paredes pueden ser delgadas o muy prominentes. Tanto en el floema como en el xilema se presentan idioblastos con cristales poligonales y otros idioblastos, más escasos, que contienen ciertas substancias que adquieren el colorante de las C.E. Los vasos y traqueidas son del tipo anillado.
Otro hecho importante de hacer notar es la presencia de una vaina del haz formada por células isodiamétricas que se tiñen tan fuertemente como las células especiales y, al igual que en ellas, no es posible medir el grosor de sus paredes. Esta característica, y también porque continúan hacia los hacecillos, hace difícil definirlas como tipicas células Kranz (Hattersley y Browing, 1981) o “distinctive cells” (Tateoka, 1958).
Anatomía del folíolo en desarrollo. Los folíolos en desarrollo, salvo algunas excepciones, no muestran diferencias morfológicas visibles a nivel estructural (Fotos 1 y 13), las que sólo empiezan a manifestarse con posterioridad.
Se caracterizan por ser totalmente isolaterales, con delgada cutícula (0,10 a 0,15 μ) y carecen de células subepidermales y de C.E. Las células que formarían la vaina del haz se presentan transparentes, desprovistas aparentemente de cloroplastidios y sin afinidad con los colorantes.
DISCUSION DE LOS RESULTADOS
El tamarugo no puede ser clasificado como un árbol estrictamente caducifolio, puesto que sus hojas están continuamente cayendo y al mismo tiempo siendo renovadas durante todo el año. Esto quiere decir que, después del gran flujo primaveral, continúan formándose nuevas hojas para reemplazar a las que están continuamente abscidiendo. Solamente cuando el invierno se presenta con temperaturas nocturnas extremadamente bajas (-5 a -7° C), pierde totalmente sus hojas. En caso contrario, como sucedió en 1969 (Cuadro 1), los árboles mantienen sus posibilidades de continuar desarrollando nuevas hojas. Esta situación ha complicado extremadamente el estudio, puesto que al colectar las muestras no se consideró esta peculiaridad, debido a que el principal objetivo, determinado por observaciones previas, era encontrar posibles relaciones entre ambiente y morfología. Sin embargo, al analizar las muestras colectadas, se pudo comprobar que la edad de la hoja y la fecha de colección eran también elementos importantes de considerar.
La morfología de la hoja ha sido especialmente estudiada desde el punto de vista de su eficiencia en la captura de la energía y de la resistencia que pueden oponer sus tejidos a la pérdida de agua. Sin embargo, no todas las adaptaciones xéricas protegen a las plantas contra pérdidas de agua, y no todas las modificaciones de xeromorfismo están relacionadas con hábitos xéricos (Sudzuki 1982).
Diversos estudios ecofisiológicos recientes se están refiriendo al efecto del ambiente sobre la morfología de las hojas y su relación con el comportamiento fisiológico (Smith y Nobel, 1977, 1977b y 1978; Chabot y Chabot, 1977; Berlin et al., 1982; Cutter, Rains y Loomis, 1977).
Turner y Begg (1981) consideran que las plantas deben ser seleccionadas por la habilidad de adaptarse a impredecibles déficit. Berlin et al. (1982) consideran que las plantas, incuestionablemente, responden a las diferencias hídricas en forma variada según las condiciones ambientales, y que no sólo provocan modificaciones morfológicas, sino también influyen sobre la estructura de ciertos orgánulos citoplasmáticos (mitocondrios, peroxisomas, etc.). Asimismo, Van Volkenburg y Davies (1977) consideran que la estructura foliar es modificada por cambios en los factores ambientales y que estas estructuras modificadas caracterizan las relaciones hídricas y otros procesos fisiológicos. Según Harris y Cambell (1981), las plantas del desierto pueden vivir sólo si tienen la capacidad de desarrollar con rapidez adaptaciones fisiológicas y morfológicas que les permitan ambientarse a las condiciones que impone el desierto, medio que presenta los más altos rangos de desniveles climáticos.
