Les participants soviétiques étant arrivés après l'adoption du rapport, il a été jugé utile d'ajouter et de faire adopter l'addendum suivant:
un document résumant les recherches des chercheurs soviétiques dans la région 34.1.3 a été apporté et commenté par M Domanevsky. Il porte sur Dentex macrophthalmus, Pagellus acarne, Merluccius merluccius, Merluccius senegalensis et Balistes capriscus. L'intérêt de ce travail a été reconnu tout en regrettant qu'il ne porte pas sur la région concernée par le Groupe de travail;
la présentation a été suivie d'un débat au cours duquel des questions ont été posées. Il en est résulté une série de recommandations et d'accords énumérés ci-dessous:
Les chercheurs soviétiques enverront au COPACE, aussi rapidement que possible, une annexe à joindre à son rapport et donnant le détail des extrapolations qui ont conduit à évaluer les prises totales par espèce.
Ils enverront également une note sur l'origine des valeurs utilisées pour la mortalité naturelle dans l'analyse des cohortes et les références correspondantes.
Il a été demandé aux auteurs du rapport de se pencher sur le biais qui pourrait résulter de l'utilisation du rapport des populations virtuelles pour calculer la mortalité totale, dans la mesure où l'effort de pêche n'a jamais été constant et s'est accru régulièrement pendant la période considérée.
Il est souhaité que, pour leur future participation, les chercheurs soviétiques consultent toutes les évaluations, estimations et données fournies par les collègues d'autres pays et en fassent une critique constructive et documentée.
En particulier, la communauté scientifique apprécierait qu'une analyse pareille à celle que M Domanevsky vient de présenter pour la zone 34.1.3 soit faite pour les régions 34.3.3 et 34.3.1.
| Experts: | |
|---|---|
| ANSA-EMMIM, Michael | Projet COPACE/FAO |
| PNUD, B.P. 154 | |
| Dakar (Sénégal) | |
| BRAINERD, T.R. | Fisheries Division |
| Ministry of Natural Resources | |
| P.O. Box 435 | |
| Freetown (Sierra Leone) | |
| CISSE, M. | Direction générale des pêches |
| Conakry (Guinée) | |
| CAVERIVIERE, Alain | Centre de recherches océanographiques |
| B.P. V 18 | |
| Abidjan (Côte-d'Ivoire) | |
| DIXON, T.E.P. | Bureau of Fisheries |
| Ministry of Agriculture | |
| Monrovia (Liberia) | |
| DOMAIN, François | Antenne ORSTOM |
| Centre océanologique de Bretagne | |
| B.P. 337 | |
| Brest CEDEX (France) | |
| DOMANEVSKY, L.1 | Institut Atlantique de recherches |
| scientifiques (AtlantNIRO) | |
| Kaliningrad (URSS) | |
| FONTANA, André | CRODT |
| B.P. 2241 | |
| Dakar (Sénégal) | |
| FRANQUEVILLE, C. | CRODT (Mission d'Aide et de Coopération) |
| B.P. 2241 | |
| Dakar (Sénégal) | |
| GARCIA, Serge | Fisheries Department |
| Marine Resources Service | |
| FAO, Rome | |
| LHOMME, Frank | CRODT |
| B.P. 2241 | |
| Dakar (Sénégal) | |
| MONOYER, Philippe J. | Projet COPACE/FAO |
| PNUD, B.P. 154 | |
| Dakar (Sénégal) | |
| THIAM, Modou | Centre de recherches océanographiques |
| de Dakar-Thiaroye (CRODT) | |
| B.P. 2241 | |
| Dakar (Sénégal) | |
| Observateur: | |
| GUEREDRAT, J.A. | CRODT |
| B.P. 2241 | |
| Dakar (Sénégal) | |
| Interpréte: | |
| FOSHING, L.1 | Institut de recherches économiques |
| Economiste | de l'industrie des pêches |
| Brd. Rojdestvenski 12 | |
| Moscou (URSS) | |
| Secrétariat: | |
| DIATTA, Aminata (Mlle) | Project COPACE |
| B.P. 154 | |
| Dakar (Sénégal) |
1 Présent un seul jour/Present only one day
Ouverture
Adoption de l'ordre du jour
Désignation du rapporteur
Examen des données disponibles
Prise totale par espéce (industrielle, semi-industrielle et artisanale): 1964-1978
Effort et prises correspondantes: 1964–1978
Captures par unité d'effort (cpue)
Données biologiques: principalement les données sur la longueur et la compostion d'âge
Rejets
Description des pêcheries (industrielles, semi-industrielles et artisanales)
Flottilles (nombre d'embarcations, caractéristiques, engin utilisé, etc.) par pays
Saison de pêche
Régions de pêche
Examen des données sur la distribution des stocks, migrations et facteurs les affectant: Nouvelles informations sur les migrations
Biologie des stocks
Maturité et fécondité comprenant la taille à la première maturité
Frai
Rapports longueur/poids
Recrutement
Mortalité
Distribution et biologie du baliste (Balistes capriscus). Interaction B. capriscus et d'autres espèces commerciales ayant plus de valeur
Tendances de la prise totale et de l'effort
Analyse des cpue
Sélectivité
Evaluations
Prospection par chalutage et par écho-sondage
Etat actuel d'exploitation
Mesures de gestion
Maillage
Réduction de l'effort de pêche
Autres mesures
Travail futur
Adoption du rapport et clôture
by
T.E.P. Dixon
Bureau of Fisheries
Monrovia, Liberia
1. INTRODUCTION
The Liberian fishing industry is divided into two main sectors - industrial and artisanal. In terms of numbers of fishermen and boats, the artisanal forms the major fishing sector in the country and is dominated by the Fanti, Popoh and the indigenous Kru fishermen. They use non-powered or powered (outboard engines) canoes with locally-made or imported nets. These fishermen are scattered along the coastal counties (Cape Mount, Montserrado, Grand Bassa, Sinoe and Maryland) and provide most of the local fish supply.
In the industrial sector, the Mesurado Fishing Complex is the only fishing company in the country. This company incorporates the Continental Sea Food Company which fish mainly for shrimps. The Mesurado Fishing Complex owns trawlers which fish for both shrimps and finfish. About 90 percent of these trawlers carry out demersal fishing and the finfish catch is sold locally whilst about 95 percent of the shrimps is exported to America, Europe and elsewhere.
2. REVIEW OF AVAILABLE DATA
2.1 Total catch by species
Artisanal fishery
Data on total catch by species for the artisanal fishery in Liberia are very scanty. This is because no standard pattern of data collection was available prior to 1977 and thus no catch data from 1964 to 1977 are presented here. The bulk of the catch in this sector consists of pelagic fish because of the gear used. Table 1 (column 1) shows the total catch by species in the artisanal sector for 1978 (in Cape Mount, Grand Bassa, Sinoe, Maryland); column 2 gives data on only demersal stocks extrapolated to all counties.
Industrial fishery
Table 2 shows landings of trawlers owned by the Mesurado Fishing Complex from 1971 to 1978. Landing statistics for 1964 to 1970 are not available. There are also no statistics on shrimp landings from 1971 to 1974, hence Table 3 shows the total weight of shrimps landed by trawlers of the Continental Sea Foods and Mesurado Fishing Companies from 1975 to 1978. The yearly effort data for trawlers based at Monrovia from 1971 to 1978 are shown in Table 4.
