Previous PageTable of ContentsNext Page

Effect of organic and inorganic fertilizers on yield and quality of ruzi grass (Brachiaria ruziziensis) grown on saline sandy soils of the Northeast, Thailand

Panchaban, S.1; M. Ta-oun1 and S. Sanunmuang1

Keywords: organic fertilizer, inorganic fertilizer, ruzi grass, saline soil, sandy soil

Abstract

Most soils in the Northeast of Thailand are sandy in texture. They are poor both in physical and chemical properties. Saline soils currently occupy an area of approximately 17% of the region and are increasing annually. These saline sandy soil can be detrimental to plant growth and result in low yields, this being mainly due to low fertility, high soluble salts and low water holding capacity. To grow crops successfully, these soils must be improve. The objective of this study is to elucidate the effect of organic and inorganic fertilizers on yield and quality of ruzi (Brachiaria ruziziensis) grass on saline sandy soils of the Northeast Thailand.

Experiment design was factorial in RCBD with 3 replications. Factors were 3 rates of chicken manure (0, 1.87 and 3.75 t/ha), 2 rates of rice husk (0 and 5 t/ha) and 3 rates of 15-15-15, inorganic fertilizer (0, 156 and 312 kg/ha). Ruzi grass seedlings were transplanted in to 2 × 3 m plot on a Typic Natraqualfs soil at a 30 × 30 cm spacing. Both fresh and dry weight of grass was measured at harvest. For dry weight, increasing rates of manure resulted in an increase in yield. These was significantly different between control and 3.75 t/ha. Rice husk also gave significant dry weight differences between control and 5 t/ha rate. For the 15-15-15, inorganic fertilizer, the application at 156 kg/ha increased dry weight significantly from control. There was a significant interaction between rice husk and inorganic fertilizer. It was concluded that chicken manure at 3.75 t/ha together with rice husk at 5 t/ha and fertilizer at 156 kg/ha was the best combination rate to give highest grass dry weight under this saline and sandy condition. Grass quality such as crude protein, neutral detergent fiber and acid detergent fiber were analysed. Soil chemical properties such as pH, EC, OM, total N, available P, exch, K and exch, Na were also analysed before and after the experiment.

Introduction

Most soils in the northeast are sandy in texture. They are poor in physical, chemical and biological properties. Saline soils currently occupy an area of approximately 17% of the region and are increasing annually. Most saline soils are also sandy, these saline sandy soils can be deleterious to plants and result in low yields, due to low fertility, high soluble salts especially sodium chloride, low water holding capacity and low cation exchange capacity. To grow crops successfully, these soils must be improve. The objective of this study is to elucidate the effect of organic and inorganic fertilizers on yield and quality of ruzi g_ass as well as the changes in soil properties used in the experiment.

Materials and Methods

Experiment design was factorial in RCBD with 3 replications. Factors were 3 rates of chicken manure (0, 1.87 and 3.75 t/ha), 2 rates of rice husk (0 and 5 t/ha) and 3 rates of 15-15-15, inorganic fertilizer (0, 156 and 312 kg/ha). Ruzi grass seedlings were transplanted into 2 × 3 m plot of Kula Ronghai series soil (Ki, Typic Natraqualfs) with 30 × 30 cm spacing. Both fresh weight and dry weight of grass were measured as well as grass quality. Soil properties before and after the experiment was also measured.

Results and Discussion

Some properties of Kula Ronghai series soil (Ki, fine-loamy, mixed, active, isohyperthermic, Typic Natraqualfs) before the experiment are shown in Table 1. This soil is slightly saline soil with high soil reaction (pH) low in plant nutrients but high in sodium and sandy in texture.

Table 1. Soil properties before the experiment

Series

pH (1:1, H2O)

ECe (dS/m)

OM (%)

Total N

Available P Exch. K

Exch. Na

Texture

(ppm)

Ki

9.8

2.35

0.19

115

12 39

668

0-15 cm LS
15-30 cm SL 30-50 cm SCL

Table 2. Some properties analysis of chicken manure (M) and rice husk (R)

 

pH (1:5, H2O)

ECe (dS/m)

OM

N

P

K

Ca

Mg

(%)

M
R

8.4
6.0

45
1

26
12

1.8
0.5

2.0
0.3 

1.8
0.7

8.2
210 (ppm)

0.8
0.6 (ppm)

