Singaravel, R.1; V. Prasath and D. Elayaraja
|
Abstract The coastline of India is approximately 8,000 km in extent and is dominated by sandy light textured soils. Coastal sandy soils exhibit poor nutrient status especially micronutrients such as Zn and B due to leaching and low organic matter status. Groundnuts are one of the major crops grown by coastal farmers in the nutrient impoverished soils. An attempt has been made in the present investigation to improve the fertility of these coastal sandy soils with various bio-resources. A series of laboratory incubation, pot and field experiments were carried out using these coastal sandy soils. The soil used in these studies was representative of the sandy texture soils of the region (classified as Typic Udipsamments) with pH 8.38, electrical conductivity (EC) 1.12 dS m-1 with a low N, P K, Zn and B status. Various bio-resources viz. Rhizobium, composted coirpith at 10 t ha-1 and lignite humic acid at 20 kg ha-1 along with ZnSO4 at 25 kg ha-1 and Boron at 10 kg ha-1 constituting 16 treatments were studied in a factorial randomised block design with three replications using groundnut (Arachis hypogea) as the test crop. Periodic soil and plant samples at the critical stages of the crop growth were sampled and the soil samples were analysed for various physico-chemical properties, nutrient availability, microbial population and enzyme activity viz. urease, phosphatase, dehydrogenase and cellulase. The results of the investigation showed that application of bio-resources significantly improved the soil chemical properties, available nutrients and microbial population. Enzymatic activities, an index of biological activity increased significantly and correlated positively with the microbial population of soil. A favourable soil environment created by way of improved physical, chemical and biological properties of the soil significantly increased the yield and nutrient uptake of groundnut in coastal sandy soils. |
The coastline of India is approximately 8,000 km in extent and is dominated by sandy light textured soils. Poor nutrient status, low cation exchange capacity (CEC) and soil organic matter along with reduced microbial activity are the major constraints limiting crop production on these soils. Coastal sandy soils exhibit poor nutrient status especially micronutrients zinc (Zn) and boron (B) due to leaching and low organic matter status. Groundnut is one of the major crops grown by coastal farmers in the nutrient impoverished soils with relatively very poor yield. Hence, an attempt has been made in the present investigation to improve the fertility of these coastal sandy soils with various bio-resources.
To study the effect of various bio-resources in improving the fertility of the coastal sandy soils, a series of incubation, pot and field experiments were carried out during Feb. 2003 to April 2005 at the Department of Soil Science and Agricultural Chemistry, Annamalai University. The soil used in these studies was representative of the sandy texture soils of the region (classified as Typic Udipsamments) with pH 8.38, electrical conductivity (EC) 1.12 dS m-1 with a low N, P, K, Zn and B status. Various bio-resources viz. rhizobium, composted coirpith at 10 t ha-1 or humic acid at 20 kg ha-1 as organic sources and ZnSO4 at 25 kg ha-1, Boron at 10 kg ha-1 and their combinations constituting 16 treatments were studied in a factorial randomized block design (FRBD) replicated three times. Soil samples were taken at regular intervals and analysed for various physico-chemical properties such as pH, EC and nutrients viz. N, P, Zn and B using standard procedures as outlined by Jackson (1973). Based on the nutrient availability in the different treatments studied in the incubation experiment, the best bio-resource treatments, composted coirpith and humic acid and the inorganic treatment Zn + B were selected and evaluated for the performance in relation to groundnut production in the pot experiment. The treatments included for the pot experiment were: T1- Absolute control; T2-Recommended doses of fertilizers; T3- T2 + ZnSO4 at 25 kg ha-1 + Boron at 10 kg ha-1; T4- T3 + Composted coirpith at 10 t ha-1; T5- T3 + Humic cid at 20 kg ha-1; T6- T3 + Composted coirpith + Humic acid. To verify the validity of incubation and pot experiments, a field experiment was also carried out in coastal sandy soil. Soil samples (0-15 cm) were analysed for microbial populations viz. bacteria, fungi and actinomycetes as per the procedure proposed by Cynathia (2003). Enzymatic assay viz. urease (Tabatabai and Bremner, 1972), phosphatase (Tabatabai and Bremner, 1969), dehydrogenase (Casida et al., 1964) and cellulase (Denison and Koehn, 1977) were also estimated. The plant samples collected at critical stages were analysed for the concentrations of various nutrients like N, P, K, Fe, Zn and B using the procedures as given by Jackson (1973).
| Rec. fertilizer | Zn + B | CC | HA | |
|
T1 |
– |
– | – | – |
|
T2 |
+ |
– | – | – |
|
T3 |
+ |
+ |
– | – |
|
T4 |
+ |
+ |
+ | + |
|
T5 |
+ |
+ |
– | + |
|
T6 |
+ |
+ |
+ | + |
All the bio-resources evaluated were helpful in reducing the soil pH and EC of the coastal sandy soil. In the incubation study, the maximum reduction was observed with the application of composted coirpith at 10 t ha-1 (pH 8.12 and EC 0.76 dS m-1). The combined application of composted coirpith and humic acid were the best treatment in reducing the pH and EC in pot experiment (pH 8.09 and EC 0.70 dS m-1) as well as in the field experiment (pH 8.22 and EC 0.83 dS m-1 at harvest stage). The decomposition of applied bio-resources accompanied by the release of organic acids contributed its effect on reducing the soil pH and EC. Tolanur and Badunar (2003) obtained the results similar to this study.
