Previous Page Table of Contents Next Page


La production porcine au Viet Nam et son amélioration


Les systèmes de production au Viet Nam
Les races porcines vietnamiennes
Réflexions et suggestions
Conclusion

Molenat et Tran The Thong

Adresse de M. M. Molenat: INRA-CRJ, 78352 Jouy-en-Josas CEDEX (France) Adresse de M. Tran Thé Thong: Institut des sciences agronomiques du Sud Viet Nam, 121 Nguyen Binh Khiem, Hô Chi Minh-Ville (Viet Nam).

Dans la plupart des pays d'Asie du Sud-Est, le porc joue un grand rôle social. Fournisseur de viande et de graisse, source d'épargne, producteur de fumier' objet de tractations' il intervient à tous les échelons de la société rurale, Dans les lignes qui suivent, on brosse un tableau de l'élevage porcin au Viet Nam en insistant sur l'élevage familial et sur les races exploitées avec quelques réflexions sur son avenir.

L'élevage familial au Viet Nam représente de 80 à 90 pour cent de la production nationale et assure un revenu important à la cellule familiale, qui utilise à cet effet plusieurs races locales que l'on décrira rapidement. Quelques paramètres de production et de reproduction seront également fournis.

Les systèmes de production au Viet Nam

Selon les statistiques officielles, les effectifs étaient de 13 millions de porcs de plus de deux mois en 1989 (contre 8,8 millions en 1975), soit une croissance régulière de 3 à 4 pour cent par an.

Primauté de l'élevage familial

Les troupeaux de l'Etat, des provinces, des districts et des coopératives sont de type industriel, dont le mode de conduite ne s'écarte pas tellement des systèmes connus. Par contre, l'élevage familial - qui représente de 80 à 90 pour cent de la production nationale - est rarement décrit. Aussi lui consacrerons-nous un certain développement. Cet élevage est plein d'imagination et assure un revenu important à la famille, comme le montrent les témoignages suivants: «Une partie de la surface de la mare est réservée à un radeau de bambous rempli de terre où l'on plante des patates douces. Chaque jour, à l'aube, à midi, à la tombée du jour, les membres de la famille cherchent aussi à procurer de la nourriture aux cochons»... «Les enfants, en dehors des heures d'école, glanent des fanes de patate douce dans les champs après la récolte. Ils n'oublient pas de ramasser aussi des escargots, qu'ils font cuire pour donner aux porcs. Ce travail est devenu une habitude et un plaisir pour tous les membres de la famille»... «Ma maison de bois était rongée par les termites. J'ai emprunté à la banque pour l'achat d'un porcelet et d'une partie de sa nourriture. J'ai aménagé un petit coin dans la cour. Après quatre mois et demi d'engraissement, j'ai vendu mon porc, ce qui m'a permis d'acheter quatre porcelets. Après chaque vente de porcs engraissés, j'achetais à la fois des porcelets, de l'aliment, ciment et des parpaings. Pendant trois ans, j'ai conduit parallèlement mon élevage et la construction de ma maison. Aujourd'hui, je ne crains plus les termites»...

Association élevage porcin-pisciculture - Association of pig production with aquaculture - Asociación de la cría de cerdos con la piscicultura

Principales races locales vietnamiennes - Principal Vietnamese breeds - Principales razas locales vietnamitas

Verrat Large White demi-européen. Le sperme de verrats entretenus dans un centre d'insémination artificielle français a été utilisé sur des femelles Large White du Viet Nam - Large White Demi-European boar. Boar sperm from a French artificial insemination centre was used on Large White sows from Viet Nam - Verraco grande blanco semieuropeo. Se ha utilizado el esperma de verracos en un centro de inseminación artificial francés con hembras Large White de Viet Nam

1. Résultats zootechniques de truies de races importées cantons de Hô Chi Minh-Ville, Dong Nai p. Song Be - Performances of imported sow breeds in the cantons of Ho Chi Minh City, Dong Nai and Song Be - Resultados zootécnicos registrados en los cantones de Ho Chi-Minh-Ville, Dong-Nai y Song Be con cerdas de razas importadas

2 Caractéristiques des éjaculats de verrats de races importées et de quelques races locales

Characteristics of ejaculates of imported and local boar breeds

Características del semen eyaculado por verracos de razas importadas y algunas razas locales

