par
M. Cissé
Biologiste des pêches
Direction générale des pêches
Conakry, Guinée
1. INTRODUCTION
Bien que mal connu, le plateau continental guinéen est considéré comme très riche en ressources halieutiques. Ce préjugé favorable a suscité, ces derniers temps, une grande affluence de chalutiers étrangers qui opèrent sous le couvert de diverses sortes d'accords.
A l'heure actuelle, on continue d'enregistrer une importante augmentation de demande de permis de pêche, bien que l'analyse des données statistiques disponibles indique une baisse remarquable des rendements.
Les données statistiques mises à notre disposition sont des données purement commerciales, c'est-à-dire se rapportant aux quantités de poissons livrés ou débarqués dans le port de Conakry par les chalutiers de la société nationale des pêches (SONAPECHE) et ceux opérant dans le cadre des conventions bilatérales de pêche avec la République de Guinée.
La pêche artisanale, quant à elle, pratiquée le long de toute la côte, est difficile à contrôler, et les résultats fournis à la Direction générale des Pêches sont loin d'être significatifs et ne donnent pas une idée précise des apports de cette activité.
2. EXAMEN DES DONNEES DISPONIBLES
A l'heure actuelle, nous ne disposons pas de données fiables, encore moins de renseignements précis, sur les prises par espèce sur l'ensemble des captures guinéennes. Les quantités débarquées au port de Conakry semblent, cependant, relativement sûres. L'Office des pêches maritimes (OPEMA), qui ne dispose pas de spécialistes en matière de statistiques de pêche, se réfère aux stocks qui lui sont livrés au port de Conakry pour établir une statistique globale de production.
L'absence d'information, même approximative, sur la localisation des captures empêche une estimation correcte des prises par espèce.
2.1 Pêche industrielle et semi-industrielle
Elle est pratiquée par des chalutiers-congélateurs pouvant capturer de 10 à 20 t par jour, et des glaciers dont le rendement journalier est inférieur ou égal à 5 t.
2.2 Pêche artisanale
La pêche artisanale fut développée en Guinée d'abord avec le contact des pêcheurs ghanéens qui ont découvert les côtes guinéannes vers la fin des années 1950, par l'introduction des embarcations (barques) améliorées et propulsées par un moteur.
Avec l'aide du Canada, beacoup de barques ont été dotées de moteur. Cette pêche est pratiquée par environ 3 000 barques (motorisées, à voile et à rames) le long de toute la côte guinéenne. Les apports de cette activité, bien que non contrôlés, sont estimés à environ 7 000 t de poissons par an.
Les prises sont essentiellement composées de Clupeidae (ethmaloses), Sciaenidae (capi taines), Serranidae et Polynemidae.
2.3 Estimation des captures industrielles
Comme nous l'avons déjà remarquer, plusieurs accords sont aujourd'hui en vigueur et donnent à un grand nombre de bateaux le droit de pêcher en Guinée (tableau 1).
Sur la base des statistiques de 1978, les moyennes journalières de production étaient de 4 t pour les bateaux moyens et 14 t pour les bateaux-usines (données fournies par la Direction générale des pêches, juillet 1979).
Dans le tableau 2 sont présentées les quantités totales de poissons débarquées dans le port de Conakry.
3. RESULTATS DES CAMPAGNES DE CHALUTAGE EXPLORATOIRE INDIQUANT LES RENDEMENTS PAR SECTEUR, LA COMPOSITION PAR ESPECE ET QUELQUES RENSEIGNEMENTS BIOLOGIQUES SUR LA COMMUNAUTE DES SPARIDES
3.1 Chalutage exploratoire par les bateaux de la Societé SONIGUI-NISSUI (1973–1974)
Les résultats des opérations de pêche exploratoire, effectuées par 3 navires de pêche de la société SONIGUI, les SONIGUI 1, 2 et 3, ainsi que par les 2 navires de la compagnie NIPPON-SUISAN, le EHIKO-MARU et le UNZEN-MARU pendant la période du 16 avril 1973 au 5 mai 1974, sont présentés dans les figures 1 et 2.
Les efforts de pêche (nombre de chalutages par zone et par bateau) sont présentés dans la figure 1.
3.2 Chalutage exploratoire par le bateau de recherche océanographique VYKHMA (URSS) (16 mai-29 mai 1978
Un total de 39 coups de chalut ont été exécutés avec une prise globale de 56 419,87 kg pour l'ensemble des captures. Le rendement moyen par chalutage a été de 1 446,66/30 mn (figure 3).
3.3 Chalutage exploratoire par le chalutier de recherche KANFLA II-1
Le but principal des recherches de la campagne B/R KANFLA II est la reconnaissance des espèces rencontrées dans les eaux guinéennes d'une part, le développement et l'orientation de la pêche industrielle dans les eaux côtières guinéennes d'autre part, en portant une attention particulière aux espèces commerciales qui présenteraient une valeur certaine pour l'économie nationale.
Cette mission s'est effectuée en deux périodes: du 5 au 14 décembre 1977 et du 2 au 3 février 1978, soit 17 traits de chalut effectués entre 8 et 20 m de profondeur.
Les Sparidae et les Sciaenidae ont été rares à cette période de l'année dans les eaux côtières (10 kg/h et 15 kg/h).