El análisis del material observado determinó:
que no se observaron diferencias morfológicas entre los folíolos de plantas fastigiadas y pendulas;
que, a grandes rasgos, la anatomía está muy relacionada con el estado de desarrollo del folíolo, y
que el material correspondiente a la Pampa del Tamarugal presenta ciertas diferencias entre sí, pero que éstas son muy notorias al ser comparado con el material proveniente de San Pedro de Atacama, Santiago y Caldera.
CUADRO 2
Resumen de las características más importantes encontradas en la anatomía de los folíolos de las
hojas de tamarugo. Las localidades se agruparon según la profundidad de la napa subterránea, se
incluye dato general sobre tipo de suelo y presencia de costra salina superficial. De la anatomía
sólo se selecciona: grosor de cutícula y presencia de células subepidermales. Se incluyen algunas
características sobre las células especiales (C. E.)
| Napa superficial 2–4 m | Tipo suelo | Costra salina cm grosor | Fecha mes | Grosor cutícula μ | Celulas subepidermales (*) | C.E.(**) Características |
|---|---|---|---|---|---|---|
| Quillagua | Arcillo-arenoso | sin | XII-68 | 5–7 | 2/3-1/2 | No seg. 4:5 |
| Barreda | Arcillo-arenoso | sin | XII-68 | 9–10 | 2/3 | No seg. 4:3 |
| VII-69 | 4–5 | No visibles | Seg. 4:2 | |||
| Perforadas | ||||||
| Recreo | Arcilloso | sin | III | 3–4 | 1/2 | No seg. 3:4 |
| Perforadas | ||||||
| Sulfatera | Arcilloso | sin | XII-68 | 3,5–9 | 1/3-2/3 | No seg. 11:10 |
| Victoria | Arcilloso | 15–30 | III-69 | 2,5–3,5 | Escasas | Escasos 4:3 |
| Yamará | Arcillo-arenoso | 5 | XII-68 | 5–7,5 | 1/2 | Seg. 16:5 |
| Napa Regular | Tipo suelo | Costra salina cm grosor | Fecha mes | Grosor cutícula μ | Células subepidermales | C.E. Características |
|---|---|---|---|---|---|---|
| Canchones (*) | Arenal | sin | IX-67 | 4–5 | No visibles | No seg. 1:0 |
| IX-83 | 4–5 | No visibles | No seg. 9:7 | |||
| Junoy | Areno-arcilloso | 7–15 | III-I y | 2,5–5 | Escasas | No seg. 10-9 |
| III-68 | Perforadas | |||||
| VII-69 | 2,5–5 | 1/2 | No seg. 5-4 | |||
| Perforadas | ||||||
| Refresco | Areno-arcilloso | 7–15 | I-68 | 2,5–5 | 1/2-2/3 | No seg. 3:2 |
| VII-68 | 5–7,5 | Escasas | No seg. 5:13 | |||
| Gatica | Areno-arcilloso | 40 | I-68 | 6–7 | No visibles | No seg. 3:6 |
| VII-69 | 4–5 | No visibles | No seg. 5:4 | |||
| Perforadas | ||||||
| Cortina | Areno-arcilloso | 40 | I-69 | 2,5–4 | No visibles | No seg. 5:4 |
| Profunda | ||||||
| Tirana | Arenal | No | VII-69 | 2.5–3 | Escasas | Seg. 8:10 |
| Sta. Emilia | Arenal | No | XII-69 | 2.5–3 | 1/4 | Seg. 2:4 |
| VII-69 | 2.5–6 | 2/3 | No seg. 5:2 | |||
| Perforadas | ||||||
| Sta. María | Arenal | No | VII-69 | 3–5 | Escasas | No seg. 2:0 |
XII-I = Verano, caracterizado por altos % H.R. nocturna
VII = Invierno, normalmente con % H.R. y temperaturas nocturnas más bajas.