Table 1. Effect of bio-resources on the physico chemical properties and available nutrient contents of soil in the incubation experiment
|
Treatments |
pH |
EC (dS m-1) |
OC (%) |
N (ppm) |
P (ppm) |
K (ppm) |
Zn (ppm) |
B (ppm) |
|
A1B1 |
8.29 | 1.01 | 0.29 | 60.88 | 4.10 | 87.17 | 0.87 |
0.16 |
|
A1B2 |
8.29 | 1.02 | 0.30 | 66.77 | 4.50 | 88.50 | 0.90 |
0.17 |
|
A1B3 |
8.19 | 0.77 | 0.42 | 70.98 | 6.22 | 101.83 | 1.28 |
0.25 |
|
A1B4 |
8.15 | 0.85 | 0.38 | 68.02 | 6.03 | 97.17 | 1.20 |
0.21 |
|
A2B1 |
8.28 | 1.03 | 0.30 | 61.05 | 4.23 | 88.67 | 1.14 |
0.16 |
|
A2B2 |
8.30 | 1.01 | 0.32 | 67.52 | 4.58 | 90.17 | 1.25 |
0.17 |
|
A2B3 |
8.12 | 0.75 | 0.43 | 71.95 | 6.35 | 102.00 | 1.32 |
0.26 |
|
A2B4 |
8.20 | 0.84 | 0.39 | 68.42 | 6.10 | 97.50 | 1.36 |
0.21 |
|
A3B1 |
8.26 | 1.01 | 0.30 | 60.78 | 4.22 | 88.50 | 0.96 |
0.46 |
|
A3B2 |
8.30 | 1.02 | 0.31 | 67.08 | 4.53 | 89.83 | 0.97 |
0.39 |
|
A3B3 |
8.11 | 0.77 | 0.45 | 71.32 | 6.28 | 102.17 | 0.99 |
0.51 |
|
A3B4 |
8.17 | 0.85 | 0.40 | 67.62 | 6.02 | 98.83 | 0.98 |
0.44 |
|
A4B1 |
8.27 | 1.02 | 0.31 | 61.62 | 4.32 | 81.83 | 1.20 |
0.41 |
|
A4B2 |
8.31 | 1.00 | 0.33 | 67.60 | 4.59 | 90.67 | 1.29 |
0.41 |
|
A4B3 |
8.05 | 0.73 | 0.44 | 72.03 | 6.2 | 103.33 | 1.48 |
0.52 |
|
A4B4 |
8.15 | 0.81 | 0.40 | 68.73 | 6.33 | 100.17 | 1.46 |
0.48 |
|
S Ed |
0.03 | 0.02 | 0.03 | 2.71 | 0.10 | 2.12 | 0.04 |
0.02 |
|
CD (p = 0.005) |
NS | 0.04 | 0.06 | 5.43 | 0.20 | NS | 0.08 |
0.04 |
A1
– Control; A2 – ZnSO4 @ 25 kg ha-1;
A3 – Boron @ 10 kg ha-1 ; A4 – ZnSO4
+ Boron
B1
– Control; B2 – Rhizobium; B3 – Composted coirpith @ 10 t
ha-1; B4 – Humic acid @ 20 kg ha-1
CD – Critical
Difference (Test of significance – Probability at 5% level)
Table 2. Effect of bio-resources on the physico chemical properties and organic carbon content of soil
|
Treatment |
||||||
|
pH |
EC (dS m-1) |
OC (%) |
pH |
EC (dS m-1) |
OC (%) |
|
|
T1 |
8.41 |
1.00 |
0.30 | 8.42 |
1.00 |
0.29 |
|
T2 |
8.40 |
0.99 |
0.31 | 8.41 |
0.99 |
0.30 |
|
T3 |
8.41 |
0.98 |
0.30 | 8.41 |
0.99 |
0.30 |
|
T4 |
8.14 |
0.80 |
0.40 | 8.26 |
0.87 |
0.38 |
|
T5 |
8.28 |
0.84 |
0.38 | 8.30 |
0.91 |
0.36 |
|
T6 |
8.09 |
0.70 |
0.43 | 8.22 |
0.83 |
0.41 |
|
S Ed |
0.02 |
0.03 |
0.01 | 0.02 |
0.02 |
0.01 |
|
CD (p = 0.05) |
0.04 |
0.05 |
0.02 | 0.03 |
0.03 |
0.02 |
T1- Absolute control; T2- 100% NPK; T3- T2 + ZnSO4 @ 25 kg ha-1 + Borax @ 10 kg ha-1; T4- T2 + T3 + Composted Coirpith @ 10 t ha-1; T5- T2 + T3 + Humic acid @ 20 kg ha-1; T6- T2 + T3 + Composted Coirpith and Humic acid.
Table 3. Effect of bio-resources on the soil microbial population and enzymatic activity of soil
| Treatment | Microbial population |
Enzyme activity |
|||||
| Bacteria | Fungi | Actinomycetes | Urease | Phosphatase | Dehydrogenase | Cellulase | |
|
T1 |
10.33 | 3.99 | 3.67 | 19.27 |
14.17 |
89.13 |
12.66 |
|
T2 |
12.99 | 4.67 | 4.33 | 27.57 |
18.11 |
110.50 |
15.03 |
|
T3 |
12.66 | 4.99 | 4.67 | 27.63 |
20.36 |
114.00 |
16.00 |
|
T4 |
21.33 | 9.33 | 7.33 | 44.00 |
24.50 |
141.76 |
21053 |
|
T5 |
18.67 | 7.67 | 5.33 | 42.13 |
21.57 |
135.50 |
18.43 |
|
T6 |
22.67 | 11.00 | 8.33 | 51.70 |
27.50 |
151.90 |
24.50 |
|
S Ed |
0.56 | 0.31 | 0.26 | 1.58 |
0.83 |
3.63 |
0.74 |
|
CD (p = 0.05) |
1.02 | 0.62 | 0.52 | 3.15 |
1.65 |
7.26 |
1.49 |
Bacteria
– 10-6/g soil; Fungi – 10-5/g soil; Actinomycetes – 10-4/g
soil
Urease – µg
NH4/g soil/24 hr.; Phosphatase – µg p-nitrophenol/g
soil/hr.; Dehydrogenase – µg TTF/g soil/24 hr.; Cellulase – µg
DNS/g soil/hr.
In the present study, the influences of bio-resources in enhancing the availability of soil major and micronutrients was well evidenced in all the experiments. The results indicated the increased availability of major nutrients with the conjoint application of composted coirpith at 10 t ha-1 and humic acid at 20 kg ha-1. In the field experiment a NPK content of 109, 18.9 and 163 kg ha-1 were recorded in comparison to 79, 5.2 and 132 kg ha-1 respectively in control
The combined application of composted coirpith and humic acid increased the availability of zinc and boron in post harvest soil. In the field experiment, a concentration of 1.27 ppm of Zn and 0.26 ppm of B were recorded as compared to 0.74 and 0.06 ppm in control (Table 4). The decomposition of applied bio-resources accompanied by weathering certain primary minerals, and greater multiplication of microbes has helped in the mineralization of the nutrient elements (Tolanur and Badanur, 2003). Further, the reduction in soil pH and reduced volatilization loss of N and increased solubility of P due to acid production with the application of composted coirpith and humic acid can be ascribed to the greater nutrient availability in the soil (Savithri and Hameed Khan, 1994).
The applied bio-resources were also helpful in creating a better soil biological environment of coastal sandy soil, and were well evidenced in the present study by the increased microbial population and enzymatic activity. The combined application of composted coirpith at 10 t ha-1 and humic acid at 20 kg ha-1 significantly increased the population of bacteria (22.67 × 106/g soil), fungi (11.0 × 105/g soil) and actinomycetes (8.33 × 104/g soil). The availability of readily mineralized C and N and improvement in the physico-chemical properties of the soil due to the application of bio-resources might have improved the microbial population of the soil (Baradwaj and Datt, 1995). The same treatment recorded 51.70 µg NH4/g soil/24 hr. of urease, 27.50 µg p-nitrophenol/g soil/hr. of phosphatase, 151.90 µg TTF/g soil/24 hr. of dehydrogenase and 24.50 µg DNS/g soil/hr. of cellulase. The increase in the soil enzymatic activity may be ascribed to the easily biodegradable organic matter imposed in the soil, which stimulated the growth of soil microorganisms (Perucci, 1992).