Figure 1 Quantité de pêche par zone de recherche

Figure 2 Quantité de pêche par zone de recherche

3.4 Quelques renseignements sur la communauté des Sparidae
3.4.1 Estimation des prises des Sparidae
D'après les recherches de SONIGUI-NISSUI (1973–1974), la prise totale a été estimée à 8 192, 22 t. Les Sparidae occupaient un poids de 4 336, 16 t, soit 52,94 pour cent.
Captures soviétiques (octobre 1976-mai 1977)
Prise totale: 4 886 t
Sparidae: 782 t (16 pour cent)
Captures du navire de recherche VYKHMA (URSS) (16–19 mai 1978)
Prise totale: 56 419, 87 kg
Sparidae: 2 258,57 kg (4,47 pour cent)
Captures du KANFLA II (5–14 décembre 1977 et 2–3 fébrier 1978)
Prise totale: 3 179,42 kg
Sparidae: environ 10 kg/trait de 30 mn.
Dans la communauté des Sparidae, Pagrus ehrenbergi, Pagellus coupei, Dentex canariensis, Lethrinus atlanticus, Pagrus pagrus sont le plus souvent rencontres dans les captures guinéennes. Cependant, il convient de signaler la prédominance de Pagrus ehrenbergi et de Pagellus coupei.
3.4.2 Fréquence de taille
D'après les travaux de recherche de E. HAECKEL (1976–1977) dans les eaux guinéennes, les fréquences de taille de Pagrus ehrenbergi et de Pagrus pagrus se situaient entre 16, 5–25 cm avec une limite de 5 pour cent.
Longueur totale: 14,00–37,5 cm
Longueur principale moyenne par trait de chalut: 20,4–32, 2 cm
Rappelons que les travaux d'échantillonnage de ce navire se sont déroulés avec un échantillon mixte de Pagrus ehrenbergi et de Pagrus pagrus; ceci certainement en raison de la grande ressemblance de ces espèceces d'une part, et pour une économie de temps d'autre part.
Pagrus ehrenbergi et Pagrus pagrus étaient en proportion de 70:30 pour les uns et ensuite en proportion supérieure à 30:70 pour les autres.
D'aprés les recherches de VYKHMA (16–29 mai 1978), les fréquences de taille de Pagrus ehrenbergi et de Pagellus coupei se situent entre 7–27 cm pour Pagrus avec une taille moyenne de 12 cm, et entre 8–26 cm pour Pagellus coupei.
4. DESCRIPTION DES PECHERIES
Trois types de pêche sont pratiqués en Guinée: la pêche industrielle, la pêche semiindustrielle et la pêche artisanale.
4.1 Pêche industrielle
Elle est pratiquée par les sociétés étrangères ayant des accords de coopération dans le domaine de la pêche avec le gouvernement guinéen.
La première forme d'accord est celle de la taxation à US$ 150/t de jauge brute par navire et par an. Dans ce cas, l'armateur est libre de placer le produit de pêche sur le marché de son choix.
La seconde forme donne l'obligation à l'armateur de débarquer 25 pour cent de la production par navire au compte de la Guinée, dans le port de Conakry.
Dans les deux cas, l'armateur a le libre choix de la formule qui lui semblerait la plus avantageuse.
Les chalutiers en opération dans les eaux guinéennes sont généralement des bateauxcongélateurs et sont au nombre de 63 (1978). L'engin de pêche utilisé est le chalut de fond.
4.2 Pêche semi-industrielle
Elle est pratiquée par les petites embarcations de la Société nationale des pêches (SONAPECHE), composées de 6 unités ayant une longueur de 35,5 m et une puissance indiquée de 400 ch. L'engin de pêche utilisé est le même que celui utilisé par les chalutiers pratiquant la pêche industrielle.
4.3 Pêche artisanale
Elle est pratiquée le long de toute la côte par les populations côtières et les embarcations utilisées sont des pirogues confectionnées sur place avec des planches de bois rouge, ou taillées dans les troncs de fromager.
Cette activité est difficile à contrôler et les unités utilisées se chiffrent à 3 000 barques environ (à moteur, à voile et à rame). La méthode de capture pratiquée est la pêche pélagique. Les engins utilisés sont:
le filet maillant pour les pirogues motorisées ou à voile
l'épervier pour les canots taillés dans les troncs de fromager
4.4 Saison de pêche
En raison de la forte pluviométrie de la Basse-Guinée (juin à mi-novembre), seule la pêche industrielle reste en activité et les rendements sont souvent faibles.
Durant cette période, les pêcheurs se livrent à des travaux agricoles et à la réparation de leurs barques et filets.
La saison favorable de pêche est la saison sèche (décembre-mai).
4.5 Régions de pêche
D'après les renseignements de chalutage fournis à la Direction générale des pêches, les zones les plus favorables à la pêche sont celles situées au nord de Conakry: régions de Yilibona, des îles de Los, de la bouche du Pongo, du Nunez, du Cap Verga.
D'après les résultats de recherches effectuées en 1966 (182 chalutages de contrôle), la prise horaire moyenne de chalutage a été estimée à 370 kg.
Dans la région de Yilibona la capture a été dominée par Pagrus ehrenbergi avec un rendement horaire moyen de 390 kg par trait de chalut.
Dans la région des îles de Los, durant la période d'investigation, les prises étaient dominees par: Ariidae, Otolithus, Pristipomidae et Caranx, avec un rendement horaire de 300 kg par trait de chalutage.
Dans la région de la bouche du Pongo - Cette région se distingue par un assortiment varié d'espèces. Les rendements horaires moyens étaient de 300–400 kg pendant la période septembreoctobre et 3 000 kg pendant le mois de novembre. Les espèces dominantes appartiennent aux Ariidae, Caranx et Otolithus.
Dans la région de Nunez - Malgré la présence d'espèces ayant une valeur commerciale, la prise n'excédait pas 100 kg/h.
Dans la région du Cap Verga - Cette région est une des plus poissonneuses. Les captures horaires moyennes ont été 400 kg en août-octobre, 300–1 000 kg/h en septembre, 700 kg/h vers fin septembre et 500 kg/h en moyenne par trait de chalutage.
Les espèces dominantes ont été, pendant cette période: Lutjanidae, carassins de mer, Chloroscombrus chrysurus, Caranx et Bar racouda.
| Nationalité | Nombre de bateaux | Observations | ||
|---|---|---|---|---|
| Total | Chalutiers démersaux-congélateurs | Chalutiers démersaux-glaciers | ||
| Guinée Conakry | 6 | - | 6 | *Sans renseignements pour les débarque- ments - bateaux- usines ayant rendu leurs licences de pêche, en vue de les remplacer par les chalutiers de type moyen |
| Corée | 10 | 10 | - | |
| Italie | 13 | 13 | - | |
| Côte-d'Ivoire | 2* | 2* | - | |
| URSS | 7 | 7 | - | |
| Grèce | 27 | 27 | - | |
| 65 | ||||
| Pavillons | Sociétés | 1971 | 1972 | 1973 | 1974 | 1975 | 1976 | 1977 | 1978 |
|---|---|---|---|---|---|---|---|---|---|
| URSS1 | PRODINTORG | 3 100 | 7 000 | 7 000 | 7 113 | 7 222 | 10 088 | 9 850 | 10 111 |
| Japon2 | SONIGUI | 0 | 0 | 1 153 | 3 917 | 4 752 | 1 058 | 0 | 0 |
| Cuba2 | - | 0 | 0 | 1 162 | 1 230 | 1 709 | 1 006 | 278 | 469 |
| Grèce2 | AFRO-FISH | 0 | 0 | 0 | 0 | 0 | 0 | 2 139 | 932 |
| Italie3 | AMOPESCA | 0 | 0 | 0 | 0 | 0 | 0 | 370 | 838 |
| Corée2 | DAIHO | 0 | 0 | 0 | 0 | 0 | 0 | 0 | 1 052 |
| Guinée 3 | SONAPECHE | 0 | 0 | 0 | 0 | 467 | 468 | 553 | 581 |
| OPEMA | 277 | 230 | 148 | 53 | 120 | 394 | 183 | 26 | |
| Quantités totales | |||||||||
| débarquées à Conakry | 3 387 | 7 230 | 9 463 | 12 313 | 14 270 | 13 014 | 13 373 | 14 009 | |
| Captures totales | |||||||||
| estimées, sauf URSS4 | 277 | 230 | 9 408 | 20 641 | 26 431 | 9 118 | 11 884 | 13 771 | |
| Source: Direction de la production (OPEMA) | |||||||||
