The developed world runs mainly on petroleum oils because, even at today's prices, oil is a cheap fuel and is far more convenient to use, transport and store than any alternative. But, the world's supply of easily recovered petroleum is fast diminishing and we are running towards an era when supply will no longer exceed the demand. Already, many developing countries can no longer afford to import sufficient oil for their present needs, let alone to satisfy expanded future energy demand.
The main fuel alternatives to petroleum are solid fossil fuels such as coal, lignite and peat plus the "biomass fuels", which are derived from recently living rather than fossilized organic material. Estimates on world coal reserves vary, but there is general agreement that the amount of coal available is in the order of ten times the total for oil in energy terms, so although oil shortages due to physical depletion can be expected within decades, coal should remain available for centuries. In fact it is likely that a need to control atmospheric pollution will constrain the use of coal long before the reserves are exhausted.
The main problem with biomass as a fuel is its uneven distribution, being most available in forested regions where it is little needed. Considered as a global resource there is no shortage of biomass [68], since:
a subsistence diet. This issue of food versus fuel is an important one, but where the fuel crop is used for irrigation pumping to produce food crops, especially in a small-scale "on-farm" process, the same objections need not apply.
All fuels involve the combustion of carbon and usually hydrogen with atmospheric oxygen to produce mainly carbon dioxide and water, plus heat. As far as heat production is concerned, the relative merits of various fuels are best summarised in terms of the calorific value of total heat released when
The main problem with all fuels, but particularly with biomass, is distribution. Even energy-intense and efficiently marketed commercial fuels like petroleum are often in short supply in many remote areas of developing countries, so it is not surprising that more bulky and less valuable biomass fuels present even greater problems of distribution. Fuelwood supplies in the Third World do not coincide at all well with population distribution, so that there are areas of scarcity and areas of surplus. In most cases the fuels in question are too bulky and low in commercial value to allow such a simple solution as transporting them from areas of surplus to areas of scarcity.
The size of the areas suffering from a deficit of biomass fuels is increasing due to population pressure, combined in some cases, such as the African Sahel region, with apparent climatic changes. There is a narrow gap between a sustainable rate of firewood foraging and the catastrophic rate of removal of vegetation which leads to desertification. Lack of firewood leads to increasing use of dung as a fuel (in India it is perhaps the primary fuel for cooking), and the use of dung for fuel rather than fertilizer leads to a further decline in soil quality and contributes to the same problem. It has been estimated [70] that almost 3 billion people will face cooking fuel shortages by the turn of the century. Despite this grave situation, most of the R&D on biomass utilization has focussed on its use as a petroleum substitute (eg. alcohol for powering cars in Brazil), to address the "oil crisis" of the rich, rather than the "wood crisis" of the poor. Some of these latter developments, involving the large scale production of biomass fuels, give rise for concern as to the impact they might have on the capability of countries to feed their populations. For example. Brown [71] indicates the land requirements in Brazil to fuel a car compared with those to feed a person, are as indicated in Table 28.
Table 28 LAND REQUIREMENTS IN BRAZIL TO PRODUCE GRAIN FOR FOOD OR FOR FUEL ALCOHOL
|
grain crop use |
quanitity |
cultivated |
|
subsistence diet |
180kg/yr | 0.1 ha |
|
affluent diet |
700kg/yr | 0.4 ha |
|
medium sized car |
2 800kg/yr | 1.4 ha |
|
large (US) car |
6 600kg/yr | 3.2 ha |
This shows that even a medium sized car doing only 12 000km per year needs a land area to produce its alcohol fuel sufficient to feed 14 people on
Biomass,
in the form of firewood, charcoal, agricultural residues, or dried animal dung
is already the main energy resource for the majority of the poorer half of
humanity, over 2 000 million people. They currently use 15% or more of total
world energy, entirely in the form of biomass. Certain poorer countries depend
on biomass fuels at present for over 90% of their energy needs (i.e. mainly for
cooking fuel). It has been estimated [69] that 53% of energy use in Africa, 17%
in Asia and 8% in Latin America is currently met from biomass resources.
Therefore biomass is already a huge and vital economic resource, although it is
usually informally exploited mainly for cooking purposes and still remains
rarely used for the production of shaft power via heat engines, and even less
so for irrigation pumping.
they are burnt; see
Table 29
and
30, [6], This can be expressed in energy per unit weight or per unit
volume, but in the end, what matters most is the energy per unit cost. Also of
importance with biomass fuels if grown as a fuel crop is their productivity,
which obviously effects their cost-effectiveness. This must clearly depend on
many factors such as location, soil quality, etc. The most productive areas for
photosynthetically produced material are the forested regions; agricultural
land is typically only half as productive per hectare in terms of biomass
generation. Table 31, after Earl [72], shows some typical production rates,
while Table 32 gives calorific values for a variety of fuels, both fossil and
biomass. Fossil fuels tend to be more consistent in their properties then
biomass. The calorific value of biomass fuels is particularly influenced by the
moisture content of the fuel. For example, air dried wood, which normally has a
moisture content of 25% will produce 50%-100% more heat than "green"
freshly cut wood with a moisture content of 50%. Oven drying of wood increases
the heat yield further (but requires expenditure of heat); fuel, once
oven-dried, has to be kept in warm dry conditions before being burnt or it will
reabsorb atmospheric moisture. Therefore there is a good case to be made for
utilization of waste heat from any biomass engine system to help dry its own
fuel supply.