Table 4. Effect of bio-resources on te nutrient availability of soil
|
Treatment |
||||||||||
|
N |
P |
K |
Zn |
B |
N |
P |
K |
Zn |
B |
|
|
T1 |
38.73 | 4.28 |
64.47 |
0.63 |
0.09 |
79 |
5.2 |
132 |
0.74 |
0.06 |
|
T2 |
45.37 | 4.52 |
71.63 |
0.65 |
0.11 |
93 |
16.5 |
143 |
0.77 |
0.07 |
|
T3 |
44.53 | 4.53 |
69.50 |
1.06 |
0.15 |
91 |
16.4 |
139 |
1.13 |
0.18 |
|
T4 |
55.23 | 5.05 |
78.67 |
1.18 |
0.23 |
101 |
18.3 |
157 |
1.23 |
0.22 |
|
T5 |
52.70 | 4.93 |
75.93 |
1.12 |
0.21 |
96 |
17.5 |
152 |
1.19 |
0.20 |
|
T6 |
59.47 | 5.13 |
79.97 |
1.21 |
0.27 |
109 |
18.9 |
163 |
1.27 |
0.26 |
|
S Ed |
1.78 | 0.01 |
2.02 |
0.01 |
0.01 |
1.88 |
0.49 |
2.86 |
0.02 |
0.01 |
|
CD (p = 0.05) |
3.55 | 0.03 |
4.03 |
0.02 |
0.02 |
3.75 |
0.98 |
5.72 |
0.03 |
0.02 |
Table 5. Effect of bio-resources on the growth and yield of groundnut
|
Treatment (cm) |
Pot experiment | Field experiment | ||||||
| Plant height plant | No. of pods per | Pod yield (g pot-1) (g pot-1) | Haulm yield (cm) | Plant height plant | No. of pods per | Pod yield (kg ha-1) | Haulm yield (kg ha-1) | |
|
T1 |
42.47 | 12.33 | 22.00 | 33.52 | 51.56 |
16.99 |
1,225.2 |
1,740.8 |
|
T2 |
52.70 | 15.67 | 25.19 | 39.37 | 58.76 |
17.33 |
1,390.6 |
1,935.7 |
|
T3 |
49.67 | 16.00 | 26.95 | 39.46 | 58.96 |
17.66 |
1,425.5 |
1,947.8 |
|
T4 |
58.50 | 20.67 | 31.03 | 44.64 | 61.33 |
21.00 |
1,605.7 |
2,150.0 |
|
T5 |
55.23 | 18.33 | 29.71 | 41.76 | 59.76 |
18.66 |
1,525.8 |
2,098.3 |
|
T6 |
63.10 | 22.00 | 34.40 | 48.07 | 62.96 |
23.66 |
1,670.0 |
2,214.4 |
|
S Ed |
1.63 | 0.43 | 1.10 | 1.26 | 1.01 |
0.46 |
33.77 |
36.55 |
|
CD (p = 0.05) |
3.25 | 0.86 | 2.19 | 2.52 | 2.04 |
0.92 |
67.53 |
73.10 |
Table 6. Effect of bio-resources on the major nutrient uptake by groundnut
|
Pod |
Haulm |
Pod |
Haulm |
Pod |
Haulm |
Pod |
Haulm |
Pod |
Haulm |
Pod |
Haulm |
|
|
T1 |
774.00 |
653.15 |
73.41 |
82.95 |
201.97 |
543.90 |
41.99 |
35.72 |
3.97 |
3.16 |
11.52 |
39.81 |
|
T2 |
975.92 |
784.06 |
105.27 |
121.14 |
272.14 |
679.50 |
54.37 |
42.53 |
5.48 |
5.21 |
14.91 |
46.48 |
|
T3 |
990.38 |
802.34 |
110.33 |
125.94 |
281.89 |
692.59 |
55.16 |
43.71 |
5.92 |
5.49 |
15.16 |
47.60 |
|
T4 |
1,325.1 |
967.56 |
150.23 |
161.19 |
351.57 |
824.12 |
76.86 |
55.27 |
7.94 |
7.34 |
18.94 |
53.97 |
|
T5 |
1,185.8 |
870.93 |
129.28 |
145.65 |
314.30 |
733.22 |
69.32 |
51.82 |
7.17 |
7.09 |
16.27 |
48.18 |
| T6 |
1,437.4 |
1,098.3 |
172.32 |
189.32 |
379.91 |
879.78 |
81.33 |
62.99 |
8.48 |
9.04 |
19.83 |
56.83 |
|
S Ed |
42.31 |
38.54 |
6.87 |
6.01 |
11.81 |
32.58 |
2.38 |
3.09 |
0.20 |
0.22 |
0.22 |
1.06 |
|
CD (p = 0.05) |
84.62 |
77.10 |
13.74 |
12.03 |
23.62 |
65.16 |
4.76 |
6.17 |
0.38 |
0.41 |
0.43 |
2.11 |
Table 7. Effect of bio-resources on the micronutrient uptake by groundnut
|
Fe |
||||||||||||
|
Pod |
Haulm |
Pod |
Haulm |
Pod |
Haulm |
Pod |
Haulm |
Pod |
Haulm |
Pod |
Haulm |
|
|
T1 |
10.95 | 16.65 | 46.77 | 147.71 | 57.43 | 91.04 | 0.59 | 0.84 | 0.21 | 0.42 | 0.32 |
0.77 |
|
T2 |
13.25 | 19.85 | 65.81 | 183.51 | 66.13 | 107.24 | 0.75 | 1.13 | 0.37 | 0.51 | 0.36 |
0.83 |
|
T3 |
13.68 | 20.46 | 68.30 | 201.17 | 70.76 | 107.74 | 0.79 | 1.13 | 0.37 | 0.52 | 0.38 |
0.85 |
|
T4 |
16.48 | 24.19 | 91.68 | 260.50 | 88.20 | 126.28 | 0.90 | 1.24 | 0.52 | 0.76 | 0.47 |
0.88 |
|
T5 |
14.48 | 21.43 | 83.36 | 229.45 | 80.13 | 114.12 | 0.83 | 1.17 | 0.49 | 0.68 | 0.43 |
0.86 |
|
T6 |
17.15 | 25.14 | 105.54 | 284.36 | 95.88 | 130.96 | 1.04 | 1.26 | 0.54 | 0.82 | 0.52 |
0.92 |
|
S Ed |
0.43 | 1.04 | 3.12 | 7.85 | 3.63 | 6.03 | 0.02 | 0.01 | 0.02 | 0.02 | 0.02 |
0.01 |
|
CD (p = 0.05) |
0.86 | 2.08 | 6.23 | 15.70 | 7.25 | 12.15 | 0.03 | 0.02 | 0.03 | 0.03 | 0.03 |
0.02 |
The bio-resources significantly increased the yield of groundnut in coastal sandy soil. The highest pod and haulm yield of 34.40 and 48.07 g pot-1 in pot experiment and 1,670 and 2,214 kg ha-1 respectively in field experiments were recorded with the combined application of composted coirpith and humic acid along with Zn + B. The increased yield with the application of bio-resources along with micronutrients might be due to the increased production of Indole Acetic Acid (IAA) in plants, thereby contributing growth promotion and yield maximization. This finding corroborates the earlier report of Parasuraman and Mani (2003).