Table 3. Effect of chicken manure (M) rice husk (R) and chemical fertilizer (C) on fresh weight of Ruzi grass (t/ha)

C (kg/ha)
(C)

M (t/ha) (A)

0

1.87

3.75

0

156 312 ave

0

156 312 ave

0

156

312

ave

R (t/ha) (B)
0
5
Mean


2.06
2.10
2.08


2.94
4.69
3.82

3.05
4.97
4.01

2.96
3.92
3.30


2.48
2.67
2.58


3.75
5.09
4.42

3.97
5.60
4.79

3.40
4.46
3.93


2.59 3.94 3.26


4.11
6.21
5.16


3.88
7.19
5.54

3.52 5.78 4.65

CV. (%)
F-test

20.56
A**, B**, C**, ABns, ACns, BC*, ABCns

Some properties of chicken manure and rice husk used in the experiment are shown in Table 2. Chicken manure is slightly basic with a pH 8.4, has a high electrical conductivity, organic matter and available plant nutrients relative to other organic fertilizers. Rice husk got very low electrical con­ductivity and was also low in organic matter and other nutrients.

The effect of chicken manure, rice husk a_d chemical fertilizer on fresh weight of Ruzi grass were shown in Table 3. There was highly significantly different between the different levels of manure, rice husk and chemical fertilizers, the interaction took place only for rice husk and chemical fertilizer.

Table 4 also clearly shows the effect of chicken manure, rice husk and chemical fertilizer on fresh weight of Ruzi grass. Manure at both rates gave higher fresh weights that were significantly different from the control. Treatments receiving rice husk at a rate of 5 t/ha also gave significantly different from control and similarly chemical fertilizer also gave higher fresh weights that were significantly from control.

The effect of chicken manure, rice husk and chemical fertilizer on dry weight of Ruzi grass were shown in Table 5, there was highly significantly different between the different levels of manure, rice husk and chemical fertilizer, again the interaction took place only for rice husk and chemical fertilizer.

Table 4. Effect of chicken manure (M), rice husk (R) and chemical fertilizer (C) on fresh weight of Ruzi grass (t/ha)

Materials

Fresh weight (t/ha)

M (t/ha) (A)

0

1.87 3.75
Mean

3.30b

3.93a 4.65a
R (t/ha) (B)

0

5  
Mean

3.20b

4.72a  

C (kg/ha) (C)

0

156 312
Mean

2.64b

4.47a 4.78a

CV. (%)

20.56

   

F-test

 

A**, B**, C**    

The effect of chicken manure, rice husk and chemical fertilizer on dry weight of Ruzi grass are shown in Table 6. There was no significant difference between manure rate at 0 and 1.87 t/ha, 1.87 t/ha and 3.75 t/ha but there was a significantly different between 0 and 3.75 t/ha. Rice husk at 5 t/ha also gave significantly different on dry weight basis. Chemical fertilizer at 156 kg/ha gave higher and significantly different dry weight as well as at 312 kg/ha from the control.

Table 5. Effect of chicken manure (M), rice husk (R) and chemical fertilizer (F) on dry wei_ht of Ruzi grass (t/ha)

C (kg/ha) (C)

M (t/ha) (A)

0

1.87

3.75

0

156

312

ave

0   

156 312 ave

0

156 

312

ave

R (t/ha) (B)
0
5
Mean


0.48
0.52
0.50 


0.67
1.54
1.10

0.75
1.06
0.90


0.64
1.04
0.84


0.60
0.76
0.68


0.81
1.06
0.94

0.76
1.22
0.99

0.72
1.01
0.87


0.56 0.91 0.74


0.86  1.23  1.05 


0.85
2.32
1.09

0.76 1.15 0.96

C.V. (%)
F-test

13.24
A**, B**, C**, ABns, ACns, BC*, ABCns

Table 6. Effect of chicken manure (M) rice husk (R) and chemical fertilizers (C) on dry weight of Ruzi grass (t/ha)

Materials

Dry weight (t/ha)

M (t/ha) (A) 0 1.87 3.75
Mean 0.84b 0.87ab 0.96a
R (t/ha) (B) 0 5  
Mean 0.70b 1.07a  

C (kg/ha) (C)

0 156 312
Mean 0.64b 1.03a 0.99a

C.V. (%)

13.24

   

F-test

A**, B**, C**

 

It could be concluded at this point that the best combination rate for manure, rice husk and chemical fertilizer for grass fresh weight was 1.87 t/ha, 5 t/ha and 156 kg/ha while for grass dry weight was 3.75 t/ha, 5 t/ha and 156 kg/ha respectively. In other word, to increase dry weight significantly, more manure was needed.

