Previous PageTable of ContentsNext Page

Re-evaluation of fertility status of sandy soil in Northeast Thailand with reference to soil-plant nutrient budgets

Yanai, J.1; S. Nakata2; S. Funakawa2; E. Nawata2; T. Tulaphitak3;
R. Katawatin3 and T. Kosaki2

Keywords: Maize, sandy soils, inorganic fertilizer, cow manure, plant nutrient uptake

Abstract

Sandy soils are generally regarded as very fragile with respect to agricultural production due to their very low nutrients and organic matter content. Limited information is available, however, on the fertility status of soils especially with reference to soil-plant relationship. The objectives of this study were, therefore, to examine the relationship between the nutrient contents in sandy soil and the amount of plant uptake for a variety of fertilizer applications and to evaluate the nutrient budget between soil and plant. A field experiment was undertaken at the experimental farm of Khon Kaen University, located in the central region of Northeast Thailand. Maize was grown during the rainy season (May – September) in 2004 on a sandy soil (Quartzipsamments). Six treatments were applied with three replications: NPK (equivalent to 100 kg ha-1), PK, NK, N P, control and NPK + manure treatments. Soil samples were collected and available and total contents of N, P and K were determined in addition to general soil properties. Plants were sampled at harvest and the contents of N, P and K determined.

Aboveground biomass was 7.35 t ha-1 for the NPK treatment. Biomass was 48%, 37%, 10% and 50% lower in PK, NK, NP and control treatment, respectively, indicating that N was the dominant limiting factor, followed by P and K. The amount of N, P and K in the aboveground biomass amounted to 53, 16 and 38 kg ha-1 for the NPK treatment. More than 80% of the root biomass was observed in the top 20 cm of the soil, where 19 kg ha-1 of mineralizable N, 72 kg ha-1 of available P and 77 kg ha-1 of exchangeable K were stored. These amounts corresponded to 40%, 57% and 20% of the nutrients stored within 1 m, suggesting high concentration of P and N on the surface soil. Relatively high ratios with respect to the amount of plant uptake to soil nutrients were also indicated, suggesting relatively low sustainability of the agricultural system without proper management.

Introduction

Sandy soils are generally regarded as very fragile with respect to agricultural production due to their very low nutrients and organic matter content (Boul et al. 2003, Wambeke 1992). Agricultural productivity on such soils is hence considerably low. In Northeast Thailand, for example, agricultural systems have been developed on such sandy soils and paddy rice has been cultivated in the lowlands and various field crops such as maize, cassava and sugarcane have been cultivated in the uplands. After continuous cultivation of such crops, yield decline has been observed mainly in the uplands. Decline in soil fertility has also been related to the decline of soil nutrients and organic matter. Nevertheless, limited information is available on the fertility status of soils especially with reference to soil-plant relationship, even though analysis of nutrient balance or soil-plant nutrient budget is important and inevitable to assess the sustainability of agricultural ecosystem (Vidhaya et al. 2004). The objectives of this study were, therefore, _o examine the relationship between the nutrient contents in soil and the amount of plant uptake for a variety of fertilizer applications and to evaluate the nutrient budget between soil and plant of the agricultural system established on marginal sandy soil.

Materials and methods

Experimental field

A field experiment was carried out at an experimental field in Khon Kaen University, located in the central region of Northeast Thailand (latitude: 16º28′N, longitude: 102º49′E, 207 m above sea level) with a mean annual temperature and precipitation of approximately 26 and 1,200 mm, respectively. The field examined was slightly undulating with an area of 0.36 ha (60 m × 60 m). The soil of the field was classified as Quartzipssamments (Soil Survey Staff 2003) or Nam Phong series according to the soil survey in Thailand.

Experimental design

Maize (Zea Mays L., CP-888) was grown for 114 days during rainy season in 2004. Seeds of maize were sown on May 15 and plant samples were collected on September 5. In the experiment, to investigate the effect of NPK management on plant growth and nutrient uptake, six treatments were randomly setup with three replications, i.e. NPK treatment, PK (-N) treatment, NK (-P) treatment, NP (-K) treatment, control (-NPK) treatment and manure (NPK + cow dung manure) treatment. Chemical fertilizers were applied at rates equivalent to 100 kg ha-1 of N, P and K as urea, Triple superphosphate and potassium chloride, respectively. Half of them was applied at the beginning of the experiment (May 15) and the rest was applied about 3 weeks later (June 11). Cow dung manure was applied as an example of organic matter fertilizer at rate equivalent to 10 t ha-1 (165 kg N, 36 kg P and 301 kg K ha-1) in addition to inorganic NPK fertilizers at the beginning of the experiment (May 15). They were applied manually by spreading on the ground and mixing with surface soil within 20 cm depth. The area of each plot was set to be 49 m2 (7 m × 7 m). In each plot 9 rows were prepared at an inter row spacing of 75 cm, and in each row 23 plants were established 30 cm apart.

Soil sampling and analysis

Soil samples were collected before and after the experiment. At the beginning of the experiment, soil samples were collected from the plow layer (0-20 cm) as composite samples and also from several layers of a 1 m deep profile horizontally. After the experiment, soil samples were collected from the bulk, rooting zone and rhizosphere part of the plow layer in each plot. Here the soil located far from plants, attached to the root system of plants weakly and strongly were regarded as bulk, rooting zone and rhizosphere samples, respectively.

All the soil samples were air-dried and sieved through 2 mm sieve before the analyses. The electrical conductivity (EC), pH, total C content, total N content, C/N ratio, contents of mineralizable N, inorganic N, available P, exchangeable Ca, Mg, K and Na, CEC and particle size distribution were measured as general properties of the soil. In addition total P and K contents were measured as the potential pool of P and K in soil. The electrical conductivity (EC) and pH were determined electrochemically (CM 30S, TOA Electronics; and pH/ion meter Model 225, Denver Instrument) in a 1:5 soil:water suspension. Total C content, total N content and C/N ratio were determined by the dry combustion method (Sumigraph NC analyser NC-800, Sumika Chem. Anal. Service). Mineralizable N content was obtained as the difference between the amount of N extractable with 2 M KCl solution before and after incubation at 30º for 4 weeks at field capacity. In the analyses, the concentrations of NH4+ and NO3- were determined by the indophenol_method and Griess-Ilosvay method, respectively (Mulvaney 1996). Available P content was determined by a colorimetric method after extraction by the Bray No. 2 method (Bray and Kurtz 1945). Contents of exchangeable Ca and Mg were determined by atomic absorption spectrometry (AA-660, Shimadzu Corp.) and contents of exchangeable K and Na by flame emission spectrometry (AA-660, Shimadzu Corp.) after extraction with a neutral 1 mol L-1 ammonium acetate solution. Cation exchangeable capacity was determined by measuring ammonium concentration of the extract of ammonium saturated soils with a 1 mol L-1 NaCl solution. Particle size distribution was analysed by the sieving and pipetting methods. Total P and K contents were determined by a colorimetric method and frame emission spectrometry, respectively, after wet digestion with conc. HNO3 and HClO4.

Plant sampling and analysis

Plant aboveground and belowground samples were collected at the end of the experiment. Five aboveground samples were collected from each plot and separated into corn, stem and leaf subsamples. Roots were washed out carefully from soil excavated in the control and manure treatments around one plant stand every 10 cm depth up to 1 m (30 cm × 75 cm for 0-50 cm depth and 30 cm × 37.5 cm for 50-100 cm depth).