The uptake of N, P, K, Fe, Zn and B by groundnut was also significantly increased with the various bio-resources. In field experiment, the combined application of composted coirpith and humic acid recorded 81.33 kg ha-1 of N, 1.04 kg ha-1 of Zn and 0,54 kg ha-1 of B by pod and 62.99, 1.26 and 0,82 kg ha-1 of N, Zn and B by haulms respectively. The increased nutrient uptake by groundnut with bioresource application might be due to reduction of soil pH by the way of organic acid production and by the mechanism of chelation which favoured for greater nutrient availability and uptake by plants. This corroborates the earlier report of Savithri and Hameed Khan (1994).
Baradwaj, K.K.R.; Datt, N. 1995. Effects of legume green manuring on nitrogen mineralization and some microbiological properties in an acid rice soil. Biology and Fertility of Soils, 19: 19-21.
Casida, L.E.; Klein, D.A.; Thomas Santoro. 1964. Soil dehydrogenase activity. Soil Science, 98: 371-376.
Cynathia, S.A. 2003. Microbiological methods. 5th edition, Butlerworth publications, London.
Denison, D.A.; R.D. Koehn. 1977. Assay of cellulases. Mycologia, LXIX 592.
Jackson, M.L. 1973. Soil Chemical Analysis. Prentice Hall of India Pt. Ltd., New Delhi.
Parasuraman, P.; Mani, A.K. 2003. Integrated Nutrient Management for groundnut-horsegram cropping sequence under rainfed Entisol. Indian Journal of Agronomy, 48: 82-85.
Perucci, P. 1992. Enzyme activity and microbial biomass in a field soil amended with municipal refuse. Biology and Fertility of Soils, 14: 54-60.
Savithri, P.; Hameed Khan. 1994. Characteristics of coconut coirpith and its utilization in Agriculture.Journal of Plantation Crops, 22: 1-18.
Tabatabai, M.A.; Bremner, J.M. 1969. User of P-nitrophenyl phosphate for assay of soil phosphatase activity. Soil Biology and Biochemistry, 1: 301-307.
Tabatabai, M.A.; Bremner, J.M. 1972. Assay of urease activity in soil. Soil Biology and Biochemistry, 4: 479-487.
Tolanur, S.I.; Badanur, V.P. 2003. Effect of integrated use of organic manure, green manure and fertilizer nitrogen on sustaining productivity of rabi sorghum-chikpea system and fertility of a vertisol. Journal of Indian Society of Soil Science, 51: 41-44.
1 Reader, Department of Soil Science & Agricultural Chemistry, Faculty of Agriculture, Annamalai University, Annamalainagar- 608 002, Tamilnadu, India.
Ofori, J.1; T. Masunaga2 and T. Wakatsuki3
|
Abstract Experiments were conducted in 2002 in the Ashanti region, Ghana, to evaluate the effect of humified sludge (HS), poultry manure (PM), cattle manure (CM), mixture of humified sludge, poultry manure and cattle manure (MM) and inorganic fertilizer (IF) on growth, yield and nitrogen uptake, and use efficiency of rice, in three lowland soils. The study revealed that soil amendment with organic fertilizer such as manures or humified sludge improved rice growth and the yield. Amendment brought forward flowering by more than 7 days in the vertisol. Humified sludge (HS), poultry manure (PM) and inorganic fertilizer (IF) tended to enhanced tillering compared to the cattle manure (CM) and the mixture of the manures (MM), especially in the vertisol. Mean grain yield was 17.4% better in the second season than in the first season, probably due to a second application of organic materials. For the first and the second season the effect of the amendments on grain yield was ranked HS>PM>MM>IF>CM>Control and HS>PM>IF>CM>MM>Control, respectively. The superiority of HS and PM to the IF may be attributed to balanced and gradual release of plant nutrients, which synchronized with the demand, at the different growth stages of the rice. N uptake was significantly enhanced by nutrient amendments, with HS and PM producing more N uptake than CM during the second season. Soil type and nutrient amendment had little effect on both physiological nitrogen use efficiency (PNUE) and nitrogen harvest index (NHI). The highest N uptake was observed in the gleysol during the second season. Agronomic N use efficiency (ANUE) followed the order; Vertisol> Gleysol>Fluvisol in the second season. The observed differences in N uptake and ANUE among the treatments may be partly due to differences in the native fertility of the soils. |
High input prices, potential environmental problems related to the use of chemical fertilizer and the need for efficient utilization of natural resources have generated interest in the use of organic material in sub-Saharan Africa. Application of organic materials has long been known to improve soil physical and chemical properties especially providing nutrients. However, mineralization of soil organic N varies widely with soil properties (type, texture, pH&hellp;). Qi-xiao, 1984, Eneji et al., 2002). Due to urbanization, rice has become an important staple food in Ghana and rank second after wheat on the food import list of Ghana GLG/SOFRICO).
Soils of the inland valleys of West Africa are generally very poor in nutrients. The average exchangeable Ca, Mg and K, ECEC, clay content and available phosphorus of these soils are considerably lower than those in Southeast Asia and Japan (Hirose and Wakatsuki, 2002). Their fertility is therefore among the lowest in the world. Farmers in the inland valleys (IVs) of sub-Saharan Africa cultivate rice mostly under rainfed conditions with little or no bunding. Their fields alternate between flooded and droughty conditions, thus subjecting added inputs, particularly N, to leaching and surface runoff, leading to reduced N-use efficiency (Fashoola et al., 2001). The traditional low-yielding, non-responsive rice varieties are being replaced by improved high-yielding varieties in West Africa (IITA,1992). Balanced fertilization and availability of macro and micro-nutrients is essential to realize the yield potential of these modern varieties. The use of inorganic fertilizer is very low among rice farmers in West African due to its high cost. Keeping the production cost low is an important strategy for smallholder rice farmers in the area. Therefore, the use of low-cost external inputs, while maintaining stable rice yield is necessary. An experiment was conducted to evaluate rice growth, grain yield and N response under different soil amendments (viz. inorganic fertilizer, sewage sludge, poultry and cattle manure) in three lowland soils of Ghana.
The study was carried out in 2003 during the dry and rainy seasons at the Crops Research Institute, Kumasi, Ghana. The site is located in the semi-deciduous forest agro-ecological zone with a bimodal rainfall pattern. The major rainy season lasts from mid-March to the end of July, while the secondary rainy season begins in September and ends in mid-November (Figure 1). This is followed by a long dry spell which ends by mid-March. The soils used for the study were an Eutric Vertisol, an Eutric Fluvisol, an Haplic Gleysol Food and Agricultural Organization (1991), which represent the main lowland soils in Ghana. The physico-chemical properties of the soils are given in Table 1.
Figure 1. Monthly rainfall (mm) and mean temperature at Crops Research Institute, Kumasi, Ghana during the experiment
Pots (25 cm in diameter and 30 cm in depth) were filled with 8 kg of each of the soils. Three sources of organic manure (Table 2), – Humified sludge (HS), Poultry manure (PM), Cattle manure (CM), mixture of manures (MM=HS+PM+CM) and inorganic fertilizer (90 kg N + 45 kg P205 and 45 kg K20 ha-1) constituted the treatments. The control treatments received neither manure nor inorganic fertilizer. The quantities of the manure applied were calculated to supply 90 kg ha-1 were mixed with the soil four weeks before the transplantation of the rice seedlings. There was total of 18 treatments (i.e. three soil types x five sources of plant nutrients and a control). The 18 treatments were replicated five times and arranged in a randomized complete block design.