Race

Volume de l'éjaculat (cm3)

Concentration (106 spermatozoïdes/cm3)

Nombre de spermatozoïdes/éjaculat (109)

Large White russe

230

230

40-60

Large White allemand

150

190

30-50

Large White demi-européen

270

180

40-60

Berkshire

280

270

60-80

Landrace

210

270

50-70

Cornwall

160

370

50-60

Duroc

270

200

50-70

i

100-120

20-40

2-4

Mong Caï

100-150

40-50

4-6

Ba Xuyen

100-150

100-150

15-20

Thuoc Nhieu

Autour de 100

150-200

15-20

3. Caractéristiques des animaux de races Mong Caï et Co

Characteristics of Mong Caï and Co breeds

Comparación de las características de los animales de las razas Mong Caï y Co

Nombre de portées

Mong Caï (391 sujets)

Co (2101 sujets)

Age au premier oestrus (jours)

160

135

Nés vivants

11,9

7,6

Sevrés

9,85

7,5

Poids à 45 jours (kg)

4,3

3,8

Poids à 180 jours (kg)

38,7

14,3

Poids à 300 jours (kg)

57,0

31,9

Rendement

75,3

75,5

Pourcentage de muscle

39,6

50,0

Pourcentage de gras

33,8

29,0

Pourcentage d'os

12,8

8,7

Pourcentage de peau

12,0

10,5

Indice de consommation

5,5

7,5-8,0

4. Exemple de plan de rationnement pour porcs de 20 à 60 kg

Example of a ration plan for pigs weighing 20 to 60 kg

Ejemplo de plan de racionamiento para cerdos de 20 a 60 kg

Poids des porcs (kg)

Ration de base1 (kg)

Concentré azoté P2 (kg)

20

1,000

0,340

30

1,300

0,360

40

1,650

0,375

50

2,000

0,390

60

2,300

0,400

1 Son de riz: 3/4; mais: 1/4.
2 Soit une boîte tarée à 375 g. donnée à peine remplie en début d'élevage et très
remplie en fin d'élevage.

La motivation revêt parfois un caractère traditionnel. Pendant les fêtes du Têt, il faut manger de la viande: c'est une promesse de prospérité future. On tue donc un porc. Dès la fête finie, on achète un nouveau porcelet, et tout au long de l'année on l'élève pour les réjouissances du Têt à venir.

L'élevage du secteur privé est le principal fournisseur de viande de l'Etat. Le fumier qu'il procure est indispensable à la culture du riz, car l'Etat ne pourrait pas importer tous les engrais chimiques nécessaires. Certains éleveurs disent même n'avoir un cochon que pour le fumier qu'il produit. Les risques liés à la pathologie, aux aléas alimentaires pèsent moins à l'Etat s'ils sont répartis sur une multitude de foyers qui élèvent chacun de un à trois porcs. Les responsables techniques et politiques sont fiers de l'élevage familial et n'hésitent pas à faire visiter aux étrangers ces élevages de un ou deux porcs à l'engrais et d'une ou deux truies en reproduction.

L'alimentation, peu coûteuse, est très varice. Pour l'alimentation de leurs porcs, les éleveurs familiaux utilisent le riz, le son de riz, les restes de l'alimentation humaine, les produits de récupération ainsi que des végétaux de toutes espèces: liseron d'eau, lentilles d'eau, jacinthes d'eau, igname, taro, manioc, pommes de terre, feuilles de patate douce, amarantes, etc.; enfin, il n'est pas rare que les familles achètent certains aliments pour leurs porcs.

Dans les élevages hors sol, l'alimentation est rationnelle, mais il est fréquent de rencontrer des installations disproportionnées à l'effectif qu'elles abritent. Dans un pays aux ressources alimentaires limitées, les grandes concentrations d'animaux ne sont pas toujours viables. Les Vietnamiens en ont fait l'expérience et réagissent sainement.

Cet élevage familial est organisé: «Dans notre canton, les rôles sont bien distribués. Il y a les naisseurs qui élèvent une ou deux truies pour vendre les porcelets, les engraisseurs qui achètent les porcelets à 10 kg pour les amener à 70-80 kg, les verratiers qui promènent leurs verrats de ferme en ferme. Il y a même des éleveurs qui achètent des porcelets au sevrage pour les revendre aux engraisseurs à 25-30 kg».