4 (Captures des chalutiers2) × 4 + (captures des chalutiers 3)
(en pourcentage par poids, estimée selon les diagrammes sur la carte originale de la figure)
| Station | Balistes capriscus | Pagrus ehrenbergi | Decapterus punctatus | Pagellus copuei | Cepthalacanthus volitans | Chloroscombrus chrysurus | Pseudupenaeus prayensis | Priacanthus arenatus | Brachydeuterus auritus | Divers |
|---|---|---|---|---|---|---|---|---|---|---|
| 1 | 19,3 | 80,7 | ||||||||
| 2 | 18,5 | 56,5 | 25,0 | |||||||
| 3 | 39,7 | 22,2 | 5,6 | 32,5 | ||||||
| 4 | 11,1 | 12,5 | 3,9 | 72,5 | ||||||
| 5 | 1,4 | 2,1 | 4,7 | 1,5 | 87,5 | 2,8 | ||||
| 6 | 11,4 | 1,9 | 39,2 | 15,0 | 32,5 | |||||
| 7 | 11,7 | 10,3 | 16,6 | 61,4 | ||||||
| 8 | 8,1 | 91,9 | ||||||||
| 9 | 3,1 | 6,1 | 30,1 | 60,8 | ||||||
| 10 | 100,0 | |||||||||
| 11 | 24,7 | 31,7 | 6,4 | 37,2 | ||||||
| 12 | 28,6 | 71,4 | ||||||||
| 13 | 13,1 | 17,5 | 29,7 | 39,7 | ||||||
| 14 | 13,9 | 86,1 | ||||||||
| 15 | 2,5 | 16,7 | 50,0 | 30,8 | ||||||
| 16 | 51,9 | 48,1 | ||||||||
| 17 | 4,9 | 95,1 | ||||||||
| 18 | 8,9 | 91,1 | ||||||||
| 19 | 18,3 | 65,0 | 16,7 | |||||||
| 20 | 24,2 | 51,3 | 24,5 | |||||||
| 21 | 3,1 | 96,9 | ||||||||
| 22 | 51,9 | 8,3 | 39,8 | |||||||
| 23 | 78,1 | 1,7 | 16,0 | 4,2 | ||||||
| 24 | 51,4 | 8,6 | 8,3 | 31,7 | ||||||
| 25 | 67,3 | 21,9 | 10,8 | |||||||
| 26 | 24,2 | 95,8 | ||||||||
| 27 | 14,4 | 17,3 | 18,3 | 50,0 | ||||||
| 28 | 12,5 | 87,5 | ||||||||
| 29 | 61,9 | 38,1 | ||||||||
| 30 | 9,7 | 90,3 | ||||||||
| 31 | 33,9 | 24,2 | 14,4 | 27,5 | ||||||
| 32 | 53,1 | 43,9 | 3,0 | |||||||
| 33 | 24,2 | 16,9 | 3,9 | 55,0 | ||||||
| 34 | 75,0 | 6,9 | 18,1 | |||||||
| 35 | 90,0 | 10,0 | ||||||||
| 36 | 4,1 | 3,6 | 95,0 | |||||||
| 37 | 36,9 | 10,3 | 52,8 | |||||||
| 38 | 13,1 | 86,9 | ||||||||
| 39 | 65,8 | 7,8 | 26,4 |
| Mois | 1977 | 1978 | 1979 |
|---|---|---|---|
| Janvier | 7 220 | 7 750 | 7 869 |
| Février | 10 400 | 4 310 | 8 879 |
| Mars | 9 750 | 1 883 | 7 121 |
| Avril | 5 650 | 7 101 | 3 554 |
| Mai | 7 700 | 7 751 | |
| Juin | 2 750 | 6 120 | 1 839 |
| Juillet | 2 750 | 1 610 | 2 264 |
| Août | 1 000 | 1 155 | 1 393 |
| Septembre | 1 050 | 2 377 | |
| Octobre | 1 900 | 5 331 | |
| Novembre | 1 600 | 4 330 | |
| Décembre | 3 800 | 8 970 | |
| Total | 55 570 | 57 688 | 32 919 |
Source: Centre administratif de Cacheu, cité parP.J. Monoyer, FAO Travel Report and AideMémoire No 75 (Projet INT/72/074)
| 1975 | 1976 | 1977 | 1978 | 1979 | Remarques | |
|---|---|---|---|---|---|---|
| Janvier | - | 2 710 | 2 935 | - | 2 804 | |
| Février | - | 2 488 | - | 3 200 | 3 013 | |
| Mars | - | 2 095 | 1 317 | 3 146 | 2 595 | |
| Avril | 1 272 | 5 000 | 2 920 | 2 655 | 2 940 | |
| Mai | 536 | 2 800 | 2 750 | 2 399 | 3 013 | Dépuis mai 1979, le projet SIDA a transporté une trentaine de tonnes de poissons vers Bissau (ajouter pour les prises totales) |
| Juin | 1 442 | 5 000 | - | 5 070 | 3 107 | |
| Juillet | - | 4 200 | - | 2 350 | 3 567 | |
| Août | - | 3 760 | - | 3 861 | 3 303 | |
| Septembre | - | - | - | 1 870 | ||
| Octobre | 3 900 | 5 890 | - | 2 237 | ||
| Novembre | 2 600 | 4 600 | - | 2 669 | Note: de novembre 1978 à mars 1979 18 543 kg de poissons séchés ont été produits (équivalent en poids frais x 3, soit 55 629 kg). | |
| Décembre | - | - | - | 1 810 | - | |
| Total | 9 759 | 38 543 | 9 922 | 29 267 | 24 342 | + 30 |
Source: Hôtel de ville de Bubaque - Registres de fiscalisation/Projet SIDA cité parP.J. Monoyer, FAO Travel Report and Aide Mémoire No 75 (Projet INT/22/074)
| Nationalité | Nombre de bateaux | Remarques | |||
|---|---|---|---|---|---|
| Total | Chalutiers de fond | Chalutiers mixtes | Chalutiers crevettiers | ||
| Guinée-Bissau | 9 | 4 | 4 | 1 | |
| France | 20 | 2 | 3 | 15 | |
| URSS | 34 | 26 | 8 | - | |
| Italie | 6 | 6 | - | - | |
| Panama (Corée) | 6 | 6 | - | - | |
| Sénégal | 12 | 3 | - | 91 | 1 Jusqu'en avril (débarquent à Dakar) |
| Portugal | 4 | 4 | - | - | |
| Japon | 3 | - | 3 | - | |
| Grand Total | 93 | 51 | 18 | 24 | |
Source: Secretaria de Estado das Pescas, Bissau - cité par P.J. Monoyer, FAO Travel Reportand Aide Mémoire No 75 (Projet INT/72/074)
| Effectif par classe de puissance | Effectif par mode de conservation | Effectif par train de pêche | Effectif par type de pêche | ||||||||||||
|---|---|---|---|---|---|---|---|---|---|---|---|---|---|---|---|
| Année | Puissance totale (C) | Nombre d'unités | Puissance moyenne (ch) | 100 | 300 | 450 | 900 | Cong. | Glac. | 1 | 2 | Boeuf | C | P | R |
| 299 | 449 | 899 | 1 600 | Chal. | Chal. | ||||||||||
| 1965 | 7 245 | 28 | 259 | 7 | 17 | 4 | 0 | 0 | 28 | 28 | 0 | 0 | 3 | 25 | 0 |
| 1966 | 11 286 | 32 | 353 | 7 | 18 | 7 | 0 | 0 | 32 | 32 | 0 | 0 | 6 | 26 | 0 |
| 1967 | 11 715 | 34 | 345 | 8 | 20 | 6 | 0 | 0 | 34 | 34 | 0 | 0 | 16 | 18 | 0 |
| 1968 | 7 415 | 24 | 309 | 7 | 14 | 3 | 0 | 0 | 24 | 19 | 5 | 0 | 24 | 0 | 0 |
| 1969 | 18 525 | 54 | 343 | 24 | 21 | 9 | 0 | 0 | 54 | 22 | 32 | 0 | 54 | 0 | 0 |
| 1970 | 16 650 | 50 | 333 | 23 | 20 | 7 | 0 | 2 | 48 | 10 | 40 | 0 | 50 | 0 | 0 |
| 1971 | 22 930 | 69 | 332 | 26 | 32 | 10 | 1 | 5 | 64 | 11 | 58 | 0 | 58 | 1 | 10 |
| 1972 | 27 875 | 93 | 300 | 27 | 57 | 9 | 0 | 30 | 63 | 12 | 81 | 0 | 76 | 7 | 10 |
| 1973 | 31 955 | 93 | 344 | 24 | 62 | 5 | 2 | 30 | 63 | 11 | 82 | 0 | 79 | 5 | 9 |
| 1974 | 30 620 | 80 | 383 | 21 | 49 | 8 | 2 | 10 | 70 | 15 | 63 | 2 | 63 | 8 | 9 |
| 1975 | 35 560 | 86 | 413 | 22 | 50 | 8 | 6 | 32 | 54 | 16 | 68 | 2 | 67 | 10 | 9 |
| 1976 | 32 180 | 80 | 402 | 26 | 33 | 16 | 5 | 18 | 62 | 11 | 63 | 6 | 63 | 9 | 8 |
| 1977 | 37 992 | 95 | 400 | 27 | 47 | 16 | 5 | 28 | 67 | 20 | 69 | 6 | 70 | 11 | 14 |
| 1978 | 41 462 | 96 | 432 | 24 | 47 | 18 | 7 | 32 | 64 | 30 | 66 | 6 | - | - | - |
- = information non disponible
C = crevettiers
P = poissonniers
R = rougettiersSource: CRODT
| Année | Effort total (JP) | Effort (nombre de marées) |
|---|---|---|
| 1969 | 6 645 | 1 156 |
| 1970 | 5 533 | 880 |
| 1971 | 7 491 | 1 602 |
| 1972 | 10 296 | 1 700 |
| 1973 | 10 671 | 1 830 |
| 1974 | 11 331 | 1 586 |
| 1975 | 11 636 | 1 971 |
| 1976 | 10 615 | 1 914 |
| 1977 | 13 434 | 2 497 |
| 1978 | 13 999 | 2 572 |
| 1977 | 1978 | |
|---|---|---|
| Pageot (Pagellus coupei) | 4 639 | 4 211 |
| Dentex sp. + Pagrus sp. | 2 658 | 1 566 |
| Mérous + Epinephelus aeneus | 4 800 | 2 515 |
| Diagramma mediterraneum | 313 | - |
| Pseudopenaeus prayensis | 0 | 0 |
| Mycteroperca rubra | - | - |
| Seiches | 789 | 954 |
| Calmars | 48 | - |
| Poulpes | 2 | - |
| Tassergal | 4 681 | 2 595 |
| Argyrosoma requium | 623 | 604 |
| Arius sp. | 3 000 | 2 700 |
| Capitaines (Pseudotolithus sp.) | 2 133 | 1 776 |
| Cynoglosses (Cynoglossus sp.) | 100 à 500 | - |
| Crevettes1 | 1 297 | 1 728 |
| TOTAL GENERAL | 25 108 | 18 679 |
Source: CRODT
1 Source: Direction de l'o céanographie et des pêches maritimes
-Signifie chiffre non disponible, il s'agit donc d'uneestimation par défaut
| Année | Crevettes | Céphalopodes | Poissons rouges | Poissons gris | Total poissons | Total général |
|---|---|---|---|---|---|---|
| 1960 | 0 | 0 | 2 529 | 566 | 3 095 | 3 095 |
| 1961 | 0 | 0 | 4 356 | 657 | 5 013 | 5 013 |
| 1962 | 0 | 0 | 3 069 | 914 | 3 983 | 3 983 |