Table 1. Characteristics of the Soil Used for the Study
|
Eutric Vertisol |
Eutric Fluvisol |
Haplic Gleysol |
|
|
pH (H2O) 1:2 |
7.5 |
4.7 |
5.0 |
|
Total C (gkg-1) |
23.0 |
12.7 |
12.0 |
|
Total N (gkg-1) |
2.1 |
3.3 |
1.3 |
|
Available P (mg kg-1) |
2.1 |
1.8 |
2.9 |
|
Exc. Ca (cmolckg-1) |
13.3 |
6.4 |
8.2 |
|
Exc. K (cmol kg-1) |
0.1 |
0.8 |
0.2 |
|
Exc. Mg (cmolc kg-1) |
5.3 |
2.8 |
1.7 |
|
Exc. Na (cmol kg-1) |
0.7 |
0.3 |
0.4 |
|
Exc. Acidity (cmol kg-1) |
0.8 |
1.0 |
1.0 |
|
CEC (cmol kg-1) |
28.5 |
11.2 |
11.9 |
| Texture |
DC |
SiCL |
SiL |
DC = Dark clay; SiCL = Silty clay loam; SiL = Silty Loam
Table 2. Characteristics of the Organic Manutres Used for the Study
|
Humifie Sludge |
Poultry Manure |
Cattle Manure |
|
|
pH (H2O) 1:2 |
6.1 |
8.0 |
7.5 |
| Moisture (%) |
69.2 |
72.0 |
77.7 |
|
Total C (gkg-1) |
335.9 |
153.0 |
252.2 |
|
Total N (gkg-1) |
57.4 |
35.0 |
19.0 |
|
P2O5 (gkg-1) |
50.8 |
66.4 |
14.9 |
|
CaO (gkg-1) |
18.9 |
28.0 |
18.2 |
|
K2O (gkg-1) |
5.3 |
21.8 |
24.1 |
|
MgO (gkg-1) |
5.1 |
13.4 |
11.5 |
|
ECdSm-1 (1:1) |
1.8 |
7.5 |
7.1 |
For the inorganic treatment, a
basal fertilizer rate
of 45 kg N, 45 P2O5 kg and 45 kg K2O ha
At maximum tillering (MT), heading and harvest period, the above ground biomass was sampled, dried (70oC), weighed and ground to pass a 0.42 mm sieve. Soil samples were also collected from the topsoil (0-15 cm), dried and ground to pass a 2 mm sieve before analysis. Total N and C content of both the plant and soil samples were analysed by the dry combustion method using an automated Yanaco CN coder (Model MT-700, Yanagimoto MFG. Co. Ltd. Kyoto, Japan). The rice grain weight was recorded at harvest and its moisture content was measured using a multigrain tester. Grain weight was then adjusted to 14% moisture.
Nitrogen use efficiency (NUE) was evaluated based on the agronomic N use efficiency (ANUE), the physiological N use efficiency (PNUE) and the nitrogen harvest indexes (NHI) using the following equations;
Rice growth, yield and yield attributes (number of tillers, plant height, number of panicles, 1,000 grain weight, grain yield and weight of dry matter at maximum tillering, anthesis and at harvest) were recorded.
The data were statistically analysed as a factorial experiment following the general Linear Model (GLM) procedure of SAS/StatView package (1999). A probability of <0.05 was considered as significant and the mean separation was done by Duncan’s multiple Range Test.
Results
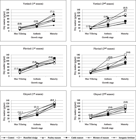
A sharp increase in dry matter was observed from anthesis (AT) to grain maturity (MAT) Figure 2. However, amending the vertisol with PM in the 1st season, and Fluvisol with IF in the 2nd season, resulted in a significant decreases in DM accumulation from AT to MAT. For all soils, CM and MM gave a relatively low DM accumulation towards maturity particularly in the 2nd season. DM accumulation was poorer when no amendments were made to the soils in both seasons. In dry season, the highest DM accumulation was observed in Gleysol amended with PM and IF treatments while for both seasons, HS application proved superior.
Figure 2. Dry matter accumulation at different growth stages of rice as affected by soil type and nutrient sources
The average standard error of the six treatments at each growth stage is given in parenthesis.
The data for the number of effective tillers per hill are represented in Table 3. During the dry season, all treatments, but CM, significantly improved tillering in the vertisol. The fluvisol PM treatment gave significantly more tillers than the other treatments. For the gleysol tillering was best in the PM and IF treatments. During the rainy season HS produced more tillers than the other nutrient amendments under vertisol while HS, IF, PM gave more tillers under Gleysol. For the Fluvisol, PM, IF and HS produced more tillers than the other amendments. Based on soil type, tillering varied in the order fluvisol>gleysol> vertisol.
During the dry season all nutrient amendment of vertisol significantly increased plant height (Table 3), but height differences in fluvisol were not significant. Cattle manure, PM and MM had better effect on plant height under Gleysol. In the rainy season, HS and PM significantly increased plant height under the Vertisol while for Fluvisol, PM was superior to all other amendments. For both seasons the lowest plant eight was recorded under vertisol.
The data on days to 50% flowering are also shown in Table 3. Rice took a longertime to flower when the vertisol was not treated with manure or fertilizer during the two seasons. Flowering also was delayed when gleysol was amended with PM, CM and IF in the rainy season.
Difference in 1,000 grain weight among the soil types and plant nutrient inputs did not follow any trend during the dry season. However, in rainy season, all the treatments improved 1,000 grain weight than control in both vertisol and fluvisol (Table 4).
