The ultimate criterion for choosing an irrigation pumping system is to obtain the most "cost-effective" system; this does not necessarily mean the "cheapest" system, since low first cost often results in high running costs. To arrive at a realistic assessment of the true cost-effectiveness is not easy, particularly as many of the parameters required for such an analysis will often be uncertain or variable, and many "costs" and "benefits" do not readily lend themselves to financial quantification at all (eg. reliability, availability of spare parts or maintenance skills, ease of use and vulnerability to theft are some factors which have cost implications, but which are difficult to factor in to any cost analysis). Nevertheless, the objective of most methods of financial or economic analysis is to arrive at a figure for the true "life-cycle costs" of a system (i.e. the total costs of everything relating to a system over its entire useful life) which are often compared with the "life-cycle benefits", which are the total benefits generated by the system in its lifetime. Since the length of life to be expected for different options will vary, it is necessary to find a technique for reducing the life cycle costs and benefits to those over, say, one year or to find some other method of presentation which allows ready comparison between options. Some methods for achieving this are discussed in more detail later.
While a financial or economic appraisal of options generally represents the primary criterion for selection, this should not necessarily be used as the sole method for ranking. Obviously any clearly uneconomic type of system is to be rejected, but, generally, there will be a number of possible options which in purely economic or financial terms show similar costs. The final selection from such a "short-list" generally needs to be based on technical or operational considerations. It is a mistake to use economic or financial analysis as the sole arbiter for choosing between options.
It is important to distinguish between economic and financial assessment of technologies. An economic assessment seeks to look at "absolute" costs and benefits and therefore considers costs and benefits as they would be if unaffected by taxes, subsidies or other local influences; the object is to arrive at a valuation of the technology in pure terms, excluding any local financial conditions. The value of an economic assessment is more for policy makers and those who need to compare technologies. The farmer, on the other hand, should do a financial assessment which takes account of conditions within his local economy, such as subsidies and taxes and the local market price of the final product harvested as a result of irrigation. The economist and the farmer may therefore come to different conclusions as to what is "cost-effective".
There are two main cost factors relating to any system; its first cost (or capital cost) and its recurrent costs or operation and maintenance costs (O&M costs). So far as the first cost is concerned, the over-riding consideration from the individual farmer's point of view is whether it is affordable as a cash payment and if not, whether he can obtain finance on acceptable terms. The institutional user will no doubt have access to finance and will be more concerned to ensure that an adequate return on the investment will be obtained. The O&M costs can vary considerably both within and between technologies and will no doubt increase with time due to inflation. Generally speaking, all options for pumping water represent a trade-off between capital costs and recurrent costs; low first cost systems usually have high recurrent costs and vice-versa.
Clearly, an investment in extra costs at the procurement stage may save recurrent costs throughout the life of the system, but it is difficult to compare a low cost engine having high running costs with a high cost solar pump having virtually zero running costs. Therefore, a major problem which may often inhibit the choice of high capital cost systems is the difficulty involved in comparing the cost of such an investment with the savings it could produce for many years into the future.
In all cases it becomes necessary to use some method to compare the notional value of money in the future with its value today, so that such things as the trade-offs between spending more on the first cost in order to reduce the recurrent costs can be properly assessed. All the methods used rely on what is called Discounted Cash Flow (DCF). The general principle behind this is that money available in the future is worth less than if it were available now; this is not necessarily because of inflation, but because it is assumed that money available now can be invested and will therefore be worth more in the future than the original sum. For example, investing $100 now at 10% will yield $110 in one year's time; therefore $100 today is notionally worth 10% more than the same sum if made available in one year's time.
Discounted Cash Flow therefore takes all future payments and receipts relating to a predictable cash flow, and discounts them to their present value using an appropriate interest rate, or discount rate. Going back to the previous example, $110 received in one year's time is said, therefore, to have a "present value" (or PV) of $100 if discounted to the present at a 10% discount rate.
When capital costs are annualized, then first costs can be properly equated with recurrent costs as far into the future as is desired. The way this is done is to note that it is unimportant to an investor whether he has, say, $100 today which he plans to leave in a deposit account yielding 10% interest, or whether he simply has $110 promised to him in one year's time. It follows from this that, for example, a payment of "C " in different numbers of years' time will be discounted back to the present, assuming a discount rate of "d" in the following way:

Each of these factors gives the PV of a payment Cr in l,2,3,...,n years time.
Table 38 gives calculated values for these factors for discount rates of 2, 5, 10, 15 and 20% for all years from 1 to 25. To find the Present Value of, say $1 000 to be paid in 10 years time at a discount rate of 10%, the relevant PV factor is looked up from the table (0.39 in the example) and multiplied by the sum of money in question to give, in this example 0.39 x $1,000 = $390. If it can be anticipated that $1 000 needs to be paid, say, every 5 years (for example to replace an engine), then the PV factors for years 0, 4, 9, 14, 19 and 24 at the relevant discount rate are looked up, added together and multiplied by the sum in question; in this case the calculation for a 10% discount rate and 25 year period would be:

A complete cash flow over some predetermined future period can be planned and when multiplied by the relevant PV factors for each year can be reduced to a complete Present Value.
Another effect to be considered is that of inflation. The real purchasing power of money tends to decline, so that for example a litre of diesel fuel in one year's time may be anticipated to cost say 5% more than it does today. So if we wish to compare the cost over an extended period, we need to allow for the likely increase in cost of fuel. Therefore if we expect to spend $100 this year, we must plan to spend $105 next year and so on. This results in a need to increase the actual amount of currency required to achieve a given real value. This can be anticipated by assuming an inflation rate "i", and as a result the progression of PV values discounted back to the present becomes:

Whether or not inflation is included, the actual life cycle cost of a system will be the sum of the present values of all its initial costs, plus all its future costs; i.e. the life cycle cost is obtained by taking the capital cost and adding on the anticipated discounted present values of the future recurrent costs.
For most purposes of comparison it is easiest and quite sufficient to ignore inflation and work entirely in "present day money", especially as future inflation is not readily predictable over long periods of time. Therefore Table 38 uses zero inflation rate and no attempt has been made to provide a similar set of tables to cater for various rates of inflation.
A regular payment or benefit "Ca" which recurs every year can be simultaneously inflated at a rate "i" and discounted at "d". To avoid calculating each year separately as above and having to add them together, the series can be summed by a general formula for a whole string of regular payments, as follows:
Table 38 PRESENT VALUE FACTORS UP TO 25 YEARS
|
Year |
0.02 |
0.05 |
Discount Rate 0.10 |
0.15 | 0.20 |
|
0 |
1.00 |
1.00 |
1.00 | 1.00 | 1.00 |
|
1 |
0.98 | 0.95 | 0.91 | 0.87 | 0.83 |
|
2 |
0.96 | 0.91 | 0.83 | 0.76 | 0.69 |
|
3 |
0.94 |
0.86 |
0.75 | 0.66 | 0.58 |
|
4 |
0.92 |
0.82 |
0.68 | 0.57 | 0.48 |
|
5 |
0.91 | 0.78 | 0.62 | 0.50 | 0.40 |
|
6 |
0.89 |
0.75 |
0.56 | 0.43 | 0.33 |
|
7 |
0.87 |
0.71 |
0.51 | 0.38 | 0.28 |
|
8 |
0.85 |
0.68 |
0.47 | 0.33 | 0.23 |
|
9 |
0.84 |
0.64 |
0.42 | 0.28 | 0.19 |
|
10 |
0.82 |
0.61 |
0.39 | 0.25 | 0.16 |
|
11 |
0.80 |
0.58 |
0.35 | 0.21 | 0.13 |
|
12 |
0.79 |
0.56 |
0.32 | 0.19 | 0.11 |
|
13 |
0.77 |
0.53 |
0.29 | 0.16 | 0.09 |
|
14 |
0.76 |
0.51 |
0.26 | 0.14 | 0.08 |
|
15 |
0.74 |
0.48 |
0.24 | 0.12 | 0.06 |
|
16 |
0.73 |
0.46 |
0.22 | 0.11 | 0.05 |
|
17 |
0.71 |
0.44 |
0.20 | 0.09 | 0.05 |
|
18 |
0.70 |
0.42 |
0.18 | 0.08 | 0.04 |
|
19 |
0.69 |
0.40 |
0.16 | 0.07 | 0.03 |
|
20 |
0.67 |
0.38 |
0.15 | 0.06 | 0.03 |
|
21 |
0.66 |
0.36 |
0.14 | 0.05 | 0.02 |
|
22 |
0.65 |
0.34 |
0.12 | 0.05 | 0.02 |
|
23 |
0.63 |
0.33 |
0.11 | 0.04 | 0.02 |
|
24 |
0.62 |
0.31 |
0.10 | 0.03 | 0.01 |
Table 39 ANNUALIZATION FACTORS UP TO 25 YEARS
|
Year |
0.02 |
0.05 |
Discount
Rate |
0.15 |
0.20 |
|
0 |
1.00 |
1.00 |
1.00 |
1.00 |
1.00 |
|
1 |
1.02 |
1.05 |
1.10 |
1.15 |
1.20 |
|
2 |
0.52 |
0.54 |
0.58 |
0.62 |
0.65 |
|
3 |
0.35 |
0.37 |
0.40 |
0.44 |
0.47 |
|
4 |
0.26 |
0.28 |
0.32 |
0.35 |
0.39 |
|
5 |
0.21 |
0.23 |
0.26 |
0.30 |
0.33 |
|
6 |
0.18 |
0.20 |
0.23 |
0.26 |
0.30 |
|
7 |
0.15 |
0.17 |
0.21 |
0.24 |
0.28 |
|
8 |
0.14 |
0.15 |
0.19 |
0.22 |
0.26 |
|
9 |
0.12 |
0.14 |
0.17 |
0.21 |
0.25 |
|
10 |
0.11 |
0.13 |
0.16 |
0.20 |
0.24 |
|
11 |
0.10 |
0.12 |
0.15 |
0.19 |
0.23 |
|
12 |
0.09 |
0.11 |
0.15 |
0.18 |
0.23 |
|
13 |
0.09 |
0.11 |
0.14 |
0.18 |
0.22 |
|
14 |
0.08 |
0.10 |
0.14 |
0.17 |
0.22 |
|
15 |
0.08 |
0.10 |
0.13 |
0.17 |
0.21 |
|
16 |
0.07 |
0.09 |
0.13 |
0.17 |
0.21 |
|
17 |
0.07 |
0.09 |
0.12 |
0.17 |
0.21 |
|
18 |
0.07 |
0.09 |
0.12 |
0.16 |
0.21 |
|
19 |
0.06 |
0.08 |
0.12 |
0.16 |
0.21 |
|
20 |
0.06 |
0.08 |
0.12 |
0.16 |
0.21 |
|
21 |
0.06 |
0.08 |
0.12 |
0.16 |
0.20 |
|
22 |
0.06 |
0.08 |
0.11 |
0.16 |
0.20 |
|
24 |
0.05 |
0.07 |
0.11 |
0.16 |
0.20 |
|
24 |
0.05 |
0.07 |
0.11 |
0.16 |
0.20 |