El Cuadro 2, que agrupa al material de la Pampa según la profundidad de la napa subterránea donde los árboles se desarrollaban, muestra en forma resumida y global las similitudes o diferencias de los parámetros más relevantes. Como puede observarse, aparentemente ni la profundidad de la napa, la calidad del suelo ni la fecha de colección influyen notoriamente en las características morfológicas consideradas. Sin embargo, en forma particular, existen notables modificaciones, que en forma tentativa pueden ser atribuidas más a diferencias en estados de desarrollo del folíolo que a factores ambientales. Esta situación puede deberse especialmente a lo explicado anteriormente, en el sentido de que por su peculiar desarrollo foliar, ni caducifolio ni perennifolio, puede encontrarse en un mismo momento toda la gama de estados de desarrollo, y la falta de grandes diferencias puede deberse a que todas las localidades de la Pampa presentadas en el Cuadro 2 tienen las mismas condiciones climáticas.
Los estados de desarrollo de los folíolos de tamarugo estudiados pueden resumirse en tres grupos: juvenil, adulto y senescente.
Estado juvenil. El folíolo del estado juvenil (Foto 1), en general, se caracteriza por ser totalmente isolateral, presentar una cutícula relativamente delgada (2 a 3 μ), células epidermales prominentes con escasa afinidad por los colorantes, y por carecer de células subepidermales y C.E. Las células de la vaina del haz son isodiamétricas y, a pesar de no presentar afinidad por los colorantes, con el microscopio óptico usado no se observó ningún tipo de orgánulo citoplasmático.
Estado adulto. A medida que los folíolos se desarrollan, y probablemente según el clima imperante, empiezan a mostrarse las peculiaridades anatómicas de esta especie. En primer lugar, el folíoio puede alcanzar un largo de 8 a 9 mm por 2 mm de ancho, o bien quedar reducido a 4–5 mm por 1 a 1,5 mm de ancho (las medidas del grosor fueron insuficientes). Posiblemente esta variación en el tamaño del folíolo tenga relación con la humedad y luminosidad ambiental imperantes (Smith y Nobel, 1977) en el momento de su desarrollo.
Los folíolos del tamarugo son glabros, salvo en excepcionales casos donde se presenta uno que otro micrométrico pelito; pero la superficie del folíolo, que normalmente es lisa, puede ondularse hasta presentar complicadas sinuosidades (foto 2), incluyendo a la cutícula que adquiere sobresalientes configuraciones. Estas estructuras de epidermis y cutícula posiblemente pueden tener relación con el uso más eficiente del agua al reducir con ellas el sobrecalentamiento foliar.
La cutícula del folíolo adulto puede mostrarse muy delgada como extremadamente gruesa (foto 3), (cuadro 2).
La cutícula era considerada como una organización especialmente estructurada para controlar la transpiración (Hamilton, 1975). Sin embargo, Meidner (1954) en Cristaria aristata y Bhatt y Lahiri (1964) en Prosopis spicigera, encuentran cierta evidencia de absorción foliar de agua. Hull (1966, 1970) y Hull y Wharrie (1975) estudian la estructura de la hoja y su capacidad para absorber sustancias orgánicas, pesticidas y otros compuestos. Además, Hull et al. (1979) consideran que la inusual configuración epicuticular en Prosopis tamarugo de placas cerosas verticalmente dispuestas y que no son afectadas por la luminosidad ambiental, podría corresponder a un mecanismo adaptativo por el cual la planta mejora su balance hídrico y consiguiente potencial para vivir bajo condiciones xéricas.
Las observaciones de las muestras colectadas revelaron variabilidad en el grosor de la cutícula, pero no se encontró una correlación definida entre su grosor, fecha y lugar de colección, posiblemente debido a la falta de otros datos u organización en la recolección del material estudiado.