Toutefois, rôles bien distribués ne signifie pas situation figée. «J'ai commencé par élever quelques animaux de 10 à 30 kg; ça ne rapportait pas beaucoup, mais la mise de fond était modique. Petit à petit, j'ai pu disposer de ressources supplémentaires, et aujourd'hui je suis naisseur.»

Des circuits commerciaux se sont mis en place de longue date. «Je vends mes porcelets à mes voisins mais, quelquefois, je dois en conduire au marché.» «En fin d'engraissement, le porc est acheté au paysan, transporté jusqu'à un abattoir, tué, et les carcasses sont vendues à un grossiste ou à un détaillant. Un rabatteur peut intervenir, qui repère les animaux et prépare la tournée de l'acheteur. »

Ce circuit peut être très simplifié: «Deux fois par semaine, j'achète un cochon à un éleveur, je le tue à l'abattoir municipal, je le ramène à la maison. En famille, nous pratiquons la découpe et ma femme vend les pièces au marché.»

Le circuit commercial peut aussi être assuré par la coopérative.

Le système VAC

L'association élevage porcin-poissons est une constante en Asie du Sud-Est. La figure 1 schématise l'installation réalisée au kolkhoze de Song Hau dans le delta du Mékong. Une variante, qui associe poisson, porc et jardin, est appelée VAC. Le fumier fertilise le jardin, les urines vont dans la mare, où elles provoquent le développement d'une microflore et d'une microfaune dont se nourrissent les poissons.

Complémentarité de l'élevage familial et de l'élevage industriel

Une ferme de district élève 500 truies, les jeunes porcs obtenus sont distribués aux foyers pour l'élevage du secteur privé en fonction de la quantité de viande que la famille fournit à l'Etat.

Aujourd'hui, le Viet Nam fait de l'exportation de carcasses de porc un objectif prioritaire. Les carcasses fournies par les élevages familiaux sont de qualité insuffisante. Certaines initiatives consistent à faire naître dans des élevages industriels des porcelets de types génétiques appropriés, puis à passer des contrats avec les familles pour l'engraissement des animaux. La coopérative récupère ensuite les porcs afin de les abattre et de les conditionner pour l'exportation.

Pathologie

L'état sanitaire est très hétérogène: hétérogénéité entre élevages (certains ont un suivi rigoureux, d'autres «laissent aller») et hétérogénéité intra-élevage. Il n'est pas rare de trouver dans le même élevage des portées irrégulières, des truies en mauvais état et d'autres en parfait état, des porcelets qui paraissent en excellente santé et d'autres qui portent de nombreuses lésions. La pathologie semble être une pathologie classique syndrome de la truie maigre, diarrhée blanche des porcelets, peste porcine classique, maladie d'Aujeszky -, à laquelle s'ajoute un parasitisme important.

Les problèmes sanitaires ne se limitent pas à l'élevage. On les retrouve en aval. Ainsi, des normes sanitaires rigoureuses sont quasiment impossibles à obtenir dans les abattoirs, qui sont dans l'ensemble de conception très ancienne et exigeraient des rénovations importantes.

Installations et conduite

Les fermes d'Etat et les élevages coopératifs disposent de bâtiments en dur (briques, ciment, parpaings), très largement aérés, avec une partie abritée et une courette extérieure. Les installations familiales sont plus sommaires. Des matériaux très variés sont utilisés: briques, parpaings, bois, tôles récupérées sur les pistes désaffectées des aéroports, bambous, etc. L'imagination ne fait pas défaut. C'est ainsi que dans les zones inondables du delta du Mékong les éleveurs confectionnent des loges sur pilotis qui permettent aux animaux de passer la saison des pluies sans encombre.