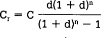
Having produced a Present Value for some cash flow stretching into the future, it is then important to be able to reduce this to an annual equivalent sum in present day money; in other words, how much money do you have to save each year to finance the cash flow? The annual equivalent "Cr" of a capital sum "C" is similar to paying an annuity and can be calculated as follows:

Table 39 gives calculated annualization factors for various discount rates and periods; for example, the annualized payment due to pay off a sum of $1 000 (in present day value money) over ten years at a discount rate of 10% can be calculated by taking the relevant factor (0.16 in this case) and multiplying it by the capital sum to arrive at $160/yr for this example. Therefore is you borrow $1 000 today under those financial conditions, the repayments, or the cost of financing the loan will total $160 per year. Even if you pay $1 000 cash for some item with a 10 year estimated life, the "opportunity cost" resulting from not having the cash available to earn interest in a bank will still be $160 in the case considered, so it is correct to say that it costs $160 per $1 000 tied up over 10 years at a 10% discount rate. Table 39 can readily be used to calculate annualized values of other capital sums over a range of periods up to 25 years for the same discount rates as for the PV factors of Table 38.
Table 39 can also be used in reverse to calculate the Present Value of a regular cash flow; using the same example, the Present Value of $160/yr over a 10 year period at a 10% disount rate is exactly $1 000. The method to use Table 39 to obtain the Present Value of a cash flow is to look up the factor relating to the period and discount rate required, and to divide the annual payment by the factor. For example, the Present Value of $80/yr over a period of 25 years at a discount rate of 15% is the factor 0.03 divided into $80, i.e.:

This is a lot easier than taking the PV factor for every year from year 0 to 24 from Table 38, adding them and multiplying by 80, which should give the same result.
Having explained the methods of equating future costs and payments to the present, it remains to use these techniques to arrive at a means for comparing the relative economic merits of different systems. There are in fact four commonly used techniques for making economic appraisals:
The total present value of all costs for various systems sized to do a certain job can be compared (i.e. it is assumed that similar benefits will be achieved regardless of the choice of technology, so the problem is simplified to finding the least-cost solution). This can be confusing if different options have significantly different life expectations (in years), so the lifecycle costs are usually annualized as described above to give a more general means for comparison which includes an allowance for the expectation of life of each system. The annualized life cycle costs can then readily be converted to unit output costs; i.e. the cost of unit quantity of water through a given head, as described above. Where different heads may be involved, the "unit hydraulic output costs" can also be determined by taking the cost of the head-flow product, but care is needed to ensure that you are still comparing like with like as some systems' costs will change significantly as a function of head. Life-cycle costs are purely a criterion for comparison as they do not indicate whether a specific water pumping system is actually economically viable (for example whether the value of additional crops gained from pumping irrigation water may actually exceed the cost of pumping the water).
This is be obtained by determining cash flows for the benefits expected as well as for the costs, using exactly the same methods as described above. The benefits will generally be the marginal income gained from irrigation and will be given a positive value and the costs, calculated as before will be made negative. To obtain the Net Present Value the present values of the total costs and benefits cash flow are added together. To be worthwhile a positive Net Present Value is required, and the more positive the better; i.e. the summed present values of the benefits must exceed those of the costs. The answer obtained will differ depending on the choice of discount rate, and the period considered for analysis, so this is not therefore purely dependent on choice of technology.
A variation on the concept of Net Present Value is to calculate the total life-cycle benefits and the total life-cycle costs and then to divide the former by the latter to obtain the Benefit/Cost Ratio. If this ratio is greater than one, then the benefits exceed the costs and the option is worthwhile. The same criticisms apply to this as to the Net Present Value approach.
Internal Rate of Return is difficult to calculate, but provides a criterion for comparison independent of any assumptions on discount rates or inflation. It is therefore a purer method for comparing technologies. The Internal Rate of Return can be defined as the discount rate which will give a Net Present Value of Zero (or a Benefit/Cost ratio of 1); i.e. it is the discount rate which exactly makes the benefits equal the costs. To calculate Internal Rate of Return requires finding the discount rate to achieve a Net Present Value of zero; this is usually determined by trial and error, by recalculating the Net Present Value for different discount rates until the correct result is achieved. It is tedious to do this manually, but various standard micro-computer spread sheets are widely available which make it a relatively easy task. The advantage of the Internal Rate of Return as a selection criterion is that it is, in effect, the discount rate at which an option just breaks-even. If the Internal Rate of Return is higher than the actual discount rate, then the option can be said to be economically worthwhile. Obviously, the higher the Internal Rate of Return of an option, the more attractive it is as an investment, since it basically says whether you do better to leave your money in the bank or invest it in an irrigation pumping system, or whatever.
The choice of discount rate used for analysis effectively reflects the analyst's view of the future value of money; a high discount rate implies that money available now is much more useful than money available in the future, while a low discount rate is more appropriate when longer term considerations lie behind an investment decision. The implications of this are that low discount rates favour the use of high-first-cost low-recurrent-cost systems, which cost a lot now in order to save money in the future, while high discount rates make low-first-cost high-recurrent-cost systems look good be making the high future costs less important.
The length of period selected for analysis (n) can affect the answer, so it is normal to use a long period in order to minimize this effect; this will normally need to be 15 to 20 years or more because at normal discount rates, costs more than about 20 years into the future become discounted to such small levels that they cease to affect the results very much. Obviously, short-life equipment will need replacement during the period under analysis, and this is taken account of by adding the discounted value of the capital costs of future replacements to the life cycle costs.
Economists recognize that there are so-called "opportunity costs" associated with cash transactions; for example, although for most analytical purposes the exchange rate of a local currency will be taken at the official rate, in practice this does not always reflect its real value in terms of purchasing power. The opportunity cost of using foreign currency is therefore often higher than the exchange rate would suggest. It is therefore legitimate in a comparative analysis to penalize options involving a lot of foreign exchange to a greater extent than would apply simply by using the prevailing exchange rate. The normal method of doing this is to multiply the actual financial cost by a so-called "shadow price factor"; where there is a shortage of a commodity (eg. frequently, diesel fuel) it will have a shadow price factor greater than unity, conversely where there is a surplus (such as being able to use unskilled labour), then a shadow price factor of less than one may be applied to unskilled labour wages. For example the shadow price of diesel fuel may in some rural areas of developing countries be as much as four times the real price, while the ready availability of unskilled labour may allow it in reality to be costed at as little as 70% of its real wage level for economic comparisons. Tables of shadow prices specific to different countries, and even to regions of countries have been developed, but the concept of shadow pricing is complex and is probably best left to economists. However the principles of shadow pricing should at least be borne in mind, at least since items with a high opportunity cost may go into regular short-supply and cause operational problems.
Fig. 163 outlines a method that can be used to compare the costs of alternative water lifting techniques. This step-by-step approach is based on life-cycle-costing of the whole system. It takes into account all the identifiable costs, but ignores benefits gained by the users of water.
An integrated approach which considers the system as a whole, from the water source, to the point of application on the field is recommended; i.e. including the water source costs (such as well digging) and water distribution costs (such as digging ditches or purchasing pipes or sprinklers).
A simple worked example is included as Table 40. The first step is to determine the hydraulic energy requirements. Suppose we wish to irrigate 0.5ha to a depth of 10mm while pumping through a static head of 4m in the month of maximum water demand. Reference to Fig. 13 in Chapter 2 indicates that this requires a nett daily hydraulic energy output of 0.545kWh (factoring down by ten from the scale used in the figure). Alternatively, the following relationship, also explained in Chapter 2, may be used:

Allowance must now be made for distribution losses; for convenience it is assumed that all three systems being compared involve the same distribution efficiency of 60%. Then the gross hydraulic energy requirement is (0.545/0.6) = 0.91kWh/day for all three. It should be noted that in reality, different distribution efficiencies might occur with different types of system, which would result in different energy demands.
The next step is to determine the design month; this is generally the. month of maximum average water demand if the power supply is uneffected by climatic conditions, (eg. for engines), but where the energy resource is the wind or the sun, it becomes necessary to compare the energy demand with the energy availability and the design month will be the month when the ratio of energy demand to energy availability is highest. Supposing in this case that the design month does coincide with the month of maximum water demand in all three examples, then using the assumptions in Table 40, the bases for which are discussed in more detail in the relevant earlier chapters, we arrive at the sizing for the systems. The engine in this case will be of the smallest practical size, but the wind and solar pumps need to be suitably sized.
The next step is to estimate the installed capital cost of the system, generally by obtaining quotations for appropriately sized equipment. Some "typical" values, valid at the time of writing, have been used; namely $200/m2 of rotor for a windpump and $15/Wp for a solar pump. The product of size and cost factor gives the installed capital cost, which for simplicity is assumed to include the water source and distribution system in all three cases. Some storage facility is likely to be needed in all cases; a secure lock-up holding two 200 litre oil drums is assumed for the diesel while a low cost compacted soil bund having a cement lining is assumed for water storage for the wind and the solar systems, holding 40 and 30m3 respectively. In the case of petroleum fuelled systems, the cost of storage includes the notional investment in stored fuel (assuming on average that the storage is at 50% capacity and amortizing a continuous investment in 100 litres of fuel).