3. DESCRIPTION OF THE LIBERIAN FISHERY
3.1 Fleets
(i) Artisanal fishery
Canoes are the only craft used in the artisanal sector. There are two types:
| Species | Weight (t) | All Counties1 |
|---|---|---|
| Sparidae | 22.42 | 32.06 |
| Clupeidae | 783.66 | |
| Galeoides decadactylus | 9.48 | 13.56 |
| Thunnidae | 152.25 | |
| Sphyraena spp. | 69.19 | 98.94 |
| Rays and Skates | 2.60 | 3.72 |
| Auriusspp. | 32.78 | 46.88 |
| Pomadasyidae | 0.83 | 1.19 |
| Soles | 79.00 | 112.97 |
| Polydactylus quadrifillis | 0.79 | 1.13 |
| Trichiurus lepturus | 0.04 | 0.56 |
| Pseudotolithus spp. | 83.26 | 119.06 |
| Sciaenidae | 3.31 | 4.73 |
| Epinephelus spp. + Lutjanidae | 8.67 | 12.40 |
| Pentanemus quinquarius | 3.54 | 5.06 |
| Sharks | 62.94 | 90.00 |
| Mackerels | 40.76 | |
| Mugil spp. | 2.50 | 3.58 |
| Caranx spp. | 61.38 | |
| Crabs | 0.10 | 0.14 |
| Lobsters | 1.11 | 1.59 |
| Others | 76.23 | 109.01 |
| TOTAL | 1 496.84 | 656.58 |
1 All counties: Cape Mount, Montserrado, Grand Bassa, Sinoe and Maryland counties
| Species | 1971 | 1972 | 1973 | 1974 | 1975 | 1976 | 1977 | 1978 |
|---|---|---|---|---|---|---|---|---|
| Soles | 72.34 | 122.00 | 225.40 | 123.36 | 153.79 | 160.63 | 196.78 | 351.67 |
| Rays and Skates | 1.34 | 14.35 | 36.14 | 41.21 | 10.94 | 37.22 | 49.35 | 22.21 |
| Sparidae | 3.46 | 15.05 | 118.82 | 376.17 | 612.67 | 321.12 | 249.38 | 328.53 |
| Sciaenidae | 181.42 | 470.50 | 415.15 | 848.43 | 620.15 | 710.06 | 1 199 | 804.66 |
| Sphyraena spp. | 1.93 | 4.82 | 17.82 | 13.66 | 3.68 | 12.37 | 11.61 | 34.33 |
| Drepane africana | 31.82 | 52.90 | 54.36 | 45.30 | 62.38 | 79.79 | 56.95 | 950.06 |
| Pomadasyidae | 40.66 | 19.81 | 18.94 | 31.40 | 26.04 | 32.30 | 39.60 | 67.46 |
| Epinephelusspp. + Lutjanidae | - | - | - | - | 1.30 | .20 | 8.77 | 2.44 |
| Galeoides decadactylus | 70.54 | 341.86 | 115.96 | 112.04 | 120.02 | 283.22 | 226.44 | 252.29 |
| Mullidae | - | - | - | 54.35 | 1.33 | 28.46 | - | .62 |
| Sharks | 4.21 | 20.22 | 12.20 | 10.81 | .28 | 12.41 | 11.08 | 3.18 |
| Trichiurs lepturus | 1.48 | 6.13 | 1.02 | 8.30 | 8.40 | 36.71 | 59.86 | 20.95 |
| Aridae | 31.05 | 31.77 | 28.48 | 10.32 | 12.16 | 34.68 | 31.96 | 52.07 |
| Carangidae | 4.73 | 39.00 | 28.99 | 23.70 | 620.15 | 52.86 | 25.72 | 21.13 |
| Others | 26.98 | 161.94 | 25.06 | 152.65 | 242.25 | 181.62 | 24.82 | 72.46 |
| TOTAL | 471.96 | 1 300.35 | 1 098.34 | 1 851.70 | 2 495.54 | 1 983.65 | 2 191.32 | 2 984.06 |
Note: The above figures do not include landings of shrimps (see Table 3 for landings of shrimps)
Source: Sales Office MesuFish, Mesurado Fishing Company
| Year | Weight (t) |
|---|---|
| 1975 | 1 350.56 |
| 1976 | 1 454.09 |
| 1977 | 1 166.37 |
| 1978 | 1 689.27 |
| Year | No.of vessels | No.of days fished | No.of hauls |
|---|---|---|---|
| 1971 | 33 | 3 528 | 21 168 |
| 1972 | 31 | 3 312 | 19 872 |
| 1973 | 23 | 2 880 | 17 286 |
| 1974 | 20 | 3 168 | 19 008 |
| 1975 | 24 | 3 024 | 18 144 |
| 1976 | 26 | 6 290 | 18 144 |
| 1977 | 26 | 6 055 | 19 008 |
| 1978 | 30 | 6 459 | 23 760 |
Note: The hauls and days fished are for all Mesurado and Continental Sea Food Companies
The Kru canoes are locally-made dug-outs and carry 2–3 men. The main gears utilized by fishermen are cast net and hook-and-line.
There are two types of Fanti canoes in Liberia. These are:
Both types are usually powered by 25–40 hp outboard engines. Gears utilized by the Fanti and Popoh fishermen, who use the Fanti canoes, include beach seine, drift and set nets. There are no reliable data available on the total number of canoes in the country. However, during the 1976/77 Frame Survey, it was established that there were 853 canoes in the country, and only 159 of these were motorized. The number of registered (licensed) canoes from 1960 to 1976 are shown below:
| Year | 1960 | 1961 | 1962 | 1963 | 1964 | 1965 | 1966 | 1967 | 1968 | 1969 |
|---|---|---|---|---|---|---|---|---|---|---|
| No. of registered canoes | 44 | 42 | 80 | 52 | 65 | 91 | 26 | 53 | 43 | 63 |
| Year | 1970 | 1971 | 1972 | 1973 | 1974 | 1975 | 1976 | 1977 | 1978 | 1979 |
|---|---|---|---|---|---|---|---|---|---|---|
| No. of registered canoes | 86 | 65 | 50 | 48 | 54 | 88 | 83 | 87 | 179 | 252 |
(ii) Industrial fishery
Vessels used in this sector are mainly small and medium sized steel trawlers. These are either stern or side trawlers with gross tonnage ranging from 33 to 140 t. Bottom trawl and shrimp nets are the two main gears used by these vessels. Prior to 1977, there were no comprehensive data available on the number and characteristics of the vessels.
Table 4 shows the number of vessels (trawlers) based at Monrovia from 1971–1978. Tables 5 and 6 give details of the characteristics of trawlers owned by the Mesurado Fishing Complex during 1977 and 1979 respectively.
3.2 Fishing season
Fishing is carried out throughout the year in Liberia. However, the main fishing season for most demersal species, e.g., Sparidae, Sciaenidae, etc., is between November and April. January to March is considered the peak fishing season for most bottom fishes in Liberia. The peak fishing season for pelagic fishes is from December to February. During this period, the Clupeidae constitute the bulk of the catch.
3.3 Fishing areas
The following are the main fishing areas along the coast of Liberia:
The Cape Mount/Sherbro area, i.e., around the Liberia/Sierra Leone border;
The Maryland/Ivory Coast area, i.e., the area around the border with Ivory Coast;
The Grand Bassa area, i.e., around the Buchanan area. Catches in this area are not as good as in areas (i) and (ii).
| Name | Gross t | Net t | Length (ft) | Width(ft) |
|---|---|---|---|---|
| Mesurado 6 | 101.45 | 60.00 | 66.3 | 20.2 |
| Mesurado 7 | 99.86 | 59.00 | 66.3 | 20.2 |
| Mesurado 8 | 98.0 | 67.0 | 66.2 | 20.0 |
| Mesurado 9 | 98.0 | 67.0 | 66.2 | 20.0 |
| Mesurado 10 | 98.0 | 67.0 | 66.2 | 20.0 |
| Mesurado 11 | 88.0 | 59.0 | 70.0 | 19.10 |
| Mesurado 12 | 98.0 | 75.0 | 72.0 | 22.0 |
| Mesurado 14 | 88.0 | 59.0 | 64.6 | 19.5 |
| Mesurado 15 | 88.0 | 59.0 | 64.6 | 19.5 |
| Mesurado 16 | 88.0 | 59.0 | 64.6 | 19.5 |
| Mesurado 17 | 88.0 | 59.0 | 64.6 | 19.5 |
| Mesurado 19 | 88.0 | 59.0 | 64.6 | 19.5 |
| CSF17 | 98.0 | 75.0 | 72.0 | 22.0 |
| CSF 9 | 98.0 | 75.0 | 72.0 | 22.0 |
| CSF 10 | 98.0 | 75.0 | 72.0 | 22.0 |
| Rubyan 5 | 136.0 | 63.0 | 82.8 | 22.6 |
| Newebe 2 | 136.0 | 63.0 | 82.8 | 22.6 |
| Newebe 7 | 136.0 | 63.0 | 82.8 | 22.6 |
| Nagroor 2 | 136.0 | 63.0 | 82.8 | 22.6 |
| Nagroor 8 | 136.0 | 63.0 | 82.8 | 22.6 |
| Nagroor 9 | 136.0 | 63.0 | 82.8 | 22.6 |
| Retni 1 | 98.0 | 59.0 | 64.6 | 19.5 |
| Retni 3 | 98.0 | 59.0 | 64.6 | 19.5 |
| CSF 15 | 98.0 | 75.0 | 72.0 | 22.0 |
| Alvaro | 140.0 | 82.0 | 117.0 | 19.5 |
| Seiru Maru | 84.87 | 33.08 | 82.0 | 17.0 |
| Name | Gross t | Net t | Length (ft) | Width (ft) | Type of boat |
|---|---|---|---|---|---|
| MS Mesurado 6 | 101.45 | 60.0 | 66.3 | 20.2 | Fishing trawler |
| MS Mesurado 7 | 99.86 | 59.0 | 66.3 | 20.2 | Fishing trawler |
| MS Mesurado 8 | 98.0 | 67.0 | 66.2 | 20.0 | Fishing trawler |
| MS Mesurado 9 | 98.0 | 67.0 | 66.2 | 20.0 | Fishing trawler |
| MS Mesurado 10 | 98.0 | 67.0 | 66.2 | 20.0 | Fishing trawler |
| MS Mesurado 11 | 88.0 | 59.0 | 70.0 | 19.10 | Fishing trawler |
| MS Mesurado 12 | 98.0 | 75.0 | 72.0 | 22.0 | Fishing trawler |
| MS Mesurado 14 | 88.0 | 59.0 | 64.6 | 19.5 | Fishing trawler |
| MS Mesurado 15 | 88.0 | 59.0 | 64.6 | 19.5 | Fishing trawler |
| MS Mesurado 16 | 88.0 | 59.0 | 64.6 | 19.5 | Fishing trawler |
| MS Mesurado 17 | 88.0 | 59.0 | 64.6 | 19.5 | Fishing trawler |
| MS Mesurado 19 | 88.0 | 59.0 | 64.6 | 19.5 | Fishing trawler |
| MS Mesurado 20 | 112.0 | 76.0 | 71.2 | 22.0 | Fishing trawler |
| MS Mesurado 21 | 112.0 | 76.0 | 71.2 | 22.0 | Fishing trawler |
| MS Mesurado 22 | 112.0 | 76.0 | 71.2 | 22.0 | Fishing trawler |
| MS Mesurado 23 | 115.0 | 77.0 | 75.0 | 22.0 | Fishing trawler |
| MS Mesurado 24 | 115.0 | 77.0 | 75.0 | 22.0 | Fishing trawler |
| MS Mesurado 25 | 115.0 | 77.0 | 75.0 | 22.0 | Fishing trawler |
| MS Mesurado 26 | 115.0 | 77.0 | 75.0 | 22.0 | Fishing trawler |
| MS Mesurado 27 | 115.0 | 77.0 | 75.0 | 22.0 | Fishing trawler |
| CSF 7 | 98.0 | 75.0 | 72.0 | 22.0 | Shrimp trawler1 |
| CSF 9 | 98.0 | 75.0 | 72.0 | 22.0 | Shrimp trawler |
| CSF 10 | 98.0 | 75.0 | 72.0 | 22.0 | Shrimp trawler |
| Rubyan 5 | 136.0 | 63.0 | 82.8 | 22.6 | Shrimp trawler |
| Newebe 2 | 136.0 | 63.0 | 82.8 | 22.6 | Shrimp trawler |
| Newebe 7 | 136.0 | 63.0 | 82.8 | 22.6 | Shrimp trawler |
| Nagroor 2 | 136.0 | 63.0 | 82.8 | 22.6 | Shrimp trawler |
| Nagroor 8 | 136.0 | 63.0 | 82.8 | 22.6 | Shrimp trawler |
| Nagroor 9 | 136.0 | 63.0 | 82.8 | 22.6 | Shrimp trawler |
| CSF 14 | 98.0 | 59.0 | 64.6 | 19.5 | Shrimp trawler |
| CSF 15 | 98.0 | 75.0 | 72.0 | 22.0 | Shrimp trawler |
| Alvaro | 140.0 | 82.0 | 117.0 | 19.5 | Shrimp trawler |
1 shrimp trawler with twin boom
4. EXPLORATORY FISHING
The Bureau of Fisheries acquired a 33 ft 5 in fibreglass (stern trawler) research boat in October 1978. This boat is, however, not fully equipped for research work. She is powered by a GM diesel engine and is currently being used in carrying out exploratory fishing. Because of the high cost of fuel and lack of nets and netting materials, the activities of the boat are limited to Montserrado County, the Monrovia area. The main fishing gears on the boat are two small otter trawl nets and the boat operates only within a distance of about 3–4 miles from the shore. Night fishing using drift gillnet was carried out on few occasions and the main catches at this time were sharks and Thunnidae. Table 7 shows the total landings of the boat from October 1978 to August 1979. The results indicate that fishes of the family Sciaenidae, especially Pseudotolithus spp. (locally known as cassava fish), are the most abundant in the areas covered.