Schéma de création des races Ba Xuyen et Thuoc Nhieu - The creation of Ba Xuyen and Thuoc Nhieu breeds - Esquema de cruzamiento para la obtención de las razas Ba Xuyen y Thuoc Nhieu

Verratier amenant un verrat Thuoc Nhieu à la saillie. Aider les verratiers à acheter des reproducteurs de grande qualité peut être très bénéfique - A Thuoc Nhieu service boar. Assisting pig producers in the purchase of high-quality breeders can have beneficial results - Conducción de un verraco Thuoc Nhieu para la monta. La ayuda a quienes mantienen verracos para la compra de reproductores de gran calidad puede ser muy beneficiosa

Truie Ba Xuyen. La race est issue du croisement races locales x race améliorée suivi de sélection - Ba Xuyen sow, a cross between local and improved breeds followed by selection - Cerda de raza Ba Xuyen. Esta raza procede del cruzamiento de razas locales mejoradas, seguido de selección

Les animaux sont, dans l'ensemble, très bien conduits, tranquilles. Il est fréquent de voir procéder à l'arrosage des reproducteurs (spécialement pour les races importées qui supportent plus difficilement les fortes températures). Le management est souvent assuré par des femmes.

Le sevrage s'effectue en général vers l'âge de deux mois, à des poids moyens de 5-6 kg pour les races locales et de 8 à 15 kg pour les races importées. On castre les verrats à quelques jours et les femelles vers 34 mois. Cette règle n'est pas immuable. Des éleveurs familiaux ne prennent pas le risque de pertes à la castration. Ils vendent tous leurs porcelets entiers, laissant le soin à l'engraisseur de procéder à la castration. Dans certaines zones du delta du Mékong, le sevrage précoce (avant six semaines) est pratiqué de longue date.

Carcasses

Dans les élevages de l'Etat et de certaines coopératives, le poids d'abattage des animaux augmente, pour atteindre 90-100 kg en vif. Le porc traditionnel, lui, est abattu loger pour donner des carcasses de 50 kg environ avec une viande colorée et une graisse molle. La viande des races locales est particulièrement appréciée; son goût excellent serait lié à une texture différente de celle des races importées.

L'un des objectifs des autorités vietnamiennes est d'accroître le poids moyen d'abattage des animaux après amélioration de l'alimentation et rationalisation de la conduite des élevages individuels. L'évolution constatée au cours de la dernière décennie dans de nombreuses provinces montre que cet objectif se réalise petit à petit.

Les races porcines vietnamiennes

L'étranger est frappé par la multitude des types génétiques rencontrés: races locales, races importées, croisements, ce qui conduit à une véritable mosaïque (figure 2).

Races importées

Citons les races Large White Yorkshire, Landrace, Duroc, Cornwall et Berkshire. D'autres races sont présentes avec des effectifs très réduits: Middle White, Poland China, Hampshire, Lacombe. Le Piétrain et le Landrace Belge ont également fait leur apparition. (Voir figure 3.)

Comparées aux races locales, les races étrangères offrent une vitesse de croissance nettement supérieure et une carcasse beaucoup moins grasse. Ces qualités sont particulièrement appréciées en élevage industriel.

Par contre, dans les élevages familiaux, on prétend que les races importées posent de nombreux problèmes du point de vue de l'alimentation, de la santé, de la

reproduction, du comportement et de la rusticité. (Voir tableaux 1 et 2.)

Races locales de format intermédiaire

Le delta du Mékong est un des plus grands greniers d'Asie du Sud-Est; le riz, le porc et les volailles (poulets et surtout canards) sont les productions vitales du pays. Les éleveurs de porcs exploitent essentiellement la race Yorkshire et deux races locales: Thuoc Nhieu (environ 500 000 animaux) et Ba Xuyen (300 000 sujets). La figure 4 montre l'évolution du type local vers deux populations distinctes et nettement améliorées.

Thuoc Nhieu. C'est un porc blanc de taille moyenne (120-160 kg à l'âge adulte), à petites oreilles dressées et légèrement dirigées vers l'avant, tête moyenne, face droite, groin de longueur moyenne, pattes courtes, corps allongé, dos légèrement ensellé, en particulier chez les adultes (figure 5).

Ba Xuyen. C'est un porc à robe pie-noire. Sur les taches, il y a une irisation de couleur rousse. Les taches blanches et noires se répartissent sur tout le corps. Les pattes sont blanches. L'adulte atteint le poids de 120-150 kg (figure 6).