| 1963 | 0 | 0 | 3 568 | 1 002 | 4 570 | 4 570 |
| 1964 | 0 | 0 | ? | ? | 2 623 | 2 623 |
| 1965 | 55 | 0 | 2 123 | 1 040 | 3 163 | 3 218 |
| 1966 | 149 | 0 | 1 672 | 414 | 2 086 | 2 235 |
| 1967 | 576 | 0 | ? | ? | 2 544 | 3 120 |
| 1968 | 192 | 0 | 348 | 2 508 | 2 856 | 3 048 |
| 1969 | 2 190 | 18 | 73 | 1 471 | 1 544 | 3 752 |
| 1970 | 2 491 | 18 | 93 | 878 | 971 | 3 480 |
| 1971 | 2 492 | 11 | 1 463 | 3 041 | 4 504 | 7 007 |
| 1972 | 3 426 | 86 | 547 | 3 232 | 3 779 | 7 291 |
| 1973 | 2 626 | 39 | 1 701 | 6 429 | 8 130 | 10 795 |
| 1974 | 2 934 | 798 | 1 918 | 8 183 | 10 101 | 13 833 |
| 1975 | 3 603 | 1 024 | 3 470 | 8 167 | 11 637 | 16 264 |
| 1976 | 2 982 | 1 722 | 3 427 | 11 882 | 15 309 | 20 013 |
| 1977 | 2 862 | 1 331 | 10 479 | 19 003 | 29 482 | 33 675 |
| 1978 | 3 363 | 1 473 | 9 864 | 24 547 | 34 411 | 39 247 |
1960 à 1968: Une certaine quantité de “divers” est incluse dans “poissons rouges”
“Poissons rouges”: poissons de fonds durs: Dentex/merou, pageot, rouget, Diagramma, thiof, badèche,
“Poissons gris”: le reste
Sources: DOPM avant 1969; CRODT de 1969 à 1978
| Crevettes profondes | Divers1 | Total | Nombre moyen mensuel bateaux | |
|---|---|---|---|---|
| 1977 | 993 | 475 | 1 468 | 9 |
| 1978 | 2 350 | 680 | 3 030 | 13 |
Source: feuilles remplies par les commandants
1 Surtout merlu, un peu de céphalopodes
par
Alain Caverivière
Chargé de recherches, ORSTOM
CRO, B.P. V 18
Abidjan, Côte - d'Ivoire
Ce document est une mise à jour des Annexes 7 et 10 du rapport du premier groupe de travail ad hoc sur les stocks côtiers démersaux vivant entre le sud de la Mauritanie et le Libéria. On s'y reportera en ce qui concerne les commentaires des données antérieures à 1977.
Pour les années 1977 et 1978, les prises dans la zone Littoral Cap-Vert sont restées stables au niveau élevé de 1976; elles ont présenté une chute importante en 1977 dans la division Sherbro, mais sont remontées en 1978 à une valeur proche de celle de 1976. Les cpue correspondantes sont également assez stables. Il n'y a donc pas évidence de changements notables dans les prises et rendements totaux des deux pêcheries depuis 1976. Notons cependant que si le pourcentage des ombrines (sciaenidés) reste assez constant dans la première division, il semble en augmentation dans la zone Sherbro.
Les indices relatifs d'abondance par rapport à la Côte-d'Ivoire ont été calculés à partir des cpue totales, et non par la méthode de Robson comme pour les années précédentes (on peut cependant considérer que les différences ne doivent pas être importantes). Les indices pour 1977 et 1978 sont à des niveaux équivalents à ceux des années antérieures et comme les cpue obtenues en Côte-d'Ivoire n'ont guère varié, on peut en conclure que les abondances dans les divisions Littoral Cap-Vert et Sherbro sont toujours supérieures dans un rapport d'environ 2,6 et 1,6 à celles de Côte-d' Ivoire.
| 1966 | 1967 | 1968 | 1969 | 1970 | 1971 | 1972 | 1973 | 1974 | 1975 | 1976 | 1977 | 1 978 | |
|---|---|---|---|---|---|---|---|---|---|---|---|---|---|
| Prise totale (t) | 4 980 | 4 000 | 4 080 | 3 030 | 2 130 | 3 850 | 1 970 | 3 140 | 2 410 | 2 070 | 941 | 1 920 | |
| Effort (chalutier 400 ch) | 24 410 | 15 640 | 17 290 | 15 370 | 9 100 | 17 240 | 10 570 | 13 250 | 10 030 | 7 560 | 4 530 | 8 290 | |
| Cpue1(kg/h) | 204 | 267 | 236 | 193 | 234 | 225 | 192 | 246 | 235 | 278 | 216 | 232 |
1 a partir des seuls chalutiers enquêtés
| 1966 | 1967 | 1968 | 1969 | 1970 | 1971 | 1972 | 1973 | 1974 | 1975 | 1976 | 1977 | 1978 | |
|---|---|---|---|---|---|---|---|---|---|---|---|---|---|
| Capitaines | 8,5 | 9,4 | 9,1 | 9,8 | 11,7 | 11,6 | 12,1 | 13,3 | 16,3 | 18,0 | 16,7 | 14,2 | |
| Carpes | 8,1 | 9,0 | 7,8 | 5,2 | 7,8 | 5,1 | 5,3 | 5,8 | 3,9 | 4,0 | 4,6 | 4,4 | |
| Ceintures | 0,5 | 1,4 | 0,4 | 1,9 | 1,2 | 0,9 | 1,3 | 1,9 | 3,6 | 3,6 | 2,3 | 2,7 | |
| Dorades | 18,2 | 14,7 | 10,0 | 5,8 | 12,3 | 12,8 | 1,3 | 1,9 | 0,6 | 1,0 | 1,9 | 0,4 | |
| Friture | 2,1 | 0,7 | 2,7 | 4,8 | 4,9 | 5,9 | 4,9 | 4,8 | 5,2 | 5,1 | 6,0 | 6,0 | |
| Guinées | 5,6 | 6,4 | 4,3 | 3,8 | 5,8 | 3,9 | 1,3 | 2,9 | 0,7 | 0,3 | 0,2 | 0,3 | |
| Machoirons | 4,6 | 5,7 | 4,5 | 4,3 | 3,9 | 2,7 | 3,9 | 3,8 | 3,4 | 4,3 | 1,3 | 2,3 | |
| Ombrines | 19,4 | 16,3 | 22,8 | 30,0 | 8,2 | 16,8 | 37,8 | 37,3 | 41,1 | 37,2 | 42,3 | 43,9 | |
| Pageots | 1,0 | 1,3 | 3,2 | 2,2 | 6,3 | 5,2 | 1,7 | 1,4 | 0,3 | 1,4 | 0,5 | 1,7 | |
| Carangidés | 5,6 | 8,9 | 9,6 | 7,5 | 13,9 | 13,5 | 4,0 | 5,0 | 3,0 | 4,4 | 3,4 | 4,0 | |
| Raies et Requins | 5,9 | 4,0 | 4,8 | 3,2 | 2,6 | 2,5 | 4,3 | 4,4 | 3,6 | 2,9 | 6,3 | 5,1 | |
| St Pierre | 9,4 | 11,3 | 6,2 | 4,5 | 4,3 | 1,9 | 5,0 | 2,7 | 2,5 | 3,1 | 2,6 | 2,3 | |
| Soles | 3,8 | 1,7 | 2,7 | 2,5 | 1,1 | 1,7 | 3,3 | 3,6 | 5,6 | 4,2 | 5,0 | 3,7 | |
| Divers | 7,2 | 9,2 | 11,9 | 15,2 | 16,2 | 15,6 | 13,9 | 11,1 | 10,3 | 10,6 | 4,4 | 6,9 |
| 1966 | 1967 | 1968 | 1969 | 1970 | 1971 | 1972 | 1973 | 1974 | 1975 | 1976 | 1977 | 1978 | |
|---|---|---|---|---|---|---|---|---|---|---|---|---|---|
| Prise totale (t) | 2 310 | 2 200 | 4 530 | 4 090 | 4 120 | 2 470 | 6 350 | 5 950 | 7 150 | 9 880 | 9 720 | 9 510 | |
| Effort (chalutier 400 ch) | 8 780 | 6 490 | 14 160 | 14 330 | 14 820 | 11 960 | 21 530 | 16 170 | 19 970 | 20 270 | 26 080 | 18 250 | |
| Cpue1 (kg/h) | 263 | 339 | 320 | 292 | 278 | 229 | 295 | 368 | 359 | 486 | 388 | 529 |
1 à partir des seuls chalutiers enquêtés
| 1966 | 1967 | 1968 | 1969 | 1970 | 1971 | 1972 | 1973 | 1974 | 1975 | 1976 | 1977 | 1978 | |
|---|---|---|---|---|---|---|---|---|---|---|---|---|---|
| Capitaines | 7,6 | 8,9 | 14,6 | 15,4 | 12,0 | 12,7 | 15,8 | 17,1 | 21,1 | 19,7 | 18,4 | 18,6 | |
| Carpes | 11,5 | 4,6 | 10,7 | 9,6 | 7,7 | 9,5 | 12,0 | 12,5 | 8,7 | 12,1 | 9,1 | 9,9 | |
| Ceintures | 0,4 | 0,5 | 0,7 | 0,5 | 1,3 | 1,8 | 2,4 | 1,3 | 4,2 | 3,2 | 4,8 | 4,8 | |
| Dorates | 21,6 | 4,0 | 3,6 | 4,0 | 4,5 | 10,8 | 3,5 | 2,6 | 1,7 | 3,6 | 3,2 | 3,1 | |
| Friture | 1,5 | 0,6 | 2,2 | 2,7 | 2,7 | 3,3 | 2,5 | 3,1 | 4,2 | 3,0 | 1,9 | 3,2 | |
| Guinées | 1,4 | 15,4 | 10,0 | 9,7 | 4,0 | 3,4 | 0,9 | 1,8 | 1,0 | 0,7 | 0,5 | 1,2 | |
| Machoirons | 8,3 | 7,7 | 9,3 | 7,7 | 6,4 | 5,6 | 7,6 | 7,8 | 7,4 | 9,2 | 9,0 | 10,2 | |
| Ombrines | 11,7 | 15,1 | 10,7 | 13,3 | 18,1 | 12,7 | 22,0 | 19,9 | 27,2 | 17,1 | 16,3 | 15,7 | |
| Pageots | 2,6 | 0,8 | 3,6 | 2,5 | 3,8 | 6,8 | 2,0 | 2,1 | 1,5 | 2,7 | 3,0 | 0,6 | |
| Carangidés | 6,0 | 28,0 | 17,8 | 16,1 | 14,1 | 9,8 | 6,5 | 8,9 | 3,8 | 6,9 | 9,1 | 10,5 | |
| Raies et Requins | 3,2 | 3,6 | 5,1 | 3,7 | 4,7 | 3,6 | 5,1 | 4,7 | 4,4 | 3,2 | 4,3 | 4,8 | |
| St Pierre | 14,5 | 3,6 | 5,8 | 4,5 | 2,8 | 4,0 | 6,0 | 4,0 | 5,2 | 8,4 | 6,0 | 5,8 | |
| Soles | 1,5 | 1,0 | 1,2 | 1,5 | 3,4 | 0,7 | 0,8 | 1,1 | 1,0 | 0,5 | 0,7 | 0,2 | |
| Divers | 8,0 | 5,9 | 8,2 | 8,8 | 14,4 | 15,3 | 13,0 | 13,2 | 8,6 | 9,8 | 9,3 | 10,1 |
| 1969 | 1970 | 1971 | 1972 | 1973 | 1974 | 1975 | 1976 | 1977 | 1978 | |
|---|---|---|---|---|---|---|---|---|---|---|
| Côte-d'Ivoire | 1,0 | 1,0 | 1,0 | 1,0 | 1,0 | 1,0 | 1,0 | 1,0 | 1,0 | 1,0 |
| Sherbro (nord) | 1,4 | 1,1 | 1,4 | 2,1 | 1,3 | 1,7 | 1,5 | 2,0 | 1,4 | 1,4 |
| Littoral Cap-Vert (sud) | 2,0 | 1,5 | 1,7 | 1,8 | 2,1 | 2,4 | 2,3 | 3,6 | 2,6 | 3,1 |