Table 29 PRINCIPAL CROP RESIDUES IN DEVELOPING COUNTRIES (WORLD TOTALS) (after Leech, [6])
|
Type of residue |
Energy value |
Level of |
|
Sugar cane bagasse |
1,060 |
high |
| Rice hulls |
790 |
low |
| Coconut husk |
185 |
low |
| Cotton husk |
110 |
high |
|
Groundnut shells |
110 |
high |
| Coffee husks |
35 |
low |
|
Oil palm husk |
35 |
high |
|
Oil palm fibre |
20 |
high |
Table 30 TYPICAL CEREAL CROP RESIDUES (after Leech, [6])
|
Crop |
Typical yield |
Residue |
Calorific value of residue |
|
|
(GJ/ha) |
(kWh/ha) | |||
| Rice |
2.5 |
5.0 |
90 |
25,000 |
| Wheat |
1.5 |
2.7 |
49 |
14,000 |
| Maize |
1.7 |
4.25 |
76 |
21,000 |
| Sorghum |
1.0 |
2.5 |
45 |
12,000 |
| Barley |
2.0 |
3.6 |
65 |
18,000 |
| Millet |
0.6 |
2.0 |
36 |
10,000 |
Table 31 PHOTOSYNTHETIC CARBON PRODUCTION RATES (after Earl, [72])
| Type of land |
Net primary |
Total world annual |
|
| A. | Forest | ||
|
Temperate deciduous |
10 |
8 |
|
|
Conifer and mixed |
6 |
9 |
|
|
Temperate rain forest |
12 |
1 |
|
|
Tropical rain forest |
15 |
15 |
|
| Dry woodlands |
2 |
3 |
|
| Sub-total: |
36 |
||
|
B. |
Non-Forest | ||
| Agricultural |
4 |
6 |
|
| Grasslands |
3 |
8 |
|
| Tundra |
1 |
1 |
|
| Deserts |
1 |
3 |
|
| Sub-total: |
18 |
||
| Total: |
54 Gt |
||
Table 32 RELATIVE HEAT VALUE OF VARIOUS FUELS (APPROXIMATE VALUES)
|
Calorific value/unit wt. |
Calorific value/unit vol. |
||||
| (MJ/kg) |
(BTU/lb) |
(MJ/m3) |
(BTU/ft3) |
||
|
A: |
Fossil fuels | ||||
|
Petrol/gasoline |
44 |
19,000 |
32,000 |
860,000 |
|
| Fuel oil | 44 |
19,000 |
39,000 |
1,050,000 |
|
|
Paraffin/kerosine |
45 |
19,500 |
36,000 |
970,000 |
|
| Diesel/gas oil | 46 |
20,000 |
38,000 |
1,020,000 |
|
|
Coal tar/asphalt |
40 |
17,000 |
40,800 |
1,100,000 |
|
|
Anthracite coal |
35 |
15,000 |
56,000 |
1,500,000 |
|
|
Bituminous coal |
33 |
14,000 |
42,900 |
1,150,000 |
|
|
Lignite (brown) coal |
30 |
13,000 |
37,500 |
1,010,000 |
|
| Peat | 20 |
9,000 |
18,200 |
490,000 |
|
| Coke |
28 |
12,000 |
22,400 |
600,000 |
|
|
Natural gas (methane) |
56 |
24,000 |
40* |
1,020 |
|
| Coal gas |
9 |
4,000 |
20* |
490 |
|
|
Propane (cylinder gas) |
48 |
21,000 |
90* |
2,400 |
|
|
Butane (cylinder gas) |
47 |
20,000 |
120* |
3,100 |
|
|
B: |
Bio-mass fuels | ||||
| Wood (oak) | 18 |
8,000 |
14,400 |
390,000 |
|
| Wood (pine) | 20 |
9,000 |
10,000 |
270,000 |
|
| Wood (acacia) | 16 |
7,000 |
11,000 |
300,000 |
|
| Charcoal | 28 |
13,000 |
11,000 |
300,000 |
|
|
Sunflower stalks |
20 |
9,000 |
10,000. |
270,000 |
|
| Wheat straw | 18 |
8,000 |
— |
— | |
|
Beef cattle manure |
14 |
6,000 |
— |
— | |
|
Methanol (methyl alcohol) |
20 |
8,600 |
19,000 |
500,000 |
|
|
Ethanol (ethyl alcohol) |
28 |
12,000 |
28,000 |
700,000 |
|
|
Bio-gas (65% methane) |
20 |
8,600 |
23* |
600 |
|
|
Wood gas (typical) |
|||||
|
(producer gas) |
— |
— |
5* |
140 |
|
| Vegetable oil | 39 |
16,500 |
32,000 |
860,000 |
|
*Since these fuels are normally gaseous, the calorific value per unit is relatively low compared with liquid and solid fuels.