Les truies des deux races ont une puberté relativement tardive (vers 6-7 mois) et présentent des particularités intéressantes: œstrus pouvant se manifester pendant la lactation (on note en race Thuoc Nhieu des œstrus 10 à 30 jours après la mise bas); grande variabilité des caractères (cycles d'œstrus de 18 à 21 jours, durée de l'œstrus de 2 à 6 jours, durée de gestation de 108 à 120 jours en race Thuoc Nhieu, 115 jours avec un écart type de cinq jours en race Ba Xuyen, durée de gestation croissante avec l'âge). La prolificité de ces races est moyenne, avec de 8 à 10 porcelets par portée à la naissance. La croissance est correcte, mais la carcasse ne donne pas toujours satisfaction si l'on recherche du maigre.

Races locales de petite taille

Race i. C'est la race dominante du delta du fleuve Rouge avec environ 2,5 millions de sujets. C'est un porc noir, de petite taille (de 90 à 100 kg au stade adulte). Le mâle est plus petit que la femelle (figure 7).

La race est remarquable par sa précocité sexuelle. Chez la femelle, les premières chaleurs apparaissent vers 3-4 mois, au poids de 15-20 kg. Elles durent de trois à huit jours, et la durée du cycle varie de 17 à 23 jours. Les femelles sont généralement saillies à 7-8 mois, au poids de 30-40 kg. Le nombre de tétines est faible (10,7 en moyenne).

Dès 90 jours, le verrat est pubère. A l'âge adulte, il donne un éjaculat de 2 à 4 milliards de spermatozoïdes (de 30 à 40 fois moins qu'un éjaculat moyen de verrat de race exotique). L'appareil génital mâle est peu apparent. La prolificité de la race est excellente, sans atteindre toutefois le niveau exceptionnel de certaines races chinoises. Cependant, les porcelets accusent des poids très faibles: 450 g à la naissance et 4-5 kg à deux mois. Les animaux de race i ont une croissance lente (figure 8).

Les carcasses sont très grasses. (Il ne faut pas oublier que les hommes ont un besoin impératif de matières grasses d'origine animale lorsque leur alimentation est à base de riz.)

Races nouvelles DBi et BSi. Les performances de la race i paraissaient insuffisantes aux responsables politiques. Certains généticiens se sont attachés à créer des populations améliorées: la race DBi issue du croisement entre Large White et i; la race BSi issue du croisement entre Berkshire et i.

Race Mong Caï. C'est aussi une race porcine du Nord Viet Nam, mais moins répandue que la race i (500 000 sujets). Elle est de petite taille (de 100 à 120 kg au stade adulte), pie-noire, blanche, avec la tête, la croupe et le dos noirs. Le dos est souvent ensellé, le chanfrein moins cassé que chez la race i. Au stade adulte, la femelle est plus développée que le mâle.

Comme la race i, la race Mong Caï a une précocité sexuelle remarquable: la femelle est pubère vers 2-3 mois et le mâle souvent avant deux mois. Les femelles ont 14 tétines en moyenne. Leur prolificité est excellente (figure 9). Les porcelets pèsent 0,6-0,7 kg à la naissance et 6-7 kg à deux mois. Vers l'âge de 10 mois, les valeurs indiquées sont très variables selon les études (de 60 à 100 kg).

Les animaux Mong Caï semblent avoir un rendement à l'abattage supérieur à ceux de race i et donner une carcasse plus maigre. De nombreux responsables considèrent que le Mong Caï et ses croisements constituent les types génétiques de l'avenir pour le Viet Nam. C'est pourquoi la race fait l'objet d'études varices et est présente dans de nombreuses fermes d'Etat.

Race naine

Race Co. Autrefois très répandue dans tout le centre du Viet Nam, elle est aujourd'hui rejetée sur les hauts plateaux ou dans la montagne. Ce porc coureur, noir, vit en liberté (figure 10). Il trouve une partie de sa nourriture dans les bois et les fourrés. Très rustique, ce porc semble résister aux maladies, et sa viande est recherchée.

Autres races locales

Race sans poils de Tuy Hoa. L'embouchure de la rivière Song Ba est particulièrement riche. La population porcine locale est métissée, de couleur blanche, et présente une grande hétérogénéité dans les performances. Les éleveurs découvrent des animaux sans poils, ayant une bonne croissance s'ils sont bien nourris, mais sensibles à l'insolation. Ils les trient, les conservent et en font une spécialité locale. La réputation du porc sort des limites du district. On l'utilise en oubliant son mode d'emploi... et des problèmes se posent: peau crevassée, pustules, égratignures, etc.