Con la edad, las células epidermales empiezan a mostrar afinidad con los colorantes, y en algunas preparaciones puede observarse la presencia de un corpúsculo esférico que no se tiñe (¿corpúsculo de alcaloide?); rara vez es más de uno; si hay más de uno, son pequeños. Al mismo tiempo, en muchas preparaciones es posible detectar la presencia de células que no se tiñen, y que hemos considerado que estructuran una subepidermis (foto 3). Estas células subepidermales, en algunos casos, sólo se presentan bajo la epidermis adaxial y, en otras, cuando son muy prominentes, bajo ambas caras.
La presencia de células subepidermales aparentemente está muy relacionada con la edad del folíolo, porque en los folíolos en desarrollo, o inmaduros, no es posible ubicarlas; luego, normalmente, se hacen cada vez más notorias, mientras que las epidermales van siendo reducidas, en tal forma que las subepidermales llegan a ser 1/3 a 2/3 más voluminosas que las células epidermales. Estas células, que se encuentran en forma coincidente con cada célula epidermal, nunca se presentan bajo las células subsidiarias de los estomas.
Otra peculiaridad de las células subepidermales es su falta total de afinidad con los colorantes usados, de manera que su presencia fácilmente es detectada por el fuerte contraste que ofrecen ante las intensamente teñidas células epidermales (foto 3). Además, a pesar de su falta de tinción, no se pudo observar —con el microscopio óptico usado— ningún tipo de estructura ni orgánulos citoplasmáticos.
En el mesófilo fue posible detectar una serie de cambios, como longitud de las células de empalizada, número y estructura de las C.E. y presencia o ausencia de espacios intercelulares.
Según Berlin et al. (1982), las células de empalizada de plantas de algodón bajo déficit hídrico tenían el mismo diámetro, pero eran más largas que las de las plantas regadas en las que no fueron alterados los espacios intercelulares. La presencia de células de empalizada extremadamente alargadas se pudo observar en algunas preparaciones del Bosque de Junoy en muestras colectadas en III-69.
En cuanto a los espacios intercelulares, generalmente no se presentaban o eran muy escasos, salvo el caso notable de plantas desarrolladas bajo riego en Santiago (foto 16), en folíolos inmaduros y maduros de San Pedro de Atacama (fotos 10 y 11), de ciertas hojas adultas de Caldera (foto 14) y de plantas de Canchones bajo riego (foto 8). Los casos mencionados hacen suponer que existe una relación entre presencia de espacios intercelulares y el régimen hídrico bajo el cual las plantas de tamarugo se desarrollan.
También es en el folíolo adulto donde se diferencian plenamente las C.E., cuyo número, tamaño y estructura (única o segmentada) (fotos 4–5) son bastante variables (cuadro 2). Aparentemente parece que existe también relación con el régimen hídrico, puesto que ellas disminuyen notablemente en número cuando el árbol ha estado bajo riego, como es el caso de plantas desarrolladas en invernadero (foto 16). El ejemplo más notable lo presentan unos tamarugos cultivados en Canchones al lado de una huerta que recibía riegos constantes, cuyos folíolos casi no presentaban este tipo de células (cuadro 2 y foto 8). Pero, posteriormente, en 1983, esos mismos árboles, que se dejaron de regar en 1973, mostraron como principal diferencia la presencia abundante de estas C.E. (cuadro 2 y foto 9).
La gran cantidad de mucílagos que posee la hoja del tamarugo se encuentra alojada en las células epidermales y en las C.E., lo que lleva a sugerir, junto con lo expresado anteriormente, que posiblemente están facilitando la absorción del agua de la humedad atmosférica, porque con su potencial mátrico contribuyen a aumentar el alto potencial hídrico detectado en esta especie por Sudzuki, Botti, Acevedo (1973).
El tejido conductor también se advierte afectado, pero tampoco se pudieron establecer relaciones con los parámetros estudiados. En algunos casos la vaina del haz (“distinctive cells” o Kranz) rodea completamente al haz vascular central (foto 6), en otros, de preferencia, sólo por su lado abaxial; sin embargo, la nerviación secundaria, en general, está completamente bordeada por este especial tipo de células.