Table 33 POTENTIAL BIO-MASS VALUES OF SELECTED CROPS
| Species | Location |
Annual |
Heat value |
Tonne
oil |
||
|
(ton/acre) |
(tonne/ha) |
(106 BTU/ acre/yr) | (GJ/ha/yr) | |||
| Sunflower | USSR |
13.5 |
30 |
200 |
530 |
12 |
|
Forage sorghum |
Puerto Rico |
30.6 |
69 |
460 |
1,210 |
28 |
|
Hybrid corn |
USA (Miss) |
6 |
13 |
90 |
250 |
6 |
|
Water hyacinth |
USA (Fla) |
16 |
36 |
240 |
630 |
14 |
|
Sugar cane (average) |
USA (Fla) |
17 |
39 |
260 |
680 |
16 |
|
Sugar cane (experiment) |
USA (Cal) |
32 |
72 |
480 |
1,250 |
29 |
|
Sudangrass |
USA (Cal) |
16 |
36 |
240 |
630 |
15 |
| Bamboo | SE Asia |
5 |
11 |
70 |
210 |
5 |
| Eucalyptus |
USA (Cal) |
20 |
45 |
300 |
790 |
19 |
| Eucalyptus | India |
17 |
39 |
260 |
678 |
16 |
| Eucalyptus | Ethiopia |
21 |
48 |
320 |
834 |
19 |
|
American sycamore |
USA (Ga) |
3.7 |
8 |
60 |
160 |
4 |
|
Algae(pond) |
USA (Ca) |
39 |
88 |
580 |
1,520 |
36 |
|
Tropical rainforest (typical) |
18 |
41 |
270 |
710 |
17 | |
|
Subtropical deciduous forest (typical) |
11 |
24 |
160 |
420 |
10 | |
The production rate of cultivated biomass materials is even more variable than its quality. Table 33 indicates examples of measured yields of potential fuel crops.
Biomass ought to be an ideal energy resource for irrigation, since the whole point of irrigation is to produce more biomass, usually for food rather than for fuel. A simple calculation confirms that it is possible, at least in theory, to grow more than enough biomass to fuel an engine and produce an additional food crop, even without considering using food-crop residues. For example, considering the irrigation system sized in Fig. 13, where 3ha is irrigated with 8mm of water on average per day and a pumping head of 10m; assuming that irrigation is necessary on 200 days per year, Fig. 13 indicates an average shaft power requirement of 13kWh/day or in this case 2 600kWh per year. If the power system can produce shaft power from fuel at 10% efficiency (which is possible at this power size) then the gross fuel requirement is for 26 000kWh or 94 GJ. It can be seen from Table 30 that this requirement could often be met simply from cereal crop residues for 3ha, but if a fuel crop was grown because, for example the residues were needed for other purposes such as cooking fuel, then just 0.1 to 0.2ha of eucalyptus (for example) would produce this fuel requirement. Therefore, the entire irrigation energy demand could be met from a fuel crop occupying in this example less than one tenth of the area to be cultivated. And 10m lift with 200 days per year irrigation is a more demanding irrigation energy need than would apply in many cases. Therefore, the reason biomass is not more often used for irrigation pumping may relate more to ignorance of this option or perhaps to lack of opportunity than to any technical constraint, or perhaps it is because the more knowledgable farmer who may know of this option is so often the more prosperous one who can in any case at present afford the greater convenience of using diesel power. The rest of this chapter sets out to review the biomass fuelled options and their advantages and disadvantages.
All biomass fuels are ultimately burnt so as to power an appropriate internal or external combustion engine. There is, however, a plethora of options available for preparing, processing or modifying raw biomass for more effective use as a fuel, as shown in Fig. 156. Generally these involve a trade-off between enhancing the properties of the biomass as a fuel on the one hand, and extra cost combined with losses of some of the original material. No particular route can be said to offer advantages over any other, rather there are "horses for courses"; some are better than others in specific applications and situations.

Fig. 156 Routes for processing biomass fuels
It can be seen from Fig. 156 that there are three primary categories of biomass raw materials:
In most cases these need some kind of processing before use; at the very least drying.
As indicated in Fig. 156, solid fuels may be treated in a number of ways and either burned as a solid to power an external combustion engine such as a steam engine, or they may be pyrolised to yield either combustible gas (which may be used for an internal combustion engine), or the volatiles may also be condensed to yield a limited quantity of liquid fuels.
Because, as explained earlier, moisture content of the fuel has a profound effect on its calorific value, it pays to use any waste heat from the system to pre-dry moist fuels.
Historically a huge range of solid fuel furnaces and boilers existed, but today only a few manufacturers make them for small power systems, although medium sized furnaces and steam plant for use in tropical agro-industrial process plants such as sugar refineries, which are much larger than is appropriate for powering small scale irrigation pumps, are readily available.
Perhaps the most appropriate and simple arrangement for small systems is for fuel to be simply fed by hand into a furnace, containing a boiler to generate steam. Fig. 157 shows as an example, the 2kW experimental Ricardo steam engine developed in the early 1950s. A similar type of unit of 1900 vintage is shown in Fig. 103, for firing a small Stirling cycle hot air engine. Furnaces of this kind will typically burn 2-3kg/h of wood per kilowatt of shaft output, with small steam engines.
