Diverses calculatrices relativement peu coûteuses contiennent des programmes (ou peuvent être programmées) pour les calculs de taux de rentabilité, cependant l'analyste peut rencontrer des situations dans lesquelles le calcul du TRE doit s'appuyer sur des méthodes plus rudimentaires. Il n'y a pas de formule pour calculer le TRE lorsqu'il y a plus d'un coût ou bénéfice en jeu. Il faudra par conséquent utiliser une technique de calcul par tâtonnement. La méthode est la suivante:
1. Tout d'abord, calculer une VNA en utilisant un taux d'actualisation que l'on estime être voisin du TRE attendu. Si cette VNA est négative, le TRE doit être inférieur au taux d'actualisation utilisé. Si elle est positive, le TRE doit être plus élevé que le taux d'actualisation adopté.
2. Si la première VNA calculée est négative, réduire le taux d'actualisation jusqu'à un point où la VNA est positive - et vice-versa si la première VNA calculée est positive. Le TRE doit maintenant être intermédiaire entre les deux taux d'actualisation utilisés pour obtenir les valeurs nettes actualisée positive et négative.
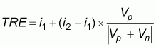
3. Estimer le TRE en utilisant la formule suivante:
dans laquelle
i1 = taux dactualisation bas
i2 = taux dactualisation haut
Vp = valeur nette actualisée positive
Vn = valeur nette actualisée négative
4. Répéter les étapes (1) à (3) pour un résultat plus précis, si besoin est.
L'exemple suivant, qui utilise les chiffres du projet de reboisements fermiers aux Philippines, illustre l'emploi de cette technique.
Le tableau B.6.1 indique dans la rangée 1 les bénéfices (coûts) nets de ce projet (voir tableau 6.1). La deuxième rangée indique la valeur actuelle de chaque flux annuel actualisé avec un taux de 20 pour cent. La VNA, en utilisant ce taux d'actualisation, est positive et égale à 4 638 P, et par conséquent le TRE doit être supérieur à 20 pour cent. Une nouvelle tentative d'actualisation avec un taux de 30 pour cent a fourni une VNA encore positive, égale à 453 P. On a en conséquence essayé un taux d'actualisation encore plus élevé de 35 pour cent, qui a fourni une VNA négative de - 543 P. Le TRE doit donc se situer entre 30 et 35 pour cent. En utilisant la formule de l'étape (3) ci-dessus, le TRE de ce projet est estimé comme suit:

Ce résultat est arrondi à 32 pour cent.
Une nouvelle interpolation à partir d'une fourchette plus étroite de 31 et 33 pour cent aurait fourni des VNA égales respectivement à 215,6 P et - 198,5 P. En utilisant ces deux nouvelles valeurs, on aurait trouvé un TRE estimé de 32,04 pour cent. Mais étant donné que le résultat est arrondi à l'unité la plus proche, cet affinement supplémentaire est inutile.
Tableau B.6.1 Calcul du TRE - projet Philippines
| |
Année |
|||||||||||||||
|
0 |
1 |
2 |
3 |
4 |
5 |
6 |
7 |
8 |
9 |
10 |
11 |
12 |
13 |
14 |
15 |
|
|
1. Bénéfices (coûts) netsa |
(1163) |
(1163) |
(1163) |
(1163) |
(100) |
(100) |
(100) |
5286 |
5887 |
5887 |
6523 |
6523 |
7147 |
7147 |
7759 |
5887 |
|
2. Valeur actuelle des bénéfices (coûts) nets actualisés à 20% |
(1163) |
(969) |
(808) |
(673) |
(48) |
(40) |
(34) |
1475 |
1369 |
1141 |
1054 |
878 |
802 |
668 |
604 |
382 |
|
3. Valeur actuelle des bénéfices (coûts) nets actualisés à 30% |
(1163) |
(895) |
(688) |
(529) |
(35) |
(27) |
(21) |
842 |
722 |
555 |
473 |
364 |
307 |
236 |
197 |
115 |
|
4. Valeur actuelle des bénéfices (coûts) nets actualisés à 35% |
(1163) |
(861) |
(638) |
(472) |
(30) |
(22) |
(16) |
647 |
534 |
395 |
324 |
240 |
195 |
144 |
116 |
64 |
a Tiré du tableau 6.1.