Lobsters (Palinurus spp.) and shrimps (Penaeus duorarum) usually occur as incidental catches in most of the hauls. Plans are underway to extend the exploratory fishing activities to other parts of the coast.
| Species | Landings (kg) |
|---|---|
| Sciaenidae | 3 996.36 |
| Clupeidae | 1 148.18 |
| Rays and Skates | 155.90 |
| Pomadasyidae | 169.54 |
| Galeoides decadactylus | 248.18 |
| Drepane africana | 39.53 |
| Ariidae | 12.72 |
| Pentanemus quinquarius | 1 216.36 |
| Trichiurus lepturus | 95.00 |
| Others | 188.22 |
| TOTAL | 7 270.09 |
No. of days fished = 31
No. of hauls = 104
5. TRIGGERFISH (BALISTES SPP.)
There are no data available on the landings, distribution and biology of the trigger fish Balistes spp. in Liberia. However, it is reported that the fish is found in rocky areas along the entire coast of the country. It is locally known as “sea chicken” and is eaten in some areas whilst in others it is thrown away as discard by the artisanal fishermen.
It is reported by fishermen that Balistes spp. occur at depths ranging from 5 to 65 m. Balistes occurred in great quantities off Marshall (Montserrado county) during August to October 1979.
by
T.R. Brainerd
Ministry of Natural Resources
Fisheries Division
Freetown, Sierra Leone
1. INTRODUCTION
Demersal fish are landed in Sierra Leone by both the trawl and the artisanal (canoe) fishery. The trawl fishery consists of locally-based, old Mediterranean-type vessels ranging from 50 to 120 t (GRT). All the catches of these trawlers are landed in Sierra Leone.
In addition, there are a number of foreign trawlers licensed to fish on the continental shelf of Sierra Leone. They operate under joint venture agreements or on charter by local fishing companies registered in Sierra Leone. This fleet includes vessels from USSR, Spain, Republic of Korea, Italy, Ghana and Senegal. Sizes of these vessels range from 150 GRT side trawlers to over 2 000 GRT stern trawlers (Table 1). The Soviet fleet has factory- and mother-ships which provide support facilities for their fishing vessels. According to the agree-ments with the local companies, certain percentages of their catches are landed in Sierra Leone for local consumption. The bulk of their catches are transshipped at sea. However, it is not known if all their catches are taken from the continental shelf of Sierra Leone. Most of the foreign vessels operate both midwater and bottom trawls. They do not exploit any particular species. The composition of their catches depends on the nature and characteristics of the areas within Sierra Leone territorial waters in which they are operating.
The artisanal fishery consists of dug-out and planked canoes operated with or without outboard engines. These range in sizes from the one-man “kroo” - canoe operating hook and line, to the “standard” canoe - operating bottom drift and bottom set nets, and the “snapper” canoe - operating handline, known locally as “telegraph line”. These boats fish about five miles off the coast during the dry season and about two miles off during the rainy season. The kroo canoes and the standard canoes fish mixed species whilst the snapper canoes fish mainly for the sparids.
2. FISHING GROUNDS
2.1 Major trawl grounds
The main trawl fishing areas off Sierra Leone have been described by Williams (1963) who identified the Melatori grounds near the Guinea border, Banana Island, Sherbro, Dengar and Suliman grounds (Figure 1).
2.2 Character of the bottom
The following description of the bottom is based on the work of Williams (1963).
The deposits of the continental shelf off Sierra Leone are predominantly sandy although softer deposits of blue-grey mud are to be found inshore, especially around the Banana and Plaintain Islands, and between the Scarcies and Isles de Los off Conakry. Deposits of the St. Ann Shelf are predominantly muddy. These areas of soft deposits are more productive of fish. The character of the bottom generally affects trawling operations. In muddy areas with high productivity, the codend becomes filled with mud. However, this difficulty has been overcome by operating with light gears. Fortunately, coral growths are almost entirely absent.

Figure 1 Main fishing grounds in the continental shelf of Sierra Leone (Williams, 1963)
2.3 Demersal species
According to Williams (1963) the type of demersal fish varies according to both depth and nature of the bottom deposits. Two main assemblages of species have been recognized:
a fauna of grey, brown or silver fish, dominated by the family Sciaenidae (croakers) and thus referred to as the sciaenid community;
a fauna of red, brown or more highly coloured fish, dominated by the family Sparidae, and called the sparid community.
The sciaenid fauna is usually found in waters no deeper than 30 to 50 m, although on the muddy deposits of the St. Ann Shelf it extends down to 60–80 m. This is much richer than the sparid fauna and is found predominantly on muddy deposits. The sparid fauna is tolerant of a variety of bottom deposits, and occurs more frequently on hard, sandy bottoms than the croakers. The sparid fauna extends down to depths in excess of 100 m, but very rarely is found in surface waters less than 10 m deep.
3. INDUSTRIAL FISHERIES
3.1 Fishing gears and methods
3.1.1 Inshore trawlers
Apart from the three handliners, the rest of the industrial fleet operate with midwater and bottom trawls. The length of the vessels ranges from 25 to 30 m and horsepower from 250 to 400. They operate at depths ranging from 20 to 50 m with nets having codend mesh sizes ranging from 40 to 60 mm (stretched). Some of these nets have a codend with external chafers. Most of the nets are made of polyethylene and are imported. Fishing operations take place from sunset to sunrise. The average time for one trawling operation is two hours. Some of the vessels are equipped with echosounders whilst others depend on the experience of the captain to locate rich areas. The crew on a local trawler normally consists of the captain, an engineer and about 6–8 deckhands: During the day, the vessels anchor close to the islands. The catches are packed with crushed ice in boxes weighing approximately 18 kg. One fishing trip is about five days. Catches are landed in Freetown during the night and sold to local buyers early the next morning.
3.1.2 Foreign vessels
Three Spanish handliners started operating in May 1978. The exact location of their fishing grounds is not known. However, they fish for Sparidae and Lutjanidae. It is believed that these vessels fish up to 20 miles from the coast and at depths of over 50 m. The duration of one fishing trip is about one week, including two days cruising to and from fishing grounds. Catches from these three vessels are unloaded into a vessel anchored in the Freetown harbour for freezing. Transshipment to Spain takes place on request. Very little is known about the actual fishing operations of these vessels.
All foreign trawlers are known to operate both midwater and bottom trawls. The sizes of these vessels range from 150 GRT side trawlers to over 2 000 GRT stern trawlers. Not much information has been documented on the mode of operation of these vessels. They do not come to port at regular intervals, except when they have to unload fish for their local companies. Their fishing gears are not normally available for inspection when they are in port, thus, nothing is known of the specifications and mesh sizes of their nets. It is believed that they fish along the continental shelf of Sierra Leone. The average trawling time for the Soviet vessels according to logbooks filled by the captains ranges from three to four hours.
3.1.3 Artisanal fishery
Three types of canoes exploit the demersal species in the waters of Sierra Leone. The one-man kroo canoe is the first type, length about 6 m, and propelled by paddle. Hook-and-lines are used on this canoe to exploit the Sciaenidae, Drepanidae, Pomadasyidae, Polynemidae and the Ariidae stocks. Usually, the sizes of the hooks depend on the sizes of fish sought. The hooks are weighted with lead and attached to a length of nylon string, the length of nylon string depending on the depth which the hook is intended to reach. Often, live juvenile fish are attached to the hook as bait and some fishermen also use worms. Four hooks are operated at the same time. The ends of two nylon strings are attached to the two big toes of the fisherman and the ends of the other two are held in each hand. When there is a jerking movement the string is pulled until the hook and fish are hauled into the canoe. Most kroo canoe fishermen undertake two fishing trips a day; they leave before dawn and come back before mid-day; then leave again in the early afternoon and come back before night. Their catches are landed fresh on the beaches.