All the corn, stem, leaf and root samples were oven dried at 70º for 24 hours and weighed to determine dry biomass. The grain component was weighed to calculate grain yield and then ground to a powder. The C and N contents were determined by the dry combustion method (Sumigraph NC analyser NC-800, Sumika Chem. Anal. Service). The P and K contents were determined by a colorimetric method and flame emission spectrometry (AA-660, Shimadzu Corp.), respectively, after wet-digestion of the plant samples with HNO3 and HClO4. The amount of N, P and K taken up by plants were then calculated as the product of dry weight and their contents in plants.

Results and discussion

Plant

Plant growth and yield The dry weight of corn was highest (5.18 t ha-1) for the NPK treatment, followed by the -K treatment, -P treatment, -N treatment, and lowest (2.54 t ha-1) for the control treatment (Figure 1). The dry weight for the NPK treatment was significantly higher than those for the -N, -P and control treatments (p <0.05). The dry weight of corn for the manure treatment was higher than that of the NPK treatment, suggesting the positive effect of organic matter application in addition to inorganic fertilizer application. Corn was the dominant part of aboveground biomass and contributed to about 70% of the total aboveground biomass regardless of the treatments. Similar tendencies were observed for the other parts of the aboveground biomass, and hence, for the total aboveground biomass: 7.35, 6.64, 4.65, 3.84, 3.71 t ha-1 for the NPK, -K, -P, -N and control treatments and 8.88 t ha-1 for the manure treatment, respectively. Aboveground biomass was, therefore, 48%, 37%, 10% and 50% lower in -N, -P, -K and control treatment, respectively, than that in the conventional treatment, indicating that N was the dominant limiting factor, followed by P and K. On the contrary, biomass was 21% higher in manure treatment. Yield also showed similar tendencies, suggesting that soil nutrients and fertilizers affect not only the biomass but also crop production of the corn grown on this low-fertility sandy soil: 4.02, 3.58, 2.41, 2.16, 1.97 t ha-1 for the NPK, -K, -P, -N and control treatment and 4.74 t ha-1 for the manure treatment, respectively.

Mangement of Tropical Sandy Soil for Sustainable Agriculture

Figure 1. Dry weight and yield of plant components

On the contrary, dry weight of the belowground biomass to 1 m soil depth was 0.7 and 1.8 t ha-1 for the _ontrol and manure treatment respectively, suggesting considerable amount of biomass (about 16%) was located in the soil.

N, P and K concentrations of the plants. N concentration of the aboveground biomass was about 7 g kg-1, and relatively higher in the corn and relatively lower in the stem part. P concentration of the aboveground biomass was about 2 g kg-1, and that of the corn part was relatively higher than those of the stem and leaf parts. K concentration of the aboveground biomass was about 4-6 g kg-1, and relatively higher in the corn part and relatively lower in the leaf part. The effects of the treatments on these concentrations were not so prominent, suggesting that concentrations of nutrients are more or less intrinsic characteristics of the plants.

Amounts of N, P and K taken up by the plants The amount of N, P and K in the aboveground biomass amounted to 53, 16 and 38 kg ha-1 for the NPK treatment, and 23, 7 and 15 kg ha-1 for the control treatment, respectively (Figure 2). The amount of N of the -N treatment and that of P of the -P treatment were similar to those of the control, suggesting the dependency of plants to fertilizers, whereas the amount of K of the -K treatment was between those of the NPK and control, suggesting relatively high contribution of soil K to plant uptake. It should be also noted that about 80% of N, 90% of P and 80% of K were in the corn, indicating that considerable part of the nutrients in the plants has been removed at harvesting every year.

Mangement of Tropical Sandy Soil for Sustainable Agriculture

Figure 2. Amount of N, P and K taken up by plants

Root distribution Figure 3 shows the root distribution of the control and manure treatment. About 61% and 80% of the total dry weight of the roots were located within the surface 10 cm of the soil for the control and manure treatment, respectively. Within 20 cm they amounted to 81 and 91%, respectively. These results suggest that considerable amount of roots were spread within the plow layer where more nutrients and organic matter were stored as discussed later, and that the percentage increased with the application of fertilizers onto the soil surface.

Mangement of Tropical Sandy Soil for Sustainable Agriculture

Figure 3. Root distribution in soil

Soil

General properties of the soil Surface soil (Ap1, 0-20 cm) had the pH of 5.5, EC of 21.7 µS cm-1, CEC of 2.14 cmolc kg-1, total N of 0.26 g kg-1, and about 90% of sand, suggesting relatively low soil nutrients, organic matter and capacity to store nutrients (Table 1). There was slight decrease in organic matter and increase in clay content with soil depth. However, very low status of soil fertility was observed throughout the soil profile. In general this soil was regarded as one of the representative sandy soils found in Northeast Thailand, as reported by Tulaphitak et al. (1996a, 1996b).

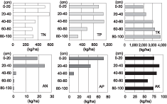
Amounts of N, P and K in the soil before the experiment The amounts of total and available N, P and K stored in the soil profile are shown in Figure 4. Here the mineralizable N, available P and exchangeable K were regarded to be the available fractions of N, P and K, respectively. The amounts of available N, P and K within 1 m depth amounted to 46.9, 126 and 384 kg ha-1, respectively, whereas those of total N, P and K within the same depth were 2,109, 2,764 and 14,275 kg ha-1, respectively. Therefore, available fractions of N, P and K corresponded to 2.2, 4.6 and 2.6% of the total, suggesting that only a small portion of the nutrients were readily available to plants. Distribution of the nutrients also varied according to the nutrients. Namely, the_amounts of total N and P gradually decreased with depth whereas that of total K showed gradual increase with depth. These would be related to the same tendencies of organic matter content and clay content within the profile, respectively (Table 1). Accordingly, the amountf of total N, P and K within 20 cm or within plow layer amounted to 25, 27 and 14% of the nutrients stored within 1 m, respectively. On the contrary, the amounts of available N, P and K within 20 cm or within plow layer amounted to 18.9, 71.8 and 76.8 kg ha-1 and corresponded to 40%, 57% and 20% of the nutrients stored within 1 m, respectively. This indicated high concentration of available P and N on the surface soil and relatively even distribution of available K within the profile. In this sense, therefore, erosion of surface soil may lead to rapid depletion of P and N in the soil-plant system, and hence, rapid decrease in sustainability of this agricultural ecosystem.