Posiblemente, el intenso estudio que se está realizando sobre el mecanismo fotosintético y su correspondencia entre el tipo de fotosíntesis y anatomía foliar, ha despertado el interés por conocer la influencia que tienen los factores ambientales sobre la individual morfología foliar.
Según Hattersley (1984), existen contrastantes anatomías entre los tipos de fotosíntesis y las relaciones entre el área del mesófilo de plantas C4 (PCA), el tejido “Kranz” (PCR), o el de la vaina del haz (PBC de las plantas C3) por venas, y que esta proporción en alguna forma está relacionada con la posición de la hoja y probablemente con las condiciones ambientales durante el crecimiento foliar.
Estado senescente. Por último, los folíolos envejecidos presentan una peculiar modificación. Tanto las células especiales como las de la vaina del haz muestran “perforaciones” (?) en sus paredes (foto 7). Estas perforaciones o “digestibilidad” o “transformación citoplasmática” pueden presentarse también en las células epidermales. ¿Cuál es la función que desempeñan estas células? Posiblemente un estudio acabado de su morfología y contenido podría ayudar a comprender su desempeño en la extraordinaria eficiencia en la economía hídrica que presenta la especie.
TAMARUGOS NO DESARROLLADOS EN LA PAMPA DEL TAMARUGAL
a. San Pedro de Atacama
Las mayores diferencias se encontraron entre las hojas de tamarugo creciendo en condiciones diferentes a las de la Pampa (Cuadro 3). Las fotos 10 y 11 muestran la estructura de un folíolo en desarrollo y uno de hoja adulta de tamarugo creciendo en San Pedro de Atacama. Como puede advertirse, difieren completamente de los folíolos de Canchones (foto 1) especialmente por el desarrollo de los estomas y disposición del mesófilo en la hoja joven. En la foto 11, de una hoja adulta, puede observarse que los espacios intercelulares se mantienen. Es de hacer notar que en San Pedro de Atacama se registra un promedio de 19 mm de agua caída y temperaturas inferiores a las de otras localidades estudiadas (Cuadro 3).
CUADRO 3
Algunos datos meteorológicos que caracterizan a San Pedro de Atacama,
Caldera y Canchones. No se incluye humedad relativa, porque los promedios
solamente sirven para confundir; su importancia estriba en
sus máximas, periodicidad y horas de registro
| Localidad | Luminosidad | Nubosidad * | Temperaturas ° C | Promedio agua caída | ||||
|---|---|---|---|---|---|---|---|---|
| Nublado | Despejado | Absolutas | ||||||
| Cal cm2/día | Máx. | Min. | Máx. | Min. | mm. | |||
| San Pedro de Atacama 2.436 m.s.n.m. 68° 20' W | 519,8 | Datos insuficientes | 17,9 | 6,6 | 27,9 | -2,5 | 19,1 | |
| Caldera 10 m.s.n.m. 70°50' W | 368,8 | 100,7 | 43,5 | 20 | 12 | 25,2 | 9,5 | 36,4 |
| Canchones 1200 m.s.n.m. | 551,0 | 33,0 | 226,0 | 30,9 | 4,6 | 36,0 | -6,6 | 0,6 |
| Santiago 520 m.s.n.m. | 206,4 | 78,0 | 152,3 | 22,2 | 7,8 | 36,3 | -4,6 | 366,8 |
Smith y Nobel (1978), trabajando con Encefalia farinosa, establecen que, además de la influencia del agua en el desarrollo foliar, la luminosidad estaría actuando en la relación área interna y externa (Ames /A) y que el potencial del suelo que afecta al tamaño de la hoja, velocidad de crecimiento y estado hídrico, secundariamente tendría influencia en Ames/A. Según lo observado en los folíolos de Canchones, Caldera y San Pedro de Atacama, posiblemente la luminosidad influiría en el tamaño y morfología interna de los folíolos del tamarugo.