There are some difficulties in designing a furnace which will handle any fuel; quite different grate arrangements are needed to cope with particulate fuels such as sawdust or rice hulls, as compared with large lumps such as logs or coal. Therefore it is important to use equipment able to accept the proposed fuel. For example, there are furnaces designed especially , to handle fuels like sawdust or rice hulls, which would clog up a conventional grate arrangement; in one such type known as a "Kraft Furnace", the furnace and storage hopper are combined so that the outer surface of the mass of sawdust burns and the partially burned gases are drawn through a multitude of small passages into a secondary combustion chamber, where combustion is completed.

Fig. 157 2kW Ricardo steam engine

Fig. 158 The three main types of gasifier
The purpose of gasification is to convert some of the energy of an inconvenient solid fuel into a more convenient gaseous fuel. The main advantage of gaseous fuels is that they can generally be used with internal combustion engines and not just with rare steam or Stirling engines; [73].
The first commercially successful i.e. engine powered by a gasifier was built by Lenoir in France in 1860 and ran on coal, [74] and the technique was widely used at the beginning of this century. It was again widely used during the 1939-45 World War, when some 700 000 gasifiers were in use for powering motor vehicles due to shortages of petroleum; [75]. The subsequent cheap oil era led to a great decline in their use, but nevertheless a number of manufacturers in various countries still make gasifier or producer gas units.
The process involves the heating of a solid, carbonaceaous fuel to drive off inflammable volatiles and to produce carbon monoxide (CO) from a reaction between the carbon and the carbon dioxide generated by primary combustion. Moisture in the fuel, plus carbohydrates in the biomass also react with carbon to yield further carbon monoxide plus free hydrogen, and some of the free hydrogen reacts with carbon to produce methane. Any source of heat may be used to gasify biomass fuels, but usually the heating process is by partial combustion; i.e the fuel is burnt to heat itself. The chemical make up of producer gas is typically:

and its calorific value will be approximately 5MJ/m3. Because of the high proportion of inert nitrogen and carbon dioxide, this is only one eighth of the energy per unit volume of natural gas, such as methane. The calorific value can be enhanced by injecting steam into the gasifier; this yields more hydrogen, but with small systems it is difficult to do this in an optimal manner without actually extinguishing the primary combustion; sometimes there is an advantage therefore if the raw fuel is slightly moist which achieves a similar effect.
Although the calorific value of producer gas is low, the quantity of air required for combustion is also low, so that the thermal value of a stoichiometric mixture, as is required to be induced into an engine for optimum combustion, of producer gas and air is better than might be expected, as indicated by the following relationships:
|
Fuel gas |
thermal value |
thermal value of |
|
(MJ/m3) |
(MJ/m3) |
|
|
natural gas (methane) |
40 |
3.5 |
|
Producer gas |
5 |
2.5 |
A producer gas generator is usually a vertically mounted cylinder (see Fig. 158 ) which is generally loaded with fuel from the top. The fuel falls under gravity to replace burnt and gasified material in the lower fire zone. There are three main types of gasifier, as shown in the figure:
The first of the above options is simplest, but it produces gas with a lot of carry-over of tar and volatiles which can rapidly damage an internal combustion engine. Therefore down-draught gasifiers are more commonly used for powering i.e. engines as their output is easier to clean, particularly if burning raw biomass fuels containing a lot of volatiles (tar-problems for up-draught units are reduced by using pre-pyrolized fuels like charcoal or coke, but of course much of the original energy content of the feedstock is lost in producing the charcoal or coke). Cross-draught units produce very intense heat in a small area, which results in effective gasification of volatiles and tars, but there are often problems with the nozzle burning out unless it is water cooled (which is a complication); therefore they are less common for use with small engines.
Although down-draught units are preferable for use with i.e. engines, they are less capable of drying the fuel (unlike an up-draught unit the hot gases do not pass through the unburnt fuel), neither can they handle small or particulate fuels so well as these fall through the grate and clog it.
A typical small producer gas irrigation pumping system is illustrated schematically in Fig. 159 (after [76]). Here a down-draught gasifier is used, with wet coke as a primary filter and cotton waste as a secondary filter for the gas.
Before producer gas can be used in an internal combustion engine, it needs to be effectively cooled and cleaned of impurities including ash, unburnt fuel dust, tar and acidic condensates as otherwise any significant carry-over of these materials will quite rapidly destroy the engine. Obviously the more ash and tar in the original fuel, the more of a problem there is in cleaning the output gas. Therefore fuels having an ash content greater than 5-6% are not recommended for use in producer gas units for i.e. engines. Also, the high performance gasifiers necessary to run small i.e. engines tend to be sensitive to inconsistencies in the fuel, so that regularly sized, low ash fuels are best. Charcoal provides one of the best fuels for gasifiers being almost pure carbon in itself, but coconut shells and maize cobs are both relatively effective gasifier fuels.
The methods used for gas cleaning vary; water or air coolers are generally used to reduce the gas temperature to near ambient conditions, and cyclones, spray scrubbers, filters packed with a wet matrix of wood-wool, steel swarf, coir fibre and other materials have been tried. Ineffective gas cleaning remains the "Achilles Heel" of small gasifier systems, being a major cause of premature engine failure.