Mangement of Tropical Sandy Soil for Sustainable Agriculture

Figure 4. Distribution of total and available N, P and K stored in soil. TN, TP and TK designates Total N, P and K, and AN, AP and AK designates available N, P and K respectively

Table 1. General properties of the soil

Horizon

Depth (cm)

EC (µS/cm)

pH

CEC (cmolc/kg)

Exchangeable bases (cmolc/kg)

K

Na

Mg

Ca

Ap1 0-20 21.7 5.50 2.14 0.08 0.01 0.60 0.74
Ap2 20-32 25.0 5.37 2.54 0.08 0.06 0.55 0.83
Bw1 32-58 16.1 5.11 3.71 0.06 0.03 0.60 0.91
Bw2 58-84 16.3 4.90 5.14 0.05 0.02 0.39 0.87
C 84-125+ 17.6 4.85 2.12 0.06 0.00 0.38 0.71

Horizon

Depth (cm)

Total N (g/kg)

Total C (g/kg)

Available P(g/kg)

Particle size distribution

 

Sand (%)

Silt (%)

Clay (%)

 
Ap1 0-20 0.26 5.6 0.04 89.9 7.1 3.0  
Ap2 20-32 0.37 6.1 0.04 89.6 5.0 5.3  
Bw1 32-58 0.18 1.8 0.01 78.5 16.1 5.4  
Bw2 58-84 0.16 1.6 0.00 76.1 16.9 7.1  
C 84-125+ 0.16 1.6 0.00 73.6 19.3 7.1  

Amounts of N, P and K in the soil after the experiment The amounts of available N, P and K of the bulk, rooting zone and rhizosphere soil were measured to investigate the effect of plant growth on the distribution of nutrients in the soil in accordance with the distance from the plant roots. On average, clear differences were not observed among the bulk, rooting zone and rhizosphere soil (data not shown). There was, however, a slight decrease in available N and slight increase of available K in the rhizosphere, suggesting depletion of N around the roots. This result was in accordance with the fact that N was the main limiting factor for plant growth in this agricultural system. Further study is needed to investigate more thoroughly the chemical and positional availability of nutrients in this low-fertility sandy soil, as proposed by Moritsuka et al. (2003).

Soil-plant relationship

For the control treatment, the amount of N, P and K in corn was 18.9, 6.9 and 12.9 kg ha-1, respectively, and the amount of available N, P and K stored within 1 m of soil was 46.9, 126.4 and 384.4 kg ha-1, respectively. These results suggest that about 40%, 6% and 4% of soil available N, P and K could be removed by just one cultivation of maize without any fertilization. It means basically low sustainability of this agricultural system, especially for N, without proper management even though capacity factor of soil fertility such as replenishment of nutrients in the soil solution from soil-solid phase should be carefully taken into account. The apparent increase of nutrient uptake by NPK fertilization, calculated as the difference between the NPK and control treatments, was 30.2, 7.9 and 22.4 kg ha-1 for N, P and K respectively. These values also indicate apparent fertilizer use efficiency because 100 kg ha-1 of inorganic NPK fertilizers was added. It suggests that the efficiency was not high, especially for P, due to heavy rainfall and low capacity to retain nutrients in the soil. In order to improve sustainability of agricultural production, therefore, countermeasures should be taken to increase fertilizer use efficiency, such as proper incorporation of organic matter in combination with fertilizer application in this agricultural system. To minimize erosion of surface soil would be another prerequisite because con­siderable portion of stored N and P are found within 20 cm of the soil profile.

Conclusion

In this agro-ecosystem, N was the dominant limiting factor for crop production. A considerable part of the available N and P was located within 20 cm of the soil, suggesting the importance of surface soil on nutrient cycling between soil and plant. Relatively high ratio of the amount of plant uptake to soil nutrients strongly suggested the need for proper management for the maintenance of the sustainability of the system.

References

Boul, S.W., Southard, R.J., Graham, R.C. and McDaniel, P.A. 2003. Soil genesis and classification (5th ed.). Iowa State Press, Ames, Iowa, pp. 494.

Bray, R.H. and Kurtz, L.T. 1945. Determination of total, organic, and available forms of phosphorus in soils. Soil Sci. 59, 39-45.

Moritsuka, N., Yanai, J., Sano, S., Fujii, A. and Kosaki, T. 2003. Evaluation of readily available non-exchangeable potassium in soil by sequential extractions with 0.01 molar hydrochloric acid. Soil Science and Plant Nutrition, 49, 631-639.

Mulvaney, R._. 1996. Nitrogen – inorganic forms. In Methods of Soil Analysis. Part 3. Chemical Methods. SSSA Book series No. 5, p. 1123-1184.

Soil Survey Staff 2003. Keys to Soil Taxonomy (9th edition). USDA Natural Resources Conservation Service, Washington, pp. 332.

Tulaphitak, T., Miura, K., Sakurai, K. and Kyuma, K. 1996a. Some plateau soils and their materials in the Khon Kaen Area, Northeast Tailand. I. General characteristics of soils. Jpn. J. Trop. Agr. 40, 73-83.

Tulaphitak, T., Miura, K., Sakurai, K. and Kyuma, K. 1996b: Some plateau soils and their materials in the Khon Kaen Area, Northeast Tailand. II. Soil material characteristics and classification. Jpn. J. Trop. Agr. 40, 84-88.

Vidhaya, T., Viriya, L. and Alan, P. 2004. Nutrient balances and sustainability of sugarcane fields in a mini-watershed agro-ecosystem of Northeast Thailand. Southeast Asian Studies, 41, 473-490.

Wambeke, A. van 1992. Soils of the tropics: properties and appraisal. McGraw-Hill Inc., New York, pp. 343.


1 Kyoto Prefectural University, Shimogamo hangi-cho, Sakyo, Kyoto 606-8522, Japan.
2 Kyoto University, Kitashirakawa Oiwake-cho, Sakyo, Kyoto 606-8502, Japan.
3 Khon Kaen University, Khon Kaen 40002, Thailand.

Addition of clay based soil ameliorants to light textured soils to reduce nutrient loss and increase crop productivity

Berthelsen, S.1; A.D. Noble, A2; S. Ruaysoongnerm3; M. Webb4;
Huan Hengfu5 and Yi Jiexiang6

Keywords: Sandy soils, remediation, high activity clay additions, CEC, increased production, sugarcane, sorghum

Abstract

Productivity decline occurs in many agronomic systems due to loss of soil organic matter and a consequent decline in soil fertility. This is pronounced in light textured soils, which even in their pristine state can have low levels of fertility. High temperatures and leaching conditions in tropical environments further exacerbates this poor fertility. In order to facilitate agronomic production on these soils, significant amounts of organic or inorganic fertilizers are required to maintain economic yields. However, the inherent low cation exchange capacity (CEC) of these soils limits their ability to retain nutrients such as Ca2+, Mg2+ and K+. The addition of inorganic fertilizer is often beyond the means of resource poor farmers and has the potential negative impact on the environment due significant leaching losses associated with the high hydraulic conductivity of light textured sandy soils.

This paper reviews results from field experiments designed to assess the efficacy of bentonite (high-activity clay with a high CEC) additions on improving crop productivity and reducing nutrient loss. A number of field trials were established on light-textured soils in Northern Australia, Northeast Thailand and Hainan Province in China. Treatments and crop species (including sugarcane and various forage crops) differed at each of the study locations and included a range of rates (from 10 to 60 t ha-1), different application methods (broadcast, banded and slotted), and in some trials a comparison with other commonly used field amendments (e.g. various organic materials and termite mound material). These field trials demonstrated significant increases in crop biomass and yields associated with clay additions. Additional glasshouse studies support the observed increases in biomass observed in the field trials, and suggest that the yield increases were due to a combination of increased water-holding capacity, nutrient availability and reduced nutrient loss. These results support the notion that degraded light textured soils can be highly productive if intrinsic properties are addressed through clay additions.