Fig. 1 Evolution des prises et des cpue totales dans la division Sherbo

Fig. 2 Evolution des prises et des cpue totales dans la division littoral Cap-Vert
| 1964 | 1965 | 1966 | 1967 | 1968 | 1969 | 1970 | 1971 | 1972 | 1973 | 1974 | 1975 | 1976 | 1977 | 1978 | |
|---|---|---|---|---|---|---|---|---|---|---|---|---|---|---|---|
| Pseudotolithus senegalensis | |||||||||||||||
| Sierra Leone | +40 | -6 | 0 | -68 | -10 | +2 | +6 | +0,2 | -27 | +19 | +21 | -13 | -24 | +724 | +329 |
| Côte-d'Ivoire | 0 | +13 | +55 | +53 | -53 | -5 | +118 | +158 | +171 | +208 | +134 | +167 | |||
| Galeoides sp. | |||||||||||||||
| Sierra Leone | +26 | -17 | 0 | +25 | -24 | +26 | +34 | +95 | +26 | +4 | +11 | +82 | +76 | +68 | +43 |
| Côte-d' Ivoire | 0 | +47 | +18 | +24 | +71 | +65 | +29 | +88 | +112 | +194 | +129 | +94 | |||
| Pomadasys jubelini | |||||||||||||||
| Sierra Leone | -38 | -39 | 0 | +10 | -9 | +80 | +62 | +37 | -33 | -28 | -1 | +10 | +252 | +235 | +466 |
| Côte-d'Ivoire | 0 | +41 | +6 | -35 | +29 | -29 | -47 | -18 | -53 | -29 | -35 | -41 | |||
| Chaetodipterus = Drepane sp. | |||||||||||||||
| Sierra Leone | -41 | -31 | 0 | +40 | -54 | +36 | -1 | -8 | -35 | -43 | -22 | -27 | -0,5 | +11 | +16 |
| Côte-d' Ivoire | 0 | +75 | -40 | -55 | -40 | -80 | -80 | -60 | -75 | -60 | -70 | -74 | |||
| Liberia | Sierra Leone | Ghana | USSR | Japan | Ivory Coast | Senegal | Italy | Spain | Rep.of Korea | Portugal | |
|---|---|---|---|---|---|---|---|---|---|---|---|
| 1964 | 2 322 | 752 | 0 | ? | ? | ? | |||||
| 1965 | 1 575 | 631 | 0 | ? | ? | ? | |||||
| 1966 | 2 084 | 156 | 4 786 | 0 | ? | ? | ? | ||||
| 1967 | 1 348 | 19 | 4 494 | 0 | ? | ? | ? | ||||
| 1968 | * | 1 096 | 4 006 | 0 | ? | ? | ? | ||||
| 1969 | * | 2 995 | 10 | 4 074 | 126 | 0 | ? | ? | ? | ||
| 1970 | * | 2 514 | 0 | 8 | 3 043 | 199 | 0 | ? | ? | ? | |
| 1971 | 466 | 2 174 | 0 | 2 050 | 736 | ? | ? | ? | ? | ||
| 1972 | 1 262 | 2 827 | 5 209 | 3 609 | 894 | ? | ? | ? | ? | ||
| 1973 | 1 064 | 2 871 | 7 283 | 1 975 | 615 | ? | ? | ? | ? | ||
| 1974 | 1 824 | 2 846 | 14 646 | 3 135 | 823 | ? | ? | ? | ? | ||
| 1975 | 1 874 | 1 748 | 9 263 | 2 413 | 168 | ? | ? | ? | ? | ||
| 1976 | 1 926 | 2 417 | 11 824 | 2 005 | 467 | ? | ? | ? | ? | ||
| 1977 | 2 168 | 7 027 | 9 304 | 918 | 409 | ? | ? | ? | ? | ||
| 1978 | 3 622 | 16 270 | 950 | 11 131 | 1 881 | 607 | ? | ? | ? | ? |
Source: CECAF Statistical Bulletin N° 2, 1979
Note: Liberia, 1971–77: Industrial catches only
1978: Artisanal and industrial catches
Sierra Leone, 1964–76: National industrial catches only
1977–78: Artisanal and industrial catches
* Information available from Mesurado Fishing Company
| 1964 | 1965 | 1966 | 1967 | 1968 | 1969 | 1970 | 1971 | 1972 | 1973 | 1974 | 1975 | 1976 | 1977 | 1978 | |
|---|---|---|---|---|---|---|---|---|---|---|---|---|---|---|---|
| Cynoglossidae | 113 | 67 | 52 | 164 | 113 | 205 | 159 | 179 | 285 | 385 | 625 | 324 | 263 | 509 | 1 544 |
| Sharks, Rays and Skates | 136 | 100 | 397 | 323 | 264 | 354 | 243 | 210 | 253 | 239 | 402 | 213 | 221 | 406 | 1 763 |
| Sparidae | 113 | 169 | 1 079 | 849 | 743 | 1 062 | 462 | 610 | 1 118 | 593 | 834 | 697 | 470 | 916 | 746 |
| Sciaenidae | 627 | 350 | 1 311 | 1 006 | 824 | 1 301 | 1 484 | 859 | 1 705 | 1 992 | 2 785 | 2 029 | 2 542 | 4 248 | 8 600 |
| Pomadasyidae | 161 | 76 | 576 | 495 | 422 | 498 | 456 | 398 | 527 | 334 | 577 | 318 | 480 | 583 | 6 391 |
| Ariidae | 143 | 90 | 330 | 330 | 325 | 321 | 224 | 171 | 184 | 153 | 130 | 205 | 773 | 903 | 1 464 |
| Polynemidae | 724 | 401 | 863 | 830 | 556 | 1 087 | 959 | 813 | 1 238 | 980 | 1 150 | 1 340 | 1 575 | 9 732 | 5 295 |
| Drepanidae | 397 | 329 | 747 | 757 | 748 | 952 | 673 | 494 | 913 | 779 | 555 | 766 | 403 | 649 | 1 426 |
| Sphyraenidae | … | 25 | … | … | … | … | … | 2 | 44 | 50 | 84 | 24 | 137 | 323 | 876 |
| Albulidae | 47 | 32 | 314 | 303 | 286 | 335 | 162 | 149 | 179 | 90 | 106 | 27 | 234 | 447 | 509 |
| Carangidae | … | … | 339 | 318 | 356 | 392 | 227 | 345 | 520 | 79 | 157 | 72 | 91 | 32 | 242 |
Note: Catches for Sierra Leone, Liberia, Japan, Ivory Coast, Senegal and Ghana
| Pologne | Japon | URSS | Rep. dém. allemande | Cête- d'Ivoire | Espagne | Portugal | Roumanie | Bulgarie | Ghana | Rep. de Corée | Gréce | |
|---|---|---|---|---|---|---|---|---|---|---|---|---|
| 1964 | - | (5,5) | ? | +? | ? | ? | +? | +? | ||||
| 1965 | 10,0 | 6,0 | ? | +? | ? | ? | +? | +? | ||||
| 1966 | 15,0 | 8,5 | ? | +? | 2,3 | ? | +? | +? | ||||
| 1967 | 10,7 | 9,0 | +? | 2,2 | ? | +? | +? | |||||
| 1968 | 10,0 | 5,0 | + | 2,2 | 10,0 | +? | +? | |||||
| 1969 | 29,5 | 16,0 | + | 4,5 | 13,0 | +? | 9,3 | |||||
| 1970 | 33,0 | 20,0 | (+) | 4,1 | 6,1 | 1,0 | 5,0 | |||||
| 1971 | 19,0 | 15,0 | 0,5 | 4,1 | 5,8 | 8,0 | 0,5 | |||||
| 1972 | 30,5 | 19,0 | 30,3 | 0 | 2,7 | 5,9 | 5,0 | 3,9 | ||||
| 1973 | 0 | 19,5 | 13,3 | 0 | 6,4 | (4,6) | 0 | 0 | ||||
| 1974 | 0 | 25,5 | 34,6 | 0 | 5,9 | 3,4 | 0 | 0 | 8,5 | |||
| 1975 | 0 | - | 39,3 | 0 | 7,1 | 5,4 | 0 | 0 | 21,0 | |||
| 1976 | 0 | 3,5 | 15,3 | 0 | 9,9 | 5,4 | 0 | 1,0 | 4,0 | |||
| 1977 | 0 | 14,5 | 16,1 | 0 | 9,7 | 0 | ||||||
| 1978 | 0 | 25,0 | 9,5 |
( ): estimation
+ : quelques dizaines de tonnes
Source: Bulletin statistique du COPACE N° 2, 1979
| 1972 | 1973 | 1974 | 1975 | 1976 | 1977 | 1978 | |
|---|---|---|---|---|---|---|---|
| Soleidae | 43 | - | - | 5 | - | 1 | 21 |
| Merluccius spp. | 2 779 | 1 718 | 8 655 | 14 448 | 2 676 | 167 | |
| Ariidae | 671 | 1 314 | 1 538 | 602 | 287 | 73 | 548 |
| Congers | 123 | - | - | - | 52 | - | |
| Pomadasys | - | - | - | - | - | - | 292 |
| Zeiidae | 87 | 297 | 254 | 47 | - | 10 | 24 |
| Epinephelus spp. | 231 | 1 361 | 1 058 | 1 302 | 934 | 725 | 1 850 |
| Otolithus spp. | 1 119 | 1 132 | 1 489 | 2 741 | 1 913 | 2 402 | 6 477 |
| Sparidae | 9 604 | 1 291 | 17 461 | 12 236 | 3 487 | 918 | 2 382 |
| Brachydeuterus auritus | - | - | - | - | - | - | 227 |
| Sphyraena spp. | 2 377 | 2 088 | 828 | 2 547 | 2 573 | 1 429 | 43 |
| Sharks | 3 325 | 35 | - | 110 | - | 62 | 1 734 |
| Marine fishes n.e.i. | 5 468 | 1 287 | 907 | 1 184 | 1 263 | 2 797 | 8 228 |
| Shrimps and prawns | 6 | - | - | - | - | - | - |
| Cephalopods | 1 221 | 312 | 197 | - | - | - | - |
| Squids | - | - | - | 12 | 16 | - | 5 |
| Octopuses | - | - | - | 26 | - | 9 | 67 |
| Various crustaceans | - | - | - | 18 | 14 | 3 | - |
| Lutjanus spp. | 281 | 708 | 1 501 | 1 253 | 931 | - | - |
| Various sea basses | 2 234 | 1 208 | - | - | 1 113 | 43 | - |