Fig. 159 Small producer gas irrigation pumping system (ref. Damour [76])
After cleaning, the producer gas is mixed with air metered in the appropriate quantity and the resulting mixture can then be induced into the inlet manifold of most standard i.e. engines. Spark ignition engines are capable of running exclusively on producer gas, but diesel engines on the other hand will not fire when run purely on producer gas, and need to be run with at least a small amount of diesel fuel so that the timed injection fires the mixture at the appropriate moment. Therefore they can be run as pilot fuel engines in which diesel is used to start up and continues to be used in quantities normally necessary just for idling, with producer gas making up the main part of the fuel supply. In practice it is possible to run diesels on about one third diesel fuel and two thirds producer gas. The experimental unit illustrated in Fig. 159 [76] is claimed to have actually achieved an average of 88% replacement of diesel, but this may be partly due to unusually careful operation.
The low calorific value of producer gas compared with petroleum fuels generally leads to a marked reduction in power output, often by as much as 30 to 50% below the rated power using petroleum. An approximate idea of the fuel requirements using producer gas compared with conventional diesel operation, is as follows:
Gasifier fuel required to produce 1kWh of shaft power
| charcoal |
hardwood chips |
diesel fuel |
| 1-1.3kg |
2-3kg |
0.3-0.5kg |
Typical producer gas system costs, for units made in Europe or North America (and excluding the engine) are in the region of US $2 500 for a unit capable of fuelling a small engine of about 2kW rating up to around US $4 500 for a unit capable of sustaining a 10kW engine. Less sophisticated units, costing only a few hundred dollars, are manufactured in the Philippines and Brazil. The Indian unit of Fig. 159 [76] has a gasifier costing 8 000 rupees, which is approximately US $800, and is sized for a 3kW engine.
A draught is needed to get a gasifier going; this is usually created by starting the engine on a petroleum fuel and then introducing a burning rag or other source to the gasifier fire-zone. Care is needed to ensure that there is no residual gas from the last time the system was run which could explode. The producer gas unit needs to be refuelled before the fuel in the hopper reaches a level of less than about 300mm above the fire zone, or gas production may not be reliable.
Care is needed with gasifiers, since; firstly producer gas is extremely toxic due to the carbon monoxide present and therefore a unit must never be used in enclosed conditions where producer gas could build up; secondly there is a significant risk of explosion and/or fire when opening the unit to refuel it. Opening the gasifier to refuel often causes a small blow-back explosion, but the experienced operator can open the hopper and refuel safely.
The gasifier, and gas cleaning system, must be regularly cleaned out and any leaks must be repaired immediately. Experience with automotive gasifiers during the war suggested that as much as one hour per day on average is needed to clean and prepare a gasifier for operation.
There are two main categories of liquid fuels which are relevant to powring small engines for irrigation pumping; alcohols and oils, plus a third (latex or sap) which may come into use in the future.
There are two varieties of alcohol that can be used to run engines; ethanol (ethyl alcohol) and methanol (methyl alcohol). The former is the only type which at present has any prospect to be produced economically from biomass feedstocks (the latter, although once known as "wood alcohol" as this was originally the main route to its production, is usually produced by an industrial process at high pressures and temperatures from natural gas as the process for distilling it from wood is inefficient and unproductive).
Ethanol, which is the type of alcohol found in wines and other drinks, can be produced by the bacteriological fermentation of natural sugars or other carbohydrates such as starches, either from purposely grown fuel crops or from wastes and residues. Starches first require hydrolyzation, usually with acids, to change them into fermentable sugars.
Current activities to produce fuel alcohol focus on the use of sugar cane, maize and cassava [77], processed on a large scale. There is as yet no technically and economically viable small-scale process for fuel-alcohol production, so the use of alcohol by farmers must depend on any national programmes in their countries. They may also be in a position to grow the fuel crops for the programme, so such programmes could be more important for farmers than simply providing an alternative fuel.
There are a number of problems inherent in the large-scale production of fuel alcohol. Obviously the food versus fuel argument, as outlined earlier, is important; secondly, large-scale ethyl alcohol production produces large volumes of "distillery slops", which pose a serious disposal and pollution problem. Finally, the product is only marginally economic at present compared with gasoline and the main justification must generally be import substitution rather than cheaper fuel. Nevertheless a number of alcohol fuel programmes have been initiated. By far the largest is in Brazil, where the goal is to produce 12 billion litres of ethanol per annum by 1985, mainly from sugar cane. The USA also has a major ethanol production programme, based largely on using up maize surpluses, which has the goal of an overall 10% substitution for gasoline by the 1990s. A number of other countries have initiated power alcohol activities, including Thailand, the Philippines, New Zealand, Australia, Kenya, Zambia, Zimbabwe, Nicaragua, Paraguay, and Fiji [77].
R&D is in hand to develop alcohol production processes that could work effectively and economically using woody waste materials and residues, which if successful might create a much more promising future for biomass-based alcohols.
There are two types of vegetable oil that show promise as fuel for internal combustion engines, these are expressed oils from seeds and the saps or latex from succulent plants and various trees such as the rubber tree.
