Julia Vinagre
Los métodos analíticos que se apliquen para producir datos de composición química de alimentos deben ser apropiados, utilizar técnicas analíticas exactas y ser realizados por analistas entrenados.
La selección de un método analítico debe ser realizada por el consejero científico del programa de base de datos, pero esta responsabilidad debe ser compartida con el analista.
Si se considera que el principal objetivo de la base de datos de composición de alimentos es nutricional, es evidente que el método de análisis seleccionado para un nutriente debe reflejar lo más fielmente posible el valor nutritivo del alimento. En esta elección de un método particular, se debe conocer, en primer lugar la química del nutriente, la naturaleza del sustrato alimenticio a ser analizado, el efecto del procesamiento y la preparación sobre la matriz del alimento y en el nutriente, y el rango esperado de concentración del nutriente. El segundo requisito es comprender las implicancias nutricionales del nutriente, lo cual incluye su rol, su distribución en los alimentos y su importancia relativa en alimentos individuales en el suministro dietario total del nutriente.
El proceso analítico se puede considerar dividido en 3 etapas: i)operaciones previas (muestreo, acondicionamiento, disolución, separaciones, reacciones analíticas y otras); ii) Medición y traducción de la señal analítica mediante el uso de instrumentos y; iii) toma y tratamiento de datos. La calidad de los resultados depende de la calidad de las diferentes etapas del proceso analítico.
En la elección de un método se debe focalizar la atención en los principios analíticos involucrados, más bien que en el grado de sofisticación del instrumento. Muchas veces un método con uso de instrumentos modernos puede producir valores menos confiables que el método tradicional que pretende reemplazar y es preferible desarrollar programas que aseguren la calidad de los datos obtenidos.
Suele suceder también que las legislaciones de alimentos se basen en un método estandarizado oficial que puede no ser el más adecuado desde el punto de vista nutricional y, por tal motivo, se deben tomar decisiones individuales en cada caso.
Basándose en las consideraciones de Egan, la elección de métodos debe considerar:
Entre los atributos a considerar en la calidad de un método se deben mencionar aquellas características que son básicas: confiabilidad, aplicabilidad, especifidad, exactitud, precisión, detectabilidad y sensibilidad.
Es un término general cualitativo que expresa el grado de cumplimiento satisfactorio de un método analítico en términos de sus variados atributos técnicos (aplicabilidad, exactitud, precisión, sensibilidad y detectabilidad), siendo por lo tanto, un concepto compuesto.
El objetivo del análisis es determinar cuál de estos atributos es importante y cuál puede estar comprometido. Ejemplo: si se desea analizar un componente mayor no se requiere un bajo límite de detección.
En la aplicabilidad de un método se debe considerar que esté libre de interferencias producidas por otros materiales presentes en la muestra alimenticia, asimismo influye el rango en que se va a usar el método.
Es la habilidad de un método para responder exclusivamente a la sustancia que se desea analizar. Sin embargo, en algunas ocasiones se aceptan métodos con una pobre especificidad cuando el propósito del análisis es captar compuestos similares dentro de un grupo (Ejemplo: grasa total, cenizas)
La especificidad se refiere a la propiedad del método de producir una señal medible debida sólo a la presencia del analito, libre de interferencia de otros componentes en la matriz de la muestra.
Es la cercanía del valor analítico al "valor verdadero" de concentración del compuesto de interés en el material bajo examen. Es la concordancia entre la mejor estimación de una cantidad y su valor real. La inexactitud es la diferencia numérica entre el valor promedio de un conjunto de repeticiones y el valor verdadero.
En la práctica la cercanía a un estándar de algún tipo se toma como medida de exactitud.
Matemáticamente se expresa:
Desviación:

Desviación relativa:

Recuperación:

X = valor promedio
◯ = valor verdadero
De todas ellas, sin lugar a dudas, la más utilizada es la recuperación.
Si bien el valor verdadero de la concentración no se conoce sino que sólo puede estimarse, es posible preparar una muestra por un procedimiento más exacto que el evaluado (por pesada, dilución en peso, etc.) y utilizarla como referencia.
La exactitud o mejor dicho la inexactitud debe ser tan pequeña como sea posible para que el valor medido se aproxime al de referencia, o sea, la recuperación debe acercarse al 100%.
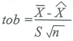
En el análisis de macrocomponentes, en general se requiere que el valor medido no difiera significativamente del aceptado como referencia. Para determinarlo, se utiliza un ensayo t de Student, efectuando varias determinaciones de la muestra de concentración conocida y calculando el t experimental (tob) que se compara con tablas t para n-1 grados de libertad en el nivel de confianza escogido, generalmente p=0,05.