| Trichiurus spp. | 766 | 566 | 713 | 2 772 | - | 7 242 | 1 604 |
| Rays, etc. | - | - | - | - | - | 62 | 1 469 |
| Total | 30 335 | 13 317 | 34 601 | 39 303 | 15 259 | 16 125 | 24 971 |
1 include a few pelagic speciesSource: VNIRO, Moscow, USSR
| 1972 | 1973 | 1974 | 1975 | 1976 | 1977 | 1978 | |
|---|---|---|---|---|---|---|---|
| Soleidae | 2 | - | - | - | - | 5 | 13 |
| Merluccius spp. | - | - | - | - | - | - | 401 |
| Ariidae | 140 | 388 | 630 | 699 | 263 | 61 | - |
| Congers | - | - | - | - | 500 | 118 | 706 |
| Zeiidae | - | - | - | - | - | - | 10 |
| Epinephelus spp. | 872 | 1 770 | 2 719 | 894 | 764 | 5 | 17 |
| Otolithus spp. | 466 | 1 580 | 2 657 | 1 523 | 977 | 143 | 839 |
| Sparidae | 374 | 110 | 142 | 1 057 | 372 | 11 | 163 |
| Brachydeuterus auritus | - | - | - | - | - | - | 3 384 |
| Sphyraena spp. | 2 742 | 1 900 | 4 675 | 1 784 | 1 295 | - | 134 |
| Drepane africana | - | - | - | - | - | - | 16 |
| Trichiurus spp. | 490 | 393 | 2 960 | 2 616 | 7 385 | 8 425 | 2 322 |
| Sharks | - | 375 | 804 | 582 | 188 | 30 | 233 |
| Marine fishes n.e.i. | 81 | 456 | - | 108 | 80 | 506 | 2 580 |
| Lutjanus spp. | 42 | 283 | - | - | - | - | - |
| Shrimps | - | 28 | 59 | - | - | - | - |
| Cephalopods | - | - | - | - | - | - | 13 |
| Total | 5 209 | 7 283 | 14 646 | 9 263 | 11 824 | 9 304 | 11 131 |
Source: VNIRO, Moscow, USSR
1 include a few pelagic species
by
Joo Yeoul Lim and Chang Ik Zhang
National Fisheries Research and Development Agency
Pusan, 606, Republic of Korea
The Korean trawl fishery in the CECAF area has been carried out since 1966 and is based at Las Palmas.
Table 1 and Figure 1 show the total catch and number of vessels respectively for Korean trawl fishery during the 1966–1978 period. In the first year of operation the total catch by eight vessels was 1 379 t. This catch gradually increased reaching a peak in 1976 of 90 757 t by 100 vessels and then declined continuously to 62 823 t by 92 vessels in 1978.
The data on the catches, efforts and locations of fishing was submitted to the National Fisheries Research and Development Agency (NFRDA) by the fishing companies involved. The rates for the collection of data were 69.8 percent in 1977 and 88.7 percent in 1978. In this report are used only the data submitted to the Agency by the fishing companies involved.
In 1977 and 1978 respectively 35.2 percent and 32.1 percent of the catch were caught in some parts of coastal areas of the statistical divisions 34.3.1 and 34.3.3.
Catch, effort, and catch per unit of effort (cpue) in this area are listed by both of catch and year caught by Korean trawlers in Table 2 and Figure 2. The main species caught by Korean trawlers were cuttlefishes, octopuses, squids, seabreams, and flounders.
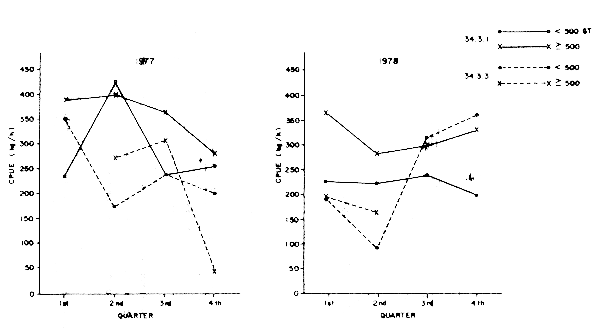
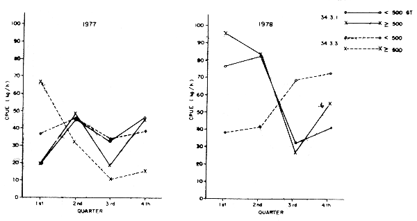
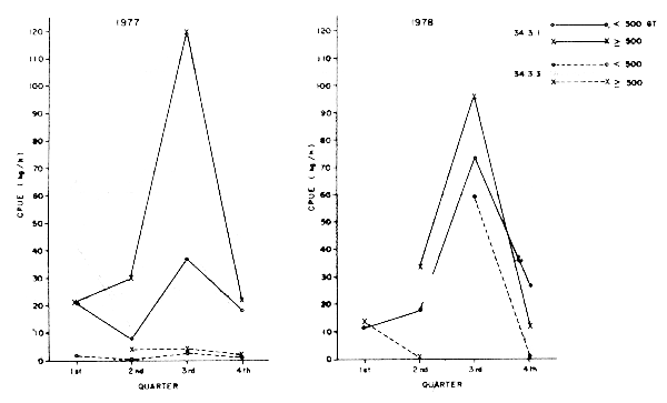
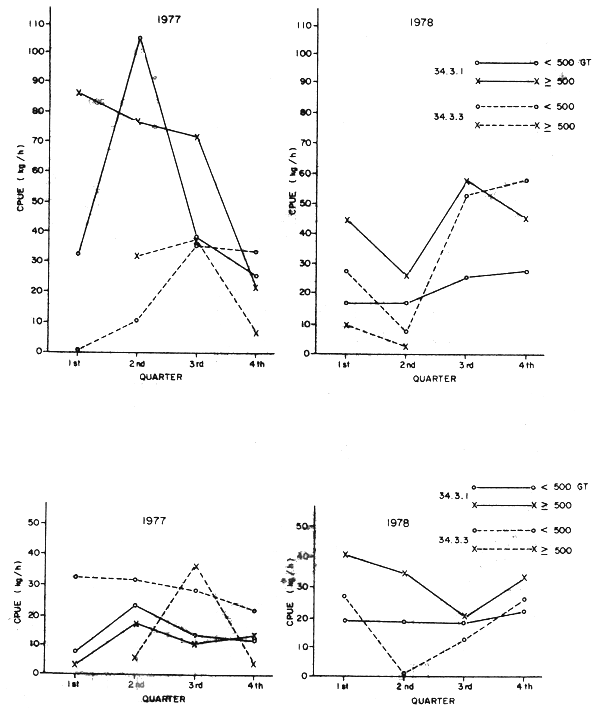
Table 3 gives the quarterly catch and cpue by tonnage for the Korean trawl fishery in this area. The second quarter catch was greatest in both years. In general the catch in Division 3.1 was much greater than in Division 3.3. Values for cpue do not appear consistently by quarter.
Tables 4.1–4.4 and Figures 4.1–4.4 show the quarterly catch and cpue by tonnage for the major species - cuttlefishes, octopuses, seabreams, and flounders.
In Figures 5 and 6 the yearly distributions of cpue for two CECAF statistical divisions are plotted. In Figures 7.1–7.4 the cpue distributions for four major species are shown.
In the future it is intended to analyse biological information as well as detailing catch and effort statistics.
| Year | No. of vessels | Catch (t) |
|---|---|---|
| 1966 | 8 | 1 379 |
| 1967 | 10 | 2 007 |
| 1968 | 4 | 809 |
| 1969 | 10 | 1 008 |
| 1970 | 17 | 5 550 |
| 1971 | 15 | 6 941 |
| 1972 | 30 | 9 327 |
| 1973 | 47 | 28 789 |
| 1974 | 87 | 45 437 |
| 1975 | 112 | 63 846 |
| 1976 | 100 | 90 757 |
| 1977 | 94 | 70 642 |
| 1978 | 92 | 62 823 |
Source: Yearbook of Fisheries Statistics, 1978 Office of Fisheries, Republic of Korea
| Year | Statistical division | Catch (t) | Effort (hours) | cpue (kg/h) | Catch by species t (%) | ||||||||||||||
|---|---|---|---|---|---|---|---|---|---|---|---|---|---|---|---|---|---|---|---|
| Flounders | Soles | Hakes | Cods | Croakers | Seabreams | Horse mackerels | Cutle fishes | Squids | Octop uses | Tongue fishes | Shrimps, prawns | Skates, sharks | Crabs | Others | |||||
| 1977 | Total | 17 368.18 | 63 486.02 | 273.57 | 1 132.32 | 205.83 | 66.46 | 42.55 | 226.83 | 3 209.06 | 227.4 | 2 289.74 | 1 443.63 | 939.29 | 204.43 | 46.90 | 4.13 | 10.70 | 7 318.9 |
| (65.2) | (11.9) | (3.8) | (2.4) | (13.1) | (184.8) | (13.1) | (131.8) | (83.1) | (54.1) | (11.8) | (2.7) | (0.2) | (0.6) | (421.4) | |||||
| 3.1 | 11 783.47 | 36 518.12 | 322.67 | 482.68 | 150.09 | 26.17 | 42.34 | 214.95 | 2 466.18 | 175.06 | 1 291.99 | 1 149.80 | 892.76 | 170.43 | 27.36 | 4.09 | 0.02 | 4 689.55 | |
| (41.0) | (12.7) | (2.2) | (3.6) | (18.2) | (209.3) | (14.9) | (109.6) | (97.6) | (75.8) | (14.5) | (2.3) | (0.3) | (0.0) | (398.0) | |||||
| 3.3 | 5 584.71 | 26 967.90 | 207.09 | 649.64 | 55.74 | 40.29 | 0.21 | 11.88 | 742.88 | 52.34 | 997.75 | 293.83 | 46.53 | 34.00 | 19.54 | 0.04 | 10.69 | 2 629.35 | |
| (116.3) | (10.0) | (7.2) | (0.0) | (2.1) | (133.0) | (9.4) | (178.7) | (52. ) | (8.3) | (6.1) | (3.5) | (0.0) | (1.9) | (470.8) | |||||
| 1978 | Total | 18 280.95 | 77 730.82 | 235.18 | 1 545.49 | 396.56 | 5.68 | 76.45 | 284.78 | 1 784.75 | 105.05 | 4 674.73 | 1 399.28 | 2 365.55 | 208.22 | 102.16 | 7.45 | 2.08 | 5 322.72 |
| (84.5) | (21.7) | (0.3) | (4.2) | (15.6) | (97.6) | (5.7) | (255.7) | (76.5) | (129.4) | (11.4) | (5.6) | (0.4) | (0.1) | (291.2) | |||||
| 3.1 | 16 561.59 | 70 367.34 | 235.36 | 1 457.50 | 379.96 | 5.68 | 75.86 | 282.89 | 1 585.07 | 105.05 | 4 416.10 | 1 176.61 | 2 288.64 | 193.82 | 86.79 | 7.45 | 2.08 | 4 498.09 | |
| (88.0) | (22.9) | (0.3) | (4.6) | (17.1) | (95.7) | (6.3) | (266.6) | (71.0) | (138.2) | (11.7) | (5.2) | (0.4) | (0.1) | (271.0) | |||||
| 3.3 | 1 719.36 | 7 363.48 | 233.50 | 87.99 | 16.6 | - | 0.59 | 1.89 | 199.68 | - | 258.63 | 222.67 | 76.91 | 14.4 | 15.37 | - | - | 824.63 | |
| (51.2) | (2.3) | - | (0.3) | (1.1) | (116.1) | - | (150.4) | (129.5) | (44.7) | (8.4) | (8.9) | - | - | (479.6) | |||||
| Statistical Division | Vessel size Class (GT) | 1977 | 1978 | ||||||
|---|---|---|---|---|---|---|---|---|---|