Some successes have been reported with running diesel engines on vegetable oils. Tests have been run on seed oils from peanut, rape, soybean, sunflower, coconut, safflower and linseed [78]. Sunflower oil, in particular, shows promise as a fuel for diesel engines. The main problems relate to the much higher viscosity of vegetable oils compared with diesel gasoil; this makes it difficult to start a diesel on vegetable oil, but once warm it will run well on it. Tests have shown that the performance is little effected, but fuel consumption on vegetable oil is slightly higher due to its lower calorific value. A major problem with unmodified vegetable oils has been a tendency for engines to coke up rapidly, leading to reduced power and eventually engine seizure if no corrective action is taken.
Chemical treatment of vegetable oils to turn them into an ethyl or methyl ester has been found to overcome most of these problems and to actually give a better engine performance than with diesel oil, combined with less coking than with diesel [78]. Also, blends of sunflower oil with diesel fuel appear to reduce or eliminate some of the problems experienced with pure sunflower oil.
Large scale processing of vegetable oil can crack the oil in much the same way as crude oil, to produce veg-gasoline as well as veg-diesel. During the Second World War, China developed an industrial batch cracking process for producing motor fuels from vegetable oils, mostly tung oil [79]. The China Vegetable Oil Corporation of Shanghai was able to produce 0.6 tonne of veg-diesel, 250 litres of veg-gasoline and 180 litres of veg-kerosene per tonne of crude vegetable oil.
It is possible to extract vegetable oil "on-farm" on a small scale and to consider using this to reduce diesel fuel requirements, although obviously any vegetable oil needs to be extremely well filtered before it can be used in an engine. A more likely approach would be production on a small-industry basis, in which the extraction unit procured seed from a district for oil production on a more economic scale. Typical seed yields (sunflower) are 700-1800kg/ha. It is possible to express between 0.30-0.43 litres of oil per kg of seed, depending on the technique. Small-scale presses will produce the lower level of yield while large screw presses and solvent extraction are needed to achieve the upper level. This implies that from 210-770 litre/ha can be produced. The development of more efficient on-farm oil seed expellers could make this a potentially viable process in many areas. In fact a combination of efficient cultivation and efficient oil extraction could yield in excess of 1 tonne/ha of vegetable oil. It has been argued that if a mechanized farmer used 10% of his land for sunflower cultivation, he could become energy self-sufficient [79] (although it is not explained by the reference how he overcomes the need to blend his oil with diesel to avoid gumming and coking of the engine).
The energy ratio for the production of vegetable oils as fuel is much more favourable than for alcohol production, and the process is simpler and less capital intensive.
Therefore, the use of oil-seed as a feed-stock to produce diesel fuel certainly looks technically feasible. However the economics remain more doubtful with present diesel fuel prices, since the value of refined vegetable oils on the international market is generally 50-100% above that of diesel fuel, although this price differential has not always applied and may not actually reflect the true cost (as opposed to the price) of vegetable oils.
Some recent investigations have shown a potential diesel fuel can be obtained from the combustible rubbery sap or latex of various trees and succulent plants. Some of these plants actually produce hydrocarbons, similar to but molecularly more complex than petroleum oils. Some promising plants for this purpose are the Euphorbia species [80]. These grow well in semi-arid areas on marginal and barren lands which generally will not support food crops. Professor Calvin of the University of California who has studied this possibility projects a yield of 10 barrels of oil per acre with existing wild species and that this yield could perhaps be doubled through seed selection and genetic improvements to produce a plant developed for oil production [81]. The oil or emulsion which is tapped off has too high a viscosity for immediate use as a diesel fuel, and contains gums and other complex chemicals which would coke the engine prematurely, so it needs to be refined. Although at present this source of fuel remains unproven, it shows considerable promise for the future, particularly if it can be cultivated on lands of little use for food or other crops.
At present biogas is the most immediately practicable means for powering a conventional internal combustion engine from biomass. It lends itself to small-scale on-farm use and there is considerable experience with this technique in a number of countries.
Biogas is produced naturally by a process known as anaerobic digestion, the action of bacteria on water-logged organic materials in the absence of air. Biogas occurs naturally as "marsh gas", an inflammable gas which bubbles out of stagnant marshes or bogs. The same process occurs in the digestive system of cattle.
Biogas consists of about 60% methane, a non-toxic and effective fuel gas similar to many forms of natural gas; the remaining 40% is mainly inert carbon dioxide with traces of hydrogen, hydrogen sulphide, etc. Raw biogas has a calorific value of about 23 MJ/m3, which is considerably better than producer gas (see Table 32). The carbon dioxide can be removed by bubbling raw biogas through slaked lime (calcium hydroxide) but this process requires regular replacement of the lime. After this treatment biogas approximates to pure methane with a calorific value of about 40MJ/m3.
Biogas is an attractive fuel for use in i.e. engines since it has no difficult pollutants that can damage them (like producer gas does). Moreover, biogas has good anti-knock properties and can safely be used with high compression ratio spark ignition engines as the sole fuel. When used with diesel engines it needs to be used as a supplementary fuel because a small quantity of diesel fuel needs to be injected to fire the mixture (the injection pump determines the ignition timing). Biogas can be used to reduce diesel fuel requirements by from 50 to 80% with minimal modification to the engine being necessary. To make the best use of biogas requires a spark ignition engine with a compression ratio approaching that of a diesel. Some special biogas engines have been built, which run on 100% biogas more efficiently than with an unconverted gasoline engine [82].