Lang Hong. La race Lang Hong est souvent présentée comme une lignée de la race Mong Caï. Elle est pie-noire, mais les taches noires sont moins bien localisées que chez le Mong Caï. Une étude donne une prolificité nettement inférieure à celle du Mong Caï.

Ha Bac. Cette race élevée principalement dans la province de Ha Bac (moyenne région du Nord Viet Nam) est de petite taille; elle a la tête large, le dos ensellé, le ventre très développé. La femelle atteint 45 kg à huit mois et 75-80 kg à trois ans. Le nombre de tétines varie de 10 à 14. Autres caractéristiques: âge au premier œstrus: 3-4 mois; cycle œstral: 22-24 jours; durée de l'œstrus: 3-4 jours. Le mâle atteint seulement 20-25 kg à huit mois; l'âge à la première saillie est de cinq mois et la durée d'utilisation du verrat de 2-3 ans. Les caractéristiques du sperme sont proches de celles de la race i.

Pie-noire de Thai Binh. Cette race du delta du fleuve Rouge est caractérisée par son poil blanc avec de larges taches noires, sa petite taille, sa précocité sexuelle moyenne, son dos ensellé et son ventre très développé.

Il existe d'autres races locales, par exemple la Tong Con à la frontière chinoise, la Muong Khuong dans les montagnes du Nord Viet Nam, la Blanche de Nghia Binh dans le Viet Nam central (une variante noire existe également). Parfois, on appelle races nouvelles de simples variantes de coloration dans des populations connues.

Remarques sur les races exploitées

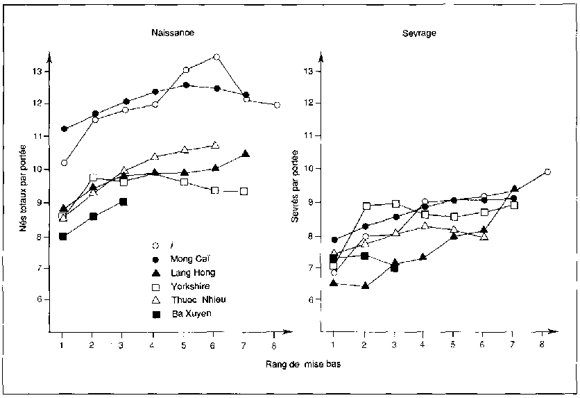
La figure 11 montre que l'excellente prolificité des races i et Mong Caï n'est pas exploitée. Un écart entre races de plus de trois porcelets à la naissance se traduit par une différence quasi nulle au sevrage. Le nombre de porcs sevrés s'accroît régulièrement avec l'âge de la truie. Les Vietnamiens ménagent leurs jeunes truies pour les conserver le plus longtemps possible.

Il n'y a pas d'études disponibles sur la longévité des truies, seulement des témoignages d'éleveurs du delta du fleuve Rouge, essentiellement de Mong Caï. Si un témoignage n'a pas de valeur en soi, il est cependant intéressant de noter que, sur 20 naisseurs soumis à une enquête dans le même district, neuf ont fourni des témoignages voisins: leurs truies en étaient à plus de 10 portées sans problèmes majeurs.

L'étendue de variation de certains critères de reproduction est plus surprenante. Il faut revenir à l'opinion sur la race Co, qui serait résistante à certaines maladies. Cette remarque demande vérification et mérite notre attention (voir plus loin «Elevage porcin et recherche»). L'adaptation au contexte local est un sujet à méditer. Il serait intéressant que tous les intervenants confrontent leurs opinions. Des idées nouvelles jailliraient, avec peut-être des propositions concrètes généralisables à la majorité des pays en développement où domine le petit élevage familial.

Utilisation des races

On constate une très grande diversité dans l'utilisation des types génétiques: utilisation en races pures, croisements entre races à grand format, croisements entre races locales et races à grand format, croisements d'absorption, de retrempe, simples, destinés à fabriquer de nouvelles races, etc. Le même programme peut utiliser à la fois races pures et croisements. La grande diversité des croisements montre que les Vietnamiens tiennent à exploiter les effets d'hétérosis.