Introduction

It is well recognised that when soils are cleared of their native vegetation and cultivated, chemical degradation of inherent chemical properties occurs. In general, a decline in soil organic matter (SOM) reduces the soil’s capacity to retain exchangeable cations, resulting in accelerated soil acidification and nutrient depletion. The consequent decline in soil fertility can be pronounced in light textured soils, which even in their pristine state can have low levels of fertility. This poor fertility can be further exacerbated by the high temperatures and leaching conditions found in tropical environments.

The impact on soil chemical properties following land clearing and continuous cropping can be illustrated by results obtained from a ‘paired site’ study, carried out as part of an ACIAR4 funded project investigating the development of technologies to alleviate soil acidification in legume based production systems in the tropics of Asia and Australia. Results from selected sites from Northeast Thailand and Hainan, China are presented in Table 1. The decline in organic carbon (OC), cation exchange capacity (CEC) and pH buffering capacity (pHBC) is clearly demonstrated in the soil attributes of the long-term cultivated systems when compared to their adjacent forest sites.

Table 1. Soil chemical properties of the surface 0-10 cm depth interval from selected paired sites from Northeast Thailand and Hainan, China

Site No.

Parent material

Vegetation

Years under prod.

pH

OC

Ca2+

Mg2+

K-

CEC

pHBC cmolH+/ kg.unit pH<_b>

         

%

 

cmol(+)/kg

 

Hainan, China

AC01 metamorphic eucalypts 40 4.61 0.87 0.18 0.24 0.1 2.75

1.60

AC01 metamorphic

peanuts/sweet potato

10 4.88 0.71 0.74 0.14 0.04 1.94

1.16

AC07

granite

eucalypts 20 5.07 0.93 0.25 0.25 0.22 1.14

1.12

AC07

granite

pepper 3.5 4.88 0.64 0.3 0.11 0.32 1.23

1.20

AC05

granite

eucalypts 20 4.8 1.25 0.41 0.19 0.09 1.99

1.62

AC05 Granite _pepper 13 4.78 0.78 0.21 0.09 0.07 1.37

1.33

AC09 Marine pine na 5.07 0.5 0.05 0.05 0.02 0.60

1.01

AC09 Marine kinggrass na 5.11 0.52 0.05 0.03 0.02 0.62

1.04

AC06

Sandy

eucalypts 18 4.78 0.59 0.09 0.15 0.05 0.96

0.93

AC06

Sandy

pineapples 2 4.90 0.32 0.11 0.03 0.03 1.00

0.94

AC04 Fluvial coconuts 36 5.22 0.85 0.91 0.31 0.06 1.53

1.00

AC04 Fluvial

cowpeas/chillies

20 5.42 0.43 1.6 0.11 0.52 1.31

1.09

Northeast Thailand

C1 Alluvium

Diterocarp forest

comm.
forest 14 yrs

5.18 0.67 0.74 0.40 0.09 1.57

0.92

C1 Alluvium

cassava

40+ 5.00 0.33 0.25 0.11 0.03 0.83

0.63

C2 Alluvium

Diterocarp forest

comm.
forest 14 yrs

5.05 1.08 0.80 0.45 0.07 2.09

1.14

C2 Alluvium

cassava

40+ 5.02 0.43 0.34 0.11 0.04 0.91

0.83

C3 Alluvium

Diterocarp forest

comm.
forest 14 yrs

5.08 0.65 0.59 0.37 0.05 1.64

1.07

C3 Alluvium

cassava

38 5.25 0.28 0.30 0.11 0.03 0.73

0.59

R3 Alluvium

Diterocarp forest

nat. reserve
forest

4.72 0.96 0.25 0.19 0.09 1.67

1.32

R3 Alluvium

rice

37 5.09 0.67 0.60 0.11 0.04 1.21

0.76

R4 Alluvium

Diterocarp forest

spiritual
forest

4.87 0.85 0.34 0.20 0.07 1.34

1.07

R4 Alluvium

rice

50+

5.18 0.21 0.14 0.03 0.04 0.48

0.41

R5 Alluvium

Diterocarp forest

spiritual
forest

5.16 1.06 1.44 0.45 0.06 2.52

1.23

R5 Alluvium

rice

100+

5.03 0.29 0.16 0.05 0.02 0.67 0.45

The Thailand sites exhibited a greater degree of degradation compared to the Hainan sites, as true ‘undisturbed’ forest sites were not available in Hainan. At the time of sampling in Hainan, all ‘undisturbed’ sites had been under a permanent tree crop for 20 years or more. This shift back to a more permanent tree crop system, plus a more regular use of organic waste materials in the crop production systems of Hainan may be providing a degree of reversal to degrading processes commonly observed in most changed land use systems. However, despite this, it is clear that these sandy soils from both Thailand and China have generally low fertility and low capacity to retain nutrients and that this has been further exacerbated by long term cultivation.

Many of the crop production systems studied require significant amounts of inorganic fertilizers to sustain economic yields. However, adding sufficient nutrients to ensure adequate plant growth can be difficult as the inherently low CEC of these soils limits the ability of the soil to hold nutrients such as calcium (Ca2+), magnesium (Mg2+) and potassium (K+), and these can be rapidly lost through leaching. Under these conditions, the addition of fertilizers can be expensive, wasteful and have the potential to cause significant environmental harm as many of the applied nutrients can be lost from the system through leaching into the underground aquifers and runoff into streams, ultimately affecting water quality.

To attempt to counteract this degradation and the consequences of nutrient depletion and soil acidification remediation strategies are often implemented. The addition of organic amendments such as manure or compost can be effective but short-lived in tropical environments, requiring large quantities and regular additions. Effort has also gone into strategies to remediate surface soil acidification and increasing CEC through the addition of liming materials. However, on light textured sandy soils containing low activity clays with limited buffering capacity, the rate of re-acidification after liming is invariably high due to the low inherent resistance of the soil to acid input (Lesturgez et al., 2005). An alternative approach to increasing the nutrient retention properties of the soil has been demonstrated in recent studies (Noble et al; 2001; Noble et al; 2003; Noble et al; 2004) where the addition and incorporation of high-activity clay has been shown to permanently increase the CEC of the soil and provide positive yield benefits.

This paper discusses the efficacy of the use of high activity clays, either used alone or in association with other amendments, as a potential soil amendment/ conditioner for increasing the nutrient holding capacity of light textured soils. The results reported here incorporate the outcomes of a number of glasshouse studies and field trials that were established using light-textured soils from Northern Australia and Hainan Province in China, and confirm previously reported responses (Noble et al; 2001; Noble et al; 2003; Noble et al; 2004). Treatments and crop species (including sugarcane and various forage crops) differed at each of the study locations. Treatments generally included a range of rates of high-activit_ clay (from 10 to 60 t/ha), different application methods (broadcast, banded and slotted), and in some trials, comparison with various organic materials commonly used as field amendments. In addition, recent results from farmer field based assessments in Thailand are presented to demonstrate the positive response of this approach under farmer field conditions.

Experimental Details

Australia

Two field trials were established at Ingham in North Queensland, on a river plain alluvial sand with minimal soil development (80% coarse sand, 14% fine sand, 3% silt and 3% clay). The high-activity clay used in both trials was a Ca2+ dominated bentonite enriched with dunder (a by-product from the distillation of molasses) to increase its K+ content. The bentonite mix contained 46, 28, 10 and 10 cmolc/kg of Ca2+, Mg2+, K+ and Na+ respectively.