The effect of chicken manure rice husk and chemical fertilizer on Ruzi grass quality were shown in Table 7. Manure at 3.75 t/ha with 312 kg/ha of chemical fertilizer gave highest crude protein whether with or without rice husk. For neutral detergent fiber the values from different treatments gave similar result but manure at 3.75 t/ha with or without rice husk at 5 t/ha gave the highest value for neutral detergent fiber. Manure at 3.75 t/ha with rice husk at 5 t/ha and 312 kg/ha of chemical fertilizer gave the lowest value needed for acid detergent fiber.

The effect of chicken manure, rice husk and chemical fertilizer on soil properties before and after the experiment were shown in Table 8. It seems to be that soil pH was increased after added manure, rice husk and chemical fertilizer. Electrical conductivity and Na of soil were also increased, this could be the result from more ions lefted from the experiment as well as more Na from the capillary action of brine in the soil. Organic matter as well as N, P and K after the experiment were also higher. This could be the residual effect of chemical fertilizer. When comparing these values with control after the experiment. The control treatment was higher in electrical conductivity and very high Na, while lower in other plant nutrients. This suggested that to grow crop successfully and to maintain soil fertility, organic materials as well as chemical fertilizer should be applied at proper rates.

Table 7. Effect of chicken manure (M), rice husk (R) and chemical fertilizers (C) on Ruzi grass quality (% of dry weight)

 

M (t/ha)

R (t/ha)

C (kg/ha)

CP

NDF

ADF

(%)

1 0 0 0 7.25 54.95 23.84
2 0 0 156 7.67 52.32 22.56
3 0 0 312 8.11 53.41 22.99
4 0 5 0 7.38 52.87 23.16
5 0 5 156 8.14 55.40 23.35
6 0 5 312 8.73 51.59 23.57
7 1.875 0 0 7.49 54.90 23.45
8 1.875 0 156 8.30 52.18 23.97
9 1.875 0 312 8.89 54.97 24.25
10 1.875 5 0 7.85 54.87 23.74
11 1.875 5 156 8.33 53.76 23.76
12 1.875 5 312 9.07 52.18 21.81
13 3.75 0 0 7.99 55.49 23.76
14 3.75 0 156 8.42 53.30 22.87
15 3.75 0 312 9.51 52.31 22.01
16 3.75 5 0 8.06 55.84 24.09
17 3.75 5 156 7.85 53.87 23.45
18 3.75 5 312 9.75 52.53 21.28
ave.           8.26 53.70 23.10

CP = Crude Protein, NDF = Neutral Detergent Fiber, ADF = Acid Detergent Fiber.

Table 8. Total effect of chicken manure, rice husk and chemical fertilizer on soil properties before and after the experiment

 

pH (1:1, H2O)

ECe (dS/m)

OM (%)

Total N

Available P Exch. K

Exch. Na

Texture

(ppm)

Before**
After**
Control (after)

9.8
10.2
10.4

2.35
3.15
3.60

0.19
0.28
0.02

115
175
16

22
122
7 40

1,270

2,128

Same

Same

Conclusions

Saline sandy soils which are poor in physical and chemical properties as well as low in fertility can be used for pasture in the northeast, if managed correctly. The objective of this study is to elucidate the effect of organic and inorganic fertilizer on yield and quality of ruzi grass grown on saline sandy soils of the northeast. Factors involved were 3 rates of chicken manure, 2 rates of rice husk and 3 rates of inorganic fertilizer. For dry weight of ruzi grass, increasing rates of manure could increase yield. There was significantly different between control and 3.75 t/ha of manure rate. Rice husk also gave significant dry weight differences between control and 5 t/ha rate. For the 15-15-15, inorganic fertilizer the application at 156 kg/ha could increase dry weight of grass significantly from control. It could be concluded that manure at 3.75 t/ha with rice husk at 5 t/ha and fertilizer at 156 kg/ha was the best combination rate to give the highest dry weight of grass under the studied condition but for fresh weight lower rate of manure seem to be better.