The number of rice grains per panicle is presented in Table 3. This was recorded only in rainy season. The differences among soil types are ranked: EF>EV>HG whereas based on nutrient sources the number of seeds per panicle varied in the order: HS>PM>IF>CM>MM>CONTROL
Table 3. Effect of soils and manure type on growth and yield attributes of rice Values with different letters are significantly different
|
Plant Height (cm) Soil Type |
|||||||||
| Nutrient source | Vert | Fluv | Gley | Vert | Fluv | Gley | Vert | Fluv | Gleyv |
| Control |
14a |
25a |
25a |
94.0a |
116.3a | 107.3ab |
112c |
103c |
100bc |
| HS |
21b |
33b |
23a |
120.3b |
121.3a | 103.7a |
97a |
99bc |
100bc |
| PM |
21b |
40c |
31b |
121.3b |
118.3a | 117.3c |
104b |
96ab |
104b |
| CM |
13a |
28a |
24a |
112.7b |
116.3a | 116.7bc |
95a |
96ab |
93a |
| MM |
19b |
26a |
22a |
118.7b |
117.0a | 117.7c |
103b |
98b |
98b |
| IF |
21b |
29a |
34b |
112.7b |
115.3a | 106.0a |
101b |
93a |
96ab |
|
Height (cm) Soil Type |
No. of grains/panicle Soil Type | |||||||||||
| Nutrient source | Vert | Fluv | Gley | Vert |
Fluv |
Gley | Vert | Fluv |
Gley |
Vert | Fluv | Gley |
| Control |
10a |
18a |
14a |
112.6a |
110.0a |
103.3a | 111d | 100a |
99b |
121a | 135a | 127a |
| HS |
19b |
26a |
27c |
125.7d | 114.7a | 123.3c | 98a | 100ab |
100bc |
168c | 164c | 140a |
| PM |
18a |
24a |
22abc |
122.7d | 124.7b | 114.7b | 104b | 98a |
101c |
159bc | 159bc | 129a |
| CM |
12a |
18a |
16ab |
119.3bc | 111.7a | 118.3bc | 107c | 100a |
102c |
135a | 142ab | 135a |
| MM |
11a |
19a |
16ab |
107.6a | 117.7a | 102.0a | 108c | 98a |
96a |
132a | 144ab | 135a |
| IF |
17a |
25a |
24bc |
113.3ab | 116.3a | 105.3a | 100a | 99ab |
101c |
148b | 142ab | 131a |
(HS = humifed sludge; PM = poultry manure; CM = cattle manure; MM = mixture of manures; IF = inorganic fertilizer; Vert = eutric vertisol; Fluv = eutric fluvisol; Gley = haplic gleysol)
Table 4. Effect of sources of plant nutrients and soil type on 1,000 grain weight. Values with different letters are significantly different
|
Grain weight (g) |
||||||
|
Dry season Soil Type |
Rainy Season Soil Type |
|||||
|
Nutrient source |
Vert | Fluv | Gley |
Vert |
Fluv | Gley |
| Control |
20.9a |
24.3b | 23.6ab |
23.0a |
23.3a | 27.0b |
| HS |
23.5ab |
24.1b | 22.3ab |
29.4b |
28.1b | 27.5b |
| PM |
23.5ab |
21.1a | 22.4ab |
29.1b |
28.8b | 28.5b |
| CM |
24.1b |
25.7b | 22.1a |
27.9b |
29.1b | 29.1b |
| MM |
23.9b |
22.6a | 22.9ab |
27.7b |
30.0b | 27.7b |
| IF |
22.9a |
24.5b | 25.0b |
29.0b |
29.1b | 27.7b |
HS = humified sludge; PM = poultry manure; CM = cattle manure; MM = mixture of manures; IF = Inorganic fertilizer; Vert = eutric vertisol; Fluv = eutric fluvisol; Gley = haplic gleysol.
The effect of different soils and manure types on rice yields for the dry and rainy seasons’ trials, are shown in Figure 3. In the dry season the manure effect on rice yield was ranked HS>PM>MM>IF>CM> CONTROL. Among the soils, the rice grain yield differed in the following order: EF>HG>EV. The best grain yields were recorded when HS and PM were incorporated in the vertisol. Grain yield was lowest in the unfertilized vertisol. Yield response to all nutrient amendments except MM was similar for fluvisol and gleysol during the dry seaso. Generally grain yield of rice in rainy season exceeded that of the dry season by 17.4%. Differences in yield among the soils followed a similar trend as the dry season trial. However among nutrient sources the trend differed in the order; HS>PM>IF>CM>MM>CONTROL. HS and PM produced similar yields under Fluvisol. For the two seasons, HS and PM amendment increased rice yield more than the inorganic fertilizer.
The greatest harvest index (64.1%) was obtained from vertisol amended with MM as shown in Figure 3. Under Fluvisol MM gave the lowest HI in the dry season but in the rainy season HI was lowest under IF and control treatments. In the dry season, the IF-treated Gleysol gave the lowest HI. Gleysol treated with mixed manures had the best HI among the treatments in the two seasons.
Nutrient amendments significantly improved nitrogen (N) uptake in both the grain and the straw (Table 5) but the uptake differed significantly among soil types and nutrient sources (P <0.01). In the 2nd season, total N uptake due to HS incorporation was significantly higher than in all other treatments across soil types. However, in the straw, N uptake due to HS and IF application was similar. During the 1st season, N uptake was higher under Gleysol than the other soil types. Soil type did not have effect on N uptake in all plant parts in the 2nd season.

Figure 3. Influence of different sources of plant nutrient and soil type on Harvest Index. Bars with the same letters are not significantly different
For both seasons, the highest agronomic nitrogen use efficiency (ANUE) was obtained from HS amendment (Table 6). ANUE was best under vertisol. In 2nd season ANUE varied among soil types in the following order: Vert>Gley>Fluv. Regardless of the soil type, no significant differences were observed among nutrient sources in the 1st season. However a significant interaction was observed between nutrient sources and soil types. The trend in 2nd season with respect to nutrient application followed the order: HS>PM>IF>CM>MM.
Generally nutrient source or soil type did not substantially affect the ratio of grain production/total N (i.e. PNUE). The influence due to nutrient treatment was significant only in the 1st season (Table 6).
Table 5. Influence of soil and manure type on N uptake in rice grain and straw
|
haplic gleysol) Nutrient source (N) |
Second (Rainy) season |
||||||
|
N uptake in grain (g/kg) |
N uptake Straw (g/kg) |
Total Nuptake in plant (g/kg) |
N uptake in grain (gkg) |
N uptakeStraw (g/kg) |
Total N uptake in plant (g/kg) |
||
| Control | 0.41c | 0.47b | 0.88b |
0.50d |
0.34c |
0.84d |
|
| HS | 0.67a | 0.73a | 1.41a |
1.16a |
0.65a |
1.81a |
|
| PM | 0.65ab | 0.67ab | 1.32a |
1.00b |
0.56b |
1.56b |
|
| CM | 0.56b | 0.61ab | 1.17a |
0.76c |
0.38c |
1.14c |
|
| MM | 0.61ab | 0.53ab | 1.14ab |
0.76c |
0.34c |
1.10c |
|
| IF | 0.62ab | 0.61ab | 1.23a |
0.87c |
0.69a |
1.56b |
|
|
Soil type (S) |
|||||||
| Vert | 0.56a | 0.42c | 0.98b |
0.79a |
0.45a |
1.24a |
|
| Fluv | 0.57a | 0.51b | 1.09b |
0.91a |
0.55a |
1.46a |
|
| Gley | 0.62a | 0.88a | 1.5a |
0.82a |
0.48a |
1.30a |
|
| N × S | ** | * | ** |
** |
** |
** |
|
* Significant at 0.05
level; ** Significant at 0.01 level
NS = not significant;
HS = humified sludge; PM = poultry manure; CM = cattle manure; MM = mixture of
manures; IF = inorganic fertilizer; Vert =
eutric vertisol; Fluv = eutric fluvisol; Gley = haplic gleysol In a column under the
same layer, means followed by a common letter are not significant at 5% level
by DMRT.