| 1st quar. | 2nd quar. | 3rd quar. | 4th quar. | 1st quar. | 2nd quar. | 3rd quar. | 4th quar. | ||
| Catch (t) | 3 662.49 | 5 901.42 | 4 242.47 | 3 561.80 | 5 113.94 | 5 537.41 | 4 347.05 | 3 282.55 | |
| 34.3.1 | Total cpue (kg/h) | 2 1.27 | 357.76 | 262.10 | 200.40 | 240.34 | 226.07 | 245.65 | 230.14 |
| Subtotal | 3 505.56 | 5 057.31 | 1 350.64 | 1 869.96 | 4 596.12 | 5 415.64 | 4 148.64 | 2 401.19 | |
| 269.22 | 418.36 | 278.33 | 267.53 | 246.74 | 277.05 | 252.16 | 210.94 | ||
| 250–499.99 | 2 171.06 | 3 544.52 | 809.55 | 1 022.07 | 3 738.68 | 4 325.76 | 3 963.32 | 2 108.76 | |
| 237.14 | 426.80 | 239.89 | 256.41 | 229.46 | 224.82 | 240.90 | 202.76 | ||
| 500–999.99 | 1 334.50 | 1 512.79 | 541.09 | 847.89 | 857.44 | 1 089.88 | 185.32 | 292.43 | |
| 389.89 | 399.85 | 366.10 | 282.29 | 367.37 | 284.04 | 299.87 | 330.06 | ||
| 34.3.3 | Subtotal | 156.93 | 844.11 | 2 891.83 | 1 691.84 | 517.82 | 121.77 | 198.41 | 881.36 |
| 354.16 | 191.53 | 255.14 | 156.89 | 195.39 | 109.69 | 316.99 | 201.30 | ||
| 250–499.99 | 156.93 | 655.24 | 2 043.66 | 1 555.20 | 270.56 | 76.95 | 198.41 | 599.32 | |
| 354.16 | 176.59 | 239.02 | 203.77 | 194.80 | 92.14 | 316.99 | 360.78 | ||
| 500–999.99 | - | 188.87 | 848.17 | 136.64 | 247.26 | 44.82 | - | 282.04 | |
| - | 271.10 | 304.65 | 43.37 | 196.04 | 162.98 | - | 214.32 | ||
| Statistical Division | 1st quar. | 1977 | 1978 | ||||||
|---|---|---|---|---|---|---|---|---|---|
| Vessel size class (GT) | 2nd quar. | 3rd quar. | 4th quar. | 1st quar. | 2nd quar. | 3rd quar. | 4th quar. | ||
| Catch (t) | 269.01 | 743.13 | 625.28 | 652.32 | 1 527.16 | 2 250.03 | 588.22 | 595.69 | |
| 34.3.1 | Total cpue (kg/h) | 20.66 | 44.21 | 38.63 | 36.70 | 71.71 | 91.86 | 33.24 | 41.76 |
| Subtotal | 269.01 | 561.87 | 139.41 | 321.70 | 1 465.96 | 1 929.29 | 545.34 | 475.51 | |
| 21.39 | 45.30 | 28.73 | 46.03 | 78.70 | 82.50 | 31.95 | 42.13 | ||
| 250–499.99 | 196.42 | 377.02 | 109.86 | 185.72 | 1 242.74 | 1 608.55 | 528.78 | 426.84 | |
| 21.45 | 45.40 | 32.55 | 46.59 | 76.27 | 82.29 | 32.14 | 41.04 | ||
| 500–999.99 | 72.59 | 184.85 | 29.55 | 135.98 | 223.22 | 320.74 | 16.56 | 48.67 | |
| 21.21 | 48.86 | 20.00 | 45.27 | 95.64 | 83.59 | 26.89 | 54.93 | ||
| 34.3.3 | Subtotal | - | 181.26 | 485.87 | 330.62 | 61.00 | 34.57 | 42.88 | 120.18 |
| - | 41.13 | 42.87 | 30.66 | 23.01 | 31.14 | 68.51 | 40.37 | ||
| 250–499.99 | - | 134.83 | 391.06 | 292.47 | 53.31 | 34.57 | 42.88 | 120.18 | |
| - | 36.34 | 45.74 | 38.32 | 38.38 | 41.40 | 68.51 | 72.34 | ||
| 500–999.99 | - | 46.43 | 94.81 | 38.15 | 7.69 | - | - | - | |
| - | 66.65 | 34.05 | 12.11 | 15.78 | - | - | - | ||
| Statistical Division | Vessel size class (GT) | 1977 | 1978 | ||||||
|---|---|---|---|---|---|---|---|---|---|
| 1st quar. | 2nd quar. | 3rd quar. | 4th quar. | 1st quar. | 2nd quar. | 3rd quar. | 4th quar. | ||
| Catch (t) | 273.82 | 182.72 | 338.12 | 144.63 | 250.98 | 482.55 | 1 312.96 | 319.06 | |
| 34.3.1 | Total cpue (kg/h) | 21.03 | 10.87 | 20.89 | 8.14 | 11.80 | 19.70 | 74.19 | 22.37 |
| Subtotal | 273.15 | 178.45 | 302.83 | 138.33 | 237.83 | 482.32 | 1 275.94 | 292.55 | |
| 21.72 | 14.39 | 62.41 | 19.79 | 12.77 | 20.63 | 74.75 | 25.92 | ||
| 250–499.99 | 199.67 | 63.37 | 125.05 | 72.69 | 208.07 | 352.45 | 1 216.82 | 281.80 | |
| 21.81 | 7.63 | 37.06 | 18.24 | 12.27 | 18.03 | 73.96 | 27.10 | ||
| 500–999.99 | 73.48 | 115.08 | 177.78 | 65.64 | 29.76 | 129.87 | 59.12 | 10.75 | |
| 34.3.3 | 21.47 | 30.42 | 120.28 | 21.85 | 12.75 | 33.85 | 95.66 | 12.13 | |
| Subtotal | 0.67 | 4.27 | 35.29 | 6.30 | 13.15 | 0.23 | 37.02 | 26.51 | |
| 1.51 | 0.97 | 3.12 | 0.58 | 4.96 | 0.21 | 59.14 | 8.90 | ||
| 250–499.99 | 0.67 | 1.43 | 23.37 | 6.03 | 0.005 | - | 37.02 | 2.00 | |
| 1.51 | 0.39 | 2.73 | 0.79 | 0.04 | - | 59.14 | 1.20 | ||
| 500–999.99 | - | 2.84 | 11.92 | 0.27 | 13.10 | 0.23 | - | 24.51 | |
| - | 4.08 | 4.28 | 0.09 | 10.39 | 0.84 | - | 18.62 | ||
| Statistical Division | Vessel size class (GT) | 1977 | 1978 | ||||||
|---|---|---|---|---|---|---|---|---|---|
| 1st quar. | 2nd quar. | 3rd quar. | 4th quar. | 1st quar. | 2nd quar. | 3rd quar. | 4th quar. | ||
| Catch (t) | 594.69 | 1 531.05 | 642.24 | 441.08 | 429.42 | 439.68 | 485.13 | 430 52 | |
| Total cpue (kg/h) | 45.67 | 91.09 | 39.68 | 24.81 | 20.18 | 17.95 | 27.41 | 30.18 | |
| 34.3.1 | Subtotal | 594.63 | 1 469.62 | 233.39 | 168.54 | 379.19 | 432.30 | 452.28 | 321.30 |
| 47.28 | 118.51 | 48.10 | 24.11 | 20.36 | 18.49 | 26.50 | 28.47 | ||
| 250–499.99 | 300.37 | 1 182.43 | 128.29 | 102.57 | 275.57 | 332.42 | 416.85 | 281.79 | |
| 32.81 | 142.38 | 38.02 | 25.73 | 16.91 | 17.01 | 25.34 | 27.09 | ||
| 500–999.99 | 294.26 | 287.19 | 105.97 | 65.97 | 103.62 | 99.88 | 35.43 | 39.51 | |
| 85.97 | 75.91 | 71.11 | 21.96 | 44.40 | 26.03 | 57.33 | 44.59 | ||
| 34.3.3 | Subtotal | 0.06 | 61.43 | 408.85 | 272.54 | 50.23 | 7.38 | 32.85 | 109.22 |
| 0.14 | 13.94 | 36.07 | 25.27 | 18.95 | 6.65 | 52.48 | 36.68 | ||
| 250–499.99 | 0.06 | 39.27 | 303.73 | 251.89 | 38.04 | 6.58 | 32.85 | 95.40 | |
| 0.14 | 10.58 | 35.52 | 33.00 | 27.39 | 7.88 | 52.48 | 57.43 | ||
| 500–999.99 | - | 22.16 | 105.12 | 20.65 | 12.19 | 0.80 | - | 13.82 | |
| - | 31.81 | 37.76 | 6.55 | 9.66 | 2.91 | - | 10.50 | ||
| Statistical Division | Vessel size class (GT) | 1977 | 1978 | ||||||
|---|---|---|---|---|---|---|---|---|---|
| 1st quar. | 2nd quar. | 3rd quar | 4th quar. | 1st quar. | 2nd quar. | 3rd quar. | 4th quar. | ||
| Catch (t) | 95.26 | 375.76 | 400.83 | 260.47 | 437.67 | 496.25 | 315.09 | 296.48 | |
| 34.3.1 | Total cpue (kg/h) | 7.32 | 22.36 | 24.76 | 14.66 | 20.57 | 20.26 | 17.81 | 20.79 |
| Subtotal | 81.02 | 255.65 | 60.08 | 85.93 | 400.72 | 495.34 | 307.22 | 254.22 | |
| 6.44 | 20.61 | 12.38 | 12.29 | 21.51 | 21.18 | 18.00 | 22.52 | ||
| 250–499.99 | 70.67 | 190.87 | 44.85 | 47.72 | 306.88 | 364.04 | 295.03 | 225.00 | |
| 7.72 | 22.98 | 13.29 | 11.97 | 18.83 | 18.62 | 17.93 | 21.63 | ||
| 500–999.99 | 10.35 | 64.78 | 15.23 | 38.21 | 93.84 | 131.30 | 12.19 | 29.22 | |
| 3.02 | 17.12 | 10.30 | 12.72 | 40.21 | 34.22 | 19.72 | 32.98 | ||
| 34.3.3 | Subtotal | 14.24 | 120.11 | 340.75 | 174.54 | 36.95 | 0.91 | 7.87 | 42.26 |
| 32.14 | 27.25 | 30.06 | 16.19 | 13.94 | 0.82 | 12.57 | 14.19 | ||
| 250–499.99 | 14.24 | 116.22 | 239.82 | 163.53 | 36.95 | 0.91 | 7.87 | 42.26 | |
| 32.14 | 31.32 | 28.05 | 21.43 | 26.60 | 1.09 | 12.57 | 25.44 | ||
| 500–999.99 | - | 3.89 | 100.93 | 11.01 | - | - | - | - | |
| - | 5.58 | 36.25 | 3.49 | - | - | - | - | ||