References

Phaikaew, C. and Pholsen, P. (1993). Ruzi grass (Brachiaria ruziziensis) seed production and research in Thailand. Processing of FAO 3rd Meeting of Regional Working Group on Grazing and Feed Resources of Southeast Asia. Thailand: Khon Kaen.

Richards L.A. (1954). Diagnosis and Improvement of Saline and Alkali Soil. Agriculture Handbook No. 60. United States Salinity: United States Depart_ent of Agriculture.

Vitayakorn, P., S. Seripong, M. Kongchom. (1988). Effects of manure on soil chemical properties, yields and chemical composition of Chinese Kale grown in alluvial and sandy paddy soil of Northeast Thailand. 1. Soil chemical properties and yields of Chinese kale. Kasetsart J, 22, 245-250.

Yasuo, T., Nagano, T., Kimura, M., Sugi, J. and Vacharotayan, S. (1987) Coastal and Inland Salt-Affected Soils in Thailand. Nodai Research Institute. Japan: Tokyo University of Agriculture.


1 Faculty of Agriculture, Khon Kaen University, Khon Kaen 40002, Thailand

Positive impact of traditional rice cropping on geochemical qualities of saline sandy soil in Northeast Thailand

Maeght, J.L.1; C. Hammecker1; C. Quantin2; O. Grunberger1; S. Nopmanee1;
E. Bourdon3
and R. Poss3

Keyword: sandy soil acid, rice farmer practice, salinity, pH, reduction, soil column

Abstract

The majority of soils in Northeast Thailand are of low fertility and acidic to depth. Moreover 17% of cultivated soils in the region are affected by salinity that has its origin in saline groundwater that has risen to within 1 m of the soil surface. Traditional rice growing techniques are not well adapted to these kinds of soil constraints that often results in the abandonment of entire fields or areas within fields due to salinization. A study was undertaken to determine the effects of rice cropping on these saline sandy soil with respect to changes in the geochemical attributes of the soil solution and their consequences on soil conservation.

An accurate assessment of geochemical changes and associated mechanisms, including the effects of reducing conditions on soil solution composition, is difficult to undertake under field conditions. Thus we established a laboratory experiment where conditions similar to those in the field could be simulated. Four undisturbed soil columns of 50 cm in height and 24.5 cm in diameter we collected from Northeast Thailand, two of which were saline (S) and two non-saline (NS). Rice was transplanted into one of the columns from each of soil salinity types. The columns were designed to continuously monitor pH, Eh and the chemical composition of solution at three depths namely -7, -24, -40 cm. An increase in pH was observed within the acidic NS column with the pH rising to almost neutrality within the surface horizon. This increase in pH is controlled by iron reduction. At the second depth interval (i.e. -24 cm) manganese reduction control changes in pH along with changes in the partial pressure of CO2. The highest increase in pH was measured in the NS columns cropped with rice whilst the smallest increase in pH was observed in the un-cropped S soil. On these sandy soils the production of rice using farmers practices contributes to increases in pH and temporarily controls the expansion of salinity by diluting the salt above the soil. Continued traditional rice cropping contributes to limiting the expansion of degradation on these soils.

Introduction

Soil salinisation is a global problem that is estimated to affect 6.5% of the earth’s soil surface is (Cheverry et al. 1998). In Northeast Thailand, problems of salinisation and soil degradation have attained an important level (Kohyama et al., 1993). The soils of the region soils are sandy (Mitsuchi et al., 1986; Yuvaniyama, 2001), with very low nutrient supplying capacity (Ragland and Boonpuckake, 1988) and low organic matter (OM) contents (Arunin1986). Around 17% of this area’s soils are affected and a further 108,000 km2 which is more than twice the size of Switzerland are potentially at risk by the same phenomenon. Upland deforestation leading to a rise of the saline watertables has been the main cause of the increase in soil salinisation (Williamson et al., 1989). This problem is of increasing importance to national stakeholders concerned over their continued use of these soils for agricultural. A decrease in rice production yield due to the occurrence of saline patches could have serious affects on this area’s ability to satisfy the rising food demands of its increasing population (Fukui, 1991; Kono, 1991). Moreover, rice cropping forms a distinct cultural element in communities of northeast that has significant implications on the socio-economic status of the region (Formoso et al., 1997). Hence a decline in rice yields would have serious consequences.