Field trial 1: The first trial was planted to sorghum, and included five rates of bentonite (0, 5, 10, 20 and 40 t ha-1). All bentonite treatments were broadcast evenly over the whole plot (3 m × 10 m) and incorporated with a small rotary hoe to an incorporation depth of approximately 20 cm. Nitrogen (N), phosphorus (P) were applied following standard fertilizer recommendations, and K+ applied at variable rates depending on levels supplied by the bentonite/ dunder mix. Crop biomass yields were recorded from the plant and ratoon crop.

Field trial 2: The second trial was planted to sugarcane, and included a control treatment (0 bentonite) and three rates of bentonite (10, 30 and 60 t ha-1), applied as either a broadcast or banded treatment. The bentonite in the ‘broadcast’ treatments was spread evenly over the whole plot (6 m × 10 m) and incorporated with a rotary hoe to an incorporation depth of approximately 20 cm. The bentonite in the ‘banded’ treatments was first applied to a pre-prepared furrow, approximately 20 cm deep and then incor­porated with a rotary hoe. The effect of incorporating the bentonite applied in the furrows was to distribute it relatively evenly in a concentrated band of soil, visually estimated to be approximately 20 cm deep and 50 cm wide. This concentrated band of soil equated to a higher rate of bentonite per unit of soil, such that within that ‘band’, the 10, 30 and 60 t ha-1 bentonite additions could approximately compare to a ‘broadcast’ rate of 30, 90 and 180 t ha-1. The planting row for the ‘banded’ treatments was within the band of treated soil. Nitrogen and P was applied following standard recommendations, and K applied only to the control plots receiving no bentonite.

Glasshouse pot trial: Using the same soil from the field site, a glasshouse pot trial was established using fives rates of bentonite (at 0, 1.25, 2.5, 5 and 7.5% bentonite in 2,000 g soil, equivalent to 0, 12.5, 25, 50 and 75 t ha-1 assuming a soil bulk density of 1 g/cm3 and an incorporation depth of 10 cm). The bentonite used was a blend of three bentonites; a Ca-dominated, Mg-dominated bentonite and a bentonite which had been beneficiated using potassium chloride making it a K-dominated bentonite. Inorganic nutrient solutions of CaCl2, MgSO4 and K2SO4 were added to the treatments at rates inversely proportional to the rate of bentonite used, bringing the soil cation levels to a minimum of 2.7, 0.68 and 0.45 cmolc kg-1 soil for Ca2+, Mg2+ and K+ respectively. The difference in soil CEC due to bentonite addition was equivalent to 1.89, 3.30, 4.31, 6.48 and 8.33 cmolc kg-1 soil for bentonite rates of 0, 12.5, 25, 50 and 75 t ha-1 re_pectively. Micronutrients N and P were added based on standard recommendations. The pots were sown to forage sorghum.

Three sets of these treatments were established so that three watering regimes could be imposed after plants were well established (watering to ‘field capacity’ daily, ‘drying down’, and ‘leaching’ by watering in excess of ‘field capacity’ by the equivalent of 25 mm rainfall daily for six days). Plant available water (PAW) was calculated in the laboratory by determining water retention curves at 0, 5, 10, 30, 300 and 1,500 kPa, and calculating the PAW as the difference between 10 and 1,500 kPa. Water uptake and growth measurements were recorded daily for all treatments during the drying down and leaching phases of the experiment, and total biomass recorded at the end of the experiment. Leachate volumes were recorded and chemical analysis carried out on leachates, soil and plant material.

China

Field trial: A field trial was established Weng Tein, in Wenchang county on the northeastern side of Hainan Island in 2001. The soil at the site was a sand of marine origin with approximately 88% coarse sand, 7% fine sand, 1% silt and 3% clay. The trial was initially planted to maize and then replanted to King Grass. Treatments included a control, bentonite (40 t ha-1), manure/compost (at 10, 20 and 40 t ha-1), bentonite (at 20, 40 and 60 t/ha, with each rate also having the manure/compost mix added at 20 t ha-1), and filtermud (40 t ha-1) a by product from the processing of sugarcane. The bentonite used in this trial had a CEC of 48 cmolc kg-1 with approximately 16 cmolc Ca2+ kg-1 and 12 cmolc Mg2+ kg-1. Crop dry matter yields were recorded and the soil was sampled following amendment application to examine the impact of the treatments on soil chemical properties.

Glasshouse pot trial: Soil was collected from the Wenchang field site and used to establish a glasshouse pot trial, where bentonite was added at 0, 10, 20, 40 and 80 t ha-1, and ‘fresh water filterpond mud’ (FWFPM) added at 0, 10, 20, 40, 80 and 160 t ha-1. Pots were free draining, and King Grass was transplanted into the pots using trimmed rooted sections taken after division from large clumps collected from the field. Nitrogen, phosphorus and potassium were added to each pot at rates equivalent to 100, 50 and 200 kg ha-1 of N, P and K respectively, once at establishment, and again after the third biomass harvest. A total of five plant biomass harvests were taken at approximately 3 monthly intervals and the soil was sampled after the final biomass harvest (approximately 16 months after establishment) and analysed for a range of soil chemical properties.

Thailand

Field trials that had been established previously in Northeast Thailand have been reported elsewhere (Noble et al., 2004) and for brevity are not reported here. An assessment of water productivity associated with the range of field studies is undertaken here as well as the presentation of results from farmer field assessments that were undertaken in the 2004 growing season. These farmer field studies were undertaken by a number of farmer based networks that are present in the region. The object of the assessment was to first sensitize members in these farmer networks to the degree of degradation that their soils had undergone followed by showing them the results of structured field trials through visits to trial sites. Once general agreement was achieved to trial the clay materials, networks were provided with bulk samples of the locally sources clay to be distributed to members willing to participate in the assessment. The design of the individual farmer studies was left to the far_ers themselves so as not to influence the process of learning by trialling. Participating farmers were asked to collect relevant data on rates of application and yields. The result reported here are from those farmers who were prepared to collect the relevant data. As in any participatory process these is significant attrition with respect to participation.

Results and Discussion

Australia

Field Trial 1: The yields (t ha-1 fresh weight) from both sorghum crops grown in the first trial demonstrated a strong and highly significant response to increasing rates of bentonite. The response was still linear at 40 t ha-1, indicating that yield could have been further improved by higher application rates. Yield responses were strongly correlated with the increase in CEC of the soil in the 0-20 cm depth increment (Figure 1).

The bentonite significantly increased CEC (an increase equivalent to 0.27 cmolc kg-1 for every 10 t ha-1 bentonite added) and the level of plant available Ca2+, Mg2+ and K+, and the yield response can be directly attributable to these increases. It is very difficult to retain added nutrients in light textured sandy soils similar to that in this trial, however, it is clear that although the sorghum crop was not planted until 7 months after the bentonite was applied, the increase in soil CEC associated with the bentonite additions has reduced or prevented the loss of the added nutrients.