Fig. 163 Step-by-step procedure for a cost appraisal of a water pumping system
Table 40 ANALYSIS OF UNIT WATER COSTS FOR FOUR TYPES OF IRRIGATION PUMPING SYSTEM
Operational requirement:
10mm of water lifted 4m to cover 0.5ha (peak irrigation demand). Annual requirement averages 67% of peak for five months, which is 5,094m3/year.
Assumed water source costs are identical in all four cases, for simplicity, although in practice this may not always be correct.
Peak daily hydraulic energy requirement is 0.92kWh/day
Total irrigation demand: 5,094m3/yr in all cases.
Financial parameters (all cases) D = 10% N = 25 yrs i = 0
| Assumption and result | |||||
|
Parameter |
Gasoline |
Diesel |
Wind |
Solar |
|
|
Price of fuel delivered to field |
50c/litre |
40c/litre |
- |
- |
|
|
Critical month mean irradiation |
- |
- |
- |
5.8kWh/m2 |
|
|
Critical month mean windspeed |
- |
- |
3.5m/s |
- |
|
|
Sizing assumption |
lkW 3% effic. |
minimum size available i.e. 2kW & 8% effic. |
0.1V3 W/m2 |
35% mean motorpump effic. |
|
|
Requirement to produce peak daily water output |
3.11/day gasoline |
1.2 1/day diesel fuel |
9.7m2 rotor area |
540Wp |
|
|
Requirement to produce mean daily water output |
2.11/day gasoline |
0.8 1/day diesel fuel |
ditto |
ditto |
|
|
Capital cost assumption (total power system and pump) |
$330 (engine & pump) | $1,500 (engine & pump) |
$1,940 ($200/m2) |
$8,100 ($15/Wp) |
|
|
Storage tank capacity |
2 x 200 1 |
2 x 200 1 fuel in secured shed |
40 m3 water tank |
30m3 |
Cost includes estimated average fuel inventory cost as well as shed cost. Hence gasoline storage costs more on average. |
|
Cost of storage |
$280 |
$250 |
$600 |
$450 |
|
| Life of system |
3yrs |
7 yrs |
20 yrs |
15 yrs |
|
|
Life of storage |
15 yrs |
15 yrs |
15 yrs |
15yts |
|
|
Lifecycle system costs |
$1,224 |
$2,865 |
$2,405 |
$10,444 |
|
|
Lifecycle storage costs |
$347 |
$310 |
$744 |
$558 |
|
|
Total lifecycle capital costs (at present value) |
$1,571 |
$3,175 |
$3,149 |
$11,002 |
|
|
Annualised system costs |
$135 |
$315 |
$265 |
$1,166 |
|
|
Annualised storage costs |
$38 |
$34 |
$82 |
$61 |
|
|
Annual 0 & M costs |
$220 |
$200 |
$50 |
$50 |
|
|
Annual fuel costs |
$156 |
$49 |
- |
- |
|
|
Total annual cost: |
$549 |
$598 |
$397 |
$1,277 |
|
|
Average unit cost of water |
l0.8c/m3 |
11.7c/m3 |
7.5c/m3 |
25.1c/m3 |
|
The actual useful life of the systems and storages is assumed, as indicated in the table, as are financial parameters for the discount rate and the period for analysis. Hence the life-cycle costs may be determined by working out the present values of the first system and all subsequent replacement ones (using factors from Table 38) and adding them all together. Table 40 shows the system and storage life-cycle costs separately, but they could also be combined. In order to arrive at a comparable annualized cost for the capital investment in each system, the factors of Table 39 are used to convert the life-cycle cost; in this case a 25 year period and 10% discount rate gives a factor of 0.11, which the life-cycle cost needs to be multiplied by. The storage system was dealt with similarly.
The combined system and storage annualized costs represent the annual investment or "finance" costs. Different systems also have recurrent costs consisting of O&M (operational and maintenance) costs, and sometimes fuel costs. When the finance, O&M and fuel costs are added, we obtain the gross annual cost of owning and operating each system.
Where an identical useful output is to be produced, then the gross annual cost is sufficient for ranking purposes. In reality, however, different cropping strategies may apply for different irrigation systems, resulting in different crop irrigation water demands and different benefits (in terms of the market values of the crops). Therefore it is useful to divide the gross annual cost by the gross annual irrigation water demand to arrive at an average unit cost for water from each option.
In this example, the windpump comes out marginally better than the petrol engine but the decision probably ought to be made between them on other than economic grounds as there is so little to choose between them in simple unit cost terms. In this example, the solar pump does not seem economically competitive. It must be stressed that this is but one simple example which should not be blindly used to draw any conclusions on the relative merits of engine, wind and solar pumps generally. Even varying totally non-technology dependent parameters such as the discount rate, the period of analysis, the water demand or the head could significantly change the results and rankings obtained, and so could changing the technical performance and/or cost parameters, which would have an even more profound effect.
A procedure similar to that just described has been followed to analyse a representative selection of the types of water lifting systems described earlier in this paper.
Most studies attempting this kind of analysis use a single assumption for each and every parameter and compound these to arrive at a single answer, as in the example just given, often presented as a single curve on a graph for each option. The trouble with this approach is that errors are compounded and may not cancel out, so the result could be very misleading. In an attempt to minimize this problem, the approach in this case has been to choose a low and a high parameter at each and every decision point; i.e. a plausible pessimistic and a plausible optimistic one. Two sets of calculations are then completed for each technology, to produce a pessimistic and an optimistic result, which when graphed give two curves. It is then reasonable to assume that the real result is likely to lie between the two curves and the results are therefore presented as a broad band rather than a thin line. Therefore, where the broad band for one technology lies wholly above or below another it is reasonable to assume the lower one is the cheaper option, but obviously many options overlap considerably and in such situations other considerations than water cost should dictate the decision.
Table 41 lists all the systems considered and gives the principle assumptions used for calculating the cash flows. The capital cost assumptions are intended to include the entire system as defined in the previous section; i.e. not just a prime-mover and pump, but all the necessary accessories that are necessary and appropriate for each type of technology and scale of operation.
Table 41 COST AND PERFORMANCE ASSUMPTIONS USED FOR COMPARISON OF ALTERNATIVE PUMPING METHODS
| Capital Cost | Life years |
Maintenance per pump |
Operating cost |
Performance assumptions |
Notes |
| Solar PV (hi) present | |||||
| Module $10/Wp | 15 | $50+$0.05/Wp p.a. | NIL | Motor/pump Subsystem efficiency = 35% | Sized for the design month. Irradiation levels of 20 MJ/m2 in the design month examined, Peak water requirement in design month assumed to be 2 x average water requirement. Wp is the array rating in peak Watts. |
| Motor and pump | |||||
| $(500 + 1.5Wp) | 7.5 | ||||
|
b.o.s. $(1500 + 2.0Wp) |
15 | ||||
| Wind (hi) | |||||
|
$400/m2 of swept rotor area |
20 |
$50 + 2.5 x area p.a. |
NIL |
Meaning Hydraulic power=0.1V3W/m2 (= mean wind speed) |
Sized for a design mean wind speed (in the design month) of 3 m/s. Peak water requirement = 2 x average water requirements. |
| Diesel (hi) | |||||
| $(1900 + 8.6P) | 5 |
$400 p.a. |
80 c/litres |
Overall (hydraulic/ fuel) efficiency = 0.03 + 0.007P |
P is the shaft power in kW. Minimum operation 0.25 hours per day. Efficiency in first half hour assumed to be half of 'steady-state' efficiency. |
| Diesel (lo) | |||||
| $(950 + 4.3P) | 7.5 | $200 p.a. | 40 c/litre | efficiency = 0.13 + 0.007P | |
| Kerosene (hi) | |||||
| $600 | 2 | $200 p.a. | 80 c/litre |
efficiency = 2% |
Size of engine = 1.0 kW. Number of engines chosen to meet the demand. |
| Kerosene (lo) | |||||
|
$200 |
5 | $100 p.a. | 40 c/litre |
efficiency = 6% |
Efficiency assumptions at start-up as for diesel. |
| Biogas | |||||
| Gas holder $(137+ G) b.o.s. $(91 + 1.89G) pump hi $600 pump lo $200 | 5 | $20 p.a. | 0.03c/MJof delivered gas |
- |
G is the energy content of the gas produced in MJ per day. The biogas unit is sized to provide the daily input energy requirements of the spark ignition engine. |
| Oxen (lo) | |||||
| animal $250 | 10 | $20 | $0.75 per animal day | Hydraulic output = 200Wper animal | Assumed to work continuously for 8 hours per day at a hydraulic output of 200W i.e. 587m per day |
| pump $100 | 5 | ||||
| Oxen (hi) | |||||
| animal $125 | 10 | $20 | |||
| pump $100 | 5 | $1.25 per animal day | |||
| Human (hi) | |||||
|
$200 per pump |
6 |
$1 per man day |
Output of each pump = 37W hydraulic |
Pump gives rated output for 4 hours per day (i.e. 54m per day) |
|
| Human (lo) | |||||
|
$20 per pump |
4 |
$20p.a. |
$0.30 per man day |
||
| Turbine (lo) | |||||
| $200 per pump | 15 | $20p.a. | - | Output 350W per pump | |
|
$200 for civil works |
30 |
|
These pumps are assumed to operate over a 24 hour period. |
||
| Turbine (hi) | |||||
| $200 per pump | 15 | $20p.a. | |||
| $2000 for civil works | 30 | ||||
| Hydram (hi) | |||||
|
$3000 per hydram |
30 |
$5 p.a. |
— |
Output 100W | |
| Hydram (lo) | |||||
| $1000 per hydram | 30 | $5 p.a. | |||
| Mains (hi) | |||||
|
$10000 for connection + $(265 + 0.75P) per pump |
30 |
$5 p.a. |
$0,042 per MJ of electricity = 15c/kWh |
P is the rated output power of the pump. The pump size is determined by assuming the daily water requirements is to be provided in 6 hours. |
|
| Mains (lo) | |||||
|
No connection charge $(265 + 0.75) per pump |
30 |
$20 p.a. |
$0.02 per MJ of electricity 7c/kWh |
Because of the large numbers of options to be analysed, calculations were carried out on a computer and the results printed out graphically as the cost of hydraulic energy versus the peak daily demand for hydraulic energy (see Figs. 164 to 168).
To eliminate one parameter, the output was calculated for each option, not in terms of volume of water pumped, but in terms of hydraulic energy output; this effectively combines the volume of water pumped and the head, since units of m3.m, or cubic metre-metres were used. However it should be realised that this is only valid for comparing similar systems; you cannot realistically compare systems operating at radically different heads such as a 100m borehole pump with a 10m head surface-suction pump purely on the basis of m3.m. To convert a figure in m3.m to flow at a specific head it is only necessary to divide by the head in question; e.g. 10m3.m could be 2m3 pumped through 5m head. To convert a unit cost of 5cents/m3.m to obtain a cost per unit of water, it is necessary to multiply by the head in question; eg. that energy cost at 2m head represents a water cost of 10c/m3.