Salinity issues have been studied for many years in this region of Thailand (Arunin, 1984), (Brinkman et al., 1977). However, there are still unanswered questions on the dynamics of saline patches and the respective soil development. It was therefore decided to study the impact that rice cropping has on these impoverished, sometimes acidic soils that are subject to salinisation. The first results of this study show significant differences in terms of acidity, notably during the dry season, between the saline and non-saline zones. In previous studies Grunberger (2002) observes saline zones having a neutral pH of 6.5-7 and non-saline having a pH of 4.5-5. The discrepancy between pH levels would suggest a modification in behaviour between saline and non-saline patches situated in close proximity to one another (a few metres) on soils of identical origin. Therefore, an evaluation was undertaken using undisturbed columns collected from cultivated and non-cultivated soil with the objective of identifying the effects of traditional rice cropping on soil geochemistry notably the role o plants and salinisation. Since pH is an importan indicator of soil quality, variations in pH and Eh are studied in the first months following submersion.

Methods

Experiments were conducted on cultivated plots in Pra Yuhn, near Khon Kaen, Northeast Thailand (16º21′12.744 North and 102º36′29.8′′ East).

In the saline patches the exchangeable complex is dominated by sodium. The region has a tropical Savannah climate with a mean annual rainfall of 1,200 mm from May to October. Evaporation is greater than precipitation, except at the height of the rainy season from July to September (Bolomey, 2002). Soil is regularly saturated by solutions of NaCl as the water table rises and conductivity has an average value of 20 dS m-1 at a pH of 6.82. The water table is near the soil surface at the end of the rainy season and draws down by 2 m in the dry season.

The study was conducted in the laboratory for optimal control of conditions and ease of monitoring. Four undisturbed soil columns (47 cm high and 24.5 cm in diameter) were tested; two from within the saline patch and two from outside. Rice was planted on one column from each of the two sites. Thus four distinct types were possible; non-saline/non-cultivated C4 (NS NC), non-saline/cultivated C3 (NS C), saline/non-cultivated C1 (S NC) and saline/cultivated C2 (S C).

Efforts were made to reproduce field conditions and ensure that all interventions and measures were conducted in the same way on each column. Measurement and sampling equipment was installed to control the water flow, measure pH and Eh and to study chemical evolution of soil solution. D_fferent measuring equipment was installed at three levels; at 7 cm, less than 24 cm and at 41 cm from surface (Figure 1).

Mangement of Tropical Sandy Soil for Sustainable Agriculture

Figure 1. Diagram of a soil column with instrumentation installed to monitoe pH, Eh, chemical composition of the solution, at three depths

The soil has a sandy loam texture (Grunberger, 2002), less than 10% clay content and low, superficial levels of organic matter (OM) (Table 1). The soil was classified as an Ultisols (Roi Et series in the Thai classification system) having a low cation exchange capacity, less than 5 cmolc kg -1 of soil (Table1).

After a week’s saturation, the soil surface of the columns was flooded to a predetermined level using a Marriotte device. Deionised water was used so as to simulate rainwater that under natural conditions irrigates the field plots. Five rice plants were transplanted in two columns to simulate a tuft of plants in the field. Weekly samples of water were taken and analysed. The pH and Eh were measured twice a week, always at the same time.

Studies on reduction in saturated soil and evolution of pH have demonstrated the important roles of microorganisms, certain minerals such as iron and manganese hydroxides and also the partial pressure of CO2 (p CO2) (Berthelin, 1998; Ponnamperuma, 1972; Zhi-Guang, 1985; Sumner, 2000).

Table 1. Selected chemical and physical properties of soil collected from Pra Yuhn

Depth (cm)

Interior of the salt patch

External to salt patch

Sand %

Silt %

Clay %

CEC (cmolc.kg-1

pH H2O

C %

Sand %

Silt %

Clay %

CEC (cmolc.kg-1

pH 1:5

C %

0-9 15-20 25-35 45-55

66
60
63
48
28
34
31
29
6
6
6
14
1.4
1.5
1.5
4.7
7.0
6.7
6.4
7.5
0.4
0.1
0.0
0.0
55
63
60
44
40
31
34
42
4
6
5
15
2.0
2.0
2.4
2.5
4.4
5.7
5.9
5.6

0.4
0.1
0.0
0.0

Analysis for this study is based on two important equations that characterise the transformation of iron and of manganese when undergoing oxidation and reduction.