b. Caldera
El caso más dramático lo presentan las plantas de tamarugo de las plantaciones de Caldera. Caldera es una faja a orillas del mar, con largos períodos de neblinas (cuadro 3) y un promedio de humedad relativa de 82%. Estas plantaciones fracasaron por la muerte de los tamarugos al tercer año. Las fotos 12, 13 y 14 muestran tres anatomías diferentes de hojas provenientes de plantas de 3 años de edad en plantaciones realizadas en Caldera.
Una posible explicación de este hecho sería la siguiente: Por las moderadas temperaturas imperantes en la zona estas plantas no deberían botar sus hojas y durante los largos períodos de neblinas (mayo a septiembre) desarrollaban hojas del tipo “hídrico”, las que llamaban fuertemente la atención por su gran tamaño y grosor. Estas hojas, que no estaban adaptadas a la fuerte irradiación solar (Smith y Nobel, 1977b), eran destruidas, como pudo observarse, durante el período luminoso. Con las reservas, rápidamente desarrollaban nueva vegetación adaptada a estas condiciones de luminosidad, pero que, al cambiar el ambiente, nuevamente eran destruidas. Bajo estas circunstancias, las plantas, si suponemos que absorben humedad ambiental, la translocan a sus raíces y la exudan al suelo, caracterizado por una gruesa arena sin capacidad de retención, se verían obligadas a gastar sus reservas en la formación de nueva vegetación sin tener suficiente agua acumulada en la rizósfera. Es lógico pensar que bajo estas circunstancias las plántulas tenían que perecer por autodesgaste de sus reservas y sequedad al no tener hojas que fotosintetizaran y al mismo tiempo aportaran agua al sistema radical en el momento que más la requerían.
c. Santiago
Las fotos 15 y 16, por su parte, muestran los folíolos correspondientes a uno en desarrollo y a otro adulto de tamarugos cultivados en Santiago, en invernadero con temperaturas nocturnas de 16° C y diurnas de 25° C (± 2° C) y riegos cada vez que se requerían. Indudablemente, estas temperaturas y la luminosidad de invernadero no fueron capaces de alterar la morfología del folíolo en sus primeros estados de desarrollo (comparar con foto 1), pero sí al folíolo adulto. En este estado el folíolo difiere completamente de la anatomía que caracteriza al tamarugo (foto 6), por carecer de C.E., ser bifacial y poseer abundantes espacios intercelulares. La vaina del haz se perfila, pero en esta ocasión solamente sus paredes se tiñen y no su contenido citoplasmático.
CONCLUSIONES
Como conclusión del trabajo realizado, puede decirse que se hace indispensable llevar a cabo una sistemática y profunda investigación sobre la anatomía y fisiología de esta fascinante especie, que puede vivir en condiciones tan adversas para todo vegetal como son las de la Pampa del Tamarugal.
REFERENCIAS
BHATT P.N., LAHIRI A.N. 1964. Some evidence of foliar absorption of water in a xeric tree Prosopis spicigera. Naturwiss. 51:341–342.
BERLIN J., QUISENBERRY J.E., BAILEY F., WOODWORTH M., MAC MICHAEL B.L. Effect of water stress on cotton leaves. Plant Physiol. 70:238–243.
CUNNINGHAM G.L., STRAIN B.R. 1969. Ecological significance of seasonal leaf variability in a desert shrub. Ecology 50:400–408.
CUTTER J.M., RAINS D.W., LOOMIS R.S. 1977. The importance of cell size in the water relations of plants. Plant Physiol. 40:255–260.
CHABOT B.F., CHABOT J.F. 1977. Effects of light and temperature on leaf anatomy and photosynthesis in Fragaria resca. Oecologia (Berlin) 26:363–77.