Fig. 164 Human and animal power: output cost versus scale (note log-log scale)

Fig. 165 Diesel and kerosene pumping sets (note log-log scale)

Fig. 166 Windpumps at various mean windspeeds (note log-log scale)

Fig. 167 Solar pumps at various mean insolation levels (note log-log scale)

Fig. 168 Hydrams (note log-log scale)
The final results are presented in terms of output cost versus the hydraulic energy demand. This is because the unit costs of different options, and hence the economic rankings, are sensitive to the size of system used. Therefore the choice of technology will differ depending on the scale of operation; systems which are economic for larger scale operations are often uneconomic on a small scale, and vice-versa.
Figs. 164 to 168 show the results for the different options analysed. In some cases, such as solar and wind powered pumping systems, the variability of the energy resource was allowed for by recalculating the band of results three times, i.e. for a mean of 10, 15 and 20MJ/m2 per day (2.8, 4.2 and 5.6kWh.m2 per day) of solar irradiation and, similarly for three mean wind-speeds of 2.5, 3.0 and 4.0m/s. The lower levels chosen are deliberately selected because they are sub-marginal conditions, while the middle level was judged to be marginal rather than attractive for the technologies concerned; so the results of all except the 20MJ/m2 per day (for solar) and the 4.0m/s (for wind) examples would not be expected to show these technologies particularly favourably.
A problem with Figs. 164 to 168 is that they had to be plotted on a log-log scale, because of the large range of power and cost considered, or either a very large sheet of paper would be needed to show the results, or the results at the lower end, which are of great interest to many people, would have been compressed to insignificance. The trouble with log-log scales is that the eye interprets distances linearly, so they can be misleading if simply inspected. This makes it difficult to compare the various options shown in Figs. 164 to 168. Therefore, Fig. 169 has been provided as a simplified composite of these results, using mean values (between the highs and lows) of the other graphs (to avoid too much of a confusion of curves) and moreover it was plotted against linear axes over a necessarily smaller size range, up to only 1 000m3.m/day. This range is of most interest as the relative rankings do not change much once an energy demand of about 1 000m3.m/day is exceeded.