The second type of canoe is the standard canoe. Fishing gear used in this canoe are the bottom drift and the bottom-set gillnets. Each canoe has a crew of three to five men. In addition to the species exploited by the kroo canoe fishermen, these fishermen also exploit the Albula vulpes and sharks. A typical bottom set net has the following specifications - length: 150–200 m; depth: 10 to 20 m; mesh size: 40 to 60 mm; twine size of webbings (nylon): 210/3 to 210/9, These canoes, which are about 8 m in length, are powered by 8 to 15 hp out-board motors.
The nets are set in the late afternoon and hauled before dawn the next day. Some fishermen stay out at sea the whole night, whilst others return to shore and leave very early the next day to haul their nets. Catches are landed fresh at dawn on the beaches.
The third type of canoe is the snapper boat. Handlines known locally as “telegraph line” are used on these canoes. This group of canoes exploit mainly the Sparidae. A number of hooks, each weighted with lead, are attached at intervals to the main rope. The length of the snapper varies from 10 to 12 m and most of them are now powered by outboard engines between 15 and 40 hp. Live baits are attached to the hooks and on the fishing grounds these are dropped into the water as the canoe moves along. They are left in the water with the end of the main rope attached to the boat. In due course, depending on the judgement of the crew, the lines are hauled.
During the dry season, the fishermen make weekly or fortnightly trips. The bulk of their catches are smoked in small empty oil drums inside the canoes and some of the catch is salted. During the rainy season, 2 to 3 day trips are made. More fresh fish are landed during this period.
3.2 Collection of data
3.2.1 Inshore trawlers
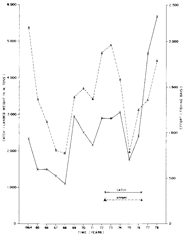
All inshore trawlers have been supplied with logbooks for recording their catches. The logbooks are designed to record catches by haul and species. In addition to the logbooks, the fishing companies operating these vessels have forms for recording landings of the vessels after each trip. Thus, a record is kept of the differences between catches and landings, although often both figures are the same. Landings of these vessels by species for the period 1964–1978 are presented in Table 2. Annual fishing effort, in days fishing and catch per unit of effort (t/day absence) are presented in Table 3, Figures 2 and 3. Tables 7 and 8 give total monthly catch of the local trawlers. Fish are landed in crates which now weigh approximately 18 kg. Statistical recorders are present during landing operations. They count the number of crates landed and cross-check with the figures supplied by the fishing companies.

Figure 2 Sierra Leone: Local industrial fishery catch/effort for 1964-78 VECAF Division 34:3:3

Figure 3 Sierra Leone: Local industrial fishery catch per unit effort for 1964-78 VECAF Division 34:3:3
3.2.2 Foreign vessels
All foreign vessels licensed to fish in the territorial waters of Sierra Leone are provided with logbooks of the same type given to the inshore vessels. It is not easy to recover the logbooks from the foreign vessels because they do not call very often at port. Another difficulty is that some of the captains cannot fill in the forms in English. Thus, complete records are not available for their catches. The Soviet vessels are now submitting the log sheets and detailed records will be available for their operations during 1979. Catches in Sierra Leone waters by Soviet vessels from 1975 to 1978 are presented in Table 4. These figures were supplied by the representative of the USSR Ministry of Fisheries in Sierra Leone. Only annual data are submitted to the Fisheries Division. Figures obtained from the Ghanaian fishing vessels which operated in Sierra Leone waters during 1978 are also presented in Table 5. Table 9 gives the total catch of Soviet vessels for the first half of 1979.
The foreign vessels land fish in the frozen condition in 20 and 30 kg cartons. These are registered by statistical recorders, but do not give any indication of their total catches, as only percentages of their catches are landed.
3.2.3 Artisanal fishery
Field assistants cover landing sites along the coast; depending on how important the landing site is (major or minor) records are taken daily, seven or fourteen days of the month. A standard daily catch record form is filled by each enumerator; one form for each boat type. Information is obtained on composition of catches, duration of fishing trips, types of gear, etc. Five canoes are usually sampled if more than five land, using a table of random numbers. The total weight of fish landed on each day is calculated by raising the sample total using a raising factor which depends on the total boats landed. Landings of the canoe fishery, including that of pelagic species, for 1977 and 1978 are presented in Table 6. Depending on the species, the fish are landed in dozens or as units. Standardized weights of the different sizes of individual species are used to calculate the total fish landed.
3.3 Definition of the unit of fishing effort
3.3.1 Inshore trawlers
The unit of fishing effort is taken as the number of days absent from port. This is, however, biased, since the non-trawling hours are included. Fishing takes place every day the vessels are out at sea (sunset to sunrise) except when they have mechanical problems. Records on trawl-hours have not been provided regularly in the past and this has made it impossible to define the unit of fishing effort in terms of trawl-hours. However, this situation has improved and it is envisaged that assessment will be possible in the future.
3.3.2 Foreign vessels
The only fishing effort obtained for the foreign vessels is the total vessel-days for the year from the Soviet fleet.
3.3.3 Artisanal fishery
Recently, efforts have been made to standardize the unit of fishing effort for the canoe fishery. For the kroo canoe, the unit of fishing effort is equivalent to number of line-hours. For the standard canoes the unit of fishing effort is equivalent to number of sets. No unit of fishing effort has been established for the snapper boats. It is known that they do not fish for the whole duration they are out at sea. The number of hooks per fishing trip seems to be the most adequate unit of fishing effort for this type of canoe, but this does not take into account the actual time spent fishing, which is an important factor.
4. EXPLORATORY FISHING
4.1 Survey by R/V FIOLENT in the territorial waters of Sierra Leone
During May 1976, an exploratory fishing survey to determine distribution, abundance and other oceanographic factors of the demersal and pelagic fish stocks and Crustacea within the territorial waters of Sierra Leone was carried out by the R/V FIOLENT under charter to FAO. A summary report has been published by FAO (1977) and the final report is in preparation.
4.2 Soviet/Sierra Leone exploratory fishing surveys
Three exploratory fishing surveys were carried out by the following vessels:
| SRTM PROGNOZ: | September | 1976 |
| June | 1977 |
The main findings of these surveys are as follows:
Bottom trawling was carried out to obtain information on abundance and biomass of major commercial fish species. The surveys were done at different seasons so that differences in the levels of abundance from one season to the next could be determined. Trawling took place during daylight with bottom trawls. Duration of each trawl was 30 min at an average speed of 3.5 knots. Hauls were made in 20-min intervals in latitude at depths ranging from 20 to 100 m. On good grounds, depths of up to 300 m were reached.
4.2.1 Stock size and biological characteristics of the most abundant fish species
Significant seasonal fluctuations of abundance and biomass, both of individual fish species and of all the fish species in general, were observed. During the survey periods, the total biomass (all species) were as follows:
September 1976 – 46.6 thousand t
December 1976 – 54.9 thousand t
June 1977 – 105.2 thousand t
4.2.2 Ichthyofauna composition
The ichthyofauna composition in the Sierra Leone shelf was found to be typical for the tropical African coast. Over 200 species have been recorded belonging to 79 families. About 150 species of these were caught in September and December, and some 120 species in June.
4.3 R/V CAPRICORNE survey
Recently, acoustic surveys along the coast of Sierra Leone, Guinea and Guinea Bissau were carried out by R/V CAPRICORNE. The surveys were made to estimate the abundance of pelagic stocks in the area. Two cruises were made, one in November/December 1978 and the other in March 1979. Reports on these surveys have been published by FAO (1979).