ESAU K. 1965. Plant Anatomy-John Wiley & Sons. Inc. N.Y.
EHLERINGES J., BJORKMAN O., MOONEY H.A. 1976. Leaf pubescence: Effects on absorbance and photosynthesis in a desert shrub. Science 192:376–377.
ETHERINGTON J.R. 1978. Plant Physiological Ecology. Studies in Biology 98:1–67. Publ. Edward Arnold. London.
HAMILTON J.W. 1975. Transpiration control by native clover epicuticular wax. Adv. Frontiers Plant Sci. 30:175–187.
HARRIS G.A., CAMBELL G.S. 1981. Morphological and physiological characteristics of desert plants. In Water in Desert Ecosystems. Erans and J.L. Thames ed. USA. Synthesis, Series No. 11:59–74.
HALTERSLEY P.W., BROOMING A.J. 1981. Occurrence of the suberized lamella in leaves of grasses of different photosynthetic type. I. In parenchymatones sheath and PCR (“Kranz”) sheath Protoplasma 109:371–401.
HALTERSLEY P.W.V. 1984. C4 type leaf anatomy. Am. Bot. 53:163–179.
HULL H.M. 1964. Leaf structure as related to penetration of organic substance p. 45–93. In J. Hacskaylo (ed). Absorption and translocation of organic substances in plants. Amer. Soc. Plant. Physiol. 7th. Anne. Symp. Sco. Seet.
HULL H.M. 1970. Leaf structure as related to absorption of pesticiaes and other compounds. p. 1–155. In F.A. Gunther and J.D. Gunther (eds). Residue Rev. Vol. 31. Springer-Verlag. N.Y.
HULL H.M., WHARRIE J.R. 1975. Environmental influences on cuticle development and resultant foliar penetration. Bot. Rev. 41:421–452.
HULL H.M., BLECKMANN C.A. 1977. An unusual epicuticular wax ultrastructure on leaves of Prosopis tamarugo (Leguminoseae). Am. J. Bot. 64(9): 1083–1091.
HULL H.M., WENT F.W., BLECKMANN C. 1979. Environmental modification of epicuticular wax structure of Prosopis leaves. J. Arizona-Nevada Acad. of Science. Vol. 14:39–42.
JOHANSEN D.A. 1940. Plant Microtechnique. Mc Graw-Hill Book Co. N.Y. 521 p.
McCREE K.J., DAVIS S.D. 1974. Effect of water stress and temperature on leaf size and on size and number of epidermal cells in grain sorghum. Crop. Sci. 14:751–755.
MEIDNER H. 1954. Measurements of water intake from the atmosphere by leaves. New Phytol. 53:423–426.
RAWLINS T.E., TAKAHASHI W. 1952. Technics of Plant Histochemistry and Virology, p. 29.
SMITH W.K., NOBEL P.S. 1977. Temperature and water relations for sun and shade leaves of a desert broadleaf, Hyptis emoryi. J. Exp. Bot. 28:171–185.
SMITH W.K., NOBEL P.S. 1977b. Influence of seasonal changes in leaf morphology on water-use efficiency for three desert broadleaf shrubs. Ecology 58:1033–1043.
SMITH W.K., NOBEL P.S. 1978. Influence of irradiation, soil water potential, and leaf temperature on leaf morphology of a desert broadleaf, Encelia farinosa Gray (Composetae). Amer. J. Bot. 65(4):429–432.
SUDZUKI F., BOTTI C., ACEVEDO E. 1973. Relaciones hídricas del tamarugo (Prosopis tamarugo, Phil) en la localidad de Canchones. Bol. Téc. 37:3–29. Fac. Agronomia. Univ. de Chile.
SUDZUKI F. 1982. Resistencia a seca e eficiencia no uso da agua. Algarroba. I. Simposio Brasileiro sobre Algarroba. Natal R.N. Brasil, octubre: 28–54.