Mangement of Tropical Sandy Soil for Sustainable Agriculture

Figure 1. Yield response (t ha-1 FW) of forage sorghum to the CEC (cmol/kg) of the soil in the 0-20 cm depth increment. Results from the field site at Ingham, Australia

Field Trial 2: In the second trial, planted to sugarcane, increases in soil cation concentration and CEC with increasing rates of bentonite are within keeping with the changes observed in the sorghum trial. A rate of 60 t ha-1 bentonite increased the CEC of the soil to 2.61 cmolc kg-1 compared to the CEC of 0.97 cmolc kg-1 in the control soil. It is of interest to note that within 4 weeks of applying inorganic K fertilizer to the soil surface of the control plots, the K had already started to move through the profile. The concentration at 10-20 cm was 0.36 cmol K kg-1 compared to 0.14 cmol K kg-1 at 0-10 cm. In contrast, although it was 10 months since the bentonite was applied, the soil concentration of K in the top 20 cm of the all bentonite treatments remained high and consistent with the amount of K that would have been added with the bentonite addition (ranging from 0.22 to 0.33 cmol K kg-1 depending on the rate of bentonite used). There was a steady increase in yield with increasing rates of bentonite additions. At the bentonite addition rate of 60 t ha-1, the yield increase, when compared to the control treatment, was 16 t ha-1 (17% yield increase) and 34 t ha-1 (30% yield increase) for the broadcast and banded treatments respectively (Figure 2).

The effect of concentrating the amount of bentonite added by applying in a band within the planting row area, is evident by the higher yields achieved at all rates of application (Figure 2). As discussed, this concentrated band of soil equated to a higher rate of bentonite per unit of soil, such that within the ‘incorporated band’, the 10, 30 and 60 t ha-1 bentonite additions could approximately compare to a ‘broadcast’ rate of 30, 90 and 180 t ha-1. The yield increase is significantly _orrelated to this ‘equivalent’ rate of bentonite (r2 = 0.90).

Mangement of Tropical Sandy Soil for Sustainable Agriculture

Figure 2. Yield response (t ha-1 FW) of millable cane to increasing rates of broadcast or banded bentonite additions. Results from the field site at Ingham, Australia

Glasshouse pot trial: Previous glasshouse trials have used open pot systems enabling leaching to occur and providing an assessment of the nutrient retention capacity of the bentonite added. However, it can be argued that water holding capacity would increase with increasing bentonite addition and, even with very regular watering, there would be an effect of increasing available water with increasing bentonite rate and that some of the yield increase may be due to increased plant available water (PAW) capacity. The aim of this study was to ascertain the reason(s) for the responses to bentonite, and attempt to separate the nutritional from the soil physical effects.

Water retention curves demonstrated a significant increase in PAW with increasing rates of bentonite. Additions of bentonite equivalent to 0, 25, 50, and 75 t ha-1 provided PAW contents of 0.085, 0.086, 0.090, 0.117 g cm-3 (equating to a change in gravimetric water content of 5.5, 5.6, 5.9 and 7.6% respectively at the soil bulk density of 1.53 g cm-3) (Figure 3). During the first stage of the trial all pots were watered by weight, adding sufficient water to bring the soil to a water content assumed to be the moisture content at ‘field capacity’ (10 kPa). Pots were watered to weight daily, either once or twice a day, depending on rate of water use, so that plants were never exposed to water stress.

Mangement of Tropical Sandy Soil for Sustainable Agriculture

Figure 3. Volumetric water content (g cm3) at ‘field capacity’, ‘wilting point’ and ‘plant available water’ for soil with bentonite added at rates equivalent to 0, 25, 50, 75 and 100 t ha-1. Soil used was from the field site at Ingham, Australia

Despite adequate water and nutrients, during this stage of growth, there was a growth response to bentonite additions, with bentonite rates >25 t ha-1 having taller plants with thicker stems. It is unlikely that this early response was nutritional, and although the plants had adequate readily available water to ensure good growth, it is plausible that these growth responses were in part due to the availability of the slightly larger amounts of PAW available in the bentonite treatments during these early stages of growth. If so, this potential for a higher PAW due to bentonite addition may prove to be an important factor in the early stages of germination and establishment of a crop in the field. This aspect was considered by Suzuki et al. (2005) in their assessment of changes in the water retention curves associated with the addition of clay materials.

When the plants were fully established, three differing watering regimes (drying down, maintaining at field capacity, and leaching) were imposed over a period of 6 days, by which time the plants in the drying down treatment were stressed and there had been no leaf extension for 2 days. During this period the ‘leaching’ treatment had received the equivalent of 25 mm rainfall per day. At the end of this period, as expected, the plants in the drying down treatment had significantly less biomass than the other two watering regimes where water supply was adequate. This decrease in biomass tended to be over the full range of bentonite rates, but the difference in the control treatment receiving no bentonite being the most significant (Table 2). These results again suggest that the greater amount of PAW due to the bentonite additions has had a positive impact on sustaining growth during short periods of water deficit.

Table 2. Total plant biomass (DW g pot-1) at harvest for plants grown under three watering regimes and with a bentonite addition rates of 0, 12.5, 25, 50 and 75 t/ha, from the glasshouse trial using soil from the Ingham field site, Australia. The figures represent the mean of 4 r_plicates and significant difference between treatments are shown using the ‘least significant difference of the means (lsd) at the 5% level of significance

Watering Regime

Bentonite addition rates (t ha-1)
0 12.5 25 50 75 lsd 5%
dry-down field 4.7 6.3 10.4 11.7 10.6 1.4
capacity  5.9 7.4 12.0 11.7 11.7 1.2
leaching 6.0 7.5 12.2 12.2 11.6 1.2
lsd5% 1.1 n.s n.s n.s 0.8  

The pots in the ‘leaching’ treatment were subjected to the equivalent of 150 mm rainfall over a weekly period, which is typical of rainfall events in a tropical environment. The majority of the major nutrients (original present in soil or added via the bentonite additions or supplements of inorganic nutrient solutions) could be accounted for at harvest following chemical analysis of the soil, leachate, and plant material. Approximately 70% of the added N could be accounted for and was clearly taken up by the plant prior to leaching taking place, as there was very little N collected in any of the leaching events. However, under these leaching conditions, the increase in CEC with bentonite addition rate significantly increased the retention of the soil cations Ca2+, Mg2+ and K+ (Table 3).

Table 3. Cations (Ca2+, Mg2+ and K+) collected in the leachate, taken up by the plant, and remaining in the soil collected at harvest, all expressed as a percentage of the initial levels. Results are from the glasshouse trial using soil from the Ingham field site, Australia

Cations as a % of initial soil levels

Bentonite addition rates (t/ha)

0

12.5

25

50

75

 

Ca2+

     

% leached

31 11 0 0

0

% plant uptake

5 3 3 3

2

% remaining in soil

67 92 117 111

130

total

103 106 120 114

132

 

Mg2+

     

% leached

31 20 2 2

2

% plant uptake

10 7 9 5

4

% remaining in soil

31 71 97 94

123

total

72 98 107 101

129

 

K+

     

% leached

44 28 8 12

8

% plant uptake

46 45 57 43

32

% remaining in soil

25 26 25 42

75

total

114 98 90 97

115

Results from field and glasshouse trials demonstrate that the improved retention of soil nutrients due to bentonite additions has immediate yield benefits, but over time, has the potential to reduce the requirement for inorganic fertilizer inputs. An important and additional benefit is the potential to reduce the negative impact on the environment due to significant leaching losses associated with the high hydraulic conductivity of light textured sandy soils.