7 Verrat de race i. Le mâle adulte est plus petit que la femelle - A boar of the i breed. The adult male is smaller than the female - Verraco de la raza i En esta raza, el verraco a adulto es de un tamaño más pequeño que la hembra adulta

8 Courbes de croissance observées en France et au Viet Nam - Growth patterns observed in France and Viet Nam - Curvas del crecimiento registradas en Francia y en Viet Nam

9 Truie Mong Caï et sa portée. Race très prolifique, elle n'atteint cependant pas le niveau de certaines races chinoises de la région du lac Taihu - A Mong Caï sow and her litter. The Mong Caï is very prolific, although not to the extent of some Chinese breeds in the Lake Taihu region - Cerda de raza Mong Caï y su camada Esta raza es muy prolífica, aunque no alcanza el nivel de determinadas razas chinas de la región del lago Taihu

10 Race naine Co ou race des plateaux. Les animaux vivent souvent en liberté - Dwarf Co of the plateau regions. This breed is often kept free range - Raza enana Co o raza de las mesetas Los animales viven a menudo en libertad

11 Evolution de la taille de portée en fonction du rang de mise bas dans les principales races utilisées au Viet Nam - Evolution of litter size in relation to the number of farrows of main breeds used in Viet Nam - Evolución del tamaño de la camada en relación a los partos en las principales razas que se emplean en Viet Nam

12 Une porcherie de coopérative. Elle produit des porcs améliorés, abattus au poids vif de 100 kg - A cooperative piggery that produces improved pigs with a slaughter liveweight of 100 kg - Porqueriza de una cooperativa Se producen cerdos de tipo mejorado, que se sacrifican con un peso de 100 kg

13 Marché aux porcs au Viet Nam - A pig market - Mercado de cerdos en Viet Nam

Programmes de sélection

Ils évoluent très rapidement depuis une dizaine d'années. A titre d'exemples, citons les programmes suivants:

· Races Yorkshire et Thuoc Nhieu du Sud Viet Nam: le concept du programme est résolument quantitatif, basé sur le contrôle individuel des verrats.

· Race Mong Caï: le programme a connu une transformation radicale en une décennie, passant d'une sélection basée essentiellement sur la croissance et la conformation à une sélection avec contrôle individuel et contrôle de la descendance.

· Race Ba Xuyen: assez hétérogène pour des effectifs réduits, la race est à la recherche d'un programme. Dans ces conditions, il n'est pas aisé de définir un programme applicable partout.

Réflexions et suggestions

Ces réflexions sont centrées sur le Viet Nam, mais elles sont sans doute transposables à d'autres situations et même à d'autres espèces.

Réflexions sur le court terme

En alimentation, le maître mot est «économiser». L'idée force est qu'il faut limiter les dépenses au niveau de l'éleveur et les importations au niveau national tout en améliorant les performances. Adapter les effectifs et mettre l'accent sur les périodes critiques de la vie de l'animal permettent d'optimiser l'utilisation des ressources alimentaires.

En reproduction, un relevé simplifié des résultats en élevage (dates de mise bas et de sevrage, nombre de porcelets à la naissance et au sevrage) peut être très efficace. L'analyse des données recueillies permet de caractériser chaque élevage sur un critère simple (par exemple le nombre de porcelets sevrés par truie et par an), de dispenser des conseils aux éleveurs qui ont fait l'objet des contrôles, et de montrer la voie aux responsables locaux qui semblent désemparés quant à la marche à suivre pour «faire» du développement auprès des petits élevages familiaux.

Le fichier disponible peut ensuite être utilisé pour des études plus prospectives: bilans, comparaisons de types génétiques, évolution des performances, analyse des effets (nombre de portées, saison, salinité des eaux, etc.), et mise en évidence de sujets remarquables.

En génétique, si la race locale se justifie quelquefois, on peut affirmer que, dans la majorité des cas, il est préférable de retenir un type génétique intermédiaire. La panoplie est grande: croisement simple, croisement rotatif, croisement alternatif qui permettent de tirer profit des effets d'hétérosis. La création de races nouvelles est une voie séduisante, mais il faut savoir arrêter le foisonnement de races et de lignées.