Si el tob es menor que el valor tabulado el método tiene la exactitud requerida para ese ámbito de confianza. Si el tob resulta mayor que el valor tabulado, el método tiene un error sistemático, del signo resultante, para ese ámbito de confianza.
En términos reales más bien se debe considerar la imprecisión que corresponde, aproximadamente, al término dispersión y variabilidad analítica. La imprecisión se determina haciendo ensayos repetitivos de una misma muestra analítica. o de cada. conjunto de muestras analíticas y luego se calcula la desviación estándar, siendo muy importante en este caso la homogeneidad del sustrato.
La precisión tiene la desventaja que requiere que los valores se distribuyan normalmente, que enfatiza los valores extremos de una serie de mediciones y que en muchos métodos aumenta la desviación estándar cuando aumenta la concentración.
Para evaluar datos de un amplio rango de concentración es más útil calcular la desviación estándar relativa (RSD) o bien el coeficiente de variación por ciento (CV%).
La precisión está relacionada con la disposición de las medidas alrededor de su valor medio o central y corresponde al grado de concordancia entre ensayos individuales cuando el método se aplica repetidamente a múltiples alícuotas de una muestra homog�nea.
La precisión se expresa matemáticamente por "S" o más comúnmente por RSD o CV.

Los estimadores desviación estándar y desviación estándar relativa permiten evaluar la incertidumbre en. la estimación de la medida (error aleatorio, correspodiente a la dispersión de datos alrededor. de la.media).
La precisión de un método analítico debe estudiarse sobre:
La precisión se puede medir en condiciones repetitivas (mismo analista, mismo día, mismo instrumento) y en condiciones reproducibles (diferente analista, diferente día, diferente instrumento).
En muchos casos debe indicarse el límite o intervalo de confianza de la medida el cual corresponde al rango en el cual puede definirse la probabilidad de capturar el parámetro con la probabilidad indicada.
Cuando el número de muestras es pequeño (menos de 30), las medidas independientes y la distribución normal se calculan de acuerdo a la distribución t de Student:
Student tabulado para n mediciones con v=n-l grados de libertad y para varios niveles a de significancia (el más aplicado es p=0,05 correspondiente a un intervalo de confianza del 95%).
Es la cantidad mínima de una sustancia (definida en término de cantidad absoluta o concentración) que proporciona una respuesta medible para un método descrito.
Es la pendiente de la curva respuesta -concentración, o el cambio de respuesta por unidad de concentración. Si la pendiente es empinada el método tiene alta sensibilidad y si la pendiente es poco empinada, el método posee una baja sensibilidad. En estudios de composición de nutrientes el análisis de elementos trazas requiere alta sensibilidad, lo que en la práctica se puede lograr mediante amplificación electrónica o por concentración química del analito.
En la Gráfico 1 se resumen los atributos a considerar en la calidad.
Aún los métodos bien establecidos necesitan ser validados por los analistas usando el personal, reactivos y equipos del laboratorio cuyo método se quiere validar.
La validación puede hacerse analizando un conjunto de muestras que han sido analizadas por otro método o por otro laboratorio. El analista debe familiarizarse con un método y asegurarse que ha alcanzado el grado deseado de recuperación y precisión después de haber analizado un conjunto de blanco y muestras analíticas sintéticas o fortificadas.
Gráfico
1
Respuesta en función de la concentración del
analito Atributos de los métodos
Si un método particular sobre un alimento, o realizado en otro laboratorio, ha dado un cumplimiento adecuado está indicando que el método es adecuado, pero esto no significa que se pueda asumir que si el método se ha realizado satisfactoriamente con un alimento determinado opere exactamente igual con un alimento diferente sino muy por el contrario, se debe asumir la posición opuesta hasta comprobarlo. Así por ejemplo, alimentos procesados y formulados, especialmente si contienen emulsificantes, pueden constituirse en un problema especial cuando se analiza, con un método de análisis desarrollando para un alimento primario.
La validación consiste, en esencia, en confirmar y documentar que los resultados emanados de la aplicación de un método de análisis son confiables.