China

Field Trial: Unfortunately both the maize and King Grass crops grown at the Wenchang field site were severely damaged by root feeding grubs and rats, and despite dry matter harvests being undertaken on a number of occasions, there were no significant treatment responses due to the very high coefficients of variation (>65%) resulting from the uneven crop growth. However, analysis of soil samples collected approximately 12 months after addition of the various amendments demonstrate the impact of the bentonite additions, with the CEC of the soil increasing from 0.63 cmolc kg-1 for the control to 0.66, 1.02 and 1.29 cmolc kg-1 following the addition of 20, 40 and 60 t ha-1 bentonite respectively. All these additions of bentonite were accompanied by 20 t ha-1 of a compost/manure mix. However additions of compost/manure on its own at 10, 20 and 40 t ha-1 had little or no impact on increasing soil CEC, so it is assumed that the increase in CEC is due to the bentonite alone. This is supported by the treatment where bentonite was added at 40 t ha-1 without additional compost/manure and had a CEC of 0.98 cmolc kg-1. Addition of 40 t ha-1 filtermud, a waste product from sugarcane milling, resulted in a similar increase in soil CEC, being 1.03 cmolc kg-1.

Glasshouse trial: Because of the difficulties encountered in the field trial, soil was collected from the site so that selected amendment treatments could be tested in a glasshouse pot trial. In the pot trial, a filtermud (FWFPM) treatment was included, but in this case, unlike the field trial the material used was waste material derived from fresh water prawn aquaculture industry. Increasing rates of both bentonite and FWFPM significantly increased the CEC of the soil. The trial was continued for approximately 16 months in freely watered, free-draining pots, and during this time there were 5 biomass harvests, removing a substantial amount of soil nutrients. Despite this, soil samples collected at the final harvest show there was still high levels of cations remaining in the soil, in particular for the bentonite rates >40 t ha-1. There were significant increases in total plant biomass (sum of DW (g/pot) for the 5 harvests) for the higher rates of both bentonite and FWFPM, but over all rates of amend­ment addition, biomass was significantly correlated with the increase in CEC, regardless of the amendment used to achieve this CEC (Figure 4).

Mangement of Tropical Sandy Soil for Sustainable Agriculture

Figure 4. Increase in biomass of King Grass (g/pot DW) due to an increase in soil CEC (cmol(+)/kg resulting from additions of bentonite or FWFPM to soil collected from the Wenchang field site, China

Thailand

The previous discussion has focused on the impact of added bentonites on the surface charge characteristics of the soil of light textured sandy soils. In addition, there is clear evidence to support the notion that the addition of bentonites to soils can have a significant impact on the water retention properties of soils (Suzuki et al., 2005). A common characteristic of all of the field trials reported here and elsewhere (Noble et al., 2005) is that they were undertaken under rainfed conditions. A significant risk associated with th_ production of broadacre crops on these light textured soils is the potential for entire crop failure associated with drought stress. This has been observed in trials undertaken in Northeast Thailand (Noble et al., 2005). By increasing the productivity of these degraded production systems significant positive benefits accrue including an enhancement in water productivity (i.e. WP = kg dry matter per unit rainfall) of these rainfed production systems. Using data collected from several field trials undertaken in Northeast Thailand where the addition of bentonite was assessed, the WP of these systems was significant increased (Figure 5).

Water productivity increased from a mere 0.20 kg mm-1 on the unamended soil treatments to over 14.75 kg mm-1 in those treatments receiving a combination of bentonite and compost (Figure 5). This clearly indicates the degraded nature of these soils, but more importantly demonstrates the positive impact of addressing soil chemical and physical constraints on WP.

Mangement of Tropical Sandy Soil for Sustainable Agriculture

Figure 5. Relationship between dry matter production and water productivity for a range of soil based treatments in Northeast Thailand. Control = current practices; Term = termite mound soil at 120 ton ha-1; Comp = leaf litter compost at 10 t ha-1; Dredge = dredged material at 240 tonne ha-1; WB = acid waste bentonite at 50 t ha-1; WB + Lime = acid waste bentonite at 50 t ha-1 + 5 t ha-1 lime; S = Slotting; S+B = Slotting + 50 t ha-1 bentonite; S+B+C = Slotting + 50 t ha-1 bentonite + 10 t ha-1 compost; B = Local bentonite at 50 t ha-1; B+C = Local bentonite at 50 t ha-1 + compost at 10 t ha-1. (Adapted from Noble et al., 2004)

Whilst the activities to date have focused on understanding the processes contributing to lower productivity on these degraded light textured soils with the objective of developing management strategies based on the introduction of clay based materials to address these problems, an initial attempt to transfer this technology to farmers was undertaken in 2004. Using farmer network groups in Northeast Thailand extensive consultation was undertaken to demonstrate to farmers the concept of using clay based materials to improve their degraded production systems. Clay material was supplied in bulk to selected networks prepared to trial clay on their farms. The rates and methods of application were left to the farmers to decide upon with the only stipulation that farmers record their yields. For brevity the results from a group of organic rice growers in the Yosthon region of the Northeast are presented in Table 4. Substantial increases in yield over traditional practices were observed with relatively low applications of bentonite (0.63-10 t ha-1) in combination with their current practices. Taking into account the costs associated with the purchase and application of bentonite, in 13 out of the 15 cases presented in Table 4 farmers were still ahead financially. These results are encouraging as they indicate that modest rates of application of bentonite can have a significant impact on the financial viability of these rice based systems. In addition, as these rice based systems would not be subject to water limitations it is assumed that the response to bentonite application is a function of enhanced fertility.

Table 4. Yield responses of rainfed lowland organic rice to applications of bentonite under farmer field conditions in Northeast Thailand during the 2004 growing season 

Co-operating farmer/network

Bentonite rate (t ha-1) Rice yield farmer practice + bentonite (t ha-1) Rice yield farmer practice + (t ha-1) Net profit farmer practices (Baht ha-1) Net profit farmer practices + bentonite (Baht ha-1) Net profit from the application of bentonite over farmer practices (Baht ha-1)

Mr. Sen Sookprasert

1.25 1.00 2.00 10,000 18,750

8,750

Mr. Chai kaewnonghee

1.25 1.50 3.00 15,000 28,750

13,750

Mr Yod Ketsipong

0.63 2.00 2.60 20,000 25,370

5,370

Mr. Noojee Yodnamkam

1.25 2.50 4.01 25,000 38,850

13,850

Mr. Suthinan network

5.00 3.45 4.76 34,500 42,600

8,100

Don Hee Farmer Field school

1.56 2.11 2.71 21,100 25,540

4,440

Ban Yae Farmer Field school

1.25 1.20 2.23 12,000 21,050

9,050

Non Haad Farmer Field school

3.13 0.68 1.10 6,800 7,870

1,070

Kudstian Farmer Field school plot 1

1.25 3.00 5.61 30,000 54,850

24,850

Kudstian Farmer Field school plot 2

1.25 1.54 1.66 15,400 15,350

-50

Laohansai Farmer Field school plot 1

10.00 0.97 2.00 9,700 10,000

300

Laohansai Farmer Field school plot 2

10.00 1.51 1.85 15,100 8,500

-6,600

Srikaew Farmer Field school

2.50 0.80 1.51 8,000 12,600

4,600

Kudchiangmee Farmer Field school

1.25 1.19 2.00 11,900 18,750

6,850

Nonpakha Farmer Field school

1.56 1.03 1.67 10,300 15,140

4,840

* Current price of organically grown rice is 10 Baht/kg.
#
Current estimates of the cost of locally sourced bentonite delivered and applied is 1,000 Baht/tonne.