| Type of vessel | Size category | No. of trawlers |
|---|---|---|
| 1. FOREIGN | ||
| 10–100 | 3 | |
| 101–200 | 1 | |
| 201–300 | 4 | |
| 301–400 | 0 | |
| Side Trawlers | 401–500 | 0 |
| 501–600 | 1 | |
| 601–700 | 8 | |
| 701–800 | 11 | |
| 301–400 | 2 | |
| 401–500 | 8 | |
| Stern Trawlers | *95–950 | 5 |
| 1 001–2 000 | 1 | |
| 2 001–3 000 | 4 | |
| Shrimpers | 50–100 | 11 |
| 101–200 | 6 | |
| 2. NATIONAL | ||
| 10–20 | 3 | |
| 50–100 | 1 | |
| 101–200 | 5 | |
| TOTAL | 74 |
| Year | 1964 | 1965 | 1966 | 1967 | 1968 | 1969 | 1970 | 1971 | 1972 | 1973 | 1974 | 1975 | 1976 | 1977 | 1978 |
|---|---|---|---|---|---|---|---|---|---|---|---|---|---|---|---|
| Species | |||||||||||||||
| Scoliodon spp. | 25.12 | 12.03 | 14.12 | 13.29 | 7.25 | 30.42 | 17.41 | 10.84 | 20.98 | 23.01 | 54.95 | 7.33 | - | - | 20.28 |
| Dasyatis spp. | 111.33 | 88.08 | 88.63 | 79.84 | 91.43 | 128.18 | 128.89 | 139.13 | 102.38 | 81.23 | 158.05 | 108.40 | 111.46 | 78.60 | 52.51 |
| Albula vulpes | 45.64 | 32.05 | 35.05 | 34.48 | 30.38 | 160.02 | 47.04 | 25.11 | 27.10 | 63.51 | 154.93 | 9.83 | 234.28 | 354.38 | 413.05 |
| Arius spp. | 143.17 | 90.44 | 101.44 | 101.64 | 97.37 | 137.41 | 93.79 | 57.41 | 47.86 | 48.73 | 79.02 | 94.97 | 178.44 | 225.30 | 335.61 |
| Pagrus ehrenbergi | 49.64 | 70.75 | 64.86 | 45.44 | 103.04 | 516.00 | 225.73 | 218.76 | 407.70 | 413.97 | 352.50 | 29.80 | 95.37 | 246.21 | 102.51 |
| Polydactylus quadrifilis | 6.80 | 6.66 | 8.27 | 8.93 | 5.58 | 8.60 | 15.40 | 36.49 | 17.12 | 23.31 | 28.34 | 9.45 | 13.50 | 6.92 | 43.07 |
| Galeoides decadactylus | 427.93 | 179.80 | 177.66 | 162.14 | 92.54 | 278.52 | 315.42 | 421.93 | 375.73 | 321.58 | 279.10 | 224.02 | 350.35 | 362.05 | 405.78 |
| Pomadasys jubelini | 60.29 | 37.51 | 50.75 | 40.98 | 31.79 | 113.56 | 109.25 | 85.46 | 56.48 | 63.92 | 70.92 | 39.05 | 199.80 | 207.29 | 460.27 |
| Brachydeuterus auritus | 24.76 | 4.27 | 4.89 | 5.06 | 1.93 | 55.57 | 43.88 | - | 22.66 | 29.01 | 109.86 | 30.31 | 57.62 | - | 69.41 |
| Pseudotolithus senegalensis | 459.15 | 195.97 | 170.98 | 40.25 | 106.35 | 217.81 | 240.09 | 207.59 | 209.47 | 355.33 | 290.70 | 103.32 | 144.82 | 1 706.64 | 1 168.78 |
| P. typus | 16.90 | 50.85 | 46.59 | 48.22 | 17.70 | 30.89 | 76.87 | 47.26 | 129.58 | 156.20 | 146.70 | 121.75 | 84.86 | 59.85 | 136.48 |
| P. elongatus | 151.41 | 102.92 | 126.54 | 109.28 | 75.43 | 122.24 | 255.75 | 247.80 | 247.85 | 306.91 | 255.40 | 134.14 | 200.77 | 186.72 | 872.73 |
| Pteroscion peli | 396.61 | 329.47 | 279.40 | 296.61 | 296.32 | 698.79 | 537.17 | 369.59 | 786.34 | 626.06 | 421.30 | 643.94 | 257.79 | 557.09 | 337.65 |
| Chaetodipterus spp. | 287.22 | 214.39 | 253.54 | 259.16 | 81.03 | 430.03 | 331.92 | 283.21 | 276.08 | 254.17 | 279.90 | 127.93 | 282.04 | 341.73 | 471.09 |
| Cynoglossus senegalensis | 112.79 | 67.49 | 52.44 | 34.73 | 44.74 | 65.41 | 71.84 | 17.34 | 33.69 | 34.95 | 217.96 | 28.03 | 59.54 | 194.32 | 553.45 |
| Ephippion guttifer | 40.85 | 17.10 | 19.46 | 24.92 | 4.98 | 0.08 | 0.52 | 1.22 | 0.44 | 0.78 | 0.96 | - | - | - | 26.00 |
| Palaemon spp. | 0.55 | 0.15 | 0.24 | 3.53 | 9.04 | - | - | - | 0.01 | - | - | - | - | - | 2.20 |
| Penaeus + Panulirus spp. | 2.08 | 2.95 | 0.88 | 3.79 | 0.15 | 3.34 | 3.30 | 5.02 | 6.87 | 1.43 | 3.40 | 0.11 | 0.79 | - | 12.26 |
| Decapterus spp. | 2.74 | 6.51 | - | 2.10 | - | - | - | - | 8.05 | - | - | - | - | - | 12.59 |
| Sphyraena spp. | - | 24.57 | - | - | - | - | - | - | 39.19 | 36.47 | 7.30 | - | 81.93 | 85.82 | 46.18 |
| Lutjanus spp. | - | 3.79 | - | - | - | - | - | - | 4.62 | 4.47 | 17.30 | - | 13.55 | 21.08 | 94.46 |
| Trachinotus spp. | - | 18.05 | - | - | - | - | - | - | 7.92 | 10.37 | 54.93 | 26.70 | 19.83 | - | 3.20 |
| Epinephelus spp. | - | 5.66 | - | - | - | - | - | - | 4.22 | 5.63 | 5.00 | - | - | - | 0.44 |
| Cybium tritor | - | 10.42 | - | - | - | - | - | - | 4.79 | 3.00 | 13.40 | 12.26 | 16.23 | 25.24 | 41.52 |
| Conger macrops | - | - | - | - | - | - | - | - | - | - | - | - | 14.01 | 21.08 | 17.31 |
| Totals | 2 364.98 | 1 491.88 | 1 495.75 | 1 314.39 | 1 097.05 | 2 969.87 | 2 514.27 | 2 174.16 | 2 918.13 | 2 864.04 | 3 064.90 | 1 751.34 | 2 416.98 | 4 680.32 | 5 698.83 |
| Year | Total weight (t) | Time (days) fishing | t per day's absence | Average no. of fishing vessels |
|---|---|---|---|---|
| 1964 | 2 364.98 | 2 149 | 1.10 | 10 |
| 1965 | 1 491.88 | 1 366 | 1.11 | 7 |
| 1966 | 1 495.75 | 1 124 | 1.33 | - |
| 1967 | 1 314.39 | 821 | 1.63 | 4 |
| 1968 | 1 097.05 | 777 | 1.36 | 6 |
| 1969 | 2 969.87 | 1 398 | 2.15 | 6 |
| 1970 | 2 514.27 | 1 485 | 1.86 | 6 |
| 1971 | 2 174.16 | 1 365 | 1.66 | 5 |
| 1972 | 2 918.13 | 1 878 | 1.62 | 8 |
| 1973 | 2 864.04 | 1 960 | 1.48 | 9 |
| 1974 | 3 064.90 | 1 582 | 1.93 | 7 |
| 1975 | 1 751.34 | 778 | 2.30 | - |
| 1976 | 2 416.98 | 1 254 | 1.95 | - |
| 1977 | 4 680.32 | 1 362 | 3.55 | 4 |
| 1978 | 5 698.83 | 1 792 | 3.23 | 6 |
| Year | 1964 | 1965 | 1966 | 1967 | 1968 | 1969 | 1970 | 1971 | 1972 | 1973 | 1974 | 1975 | 1976 | 1977 | 1978 |
|---|---|---|---|---|---|---|---|---|---|---|---|---|---|---|---|
| Species | |||||||||||||||
| Dasyatis spp. | 51.65 | 64.42 | 79.18 | 97.44 | 117.12 | 91.56 | 86.87 | 101.83 | 54.31 | 41.33 | 99.87 | 138.82 | 89.31 | 58.00 | 29.58 |
| Albula vulpes | 21.41 | 23.43 | 31.14 | 42.63 | 38.61 | 114.45 | 31.65 | 18.31 | 14.38 | 32.65 | 97.98 | 12.85 | 186.60 | 259.91 | 230.47 |
| Pagrus ehrenbergi | 23.27 | 51.98 | 57.83 | 54.81 | 132.56 | 369.10 | 152.19 | 160.44 | 217.25 | 211.22 | 223.14 | 38.56 | 75.76 | 180.62 | 57.48 |
| Polydactylus quadrifilis | 3.26 | 5.12 | 7.12 | 10.96 | 7.72 | 5.01 | 10.10 | 27.11 | 9.05 | 11.73 | 17.70 | 12.85 | 11.16 | 5.14 | 24.00 |
| Galeoides decadactylus | 199.16 | 131.77 | 158.36 | 197.32 | 119.69 | 199.57 | 212.12 | 309.16 | 200.21 | 164.29 | 176.36 | 287.92 | 279.11 | 265.79 | 226.56 |
| Pomadasys jubelini | 27.92 | 27.82 | 45.37 | 49.94 | 41.18 | 81.55 | 73.40 | 62.27 | 30.35 | 32.65 | 44.88 | 50.13 | 159.49 | 151.98 | 256.70 |
| Brachydeuterus spp. | 11.63 | 2.93 | 4.45 | 6.09 | 2.57 | 40.06 | 29.63 | - | 12.25 | 14.80 | 69.53 | 38.56 | 46.25 | - | 38.50 |
| Pseudotolithus senegalensis | 213.59 | 143.48 | 152.14 | 48.72 | 136.42 | 155.94 | 161.62 | 152.38 | 111.82 | 181.12 | 183.94 | 132.39 | 115.63 | 1 253.30 | 652.34 |
| P. typus | 7.91 | 37.34 | 41.81 | 58.47 | 23.17 | 22.17 | 51.85 | 34.43 | 69.22 | 79.59 | 92.92 | 156.81 | 67.78 | 44.05 | 76.45 |
| P. elongatus | 70.27 | 75.40 | 112.99 | 132.76 | 96.53 | 87.27 | 172.39 | 181.68 | 132.05 | 156.63 | 161.19 | 172.24 | 160.29 | 137.30 | 487.17 |