An important further advantage of this process, especially in the context of irrigation pumping, is that the digested sludge makes a good fertilizer, so that unlike the situation where when biomass is totally burnt, it is possible to return much of the original material to the land and thereby improve the soil quality and displace the use of chemical fertilizers. The anaerobic digestion process makes the nitrogen and various other chemicals more accessible to plant growth than the normal aerobic (in air) composting process. Also, unlike artificial fertilizers, the sludge left over from the biogas process contains humus which can improve the soil structure. This process also is useful as a method for treating sewage or disposing of other unpleasant or potentially dangerous organic wastes as well as for producing fertilizer and fuel gas. Anaerobic digestion is a standard sewage treatment process which kills most water-borne pathogens harmful to people and converts the effluent to a relatively innocuous and odourless liquid which can easily be sprayed or poured onto the fields.
Anaerobic digestion is quite widely used for large scale city sewage plants, but it is also increasingly being applied on farms. The first reasonably widespread farm use was in France during the Second World War, when farmers built concrete digesters to produce methane to replace petroleum fuels which were unobtainable for them at that time. More recently efforts have been made to popularise the use of biogas in Asia, mainly in China, but also in India, Nepal and some of the SE Asian countries. Commercial farm biogas units have also gone into production in various countries, including the USA, UK, Australia and Kenya as well as the main users of the technology, China and India.
Although the widespread use of biogas only started in China in the early 1970s, within ten years some seven million biogas units had been installed [83], with the majority being in Sichuan Province. The technology has been less successful at spreading in India, although some 80 000 digesters are believed to be in regular use there. Experience in India has been that the larger biogas units used by richer farmers and by institutions have generally been more successful than smaller "family-sized" units.
Figs. 160 and 161 illustrate the two main types of small-scale biogas digester, developed originally in China and in India respectively. The Chinese type of digester consists of a concrete-lined pit with a concrete dome, entirely below ground. It is completely filled with slurry, and once gas begins to form, it collects under the dome and forces the level of the slurry down by up to about lm. The gas pressure is consequently variable depending on the volume of gas stored, but by using a simple manometer on the gas line it is possible to measure the gas pressure and thereby gain an accurate indication of the amount of gas available. The Indian type of digester (Fig. 161) is more expensive to construct because it has a steel gas holder, on the other hand it is less likely to leak than the Chinese design which requires high quality internal plastering to avoid porosity and hence gas leaks. With the Indian design, gas collects under the steel gas holder, which rises as it fills with gas. The height of the gas holder out of the pit indicates how much gas is available, and the pressure is constant.

Fig. 160 Fixed dome biogas digester (China)

Fig. 161 Biogas digester with floating gas holder and no water seal (India)
The biogas process requires an input material provided as a liquid slurry with around 5-10% solids. It is important to use materials which breakdown readily; highly fibrous materials like wood and straw are not easily diegested by the bacteria, but softer feedstocks like dung and leaves react well to the process. Also some feedstocks are more productive than others as indicated by Table 34, and some producers of feedstock are more productive than others as indicated by Table 35.
Table 36 (after Meynell [84]), gives the principal operating parameters of typical continuous biogas digesters (it is also possible to run batch digesters in which each digester is loaded, completes its cycle and is then unloaded, but this needs several units, probably three, to ensure gas is always available). For optimum performance the internal temperature of the digester needs to be in the mid-30s centigrade and certainly over 25°C, moreover temperature conditions need to be as steady as possible. The digestion process generates a small amount of heat, but in cooler climates or seasons the unit needs to be well insulated and may need heating when cold spells occur. The average retention time for solids for the complete process is normally 20 to 40 days. With continuously operating (as opposed to batch) digesters, the actual digester size has to be equal to the design retention time in days multiplied by the daily input rate; i.e. with a 30 day retention time and lm3/day of input, the digester volume needs to be 30m3. The longer the retention time and the warmer the digester, the more complete the process and the more energy per kg of volatile solids is obtained, however the larger and more expensive the digester needs to be. Hence the sizing and retention time are usually a compromise between keeping costs reasonable and obtaining complete digestion. The loading rate and the moisture content are related; . the slurry needs to be kept to around 85 to 95% liquid. Too thin a slurry takes up more volume and needs a bigger digester than necessary, while too thick a slurry limits mixing and tends to solidify and clog up the unit. Another important criterion is the carbon/nitrogen ratio; for efficient digestion the process requires between 20 and 30 parts of carbon to be present per part of nitrogen. Certain carbon-rich materials like leaves or grass benefit, therefore, from being mixed with nitrogen-rich substances such as urine or poultry droppings. Alternatively ammonia or other nitrogen rich artificial chemicals may be added to a digester running on mainly vegetation to obtain a batter ratio and help the process. Finally, the output to be expected will be in the order of 0.1-0.7m3 per kg of volatile solids input per day.