Fig. 1 Trends of catch and number of vessels for Korean trawl fishery in the CECAF area, 1966-1978

| 1 CUTTLEFISHES | 4 FLOUNDERS | 7 CROAKERS | 10 SHRIMPS AND PRAWNS |
| 2 OCTOPUES | 5 SQUIDS | 8 TONGUEFISHES | 11 CODES |
| 3 SEABREAMS | SOLES | 9 HORSE MACKEREL |
Fig. 2 The species compositions of two-year catches by Korean trawlers in two CECAF Statistical Divisions

Fig. 3 Quarterly changes of cpue by tonnage and by Statistical Division for Korean trawl fishery in two CECAF Statistical Divisions, 1977–1978

Fig. 4.1 Quarterly changes of cpue by tonnage and by Statistical Division for cuttlefishes in the Korean trawl fishery in two CECAF Statistical Divisions, 1977-1978

Fig. 4.2 Quarterly changes of cpue by tonnage and by Statistical Division for octopuses in the Korean trawl fishey in two CECAF Statistical Divisions, 1977-1978

Fig. 4.4 Quarterly changes of cpue by tonnage and by Stistical Division for flounders in the Korean trawl fishery in two CECAF Statistical Divisions, 1977-1978

Fig. 5 Distribution of cpue by Korean trawlers in two CEAF Statistical Divisions in 1977

Fig. 6 Disitribution of cpue by Korean trawlers in two CECAF Statistical Divisions in 1978

Fig. 7 Disitribution of cpue for cuttlefishes by Korean trawlers in two CECAF Statistical Divisions in 1977

Fig. 8 Disitribution of cpue for cuttlefishes by Korean trawlers in two CECAF Statistical Divisions in 1978

Fig. 9 Disitribution of cpue for octopuses by Korean trawlers in two CECAF Statistical Divisions in 1977

Fig. 10 Disitribution of cpue for octopuses by Korean trawlers in two CECAF Statistical Divisions in 1978

Fig. 11 Disitribution of cpue for seabreams by Korean trawlers in two CECAF Statistical Divisions in 1977

Fig. 12 Disitribution of cpue for seabreams by Korean trawlers in two CECAF Statistical Divisions in 1978

Fig. 13 Disitribution of cpue for flounders by Korean trawlers in two CECAF Statistical Divisions in 1977

Fig. 14 Disitribution of cpue for flounders by Korean trawlers in two CECAF Statistical Divisions in 1978
