Comme on l'a mentionné dans le texte de ce chapitre, en utilisant le tableau de flux de valeurs comme base de calcul pour la valeur nette actualisée (VNA) et le taux de rentabilité économique (TRE), l'analyste évite la nécessité de formules d'actualisation et d'intérêts composés autres que la formule simple de valeur actualisée. En certaines occasions, cependant, il pourra trouver commode d'utiliser d'autres formules, toutes dérivées de la formule générale, qui lui permettront de calculer en une seule opération les valeurs actuelles de séries de paiements annuels ou périodiques égaux, ou encore un équivalent annuel pour une valeur actuelle ou future (par exemple losqu'il veut calculer un prix de location équivalant à un prix d'achat donné).
1. Calcul de la valeur actuelle d'une série périodique de paiements égaux
Le tableau A.6.1 résume les principales formules requises pour calculer les valeurs actuelles et futures de paiements annuels et périodiques (coûts ou bénéfices). La valeur actualisée calculée à l'aide de ces formules est exprimée par rapport à une année (ou autre période) avant l'année (ou autre période) où est effectué le premier paiement. Par conséquent, l'analyste doit s'assurer de faire une correction appropriée d'actualisation ou d'intérêts composés s'il veut ramener la valeur actuelle à une année ou période différente. L'application de cette formule est illustrée ci-dessous.
Valeur actuelle de paiements annuels égaux
Supposons une situation dans laquelle on a une redevance annuelle de 12 $ pour l'entretien d'une plantation, partant du début de l'année 2 (la troisième année) du projet et se poursuivant jusqu'à l'année 15 incluse. Il y aura donc (15 - 2) + 1 = 14 paiements égaux de 12 $. Comment calculer la valeur actuelle de cette série de paiements, si le taux d'actualisation est de 8 pour cent?
Tout d'abord, en appliquant la formule appropriée du tableau A.6.1 (formule 1 pour un nombre fini de paiements), on obtient le résultat suivant:

On a ainsi la valeur actuelle à l'année 1 des 14 paiements débutant à l'année 2.
En actualisant ensuite cette valeur (99 $) pour la ramener une année en arrière (99 $: 1,08), on obtient la valeur actualisée à l'année 0, qui est de 91,60 $.
Cette formule peut être utile si, par exemple, l'analyste veut comparer les valeurs actuelles de deux séries possibles de coûts annuels égaux. Supposons qu'une plantation forestière puisse être aménagée selon deux modalités possibles, l'une comportant quatre coûts égaux de 30 $/ha pour les années 1 à 4, et l'autre dix coûts égaux de 10 $/ha pour les années 2 à 11. La valeur actuelle à l'année 0 pour la première formule serait (avec un taux de 8%):

(On sera déjà ramené à l'année 0 puisque les paiements débutent à l'année 1). Pour la deuxième formule, la valeur actuelle à l'année 0 se calculera comme suit:


L'analyste peut ainsi voir qu'en valeur actualisée la deuxième option procure le coût le plus bas, si l'on suppose que le taux d'actualisation approprié est de 8 pour cent.
Valeur actuelle d'une série de paiements périodiques égaux
Si les paiements (coûts ou bénéfices) ont lieu toutes les t années au lieu d'être annuels, pendant une durée déterminée, on pourra pour calculer les valeurs actualisées utiliser les formules 5 et 6 du tableau A.6.1. Par exemple, supposons le cas d'une fertilisation appliquée à un peuplement tous les cinq ans, débutant dans cinq ans à partir de maintenant et se poursuivant pendant toute la révolution de 50 ans sauf à l'année 50. Cela signifie qu'il y aura neuf applications égales débutant à l'année 5 et cessant à l'année 45. Supposons que le coût de chaque apport d'engrais soit estimé à 20 $/ha. Comment la valeur actuelle de ces paiements sera-t-elle estimée? Nous voyons dans le tableau A.6.1 que pour un nombre fini de paiements périodiques c'est la formule 5 qui s'applique. La valeur actualisée sera calculée comme suit, en supposant un taux d'actualisation de 8 pour cent, avec t = 5 et n = 9:

S'il y avait également une application d'engrais à la plantation, il faudrait en ajouter le coût à la valeur actualisée obtenue ci-dessus. L'utilisation la plus courante en économie forestière de formules de calcul de la valeur actuelle d'une série de paiements périodiques égaux est le calcul d'espérance de valeur du sol, qui est expliqué et illustré ci-dessous.
Espérance de valeur du sol (EVS). L'EVS fournit une estimation de la valeur actuelle du sol qui serait reboisé et produirait un nombre infini de revenus nets de R $ toutes les r années (r étant la durée de la révolution).
Pour estimer l'EVS, on calcule le bénéfice net R de la production forestière à la fin de la première révolution, sans prendre en compte le coût actuel du sol, et ensuite on calcule la valeur nette actualisée d'une série future de bénéfices nets de R $, en partant de R $ reçus à la fin de la première révolution. Supposons par exemple une plantation forestière dont les données sont les suivantes:
|
Coût de plantation |
250 $ |
|
Révolution |
11 ans |
|
Frais annuels |
10 $ débutant dans un an à partir de maintenant |
|
Valeur des bois sur pied à la fin de la révolution |
1 000 $ |
|
Taux d'actualisation |
8 pour cent |
La valeur actualisée du coût de plantation à la fin de la première révolution (année 11) est:

La valeur actualisée à l'année 10 des dix coûts annuels égaux (10 $ par an entre les années 1 et 10 incluses) peut être calculée à l'aide de la formule 2 du tableau A.6.1:

à quoi il faut appliquer un intérêt composé pour une année de plus:

Par conséquent, les coûts totaux actualisés à la fin de la première révolution (année 11) seront de 583 + 157 = 740 $, et les bénéfices nets à l'âge d'exploitation seront de 1 000 - 740 = 260 $.
La valeur actuelle d'une série infinie de paiements de 260 $ reçus tous les 11 ans, qui est l'espérance de valeur du sol pour ce choix d'aménagement forestier, peut être calculée à l'aide de la formule 5 du tableau A.6.1, pour un nombre infini de périodes:

Que signifie cette EVS de 195 $? Elle a plusieurs significations. Le plus souvent, elle est utilisée en économie forestière pour déterminer quel montant peut être payé pour un terrain pour que la valeur actualisée des coûts soit égale à celle des bénéfices, avec un taux d'actualisation (ou taux d'intérêts composés) de i (dans ce cas 8%). D'une manière plus générale, elle indique la valeur actualisée de la capacité productive de la terre, compte tenu des valeurs admises et de l'hypothèse que la terre continuera à produire du bois à perpétuité au même rythme.
2. Formules d'équivalence annuelle
Les formules 3 et 4 du tableau A.6.1 servent à calculer les équivalents annuels de montants donnés de la valeur actuelle des coûts et bénéfices. Ces formules ne sont autres que l'inverse des formules 1 et 2. Supposons, par exemple, que l'on veuille comparer deux programmes possibles d'incitations aux reboisements fermiers. L'une des modalités consiste à donner aux agriculteurs une somme globale de 100 $ aujourd'hui, et l'autre modalité considérée est de leur faire cinq paiements égaux répartis sur cinq ans, débutant dans un an à partir de maintenant. Pour que cette dernière incitation soit efficace, le total des montants annuels devrait équivaloir à 100 $ de valeur actuelle, en appliquant un taux d'actualisation qui convienne aux agriculteurs. Dans ce cas il est supposé être élevé - 30 pour cent -, étant donné qu'ils attribuent à un revenu immédiat une valeur bien plus grande qu'à un revenu futur. Pour déterminer le montant des paiements annuels nécessaires, on applique la formule 3 pour un nombre fini de paiements. Le montant annuel qui devra être payé, débutant dans un an à partir de maintenant, pour que les agriculteurs soient indifférents à toucher 100 $ maintenant ou les cinq paiements équivalents, sera:

En d'autres termes, étant donné le taux d'actualisation qui leur convient (ou le taux d'équilibre entre revenus immédiats et futurs), il faudrait qu'ils touchent 41 $ par an pendant cinq ans pour que les deux formes de paiement leur soient indifférentes.
Tableau A.6.1 Formules de paiements annuels et périodiques
|
|
(1) |
(2) |
|
|
Les paiements commencent dans un an (ou autre période) à partir de maintenant |
|
|
|
Nombre fini de paiements |
Nombre infini de paiements |
|
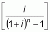
1. Facteur d'actualisation de paiements annuels |
|
|
|
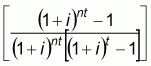
2. Facteur d'intérêts composés de paiements annuels |
|
S.O. |
|
3. Facteur de recouvrement annuel de capital |
|
S.O. |
|
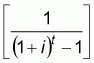
4. Facteur de fonds d'amortissement annuel |
|
S.O. |
|
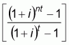
5. Facteur d'actualisation de paiements périodiques |
|
|
|
6. Facteur d'intérêts composés de paiements périodiques |
|
S.O. |
i = taux d'actualisation (ou d'intérêts composés) sous forme décimale
n = nombre d'années ou de périodes jusqu'au dernier paiement, débutant dans un an à partir de maintenant
t = nombre d'années séparant des paiements périodiques