Evidentemente todo nuevo método analítico debe validarse para demostrar su idoneidad, pero generalmente existen metodologías antiguas aplicadas durante mucho tiempo y entonces tiene poco sentido validar como si fuera una metodología desconocida. Se habla entonces de una validación retrospectiva, donde se pueden combinar los nuevos criterios de validación con toda la experiencia ya adquirida. En cambio, se conoce como validación prospectiva a la que se realiza frente a un producto nuevo.
En muchos casos un método analítico es desarrollado y validado por un grupo de trabajo y aplicado por otro grupo y para asegurar que este último sea a su vez capaz de entregar resultados confiables, es conveniente realizar una transferencia de validación. Si se trata, por ejemplo, de un método cromatográfico consiste en la comparación de resultados de las pruebas de adecuación y análisis en paralelo, al menos dos muestras homogéneas de concentraciones conocidas, dentro del rango de aceptación del producto o dentro del rango de aplicación de la metodología.
En un ensayo de validación deben considerarse los siguientes parámetros:
| - |
selectividad |
| - |
linealidad |
| - |
precisión |
| - |
exactitud |
| - |
sensibilidad |
| - |
robustez |
La selectividad, precisión, exactitud y sensibilidad, fueron descritas con anterioridad y en lo que respecta a la linealidad de un método analítico se refiere a la proporcionalidad entre la concentración de analito y su respuesta. Este paso de la validación es necesario si se va a trabajar con un solo estándar en las determinaciones de rutina, aunque pueden aceptarse métodos no lineales, si se opera con estándares múltiples cada vez. Además, conjuntamente se determina el rango lineal, es decir, el intervalo comprendido entre la concentración mínima y máxima de analito para el cual el método ha sido probado y dentro del cual se puede efectuar el dosaje por interpolación en una curva estándar.
Para su determinación se prepara una serie de mínimo cinco diluciones de un estándar comprendiendo los ámbitos estimados de trabajo con un exceso de al menos 50% sobre el límite superior y un defecto de 50% debajo del límite inferior. Estas soluciones se inyectan, al menos por duplicado, y se determina la curva de regresión Y = bX+a sobre los puntos individuales sin promedios por el método de los cuadrados mínimos y se grafica para su documentación.
En muchos casos es interesante comparar los resultados de la recta de regresión obtenida sobre el analito puro, con la correspondiente a analito + matriz (en el Gráfico 2, se señala para HPLC el efecto de la matriz).
Gráfico 2
Rectas de
regresión del analito y analito más matriz para HPLC

La no correspondencia de las rectas indica problemas por efecto de la matriz y está relacionada con la exactitud del método en cuestión. Estos efectos de matriz pueden clasificarse de acuerdo a su naturaleza en aditivos y multiplicativos. Los aditivos se refieren a un desplazamiento positivo del cero en presencia de la matriz y los multiplicativos a un cambio de la pendiente. Independiente de la apariencia de la recta, resulta conveniente evaluar los estimadores de regresión en un intervalo de confianza dado (por ejemplo p=0,05):
| - | Del coeficiente de regresión lineal (r). Se determina para evaluar el ajuste al modelo lineal propuesto, Y=bX+a. |
| - | De la pendiente (b). Se determina como parámetro indicativo de la sensibilidad del método, para evaluar la correlación de diferentes métodos. El límite de confianza para el estimador de la pendiente (b) se calcula en función de su varianza Sb. |
| - | De la ordenada al origen (a). Se determina para evaluar la proporcionalidad de la función analítica, es decir, que la recta pase por el origen y que cualquier desviación pueda adjudicarse únicamente a un error aleatorio. El límite de confianza del estimador de la ordenada al origen (a) se calcula en función de su varianza Sa. |
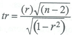
El mejor indicador del modelo lineal, en reemplazo de r es el cálculo del valor tr con n-2 grados de libertad el cual se compara con el valor t tabulado para el nivel de confianza requerido. La hipótesis nula es "no existe correlación entre X e Y", si el valor observado de tr es mayor que t tabla se rechaza la hipótesis y existe correlación lineal significativa con la probabilidad calculada.