Pour la diffusion du progrès génétique, il faut privilégier la voie mâle: choix de bons verrats pour l'insémination artificielle, intervention sur la monte naturelle par des aides aux verratiers utilisateurs de reproducteurs qualifiés.

Parallèlement, d'autres actions sont à prévoir: élaboration de programmes sanitaires, construction d'abattoirs, d'usines d'aliments du bétail, organisation de la filière.

Elevage porcin et recherche

Il est souhaitable que les Vietnamiens réfléchissent à des recherches adaptées à leur pays et ne se limitent pas à reproduire les protocoles des pays industrialisés.

En alimentation, la formulation des rations en fonction des ressources disponibles et du matériel génétique utilisé fait partie des recherches à l'ordre du jour. D'autres thèmes peuvent être abordés, ayant comme objectifs d'optimiser des disponibilités financières limitées et non de rechercher les meilleurs résultats zootechniques. L'aptitude à valoriser des fourrages pondéreux peut être un sujet de recherche.

En reproduction, des résultats surprenants ont été relevés au cours de l'œstrus ou de la gestation: cycles œstraux de 17 à 24 jours, durée de l'œstrus de deux à six jours, œstrus fécondant pendant la lactation, gestations de 112 à 122 jours. S'agit-il de caractéristiques raciales ou de perturbations lices à l'environnement? Les deux probablement.

Pour des raisons pratiques évidentes, il est indispensable d'affiner ces connaissances. Ainsi, une saillie trop précoce conduit à des chutes de prolificité importantes dans le cas d'œstrus prolongé et de ponte ovulaire tardive.

En génétique, sans doute est-il prématuré de vouloir élaborer des programmes de sélection sur des critères que nous ne maîtrisons pas; par contre, il est urgent de faire le travail génétique d'approche, à savoir:

· recherche de critères spécifiques aux pays tropicaux;

· mise au point de méthodes d'appréciation et de mesure de ces critères;

· recueil des données et estimation des paramètres génétiques, notamment des niveaux des effets d'hétérosis en fonction des croisements effectués;

· études de rusticité, d'adaptation à l'environnement sanitaire, d'interaction génotypes-milieux en collaboration avec des pathologistes et des généticiens.

Les races locales constituent des réservoirs de gènes et des sources d'hétérosis. Il faut donc les préserver. Mais doit-on tout préserver? Faut-il conserver les races locales en l'état, c'est-à-dire sans amélioration? C'est un vaste sujet de réflexion, à l'ordre du jour dans les pays occidentaux qui découvrent la richesse des races asiatiques.

En pathologie, la race Co serait résistante à de nombreuses maladies qui touchent les autres races, la race Mong Caï serait résistante à l'entérite hémorragique et les races Ba Xuyen et Thuoc Nhieu seraient peu sensibles au parasitisme interne. Ces remarques méritent d'être approfondies et confirmées, car elles conduisent à des mesures destinées à maîtriser les déplacements d'animaux (protection passive) et à des recherches en vue de l'utilisation zootechnique de la résistance spécifique à certaines pathologies (transfert de cette résistance aux races améliorées).

Si les chercheurs travaillent en équipe, ils définiront une thématique de recherche propre au Viet Nam, mais transposable à de nombreux pays en développement.

Conclusion

Le Viet Nam dispose d'un élevage familial important, ayant des points faibles certes, mais qui contient les germes de son propre développement: un certain nombre d'excellents animaliers, des types génétiques assez nombreux pour faire face à des besoins diversifiés, une ouverture d'esprit de nombreuses familles qui ne demandent qu'à produire mieux, ainsi qu'une grande capacité de travail.

L'élevage familial mérite d'être le creuset de l'élevage de demain, car il n'est pas pensable que le Viet Nam puisse se priver de sa société rurale du jour au lendemain.

Les efforts en faveur de l'élevage familial ne conduisent pas obligatoirement à la condamnation de l'élevage hors sol, les deux systèmes étant complémentaires. Pourquoi ne pas considérer un élevage «industriel» modeste, inséré dans le tissu social, qui entraînerait l'élevage familial dans son sillage et auquel on ne demanderait pas de produire de grosses quantités de carcasses, mais de créer et faire vivre des structures légères et de procéder à la formation des éleveurs et des techniciens locaux.


Previous Page Top of Page Next Page