| Pteroscion peli | 184.74 | 240.85 | 248.22 | 361.75 | 380.95 | 500.00 | 361.62 | 271.06 | 418.53 | 319.39 | 266.12 | 827.76 | 205.74 | 408.96 | 188.62 |
| Chaetodipterus spp. | 133.55 | 156.66 | 225.98 | 315.47 | 104.25 | 307.58 | 223.57 | 207.33 | 146.96 | 129.59 | 176.99 | 164.52 | 224.88 | 251.10 | 262.83 |
| Cynoglossus senegalensis | 52.58 | 49.05 | 46.26 | 42.63 | 57.92 | 46.49 | 48.48 | 12.45 | 18.10 | 17.86 | 139.06 | 35.99 | 47.85 | 142.44 | 309.15 |
| Lutjanus spp. | - | 2.93 | - | - | - | - | - | - | 2.66 | 2.55 | 10.75 | - | 11.16 | 15.42 | 53.01 |
| Arius spp. | 66.54 | 65.89 | 89.86 | 124.24 | 124.84 | 98.00 | 63.30 | 41.76 | 25.56 | 25.00 | 49.94 | 122.11 | 141.95 | 165.20 | 187.50 |
| Others | 33.04 | 71.01 | 31.14 | 58.47 | 27.03 | 24.32 | 14.14 | 12.45 | 49.52 | 41.33 | 128.32 | 59.13 | 106.06 | 96.92 | 101.56 |
| Vessel-days | 2 149 | 1 366 | 1 124 | 821 | 777 | 1 398 | 1 485 | 1 365 | 1 878 | 1 960 | 1 582 | 778 | 1 254 | 1 362 | 1 792 |
| Mean cpue | 1 100.51 | 1 150.10 | 1 331.85 | 1 601.71 | 1 410.55 | 2 143.06 | 1 692.93 | 1 592.67 | 1 553.78 | 1 461.22 | 1 937.42 | 2 250.64 | 1 927.43 | 3 436.12 | 3 180.25 |
| Species | 1975 | 1976 | 1977 | 1978 |
|---|---|---|---|---|
| Alosa spp. | 550 | 4 110.3 | 6 116.0 | 1 697.0 |
| Sphyraena spp. | 20 | 43.3 | 48.0 | 83.0 |
| Pseudotolithus spp. | 50 | 880.0 | 279.0 | 314.0 |
| Epinephelus spp. | 12 | 48.0 | 157.0 | 6.0 |
| Muraenidae | - | 393.0 | - | - |
| Scyris alexandrinus | 210 | 410.0 | 36.3 | 10.0 |
| Carangidae | 13 | 39.0 | 2 544.0 | 6 000.0 |
| Arius spp. | 15 | 471.0 | - | 206.0 |
| Sepia spp. | - | 13.5 | - | 230.0 |
| Pomadasys jubelini | - | - | 80.0 | 709.0 |
| Sparidae | 32 | - | 140.7 | - |
| Sarda sarda | - | - | 235.7 | - |
| Sardinella spp. | 432 | 513.9 | 7 561.0 | 16 006.5 |
| Gerres spp. | 466 | 249.0 | 8 500.0 | 2 621.0 |
| Conger macrops | - | - | - | 1 252.0 |
| Chloroscombrus chrysurus | - | - | - | 8.0 |
| Brachydeuterus auritus | - | - | - | 4 107.0 |
| Decapterus spp. | - | - | - | 530.0 |
| Vomer setapinnis | - | - | - | 350.0 |
| Drepane africana | - | - | - | 25.0 |
| Cynogrossus spp. | - | - | - | 54.0 |
| Polydactylus quadrifilis | - | - | - | 207.0 |
| Albula vulpes | - | - | - | 11.0 |
| Katsuwonus pelamis | - | - | - | 218.0 |
| Inedible fishes | - | - | 3 140.0 | 17 708.0 |
| Mixed fish (juvenile) | - | 409.7 | - | 17 891.0 |
| Total | 1 800.0 | 7 580.4 | 28 837.0 | 70 303.5 |
| Vessel-days | 360 | 1 454 | 4 329 | 9 226 |
| Species | Weight (t) |
|---|---|
| Cybium tritor | 1.52 |
| Pseudotolithus spp. | 171.54 |
| Pomadasys jubelini | 31.80 |
| Sparidae | 41.70 |
| Albula vulpes | 5.60 |
| Polydactylus quadrifilis | 3.92 |
| Cynoglossus spp. | 30.72 |
| Sphyraena spp. | 4.88 |
| Drepane africana | 0.78 |
| Galeoides decadactylus | 16.60 |
| Polynemidae spp. | 27.30 |
| Sardinella spp. | 0.54 |
| Arius spp. | 3.24 |
| Carangidae | 164.88 |
| Epinephelus spp. | 0.44 |
| Scoliodon terra-novae | 1.02 |
| Raja spp. | 0.16 |
| Penaeus spp. | 2.28 |
| Sepia spp. | 2.20 |
| Others | 439.30 |
| Total | 950.42 |
| No. of vessels | 4 |
| Vessel-days | 123 |
| Scientific name | Local name | 1977 | 1978 |
|---|---|---|---|
| Ethmalosa fimbriata | Awefu | 17 195.59 | 7 882.90 |
| Pentanemus quinquarius | Beardfish | 158.28 | 1 596.17 |
| Ethmalosa dorsalis | Bonga | 9 876.16 | 11 716.57 |
| Sarda sarda | Bonito | 11.82 | 5.57 |
| Gerres melanopterus | Butterfish | 4.47 | 33.33 |
| Arius spp. | Catfish | 634.35 | 771.60 |
| Caranx spp. | Cowreh | 45.43 | 419.14 |
| Sphyraena spp. | Baracuda | 131.81 | 420.18 |
| Pomadasys jubelini | Crocus | 146.54 | 704.02 |
| Choroscombrus chrysurus | Cutmoney | - | 62.44 |
| Ablennes hians | Grainger | 25.72 | 0.23 |
| Lutjanus spp. | Grouper | 48.44 | 6.39 |
| Pseudotolithus elongatus | Gwangwa | 243.90 | 3 264.28 |
| Sardinella spp. | Herring | 10 136.97 | 6 913.21 |
| Trachinotus spp. | Joefish | 10.79 | 54.01 |
| Sphyraena spp. | Kini | 44.69 | 188.32 |
| Brachydeuterus ubauritus | Kaiman | 8.72 | 35.86 |
| Pseudototithus senegalensis | Ladyfish | 58.70 | 526.57 |
| Anchoa guineensis | Longa mina | 24.89 | 164.92 |
| Ilish africana | Lati | 427.75 | 2 697.41 |
| Cybium tritor | Mackerel | 162.80 | 538.83 |
| Mugil spp. | Mollit | 105.88 | 1 061.48 |
| Elops spp. | Nine bone | 3.49 | 2.86 |
| Hyporhamphus picarti | Pente | 2.02 | 1.39 |
| Decapterus spp. | Pollock mackerel | 26.94 | 21.67 |
| Vomer setapinnis | Pomp | 0.14 | 0.03 |
| Epinephelus spp. | Record | 0.41 | 0.11 |
| Scoliodon terra-novae | Shark | 90.41 | 182.19 |
| Drepane africana | Sheephead | 8.85 | 67.90 |
| Galeoides decadactylus | Shinenose | 94.88 | 380.61 |
| Trichiurus lepturus | Silverfish | 38.91 | 65.92 |
| Dasyatis spp. | Skeete | 117.88 | 1 283.71 |
| Pagrus spp, Dentex spp., | Snapper | 236.80 | 198.34 |
| and Pagellus spp. | |||
| Cynoglossus spp. | Sole | 46.05 | 351.60 |
| Polydactylus quadrifilis | Spanish | 36.76 | 571.53 |
| Albula vulpes | Tenny | 90.67 | 78.65 |
| Pseudotolithus typus | Whiting | 74.54 | 319.79 |
| Crustaceans | 102.61 | 143.16 | |
| Others | 32.95 | 13.44 | |
| Total | 40 507.99 | 42 746.33 |
| Month | Landed weight (Kg) | No. of fishing vessels | Time (days) fishing | Kg/day's absence |
|---|---|---|---|---|
| January | 276 710 | 13 | 254 | 1 089.40 |
| February | 252 360 | 13 | 248 | 1 017.58 |
| March | 285 820 | 12 | 238 | 1 200.92 |
| April | 167 180 | 8 | 144 | 1 160.97 |
| May | 200 590 | 9 | 168 | 1 193.98 |
| June | 160 510 | 9 | 145 | 1 106.96 |
| July | 175 050 | 7 | 146 | 1 198.97 |
| August | 160 750 | 10 | 157 | 1 023.88 |
| September | 191 210 | 10 | 190 | 1 006.36 |
| October | 161 380 | 8 | 158 | 1 021.39 |
| November | 179 910 | 9 | 150 | 1 199.40 |
| December | 153 510 | 8 | 151 | 1 016.62 |
| Total | 2 364 980 | 2 149 | ||
| Averages | 10 | 1 103.03 |
| Month | Landed weight (kg) | No. of fishing vessels | Time (days) fishing | Kg/day's absence |
|---|---|---|---|---|
| January | 157 100 | 8 | 138 | 1 138.40 |
| February | 119 510 | 6 | 82 | 1 457.43 |
| March | 131 460 | 6 | 136 | 966.61 |
| April | 108 510 | 8 | 113 | 960.26 |
| May | 127 420 | 7 | 128 | 995.46 |
| June | 156 610 | 10 | 143 | 1 095.17 |
| July | 131 770 | 8 | 123 | 1 071.30 |
| August | 116 620 | 8 | 113 | 1 032.03 |
| September | 100 280 | 6 | 99 | 1 012.92 |
| October | 106 950 | 4 | 98 | 1 091.32 |
| November | 109 950 | 5 | 94 | 1 169.68 |
| December | 125 700 | 7 | 99 | 1 269.69 |
| Total | 1 491 880 | 1 366 | ||
| Averages | 7 | 1 105.02 |