Equation 1 shows the stochiometry of the reaction between iron hydroxides (i.e. goethite dissolution) and protons that result in an increase in pH (Chamayou, 1989).

Mangement of Tropical Sandy Soil for Sustainable Agriculture

where the reduction of Fe (III) to Fe (II) consumes H+ and causes an increase in pH. Similarly, as for the iron, the reduction of manganese consumes protons (Sigg et al., 1992).

Mangement of Tropical Sandy Soil for Sustainable Agriculture

Results

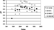
All soil samples show an initial acid pH (Figure 2). This is followed by a rapid reduction in the Eh of the soil profile, reaching as low as -0.35V for the non-saline/cultivated soil column (C3 NS C). For this column the kinetics of reactions was extremely rapid. The pH and Eh of the saline samples (S NC and S C) developed less rapidly. The level of salinity can influence microbial activity by slowing down the development of populations thereby influencing the reduction processes within the soil profile. Iron plays the major role in the in these reaction in the surface horizons of the soil profile, where the presence of Fe (II) is found (Figure 3). This is partly caused by a reduction reaction of Fe (III) to Fe (II) (equation 1).

The presence of ferrous iron is demonstrated by the results of chemical analysis in Table 2.

For the deeper soil layers (24 to 41 cm) the four columns have higher potential for Eh than the surface layer.

Manganese reduction tends to occur before iron in the order of reaction. It appears in the transition phase of soil that is changing from the oxidised to the reduced state (Sumner, 2000). However, only high levels of manganese in the soil profile can produce a significant effect. The abundance of manganese in this soil can be confirmed, due to the presence of nodules of manganese when the soil was sieved. It was also found when analysing the soil solution (Table 2). This confirms that in this soil, manganese is mobilised and precipitates as shown by the oxydoreduction of the soil. As for the iron, the reduction of manganese consumes protons (Equation 2). The influence of Mn is demnonstrated in the depth layers of >24 cm, and is presented in Figure 4. A strong correlation between the presence of Mn in solution and pH development is clearly evident. These observations can be used to construct phase equilibrium diagrams for the different forms of Mn that are present in solution and solid phases, namely, MnO2 and Mn2+ for the profiles at the 24 cm depth interval (Figure 5). Equilibrium between solid and solution phases depends on the log of activity for Mn2+ in so_l solution and is written in the following way (Sigget al., 1992):

Mangement of Tropical Sandy Soil for Sustainable Agriculture

Figure 2. Soil solutions pH development over time at a depth of 7 cm for the four undisturbed columns

Mangement of Tropical Sandy Soil for Sustainable Agriculture

Figure 3. Relationship between pH and pe for soil solutions, of the four columns within the 7 cm layer

Table 2. Soil solutions composition

 

Date

Al

Ca

Fe

Mg

Mn

Na

Cl

EC mS/cm

Calculated alkalinity

Analyse alkalinity

me/L

me/L

me/L

me/L

me/L

me/L

me/L

 