Conclusions

The degradation of light textured sandy soils of the tropics has been the focus of significant research in the past (Aweto et al., 1992; Noble et al., 2000; Noble et al., 2004). One of the key drivers of declining productivity is a reduction in the capacity of soils to retain and provide essential nutrients to the developing crop along with reduced soil water holding capacity. It is well recognized that organic matter has essential biological, physical and chemical functions in soils and is one of the primary indicators of soil quality both for agriculture and environmental functionality (Robert, 2001). Biological conservation methods are an effective means of addressing the decline in fertility of soils as well as protecting them from the physical effects of erosion (Stocking, 2003). These conservation methods focus on the management of biomass through crop residues, green manures and alley cropping. The advantage of biomass management is that it not only influences the fertility status and surface charge characteristics of soils but also results in the sequestration of carbon. However, the principal limitation to effectively initiating such conservation measures in developing countries is the availability of organic materials and the human resources required to manage these systems at the smallholder farming level. In addition, under tropical climatic conditions where continuous mixing of the soil occurs on a routine basis, significant mineralization of carbon will occur, thus requiring regular inputs of organic matter to replenish these losses.

The addition of bentonite clay to degraded sandy soils has clearly demonstrated the potential role of these materials in restoring the productive capacity of soils within a single season. These have been verified both in field and greenhouse studies. Moreover in studies over a 3 year period the responses to this form of intervention are persistent and continue to increase (Noble et al., 2004). The mechanisms associated with the enhancement in productivity are an increase in the cation exchange capacity of soil and concomitant nutrient supplying capacity; and changes in the water retention/physical properties of these soils. Suzuki et al., (2005) have shown that not only is the plant available water content increased with the application of bentonite but also the stability of aggregates. In this study the former is confirmed.

Whilst bentonites were used as a model to demonstrate the effect of increasing the fertility status of soils, this should not preclude the use of other indigenous technologies or other locally available sources of clay materials. It is plausible that the introduction of soil improvement technologies as discussed may be best suited to improving household food security through the rejuvenation of small areas along with the introduction of small scale inexpensive supplemental irrigation systems. This technology would also allow an incremental expansion of the area rejuvenated as and when the individual has adequate resources. Based on the productivity increases and persistence in response, it is suggested that such a strategy may be a viable option to resource poor farmers that would significantly improve food security at the household level as well as assist in improving the financial status of farmers. Such an approach would allow crop intensification that may have positive benefits associated with reduced land required for food production (environmental benefits); stable yields (food security); crop diversification to higher value and nutritious crops (financial and health benefits); and reduced labour requirements through growing crops on a smaller are_. The results from field trials under rainfed conditions also effectively demonstrate the concept of ‘more crop per drop’ that in these climatically variable agrozones offers a potential solution to crop variability and hence risk. As rain-fed agriculture is practiced on approximately 80% of the agricultural land globally and will remain the dominant source of food production during the foreseeable future (Rockström et al., 2003; Parr et al., 1990), increasing the productivity of these production systems in order to take advantage of annual rainfall is an important priority in maintaining global food security.

Finally, a rather cursory attempt to demonstrate the cost effectiveness of this approach using examples of organically grown rice clearly demonstrates that there are significant financial benefits to be achieved within the first year, with the full cost of purchasing and applying the bentonite being recovered. This has been demonstrated under farmer field conditions that represent actual farmer practice. These results are encouraging and with additional research and development further advances can be made regarding the most cost effective means of application, economic rates of application under contrasting agro-ecozones and the long-term implications of such strategies in enhance the productivity of degraded light textured soils.

Acknowledgments

We thank Leah Ballaam and Michelle Tink (CSIRO) for carrying out the laboratory chemical analyses. We gratefully acknowledge funding support for the work presented in this paper from the Australian Centre for International Agricultural Research and the Comprehensive Assessment on Food and Water.

References

Aweto, A.O., Obe, O., and Ayanniyi, O.O. (1992). Effects of shifting and continuous cultivation of cassava (Manihot esculenta) intercropped with maize (Zea mays) on a forest alfisol in Southwestern Nigeria. Journal of Agricultural Science, Cambridge. 118, 195-198.

Lesturgez, G. Poss, R., Noble, A., Grunberger, O., W. Chintachao, W., and Tessier, D. 2005. Accelerated soil acidification under continuous Stylosanthes hamata, buffer effect and clay dissolution in Northeast Thailand. Agriculture, Ecosystems & Environment (in press).

Noble, A.D., Gillman, G.P., and Ruaysoongnern, S. 2000. A cation exchange index for assessing degradation of acid soil by further acidification under permanent agriculture in the tropics. European Journal of Soil Science 51: 233-243.

Noble, A.D., Gillman, G.P., Nath, S., and Srivastava, R.J. 2001. Changes in the surface charge characteristics of degraded soils in the tropics through the addition of beneficiated bentonite. Australian Journal of Soil Research 39: 991-1001.

Noble, A.D., Moody, P., Ruaysoongnern, S., Liu Guodoa, Qi Zhiping and Berthelsen, S. 2003. Quantification of Soil Chemical Degradation and Its Remediation in Tropical Australia, China and Thailand Pedosphere 13(1):

Noble, A.D., Ruaysoongnern, S., Penning de Vries, F.W.T., Hartmann, C. and Webb, M.J. 2004. Enhancing the agronomic productivity of degraded soils in North­east Thailand through clay-based interventions. In: Water and Agriculture (Eds. Seng, V. , Craswell, E., Fukai, S. and Fischer, K.). ACIAR Proceedings No. 116: 147-160.

Parr, J.F., Stewart, B.A., Hornick, S.B., and Singh, R.P. 1990. Improving the sustainability of dryland farming systems: a global perspective. In: Singh, R.P., Parr, J.F., and Stewart, B.A. (eds.) Advances in Soil Science, Vol. 13, Dryland Agriculture Strategies for Sustainability. New York, USA, pp. 1-8.

Robert, M. 2001.Soil carbon sequestration for improved land management. World Soil Resource Report 96. Food and Agriculture Organization of the United Nations, Rome.

Rockström, J, Barron, J., and Fox, P. 2003. Water productivity in rain-fed agriculture: Challenges and opportunities for smallholder farmers in drought-prone tropical agro-ecosystems. In Kijne, J.W., Barker, R., and Molden, D.J. (eds.) Water productivity in agriculture: Limits and opportunities for improvement. eds. p. 145-162. CABI Publishing, Wallingford, UK.

Stocking, M.A. 2003. Tropical Soils and Food Security: The Next 50 Years. Science 302: 1356-1359.

Suzuki, S., Noble, A.D., Ruaysoongnern, S. and Chinabut, N. 2005. Improvement in water holding capacity and structural stability of a degraded light textured sandy soil in Northeast Thailand.


1 CSIRO Land and Water, Davies Laboratory, Townsville, Queensland, Australia.
2 International Water Management Institute, Penang, Malaysia.
3 Department of Land Resources and Environment, Khon Kaen Univerity, Thailand.
4 PNGOPRA, Alotau, Milne Bay Province, PNG.
5 Nanjing Soil Research Institute, CAS, Nanjing, China.
6 CATAS, Danzhou, Hainan Province, China. 

4 Australian Centre for International Agricultural Research

Previous PageTop of PageNext Page