TATEOKA T. 1958. Notes on some grases. VIII. On leaf structure of Arundinella and Gamottia. Bot. Gaz. XII, 120:101–109.
TURNER N.C., BEGG J.E. 1981. Plant & Soil 58 (1–3):97–131.
VAN VOLKENBURGH E., DAVIES W.J. 1977. Leaf anatomy and water relations of plants grown in controlled environments and in the field. Crop Sci. 17:353–358.
![]() | Foto 1. Folíolo en estado juvenil, originado de plántula desarrollada en Canchones (I-1967). 100 x. | |
| Foto 2. Folíolo adulto con superficie muy ondulada, regular número de C.E. y vainas del haz poco notorias en el nervio central pero sí en las menores. Lugar de colección: Victoria. (III-1969) 100 x. | ![]() | |
![]() | Foto 3. Cutícula gruesa (10 μ), células epidermales sobreteñidas y células subepidermales que no adquieren color. Muestra del bosque de Yamará (XII-1969) x 400. | |
| Foto 4. Células de empalizada (delgada) y C.E. (gruesas). Observaciones realizadas con microscopio de barrido. IX-1983. x 305. Gentileza de Fac. de Ciencias Univ. de Chile. | ![]() | |
![]() | Foto 5. Detalle de una C.E. segmentada vista en microscopio de barrido. IX-1983. x 1220. Gentileza de Fac. Ciencias, Univ. de Chile | |
| Foto 6. Haz conductor bordeado por células de la vaina del haz, presencia de cristales e idioblas tos con substancias que adquieren el colorante de las C.E. En este caso el floema está protegido por colénquima. Obsérvese la numerosa presencia de bajas C.E. Tirana, III-1969. x 400, fase contrastada. | ![]() | |
![]() | ![]() | |
| Foto 7. Hoja en estado senescente. Se caracteriza por la destrucción de paredes (¿o citoplasma?) en las células epidermales, C.E. y vaina del haz. VII-1969 x 100. | Foto 8. Folíolo de tamarugo creciendo en Canchones bajo riego constante. Obsérvese la presencia de abundantes espacios intercelulares y ausencia de C.E. (IX-1969) x 200. | |
![]() | ![]() | |
| Foto 9. Folíolo de tamarugo de Canchones del mismo lugar que el de la foto 7, pero que fue dejado de regar durante 10 años. Es notoria la cutícula, la presencia de células subepidermales y abundantes C.E. IX-1983. x 100. | Foto 10. Folíolo joven de hoja de tamarugo creciendo en San Pedro de Atacama. Obsérvese la especial estructura de los estomas y del mesófilo. III-1969. x 200. |
![]() | Foto 11. Folíolo de hojas colectadas en San Pedro de Atacama. Presentan gruesa cutícula, escasas C.E., abundantes espacios intercelulares y características células de la vaina del haz, especialmente desarrolladas las intervenales. San Pedro de Atacama. III-1969. x 100. | |
| Foto 12. Folíolo joven de plantas de tamarugo de Caldera, desarrollado durante un período de humedad. IX-1969. x 100. | ![]() | |
![]() | Foto 13. Folíolo adulto de tamarugo de Caldera. IX-1969. x 100. | |
| Foto 14. Otro folíolo de hoja adulta de tamarugo de Caldera. Es notable la cantidad de C.E., y espacios intercelulares del mesófilo. Caldera. I-1969. x 100. | ![]() | |
![]() | Foto 15. Folíolo joven de planta desarrollada en condiciones de invernadero. Puede observarse que no existen diferencias notorias. Santiago, V-1971. x 100. | |
| Foto 16. Folíolo adulto de un tamarugo desarrollado bajo condiciones de invernadero sin déficit hídrico. Puede observarse la estructura bilateral, con muchos espacios intercelulares y ausencia de C.E. Las células de la vaina del haz se distinguen con facilidad, pero no adquieren el colorante. Santiago. V-1971. x 100. | ![]() | |