me/L

me/L

C1 S NC-7cm 22-April 0.04 0.09 0.04 0.86 0.00 2.25 0.98

0.36

1.1

1.9

25 April 0.11 0.22 0.17 0.18 0.01 6.60 4.13

0.67

2.9

 
29 April 0.56 0.64 0.19 0.50 0.01 13.93 13.05

1.58

1.0

 
06 May 0.97 0.25 0.41 0.11 0.03 8.62 4.06

0.75

5.6

4.9

13 May 0.67 0.25 0.33 0.07 0.03 8.60 3.54

0.96

6.1

6.4

C2 S C-7cm 22-April 0.01 0.31 0.22 0.39 0.01 15.23 5.69

1.61

10.2

12.9

25 April 0.00 0.43 0.17 0.55 0.01 16.64 3.74

2.00

13.3

14.4

29 April 0.00 0.49 0.11 0.48 0.01 15.99 3.64

1.06

12.7

14.9

06 May 0.00 1.02 0.32 0.44 0.04 11.98 2.53

1.32

10.5

12.9

13 May 0.00 1.46 0.67 0.32 0.07 5.84 1.16

0.81

6.4

 
C3 NS C-7cm 22-April 0.00 0.16 0.08 1.20 0.01 4.99 3.46

0.68

0.6

 
25 April 0.00 0.32 0.36 0.84  0.07 5.98 1.26

0.77

4.4

5.4

29 April 0.00 0.85 1.28 1.28 0.26 8.16 0.93

1.00

9.6

10.4

06 May 0.00 1.87 0.94 1.13 0.59 9.20 0.71

1.13

12.8

 
13 May 0.00 2.35 0.58 0.76 0.75 9.38 0.63

1.24

12.7

11.9

C4 NS C-7cm 15 April 0.01 0.08 0.00 0.33 0.00 2.86 1.71

0.42

-0.1

 
22-April 0.30 0.25 0.09 0.35 0.00 7.76 6.62

0.88

1.6

 
25 April 0.03 0.06 0.15 0.80 0.00 2.98 0.68

0.42

2.1

2.9

29 April 0.02 0.19 0.54 0.87 0.02 4.54 0.55

0.44

4.6

5.4

06 May 0.01 0.64 1.95 0.69 0.11 6.60 0.52

0.81

8.9

7.9

13 May 0.00 1.10 3.17 0.42 0.20 6.91 0.51

0.80

11.3

8.9

  Irrigation 0.04 0.01 0.01 0.00 0.00 0.17 0.21

0.03

0.0

 

Water

                   

Mangement of Tropical Sandy Soil for Sustainable Agriculture

Figure 4. Relationship between the Fe, Mn and pH with time in soil solution from the 24 cm depth interval in treatment C3 C NS

Mangement of Tropical Sandy Soil for Sustainable Agriculture 

Using the Phreeqc simulation model (Parkhurst et al., 1999), the activity of Mn2+ was calculated for the different soil solutions.

Mangement of Tropical Sandy Soil for Sustainable Agriculture

Figure 5. Relationship between pe- pH and the equi­librium line between MnO2 and Mn2+ at 24 cm depth interval for all columns

Figure 5, presents the phase diagram for solutions collected from the 24 cm depth interval and demonstrates the influence of reduced conditions on the presence of MnO2 and Mn2+. This is probably the mechanism controlling the pH and pe of these soils. Alkalinity and the partial pressure of CO2 interact and control pH. In a closed system, if the pCO2 increases, the pH diminishes. If however, in this confined medium, the pCO2 equilibrates with atmosphere after reoxydation, pH will rise (Bourrié, 1978).

In this study, using the Phreeqc model, partial pressure of CO2 was calculated near the soil surface where alkalinity was measured (Figure 6). The pCO2 values do not differ with changes in soil salinity. They have values of around 1000 times higher than pCO2 atmospheric values, which is 10-3.5atmosphere. Only the C1 S NC column differs, by having a lower pCO2, closer to the atmosphere’s and less alkalinity for this profile. An empirical relation exists which, based on the partial pCO2 pressure, allows the pH of an iron rich, submersed soil to be calculated;

Mangement of Tropical Sandy Soil for Sustainable Agriculture

Mangement of Tropical Sandy Soil for Sustainable Agriculture

Figure 6. Log of the partial pressure of CO2 of surface laye for all columns

This relation was derived using measurements made in the field and laboratory. This equation was applied to this study’s measurements from soil surface (Figure 7).

Mangement of Tropical Sandy Soil for Sustainable Agriculture

Figure 7. Relationship between predicted pH and the log pCO2

The relation could be applied to the data of this study. The small differences observed between measured and predicted was probably due to the abundance of manganese in soil and its affect on the control of pH. Subsequent measures made in the field after this first experiment, show similar results on the controlling influence of pH.

Conclusions

In the four soil columns saline, non-saline, with or without plants, pH values of soil solutions converge towards neutrality. The reduction dynamics and pH evolution are related to the availability of carbon provided around the rice roots, to feed the reductive microbial populations. The pH of the soil has an acid tendency before reduction, which changes towards neutrality under the influence of iron and manganese and assures more favourable conditions for the development of rice plants.

The differences of pH values during submerged and dry conditions are important. These cyclic evolutions, which follow the seasons, cannot perhaps bring a return to initial state but may produce a differentiation of pH values. The dissolution of salt through the maintenance of submergence by fresh water on the surface of the rice crop, produces favourable conditions for plant development and rapidly enables reduction to take place. The effect of contact from the rising saline water table under pressure, (Maeght et al., 2005) can also be reduced by dilution in the layer of fresh water.