Table 34 BIOGAS YIELD FROM VARIOUS FEEDSTOCKS
| Feedstock |
Gas
yield per unit mass
of feedstock |
energy
yield |
| Sewage sludge | 0.3-0.7 | 6-17 |
| Pig dung | 0.4-0.5 | 8-11 |
| Cattle dung | 0.1-0.3 | 2- 6 |
|
Poultry droppings |
0.3-0.5 | 6-11 |
|
Poultry droppings and paper pulp |
0.4-0.5 | 8-11 |
| Grass | 0.4-0.6 | 8-14 |
Table 35 QUANTITIES OF EXCRETA FROM VARIOUS SPECIES
|
Source of waste |
Volatile
solids
yield
per animal |
Biogas
yield |
Energy
yield |
|
Humans (inc. cooking wastes) |
0.1 |
.03-.07 | .6-1.7 |
| Pigs |
0.6 |
.24-.30 | 4.8-6.6 |
| Cattle |
4.0 |
.40-1.2 | 8-24 |
|
Poultry (x100 birds) |
2.2 |
.07-1.1 | 13-24 |
Table 36 PRINCIPAL OPERATING PARAMETERS FOR FARM BIOGAS DIGESTERS
|
Operating temperature |
30-35°C |
| Retention time | 20-40 days |
|
Loading rate (volatile solids) |
2-3 kg/m3 per day |
|
Operating moisture content |
85-95% |
|
Specific gas production |
0.1-0.7 m3/kg per day |
|
Feedstock carbon/nitrogen ratio |
20-30 |
Because biogas digesters have the capability of storing at least a 12 hour supply of gas, an engine can be used that draws gas at quite a high rate. In fact the size of engine is not critical since it is only the number of hours it will run that are governed by the digester gas capacity. Transporting biogas is technically difficult. In China it is quite often piped several hundred metres through plastic tubes. Unlike propane or butane, it is not possible to compress biogas into a liquid at normal temperatures and the only way to transport it as a gas are either in high pressure cylinders, which of course require a high pressure compressor to charge them, or in a plastic bag. Fig. 162 shows how small two-wheel tractors in China are powered from a bag of biogas carried on an overhead rack. The unit in the figure is towing a trailer tank full of biogas digester sludge and it also carries a pump driven off the engine for pumping the sludge onto the field via a spraying nozzle. An interesting option for irrigation by biogas power is to combine the digester sludge and the irrigation water in order to perform three functions simultaneously; i.e. irrigation, the application of fertilizer and waste disposal.

Fig. 162 Chinese two-wheel tractor running on biogas and being used to pump digester slurry on to the field
Biogas typically has a calorific value as a fuel for running small engines of about 6.4kWh/m3, so it is quite straightforward to estimate the daily volume of biogas needed to perform a given pumping requirement. A worked example of how to do this is given in Table 37, which indicates how a 3ha small-holding could be irrigated using biogas generated from the wastes from 20-30 pigs, 5-10 cattle, 500-700 poultry or a community of 80-200 people. The production rate of biogas can be enhanced by mixing vegetation with the animal wastes, although extra nitrogen, which could be in the form of urine, may need to be introduced to balance the excess carbon present in the vegetable wastes.
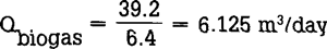
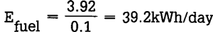
Table 37 SIZING EXAMPLE TO RUN AN IRRIGATION PUMP ON BIOGAS
|
Requirement: 8mm of water per day pumped through a head of 6m (i.e. 240m3/day) |
|
Engine; s.i. engine assumed 10% efficient (fuel to hydraulic power |
|
Biogas: calorific value assumed at 6.4kWh/m3 |
|
The energy requirement
to lift 240m3/day of water through 6m is: |
|
Assuming a system
efficiency of 10%, the fuel energy requirement is: |
|
Hence the daily biogas
requirement will be: |
|
This requires a biogas digester of about 5-10m3 capacity, loaded with from 10-60kg/day of input material (volatile solids), which can in turn be obtained from, for example: |
|
20-30 pigs 5-10 cattle 500-700 poultry 80-200 people |
|
The addition of vegetable wastes, providing it did not unduly upset the carbon/nitrogen ratio, could allow the same volume to be produced from possibly two thirds to three quarters the number of livestock or people. |
The example therefore shows that this process needs significant inputs of waste material to yield even quite modest amounts of pumped water. Therefore, looked at just in energy terms, the economics tend to be at best marginal in comparison with petroleum fuels, however when the fertilizer value plus the waste disposal benefits are factored in, the process frequently comes out as being economically worthwhile.
It is difficult to generalize on the economics of biogas since - many factors that are locality-specific are involved. However there is no doubt that the process offers significant economies of scale. For example a survey [85] of biogas units in India found a payback period, using a 10% discount rate, of 23 years for a 1.7m3 (60 cu.ft.) plant which improved to 7, 4 and 3 years respectively with 2.8, 5.7 and 8.6 m3 units (100, 200 and 300cu.ft). The sizes of plants needed to run small engines are much bigger than this and are therefore likely to be more cost-effective.
The country which has made by far the most use of biogas production in agriculture is China, where, particularly in Sichuan province, there are several million working biogas units. This development took place almost entirely within the last 10-15 years. Various studies (eg. [86]) have indicated that the value of the fertilizer output usually surpasses the value of the energy produced by the process in China. The waste disposal and sanitation aspects of the process are also important justifications for its use.