Fig. 169 Mean values of the results of Figs. 164-168 plotted with linear scales on the same axes for daily hydraulic requirements of 1000 m3m. 'Jumps' in the curve are points at which it becomes necessary to use another unit to meet the demand.

Fig. 170 Expected range of unit energy costs for three levels of demand, if 100,1000 and 10,000 m3m/day for different types of prime-mover
Another, perhaps more easily interpreted presentation of these results is given in Fig. 170, where histograms of the cost spread for each system at daily energy demands equivalent to 100, 1 000 and 10 000 m3.m are given, and compared linearly rather than logarithmically for ease of comparison. (To put this in perspective, we are a considering say, 20, 200 and 2 000m3 per day at 5m head, or half those amounts at 10m head, etc.). This set of histograms also reintroduces the "optimistic" to "pessimistic" spread for each technology, which was lost in the previous comparison of Fig. 169. It is important not to lose sight of the possible range of costs applicable to any given technology, especially as in some cases the band of possible costs is very wide even on the basis of quite plausible assumptions in all cases.
It is interesting to see, for example, how a 10kW diesel system is by far the most expensive at the smallest demand level, where wind and solar pumps are at least competitive, but when 10 000 m3.m are needed the situation is completely reversed.
i. Conclusions to be drawn from economic analysis
The economics for most options are particularly size-sensitive, so that what is correct at 100m3.m/day is not generally true for a hydraulic requirement of 10 000m3.m/day.
The only low unit-output cost options which apply almost right across the entire size range of interest are:
Where land-holdings are so small that the demand is less than 100m3.m/day, then human power is relatively inexpensive and animal power appears to be competitive. Solar and windpumps are both potentially competitive and so are spark ignition engines, providing they are reasonably efficiently sized and operated. Diesel power is not generally cost-effective for such small energy demands. Although the renewables in some cases appear competitive at this small demand level, the absolute costs of water are still rather high and it is important to ensure that irrigation will in fact produce a profitable yield in relation to the high water costs involved. It may be better to try to consolidate a single larger water system shared between several such small land holdings where such an option is feasible.
At the medium size range analyzed, namely 1 000m3.m/day, all the options are generally more cost-effective than they are at 100m3.m/day energy demand, and there is an overlap between most options; animal power, windpower (with V greater than 4m/s), water power, i.e. engines (only if efficiently operated) and mains electricity appear marginally the best options.
At the large size range of 10 000m3.m/day, diesel power comes into its own, and unless mains electricity or water power is available, diesel will probably be the best option.
Therefore, in summary, mains electricity (providing no connection costs are involved) or water power are most economical. Windpower is next most attractive if windspeeds are high, (but it is decidedly unattractive with low or uncertain winds). Solar power is generally expensive but has the potential to fill a useful gap in the 100-1000m3.m/day demand level range once the cost of solar-powered systems falls a little more. Engines have a very wide band of uncertainty relating to their unit costs at small energy demand levels, ranging from competitive to unacceptable. Spark ignition engines are more attractive in the small to medium range of 100-1 000m3.m/day while diesel engines become more competitive at energy demands exceeding around 1 000m3.m/day. Biomass-fuelled spark ignition engines will generally cost more to run than kerosene or gasoline fuelled engines (where fuel is at world prices), but will be worth considering where petroleum fuels are either not available or have a high opportunity cost; obviously a suitable low-cost biomass fuel resource needs to be readily available.
It is worth elaborating on some of the practical, in addition to economic, considerations that relate to the different types of water lifting system.
Some technologies are more "available" than others. Table 5.4 indicates technologies in general use, or with "future potential", plus some that are obsolete; a few qualify for more than one of these categories. In some cases, such as small Stirling engines, it is believed that not one commercial manufacturer currently offers a viable product even though in this case they were widely used in the past and there seems no techno-economic reason why they would not be attractive today. Similarly, the Chinese Turbine Pump, which is widely used in southern China, appears to be most attractive economically (and has numerous operational advantages) but is not currently produced outside China. Therefore, for some time to come, such technologies may only generally be considered as a potential option in most countries.
A more general problem with all new or unfamiliar technologies, even if they are nationally commercially available, is to obtain the necessary information and advice in order to:
It is probably best if all but the more adventurous (and wealthy) of small farmers play safe and stick to familiar and "available" technologies where help, advice and spares are readily available and risks are minimized. However, if everyone took this advice, new and perhaps eventually better technologies would never become available, so therefore it is worth suggesting that it is necessary for government, international aid agencies and institutions, with a commitment to the future development of small-scale agriculture, to take risks in this area on behalf of their local farmers and to test and demonstrate any technologies that appear promising in the local irrigation context.
Problems must be expected with pilot projects. It is therefore vital to measure, monitor and record the behaviour of any innovative systems that are tried. Even if no problems occur, unless such pilot projects are properly monitored it will not be possible to come to any conclusion as to whether the new technology being tried is competitive with what it is supposed to replace.
Actual performance monitoring is important, but so are qualitative comments on operational aspects, such as maintenance or installation difficulties, or shortcomings as perceived by the user. Feedback on these aspects needs to be absorbed by the manufacturers and developers of this kind of equipment, so that the necessary improvements can be set in hand, otherwise development will be delayed.
As explained previously, low recurrent costs tend to have to be traded for high capital costs. High capital costs represent a real barrier for small farmers to take up new technology even if the unit output costs are competitive. Worse, low capital costs are often an incentive to install inefficient systems (eg. small kerosene pumps sets with inadequate distribution pipe). Where there is a good case for farmers to be encouraged to use a high capital cost technology (even to move from spark-ignition to diesel engines), then it will generally be necessary for appropriate credit facilities to be made available as an incentive.