| Month | Landed weight (kg) | No. of fishing vessels | Time (days) fishing | kg/day's absence |
|---|---|---|---|---|
| January | 179 620 | - | 152 | 1 181.71 |
| February | 156 990 | - | 126 | 1 245.95 |
| March | 168 350 | - | 121 | 1 391.32 |
| April | 156 960 | - | 103 | 1 523.88 |
| May | 134 300 | - | 97 | 1 384.53 |
| June | 108 740 | - | 69 | 1 575.94 |
| July | 124 690 | - | 88 | 1 416.93 |
| August | 100 450 | - | 83 | 1 141.47 |
| September | 117 720 | - | 93 | 1 265.80 |
| October | 90 650 | - | 70 | 1 295.00 |
| November | 50 160 | - | 48 | 1 045.00 |
| December | 107 120 | - | 69 | 1 552.46 |
| Total | 1 495 750 | 1 124 | ||
| Averages | - | 1 334.99 |
| Month | Landed weight (Kg) | No. of fishing vessels | Time (days) fishing | Kg/day's absence |
|---|---|---|---|---|
| January | 138 460 | 5 | 84 | 1 648.33 |
| February | 113 170 | 5 | 78 | 1 450.89 |
| March | 98 980 | 3 | 66 | 1 499.69 |
| April | 63 380 | 2 | 47 | 1 348.51 |
| May | 102 050 | 3 | 59 | 1 729.66 |
| June | 89 790 | 3 | 57 | 1 575.26 |
| July | 102 520 | 4 | 62 | 1 653.54 |
| August | 115 050 | 4 | 84 | 1 369.64 |
| September | 122 120 | 4 | 53 | 2 304.15 |
| October | 159 590 | 4 | 74 | 2 156.62 |
| November | 113 650 | 4 | 65 | 1 748.46 |
| December | 95 630 | 5 | 92 | 1 039.45 |
| Total | 1 314 390 | 821 | ||
| Averages | 4 | 1 627.01 |
| Month | Landed weight (kg) | No. of fishing vessels | Time (days) fishing | Kg/day's absence |
|---|---|---|---|---|
| January | - | - | - | - |
| February | - | - | - | - |
| March | - | - | - | - |
| April | - | - | - | - |
| May | - | - | - | - |
| June | - | - | - | - |
| July | 36 171 | 4 | 64 | 565.17 |
| August | 167 506 | 8 | 153 | 1 094.81 |
| September | 153 936 | 8 | 150 | 1 026.24 |
| October | 202 826 | 6 | 127 | 1 597.05 |
| November | 218 180 | 6 | 152 | 1 435.39 |
| December | 318 431 | 5 | 131 | 2 430.77 |
| Total | 1 097 050 | 777 | ||
| Averages | 6 | 1 358.23 |
| Month | Landed weight (kg) | No. of fishing vessels | Time (days) fishing | Kg/day's absence |
|---|---|---|---|---|
| January | 245 985 | 5 | 147 | 1 673.36 |
| February | 256 135 | 6 | 127 | 2 016.81 |
| March | 222 165 | 6 | 88 | 2 524.60 |
| April | 242 695 | 6 | 123 | 1 973.13 |
| May | 199 055 | 4 | 96 | 2 073.48 |
| June | 235 975 | 6 | 100 | 2 359.75 |
| July | 273 255 | 6 | 124 | 2 203.66 |
| August | 252 725 | 7 | 117 | 2 160.04 |
| September | 283 445 | 6 | 126 | 2 249.56 |
| October | 265 685 | 7 | 139 | 1 911.40 |
| November | 247 455 | 6 | 103 | 2 402.47 |
| December | 245 295 | 5 | 108 | 2 271.25 |
| Total | 2 969 870 | 1 398 | ||
| Averages | 6 | 2 151.62 |
| Month | Landed weight (kg) | No. of fishing vessels | Time (days) fishing | Kg/day's absence |
|---|---|---|---|---|
| January | 208 706 | 6 | 122 | 1 710.70 |
| February | 242 053 | 6 | 125 | 1 936.42 |
| March | 237 442 | 6 | 137 | 1 733.15 |
| April | 213 044 | 6 | 117 | 1 820.88 |
| May | 229 378 | 6 | 122 | 1 880.14 |
| June | 170 000 | 3 | 38 | 4 473.68 |
| July | 209 182 | 6 | 145 | 1 442.63 |
| August | 235 511 | 6 | 159 | 1 481.20 |
| September | 242 039 | 6 | 136 | 1 779.69 |
| October | 213 343 | 5 | 155 | 1 376.40 |
| November | 149 369 | 5 | 116 | 1 287.66 |
| December | 164 206 | 5 | 113 | 1 453.15 |
| Total | 2 514 273 | 1 485 | ||
| Averages | 6 | 1 864.64 |
| Month | Landed weight (kg) | No. of fishing vessels | Time (days) fishing | Kg/day's absence |
|---|---|---|---|---|
| January | 188 591 | 5 | 111 | 1 699.01 |
| February | 194 698 | 6 | 121 | 1 609.07 |
| March | 182 009 | 6 | 200 | 910.04 |
| April | 166 872 | 6 | 109 | 1 530.93 |
| May | 140 800 | 4 | 72 | 1 955.55 |
| June | 155 679 | 4 | 89 | 1 749.20 |
| July | 233 553 | 7 | 150 | 1 557.02 |
| August | 162 098 | 5 | 105 | 1 543.79 |
| September | 211 548 | 5 | 104 | 2 034.11 |
| October | 185 953 | 5 | 95 | 1 957.40 |
| November | 174 706 | 6 | 106 | 1 648.16 |
| December | 177 657 | 6 | 103 | 1 724.82 |
| Total | 2 174 164 | 1 365 | ||
| Averages | 5 | 1 659.92 |
| Month | Landed weight (kg) | No. of fishing vessels | Time (days) fishing | Kg/day's absence |
|---|---|---|---|---|
| January | 176 406 | 8 | 196 | 900.03 |
| February | 300 315 | 6 | 133 | 2 258.00 |
| March | 206 258 | 9 | 120 | 1 718.81 |
| April | 223 951 | 9 | 160 | 1 399.69 |
| May | 218 076 | 1 | 146 | 1 493.67 |
| June | 224 536 | 10 | 210 | 1 069.21 |
| July | 261 474 | 10 | 166 | 1 575.14 |
| August | 304 014 | 6 | 113 | 2 690.38 |
| September | 255 136 | 7 | 155 | 1 646.03 |
| October | 279 630 | 8 | 161 | 1 736.83 |
| November | 221 449 | 8 | 167 | 1 326.04 |
| December | 246 881 | 9 | 151 | 1 634.97 |
| Total | 2 918 126 | |||
| Averages | 8 | 1 620.73 |
| Month | Landed weight (kg) | No. of fishing vessels | Time (days) fishing | Kg/day's absence |
|---|---|---|---|---|
| January | 285 722 | 8 | 194 | 1 472.79 |
| February | 249 397 | 8 | 159 | 1 568.53 |
| March | 307 278 | 8 | 184 | 1 669.98 |
| April | 241 971 | 8 | 134 | 1 805.75 |
| May | 230 901 | 8 | 121 | 1 908.27 |
| June | 217 845 | 8 | 145 | 1 502.37 |
| July | 274 679 | 8 | 181 | 1 517.56 |
| August | 288 700 | 9 | 199 | 1 450.75 |
| September | 264 166 | 9 | 155 | 1 704.29 |
| October | 184 266 | 10 | 144 | 1 279.62 |
| November | 181 410 | 11 | 154 | 1 177.98 |
| December | 137 700 | 7 | 190 | 724.73 |
| Total | 2 864 035 | |||
| Averages | 9 | 1 481.88 |
| Month | Landed weight (t) | No. of fishing vessels | Time (days) fishing | t/day's absence |
|---|---|---|---|---|
| January | 170.3 | 4 | 95 | 1.79 |
| February | 183.4 | 4 | 89 | 2.06 |
| March | 126.7 | 4 | 65 | 1.94 |
| April | 159.9 | 4 | 85 | 1.88 |
| May | 329.6 | 9 | 190 | 1.73 |
| June | 316.1 | 8 | 174 | 1.81 |
| July | 279.1 | 7 | 137 | 2.03 |
| August | 352.5 | 8 | 162 | 2.17 |
| September | 279.9 | 8 | 152 | 1.84 |
| October | 321.3 | 8 | 160 | 2.00 |
| November | 290.7 | 8 | 148 | 1.96 |
| December | 255.4 | 7 | 125 | 2.04 |
| Total | 3 064.9 | 1 582 | ||
| Averages | 7 | 1.93 |
| Month | Landed weight (t) | No. of fishing vessels | Time (days) fishing | t/day's absence |
|---|---|---|---|---|
| January | 156.43 | - | 69 | 2.26 |
| February | 165.95 | - | 51 | 3.25 |
| March | 131.72 | - | 48 | 2.74 |
| April | 159.65 | - | 77 | 2.07 |
| May | 169.18 | - | 79 | 2.14 |
| June | 155.51 | - | 55 | 2.82 |
| July | 182.67 | - | 18 | 2.34 |
| August | 151.12 | - | 91 | 1.66 |
| September | 156.14 | - | 73 | 2.13 |
| October | 120.83 | - | 52 | 2.32 |
| November | 85.30 | - | 40 | 2.13 |
| December | 116.84 | - | 65 | 1.79 |
| Total | 1 751.34 | 778 | ||