Traditional rice growing on poor, sandy soil can contribute to temporary pH improvements in soil by rapidly bringing about reduction in the soil surface. It can also assist, during submergence, in controlling the expansion of salinity, by diluting the influx of the rising saline water table in paddy fields. Extensive soil degradation of these impoverished soils can therefore be limited by continuing these traditional rice-cropping me_hods and in the absence of alternative solutions, should be strongly encouraged.

References

Arunin S., 1984 - Characteristics and management of salt-affected soils in the Northeast of Thailand. Ecology and management of problem soils in asia. 336.

Berthelin J., 1998 - Les microorganismes dans la transformation des minéraux: incidence sur la formation, le fonctionnement et l’evolution des sols. Sol interface fragile. ( INRA), 83-91.

Bolomey S., 2002 - The seasonal dynamics of salinity in a small rainfed rice-cropped watershed in Northeast Thailand (Isan).engineer report, 61, multigr.

Bourrié G., 1978, Relations entre le pH, l’alcalinité, le pouvoir tampon et les équilibres de CO2 dans les eaux naturelles.

Brinkman R., Jongmans A.G. and Miedema R., 1977 -Problem hydromorphic soils in Northeast Thailand.

Chamayou H., 1989 - Les basses physiques, chimiques et minéralogiques de la sciences du sol. 593.

Cheverry C. and Bourrié G., 1998 - La salinisation des sols. Sol interface fragile. 109-126.

Fukui H., 1991 - The rice/population balance in a Northeast Thai village. N°4, 28, 68-84.

Formoso B., 1997 - Ban Amphawan et Ban Han, Le devenir de deux villages rizicoles du Nord-Est thallandais. (eds CNRS éditions), I, 754.

Grunberger O., 2002 - Visite du chantier de UR 067 Thallande. Supports d’illustrations, 24, multigr.

Kohyama K. and Subhasaram, 1993 - Salt-afected doils in Northeast Thailand their salinisation and amelioration. Agricultural Development Research Center. Japan International Cooperation Agency, 60 p. multigr.

Kono Y, 1991 - Rainfed rice culture and population growth. n°4, Southeast Asian Studies, 28, 56-67.

Maeght J.L. et al, 2005 - Salinity control by farmers practices in sandy soil. Tropical sandy soils Proceedings, Khon Kaen, Thailand. November 2005, on press.

Mitsuchi M., Wichaidit P. and Jeungnijnirund S., 1986 -Outline of soils of the Northeast Plateau, Thailand. Their characteristics and constraints, ADR, Khon-Kean, Thailand, pp. 64.

Parkhurst D.L., Appelo C.A.J., 1999. User’s guide to Phreeqc (version 2) - a computer program for speciation, batch-reaction, one-dimensional transport, and inverse geochemical calculations. Water-Resources investigations report 99-4256 USGS, Denver, Colorado.

Ponnamperuma F.N., 1972 - The chemistry of submerged soils. Advances in Agronomy, 24, 29-96.

Ragland J., Boonpuckake L., 1988. Fertilizer responses in N.E. Thailand: 1 literature review and rationale. Thai journal of soils fertilisation, Vol. 9, 65-79.

Sigg L., Stumm W. and Behra, 1992 - Chimie des milieux aquatiques. (chimie des eaux naturelles et des interfaces dans l’environnement. (eds 391).

Sumner M.E., 2000 - Handboock of soil science.

Williamson D.R., Peck A.J., J.V.T. and S.A., 1989 -Grounwater hydrology and salinisation in a valley in Northeast Thailand. IAHS.

Yuvaniyama A. 2001 - Managing problem soils in Northeast Thailand. In natural resource management issues in the Korat basin of Northeast Thailand: an overview, edited by. Kam S.P, Hoanh C.T., Trébuil G., Hardy B., IRRI, Limited Proceedings n°7, 147-156.

Zhi-Guang L., 1985 - Oxidation-reduction potential. Physical chemistry of paddy soils. 1-196.


1 Land Department Development, Office of Science for Land Development/IRD, Phaholyothin Road , Chatuchak, Bangkok 10900, Thailand.
2 UMR 8148 IDES, Paris-Sud XI University, F-91405 Orsay Cedex, France.
3 MSE-IRD UR176 - Solutions 300 av. Emile Jeanbrau 34095 Montpellier cedex, France

Previous PageTop of PageNext Page