Renewable energy systems, with their high capital costs and low recurrent costs may be of particular interest to institutions having access to grant or aid finance for capital items, because they do offer a means for investing in low recurrent costs. Many rural institutions face major problems with meeting the recurrent costs of running conventional pumping systems, so in some situations it may make sense to introduce high capital cost equipment simply to reduce the maintenance and fuel budgets.
This factor varies considerably with different types of pumping system. For example, a windpump will be highly dependent on adequate wind to operate, so if high risk crops are grown where the provision of water on demand is vital to the survival of the crop, then a large (and consequently expensive) storage tank will be necessary to ensure water is always available. Alternatively less risky and probably less valuable crops could be grown with only a small storage tank or even in some cases with no storage at all. Therefore the flexibility of the device, or its controlability, must be taken account of as they affect such fundamental decisions as the choice of crop to grow under irrigation.
Other factors relate to aspects such as size and portability. Small engines and small solar pumps may be quite portable, which means they can be moved around to irrigate with only short, but effective distribution pipes, while a windpump, a larger engine, or a hydram will inevitably have to be fixed. However small portable items are also vulnerable to theft in some regions, which makes the relatively large and fixed installation less at risk in that context.
Few options can rival the operational flexibility of an i.e. engine powered system in terms of rapid start up, portability, provision of power on demand, etc., but of course one of the reasons for looking at the other options is that the i.e. engine generally suffers the major drawback of needing petroleum fuels. So the operational shortcomings of many of the alternatives need to be weighed against the fuel needs and the likely future availability and cost of fuel.
Two key factors apply here; the absolute skills required and the level of familiarity with the equipment. Commonplace, but complex machines like diesel engines can often appear to be simpler to handle than much simpler but less familiar technologies such as solar pumps (from the maintenance point of view). Due allowance for the need to learn about a new technology must therefore be made before dismissing it as too sophisticated. In absolute technical terms there are no water lifting technologies more technically demanding than the diesel engine; most of the renewables are basically much simpler even if in a few cases they involve little understood concepts (not many diesel mechanics understand the first principles of a diesel engine either - it is not necessary to know this in order to overhaul an engine).
The level of support available from manufacturers or suppliers is most important; most successful technologies have become widely used because they were successfully promoted and supported by the commercial interests that market them. Even the simplest technologies stand little chance of being taken up unless they are effectively promoted and the early users are also properly supported and helped through any problems.
Often there are trade-offs between the amount of skill needed and the amount of maintenance/operational intervention required. For example; solar pumps need very little maintenance, but what they do need is usually unfamiliar and demands specialized and at present rare skills, (although given appropriate training the necessary skills can be rapidly attained); i.e. engine pumps need quite frequent and sometimes technically sophisticated maintenance functions, but because the technology is so widespread there are many people capable of performing these; the cruder types of village built windpumps need a great deal of adjustment and running repairs, but to the people who are familiar with them, these present little inconvenience or difficulty.
Familiarity or lack of familiarity are perhaps more important factors then the absolute level of technical skill needed, (after all few repairs can be more demanding then overhauling a diesel injection pump or reboring an i.e. engine, yet few provincial towns exist in developing countries where such activities cannot be carried out). Therefore training is a vital aspect of introducing any new or unfamiliar technologies.
Durability, reliability and a long operational life usually cost money, but they also are frequently a good investment in terms of minimizing costs. Perceptions on the value of capital or the choice of discount rate will usually control decisions on these aspects. However it is best to try and show through economic or financial analysis whether the benefits from buying high quality equipment are cost-effective. Many who have analyzed the cost of operating machinery in remote areas, particularly engines, have concluded that their performance, not only in terms of output but also in terms of reliability and durability, usually turns out to be sigificantly worse than expected. There is therefore often merit in erring towards oversizing prime-movers and procuring any special accessories that make the system more "fail-safe".
This is of more immediate interest to policy makers than farmers, although the benefits to be gained from local manufacture could of course eventually benefit the latter.
One of the principal reasons to seek alternatives to petroleum fuelled engines for irrigation is because of the inability of many countries to import sufficient petroleum to meet present, let alone future, needs. Therefore shortage of foreign exchange to import oil equally implies shortage of foreign exchange to import foreign solar pumps or other such alternatives. Therefore, any system which lends itself to whole or partial local manufacture is of potential economic importance in terms of import substitution for oil, (and probably for engines too). However, the benefits of local manufacture do not end with import substitution.
Other important results of local manufacture, or part-manufacture, are:
- creation of local industrial employment - enhancement of industrial skills - improved local availability of spare parts - improved local expertize in the technology
in other words, local manufacture can help to overcome many of the constraints mentioned previously in supporting the initial diffusion of a new technology, and can at the same time help to develop the industrial/manufacturing base. The economy of the country gains twice from local manufacture of irrigation equipment, first from internalising the manufacture and secondly from the enhanced agricultural production once the equipment starts to be widely applied.
The reader will have realized from this paper that there is a wide variety of options for combining prime movers and water lifting devices in order to pump irrigation water. In practical terms the situation will be simplified for most people by having to choose from a much more limited selection of what is available rather than what is possible. However, it is hoped that by applying an understanding of the technical and economic principles described, more cost-effective irrigation may be achieved, and hence more irrigation.
Small scale lift irrigation is not yet normally practiced in many countries, so the incentive to develop the full range of potentially useful technologies has not yet been given to industry. It is to be hoped that the increasing need to grow more food will drive irrigation technology forward and result during the next decade or two in a considerable widening of the choice of equipment on the market. The author hopes this book will have made a small contribution to encouraging the understanding and interest needed for this to happen.