| Averages | - | 2.30 |
| Month | Landed weight (t) | No. of fishing vessels | Time (days) fishing | t/day's absence |
|---|---|---|---|---|
| January | 200.98 | - | 127 | 1.58 |
| February | 192.29 | - | 122 | 1.57 |
| March | 260.95 | - | 128 | 2.03 |
| April | 214.59 | - | 113 | 1.89 |
| May | 303.63 | - | 143 | 2.12 |
| June | 174.20 | - | 94 | 1.85 |
| July | 110.62 | - | 73 | 1.51 |
| August | 272.55 | - | 99 | 2.75 |
| September | 208.80 | - | 109 | 1.91 |
| October | 145.49 | - | 106 | 1.37 |
| November | 157.77 | - | 79 | 1.99 |
| December | 175.11 | - | 61 | 2.87 |
| Total | 2 416.98 | 1 254 | ||
| Averages | - | 1.95 |
| Month | Landed weight (t) | No. of fishing vessels | Time (days) fishing | t/day's absence |
|---|---|---|---|---|
| January | 430.71 | 4 | 146 | 2.95 |
| February | 426.04 | 4 | 147 | 2.89 |
| March | 408.08 | 5 | 172 | 2.37 |
| April | 402.68 | 3 | 110 | 3.66 |
| May | 403.66 | 3 | 115 | 3.51 |
| June | 397.06 | 3 | 107 | 3.71 |
| July | 376.17 | 3 | 97 | 3.87 |
| August | 403.44 | 4 | 113 | 3.57 |
| September | 365.83 | 4 | 92 | 3.97 |
| October | 353.61 | 3 | 89 | 3.97 |
| November | 326.89 | 3 | 87 | 3.75 |
| December | 386.15 | 3 | 87 | 4.43 |
| Total | 4 680.32 | 1 362 | ||
| Averages | 4 | 3.55 |
| Month | Landed weight (t) | No. of fishing vessels | Time (days) fishing | t/day's absence |
|---|---|---|---|---|
| January | 436.35 | 4 | 114 | 3.82 |
| February | 442.40 | 4 | 116 | 3.81 |
| March | 429.60 | 4 | 117 | 3.67 |
| April | 467.80 | 6 | 156 | 2.99 |
| May | 466.26 | 6 | 158 | 2.95 |
| June | 497.16 | 6 | 166 | 2.99 |
| July | 499.26 | 6 | 142 | 3.51 |
| August | 525.58 | 7 | 176 | 2.98 |
| September | 482.95 | 6 | 142 | 3.40 |
| October | 501.05 | 7 | 186 | 2.69 |
| November | 494.59 | 6 | 154 | 3.21 |
| December | 455.83 | 6 | 165 | 2.76 |
| Total | 5 698.83 | 1 792 | ||
| Averages | 6 | 3.23 |
| Month | January | February | March | April | May | June | Total |
|---|---|---|---|---|---|---|---|
| Species | |||||||
| Pomadasys jubelini | 2.46 | 1.47 | 1.07 | - | 0.83 | 0.94 | 6.77 |
| Albula vulpes | 0.09 | 0.77 | 0.05 | - | 0.16 | - | 1.07 |
| Raja spp. | 1.88 | 2.35 | 1.53 | - | 1.39 | 1.39 | 8.54 |
| Cynoglossus spp. | 1.75 | 2.12 | 0.88 | 0.64 | 0.96 | ||
| Arius spp. | 2.21 | 2.33 | 1.30 | 1.28 | 1.08 | 8.20 | |
| Trichiurus lepterus | 0.04 | - | - | - | - | 0.04 | |
| Polydactylus quadrifilis | 0.67 | 0.78 | 0.17 | 0.17 | 0.09 | 1.88 | |
| Pagrus spp. | - | 0.01 | - | - | 0.04 | 0.05 | |
| Pseudotolithus senegalensis | 5.18 | 3.75 | 3.00 | 2.92 | - | 14.85 | |
| Galeoides decadactylus | 5.93 | 3.32 | 2.03 | 2.39 | 1.84 | 15.51 | |
| Mixed | - | 0.05 | 0.02 | 0.02 | - | 0.09 | |
| Lutjanus spp. | - | 0.05 | 0.01 | - | 0.01 | 0.07 | |
| Pseudotolithus elongatus | 3.73 | 3.68 | 0.07 | 2.00 | 2.38 | 11.86 | |
| Plectorhynchus macrolepis | - | - | - | 0.03 | - | 0.03 | |
| Drepane africana | 4.15 | 3.66 | 1.97 | 2.56 | 2.09 | 14.43 | |
| Others | - | - | - | - | 0.03 | 0.03 | |
| Pseudotolithus typus | 5.03 | 4.01 | 1.22 | 1.35 | 1.26 | 12.87 | |
| Calinectes spp. | 0.04 | 0.07 | 0.07 | 0.05 | 0.11 | 0.34 | |
| Palinurus spp. | 0.04 | 0.05 | 0.03 | 0.04 | 0.05 | 0.21 | |
| Gerres melanopterus | 19.16 | 17.03 | 10.80 | 9.02 | 8.89 | 64.90 | |
| Sphyraena spp. | 0.05 | 0.05 | 0.03 | 0.09 | 0.11 | 0.33 | |
| No. of days fished | 21 | 20 | 19 | 17 | 20 | 97 | |
| Total hours fished | 29 | 58 | 51 | 5 | 85 | 228 | |
| Total | 52.41 | 45.55 | 24.25 | 24.94 | 21.27 | 168.42 |
| Month | January | February | March | April | May | June | Total |
|---|---|---|---|---|---|---|---|
| Species | |||||||
| Lutjanus spp. | 0.50 | - | - | - | - | 0.30 | 0.80 |
| Pseudotolithus senegalensis | 35.93 | 193.54 | 665.90 | 19.90 | 1 037.70 | 1.90 | 1 954.87 |
| Gerres melanopterus | 193.73 | 420.51 | 210.72 | 125.20 | 1 104.00 | 22.00 | 2 076.76 |
| Arius spp. | 11.79 | 163.80 | 415.57 | 23.50 | 113.50 | 17.90 | 746.06 |
| Pomadasys jubelini | 23.80 | 4.14 | 110.50 | 6.70 | 3.50 | 10.20 | 158.84 |
| Cybrium tritor | 0.07 | 0.10 | - | 0.10 | 0.10 | - | 0.37 |
| Polydactylus quadrifilis | 8.91 | 21.70 | 647.00 | 24.80 | 40.60 | 16.90 | 759.91 |
| Sphyraena spp. | 5.59 | 1.70 | 62.60 | 1.00 | - | - | 70.89 |
| Pagrus spp. | 41.40 | 31.79 | 206.10 | 96.00 | 15.00 | 3.50 | 393.79 |
| Drepane africana | 8.15 | 11.60 | 59.70 | 10.70 | 3.20 | 5.70 | 99.05 |
| Carangidae | 61.91 | 205.92 | 130.12 | 90.90 | 255.40 | 95.30 | 839.55 |
| Trichiurus lepturus | 104.00 | 143.80 | 100.00 | 5.30 | 2.00 | 0.70 | 355.80 |
| Cynoglossus spp. | 6.64 | 1.10 | 71.80 | 1.83 | 1.50 | 0.30 | 83.17 |
| Pseudotolithus typus | 21.71 | 24.80 | 849.20 | 55.30 | 50.20 | 27.90 | 1 029.11 |
| Galeoides decadactylus | 0.80 | 4.50 | 23.60 | 13.80 | 20.30 | 3.90 | 66.90 |
| Albula vulpes | 0.79 | 2.71 | 71.10 | 5.50 | - | 8.90 | 89.00 |
| Raja spp. | 0.60 | - | - | - | - | - | 0.60 |
| Epinephelus spp. | - | - | 3.20 | 0.80 | 0.20 | - | 4.20 |
| Sardinella spp. | 989.51 | 595.85 | 1 227.30 | 778.90 | 726.90 | 1 651.30 | 5 969.76 |
| S. japonicus | 4.00 | 23.00 | - | - | - | - | 27.00 |
| Penaeus spp. | - | 0.70 | - | - | 4.80 | 9.20 | 14.70 |
| Others | 775.06 | 1 690.71 | 3 649.30 | 2 342.00 | 10 009.90 | 2 119.20 | 11 586.17 |
| Discards | 9.99 | 31.44 | 34.18 | 79.70 | 7.60 | 5.50 | 168.41 |
| Total | 2 304.88 | 3 573.41 | 8 537.89 | 3 681.93 | 4 397.00 | 4 000.60 | 26 495.71 |
| No. of days fished | 319 | 459 | 668 | 436 | 386 | 280 | 2 548 |
| Total trawl-hours | 3 097 | 5 313 | 3 840 | 5 888 | 4 032 | 3 451 | 25 621 |
REFERENCES
FAO, 1977 Eastern Central Atlantic Fisheries Committee, Summary report FIOLENT 1976. Eastern Central Atlantic coastal fishery resource survey, southern sector, Based on the work of I.J.B. Robertson, Consultant (Resource Survey Co-ordinator). CECAF/ Tech.Rep., Dakar, (77/2):115 p.
also issued in French/publié également en français:
FAO, 1978 Comité des pêches pour l'Atlantique centre-est, Compte rendu sommaire FIOLENT 1976. Prospection des ressources ichtyologiques côtiêres de l'Atlantique centre-est, secteur sud. Sur la base des travaux de I.J.B. Robertson, Consultant (Coordinateur de la prospection des ressources). COPACE/Rapp.tech., Dakar, (77/2):117 p.
FAO, 1979 Evaluation acoustique des ressources pélagiques le long des côtes de Guinée, Sierra Leone et Guinée-Bissau. (N/O CAPRICORNE: novembre/décembre 1978). Rome, FAO, FI:GUI/74/024/2, 100 p.
Williams, G.J., 1963 The fishing industry of Sierra Leone: a geographical analysis. Bull.J. Sierra Leone Geogr.Assoc., (10)