Table 6. Effect of soil and manure type on Agronomic nitrogen use efficiency (ANUE), Physiological nitrogen use efficiency (PNUE) and Nitrogen harvest index of rice
|
Second (Rainy) season |
|||||||
|
ANUE (g rice per N applied) |
PNUE (g rice per N absorbed) |
NHI (%) |
ANUE (g rice per N applied) |
PNUE (g rice per N absorbed) |
NHI (%) |
||
| Control | – | 21.5b | 46.4a | – | 35.7ab | 59.2c | |
| HS | 51.9a | 29.5a | 8.9a | 96.0a | 36.1ab | 64.1b | |
| PM | 48.5a | 30.4a | 50.4a | 74.7ab | 37.2a | 64.1b | |
| CM | 36.0a | 30.4a | 50.0a | 39.1cd | 39.0a | 66.8ab | |
| MM | 45.1a | 33.9a | 54.4a | 33.9d | 38.7a | 70.3a | |
| IF | 48.8a | 32.2a | 51.2a | 60.6bc | 33.4b | 56.1c | |
|
Soil type (S) |
|||||||
| Vert | 82.5a | 30.7a | 55.9a | 91.8a | 36.4a | 64.6a | |
| Fluv | 62.3a | 33.6a | 53.2a | 15.3c | 36.6a | 62.1a | |
| Gley | 37.6b | 24.7a | 41.6a | 31.1b | 37.0a | 63.6a | |
| N × S | ** | ** | * | ** | ** | ** | |
* Significant at 0.05
level; ** Significant at 0.01 level
NS = not significant;
HS = humified sludge; PM = poultry manure; CM = cattle manure; MM = mixture of
manures; IF = inorganic fertilizer; Vert =
eutric vertisol; Fluv = eutric fluvisol; Gley = haplic gleysol In a column under the same layer, means
followed by a common lette are not significant at 5% level by DMRT.
No statistically significant change in nitrogen harvest index (NHI) occurred as a result of soil amendment in the 1st season. A similar observation was made among soil types in both seasons (Table 6). The best NHI value was recorded in the 2nd season with MM amendments. However this did not differ significantly from the value recorded under CM treatment. IF incorporation recorded the lowest NHI in all soil types as compared with the organic amendments in the 2nd season. There was an interaction between nutrient source and soil type for all parameters shown in Table 6.
Generally, a greater number of effective tillers were obtained with PM, HS. This was possibly due to continuous and adequate release of plant nutrients particularly nitrogen for development of tillers and panicles. Mae and Shoji (1984) reports close correlation between the number of tillers and amount of N absorbed during tillering and panicle initiation. Poor physical condition and probably NH+4 fixation in the vertisol may explain the poor tillering of rice in the unfertilized control compared to the other soil types of the same treatment. The number of days to 50% flowering was increased by about 7 days during both seasons in the un-amended vertisol. Nutrient amendment and soil type did not have much influence on 1,000-grain weight, although some lower values were obtained with control only during the rainy season. Test weight is a varietal character strictly controlled by the hull of the particular variety and thus cannot grow beyond the size allowed by the size of the hull (Mae 1997). This might explain the marginal influence of the treatments on the 1,000-grain weight.
There was a high yield response to organic amendment in both seasons. The relatively high yield obtained from the unamended fluvisol and Gleysol compared to vertisol suggests relatively higher inherent fertility in these soils. According to Norman et al. (1998) rice grown on clay soils (e.g. Vertisol) requires 35-65 kg N ha-1 more fertilizer than does rice on silty loam to achieve similar grain yield due to NH+4 fixation and diffusion constrains in the former. Also in Vertisol P is hardly available to plants since it is usually bound in the insoluble form of Ca-P (Ae et al., 1991). The improved grain yield recorded with the incorporation of HS and PM in the soils suggests adequate release of N and other essential nutrients such as P to meet the demand of the rice crop. According to Snapp (1995) high quality organic materials provides readily available N, energy (carbon) and nutrients to soil ecosystems, besides its role in retaining mineral nutrients such as N, S, and micronutrients in the soil. The higher yields obtained in the 2nd season as compared to the first season could be due to residual effects of previous organic amendments and rice root biomass left after harvest of the first crop. According to Qi-Xiao (1984), the annual contribution of rice root to soil organic matter content in China was about 211 kg/ha with 46% carbon. In long-term studies manures have been shown to improve soil fertility, N supply capacity and physical parameters (Rasmussen et al., 1980).
Generally, as reported by Mae (1997), rates of leaf expansion and dry matter accumulation are the greatest during the period from panicle primordial initiation stage to late stage of spikelet initiation. Norman et al. (2003) reported dramatic increase in dry matter after heading due to grain filling. In this study, organic materials affected dry matter accumulation pattern in the growth stages. The higher DM value observed mostly with the application of HS and PM may partly be ascribed to its ability to synchronously release N to rice, compared with CM and MM, although DM accumulation differed amog soil types. There were some peculiar patterns observed for DM accumulation: (a) a linear increase from MT to MAT as with IF and control treatments and (b) a sharp increase from MT to AT and gradual increase from AT to MAT, as with HS treatment in Fluvisol and PM treatments in Vertisol during 2nd season (Figure 2).
The lower N content of the straw at maturity in comparison to the content in the grain especially in 2nd season (Table 5) clearly indicates N remobilization from the vegetative parts. Mae and Shoji (1984) reported that remobilized N from the vegetative organs to the panicles accounted for 70-90% of the total N, with the leaf blade alone contributing 60% of the remobilized N. The higher N uptake in the grain of rice fertilized with HS, PM and IF reflected the extent and pattern of N release for absorption by plant from seedling stage to grain filling stages (Norman et al., 2003). Perhaps the relatively high C/N ratio of CM, 13.3, compared to HS and PM, (5.9 and 4.4, respectively), caused N immobilization in soil, hence the low N uptake. The differences in N uptake observed among the soils especially the higher uptake in fluvisol and gleysol could be either due to the native N supply capacity of the soils associated with soil organic carbon and total soil N (Sahrawat, 1982) or probably a result of high fixation of NH4+ and diffusion restriction associated with 2:1 clays such as found in vertisol (Trostle et al., 1998).
The high ANUE observed for all nutrient inputs under vertisol in comparison with values under fluvisol and Gleysol was mainly due to very low rice grain yield in the control treatment in vertisol. The low ANUE values of fluvisol and gleysol especially in the second season (Table 6) indicate that relatively high native N fertility reduced crop responsiveness to added N from external sources. This suggests the need to reduce the amount of N applied to soils with higher native N to improve fertilizer use efficiency. The carryover effect of the first season amendment increased grain yield for most of the treatments. Based on nutrient sources, the ANUE generally increased in the second season. The probable reason could be that the amount of N applied in the second season was in reality higher than that used for the calculation considering the characteristically gradual N release from organic materials and the carry-over effect from the 1st season. In addition this carry-over effect seemed to increase the rate of DM accumulation from MT to AT in Vertisol in 2nd season (Figure 2). Nutrient amendment had little effect on ANUE in both Fluvisol and Gleysol particularly in the 2nd season probably due to relatively high native soil fertility. According to Bufogle et al. (1997a, 1997b), at maturity there is similar amount of fertilizer N and native N accumulated by the rice plant with 50 to 70% of the N in grain depending on N fertilizer rate and seeding method. Contribution of native N to grain production was thought to be very high in Fluvisol and Gleysol.
The relatively high N uptake due to HS and PM application, particularly in the 2nd season (Table 5), resulted to low PNUE and NHI. This observation may indicate that N supplies from HS and PM was in excess of the N needed by the variety at the current N fertilizer rate. According to Eagle et al. (2000), when available N was in excess, much of the additional N uptake is partitioned within the straw, resulting in a lower ratio of grain N/total plant N (i.e. NHI) and a lower ratio of grain production/total plant N (i.e. PNUE). It could therefore be inferred that in a relatively N limiting system, such as in zero N, CM and MM fertilized pots, any increased N uptake was partitioned to the grain, resulting in higher ratios although their grain and straw yields were lower than the other treatments.
The results show that rice grain yield can greatly be improved by use of organic waste particularly humified sludge in soils of low fertility status such as the West African lowland soils. However the low potassium content of humified sludge needs to be supplemented with external potassium input to prevent mining of this deficient element in the soil. The Significant increase in grain yield during the second (rainy) season indicate that long term application of organic waste may improve overall soil fertility status and lead to added benefit caused by more efficient utilization of plant nutrients.
Ae, N., Arihara, J. Okada, K. Phosphorus response of chickpea and evaluation of Phosphorus Availability in Indian Alfisols and Vertisol. In: Phosphorus Nutrition of Grain Legumes in the Semi-arid Tropics. Johnson, C., Lee, K.K., and Sahrawat, K.L. (eds.). International Crops Research Institute for Semi-arid Tropics, Pantancheru, India 1991.
Bufogle, A., Jr., Bollich, P.K., Kovar, J.L., Macchivelli, R.E. and Lindau, C.W. Rice variety differences in dry matter and nitrogen accumulations as related to plant stature and maturity group. J. Plant Nutr. 1997b, 20: 1203-1224.
Bufogle, A., Jr., Bollich, P.K., Kovar, J.L., Lindau, C.W. and Macchivelli, R.E. Rice Plant growth and Nitrogen Accumulation from mid season application. J. Plant Nutr. 1997a, 20: 1191-1201.
Eagle A.J., Bird, J.A., Horwath, W.R., Linquist, B.A., Brouder, S.M., Hill, J.E. and van Kessel, C. Rice yield and nitrogen utilization efficiency under alternative straw management practices. Agron. J. 2000, 92: 1096-1103.
Eneji, A.E., Honna, T., Yamamoto, S., Saito, T., and Masuda, T. Nitrogen transformation in four Japanese soils following manure and Urea amendment. Comm. Soil Sci. Plant Anal. 2002, 33(1&2): 53-66.
Fashoola, O.O.; Hayashi, K.; Masunaga, T.; and Wakatsuki, T. Use of Polyolefin-coated Urea to improve Indica Rice Cultivation in Sandy soils of West Africa. Jpn J. Trop. Agr. 2001. 45(2): 108-118.
Food and Agricultural Organization. World Soils Resources. An explanatory note. Map at 1: 25,000,000 scale. FAO, Rome, Italy, 1991.
GLG/SOFRICO. Feasibility study of Rice development Project in the Northern Region in Ghana. A report submitted to the Ministry of Agriculture, Accra, Ghana, 1997.
Hirose S.; and Wakatsuki, T. Restoration of Inland Valley Ecosystems in West Africa. Association of Agriculture and Forestry Statistics, Megro-ku, Tokyo, Japan, 2001, 104.
International Institute of Tropical Agriculture (IITA). Food Production in sub-Saharan Africa. 1. IITA’s Contributions. IITA Ibadan, Nigeria, 1992, 208.
Mae, T. Physiological Nitrogen Use Efficiency in rice: Nitrogen Utilization, Photosynthesis and Yield Potential. In Plant Nutrition For Sustainable food Production and Environment; Ando, T., Fugita, K., Mae, T., Matsumoto, H., Mori, S., and Sekiya, J. Eds.; Kluwer Academic Publishers, Dordrecht, The Netherlands, 1997, 51-60.
Mae, T.; and Shoji, S. Studies on fate of fertilizer nitrogen in rice plant and paddy soils using 15N as a tracer in Northern Japan. In soils Science and Plant Nutrition in Northern Japan (Special issue). Northeastern section of the Japanese Society of Soil Science and Plant Nutrition, Sendai, Japan, 1984, 77-94.
Norman, R.J., Wilson Jr. C.E. and Slaton, N.A. Soil Fertilization and Mineral Nutrition in U.S. mechanized Rice Culture. In: Rice: Origin, History, Technology and Production. C. Wayne Smith and R.H. Dilday (eds.). John Wiley and Sons, Inc., Hoboken, New Jersey, 2003, 31-411.
Norman, R.J., Bollich P.K., Wilson Jr. C.E. and Slaton, N.A. Influence of Nitrogen Fertilizer rate. Application timing and tillage on grain yields of water seeded rice. In B.R. Wells rice research stuies, 1997, Agri. Exp. Stn. Res. Ser. Eds. R.J. Norman and T.H. Johnson, 460, 299-302 Fayetteville, R.K.: University of Arkansas.
Qi-xiao, W. Utilization of organic materials in rice production in China. In Organic matter and Rice. The International Rice Research Institute, Los Baños, Philippines, 1984, 46-56.
Rasmussen, P.E., Allmaras, R.R., Rohde, C.R. and N.C. Roager. Crop Residue influence on Soil Carbon and Nitrogen in Wheat-Fallow System. Soil Sci Soc. Am. J. 1980, 44: 596-600.
Sahrawat, K.L. Assay of nitrogen supplying capacity of tropical rice soils. Plant soils, 1982, 65:65: 111-121.
SAS/Stat View. Using Statview. Statistical Analytical system Institute, (SAS) Inc., Cary, NC, 3rd Ed; 1999. 1-288.
Snapp, S.S. Improving fertilizer efficiency with small addition of high quality organic inputs. In: Report of the First Meeting of the Network Working Group. Soil Fertility Research Network for Maize-Based Farming Systens in Selected Countries of Southern Africa, Lilongwe, Malawi and Harare, Zimbab: S.R. Waddington (ed.). The Rekefeller Foundation. Southern Africa Agricultural Science Program and CIMMYT, Mexico City, Mexico, 1995, 60-65.
Trostle, C.L., Turner, F.T., Jund, M.F. and McInnes, K. Soil ammonium diffusion constraints may explain large differences in N supply to Texas rice. Proc. 27th Rice Tech. Work. Group. Texas Agricultural Database, reno, Nevada, USA, 1998, 188-198.
1 Crops Research Institute,P.O. Box 3785, Kumasi, Ghana
2 Faculty of Life and Environmental Sciences, Shimane University, Matsue 690-8504, Japan
3 Faculty of Agriculture, Kinki University, Nara 631-8505, Japan