Previous Page Table of Contents Next Page


Medio ambiente y reproducción animal


Efectos de las variaciones del fotoperíodo sobre la reproducción
Efectos de la «carga termica» sobre la reproducción
Conclusion
Bibliografía

P. Chemineau

La dirección postal del autor es: Institut national de la recherche agronomique (INRA), Laboratoire de neuroendocrinologie sexuelle, Station de physiologie de la reproduction, 37380 Nouzilly, Francia.

Una versión anterior de este artículo fue presentada como conferencia de clausura en las sextas Jornadas internacionales de Reproducción Animal e Inseminación Artificial, en Salamanca, España, en 1992.

El autor quiere agradecer al Dr. José Alberto Delgadillo por su ayuda en la preparación de este texto.

Para la mayoría de las especies de mamíferos salvajes, la perpetuación de la especie constituye uno de los objetivos esenciales de la reproducción, la cual se desarrolla bajo la influencia del medio ambiente. Los efectos del medio ambiente repercuten sobre el potencial genético de los individuos, determinando durante el ano los períodos de reproducción así como su intensidad. El inicio y la terminación de la actividad sexual de los pequeños mamíferos salvajes están condicionados por factores muy diversos. En las zonas tropicales, hábitat de la mayoría de las especies, los pequeños mamíferos han desarrollado una estrategia reproductiva de tipo oportunista, que les permite iniciar su actividad sexual cuando los factores ambientales son propicios: alimentación, temperatura, presencia de individuos del sexo opuesto, etc. (Bronson, 1985). Por el contrario, en las zonas templadas, es necesario criar a los animales jóvenes durante la época más favorable del año, lo que ha conducido a la mayoría de las especies salvajes a limitar el período de nacimentos al final del invierno e inicio del verano, cuando el clima es menos rígido y la disponibilidad de alimentos abundante (Ortavant et al., 1985).

En los animales domésticos originarios de las zonas templadas también se observa una estacionalidad reproductiva que depende principalmente de las variaciones de la duración del día (fotoperíodo); éstas representan el factor del medio ambiente más recurrente de un año a otro. Los otros factores del medio ambiente temperatura, alimentación, relaciones interindividuales, condiciones de cría - son considerados como secundarios y capaces de modificar, en condiciones particulares, la actividad reproductiva de los animales domésticos (Figura 1).

En este trabajo se examinarán solamente los efectos del fotoperíodo y de las altas temperaturas sobre la reproducción.

Efectos de las variaciones del fotoperíodo sobre la reproducción

Aunque todas las especies son sensibles a las variaciones del fotoperíodo, la intensidad de las respuestas a los cambios luminosos y sus consecuencias varían mucho de una especie a otra. Dentro de las especies «de días cortos», cuya actividad sexual se sitúa durante los días decrecientes del año, los ovinos y los caprinos son los más sensibles al fotoperíodo, mientras que los porcinos manifiestan respuestas más ligeras a los cambios de la duración del día. Entre las especies «de días largos», como los bovinos y los equinos, estos últimos son más fotosensibles en cuanto a su reproducción.

Especies de días cortos: ovinos, caprinos y porcinos

Variaciones estacionales. La mayoría de las razas ovinas y caprinas originarias del norte de Europa manifiestan variaciones importantes del estro y de la ovulación. Todas las hembras presentan una actividad sexual que se extiende de agosto-septiembre a enero-febrero y un reposo sexual durante el resto del año, produciéndose así una estación de anestro y una estación de actividad sexual muy marcada. El anestro varía de 215 a 259 días según la raza o la especie (Cuadro 1). Los machos también muestran importantes cambios cuantitativos en la producción de semen. Así, en el morueco (le-de-France, la producción de espermatozoides diaria por testículo pasa de alrededor de 1 000 millones en primavera a 5 000 millones en otoño (Dacheux et al., 1981). La calidad del semen y su fertilidad en inseminación artificial varían también. En la misma raza se ha observado más de 20 por ciento de espermatozoides anormales y una fertilidad del 47,1 por ciento en primavera, mientras que estos valores son de 10 por ciento y 68,4 por ciento en otoño, respectivamente (Colas, 1980). La estacionalidad tiende a desaparecer en las razas que habitan más cerca del ecuador. Por ejemplo, en las ovejas originarias y criadas en los países de la cuenca del Mediterráneo, la duración del anestro estacional es mucho menor, y varía de 53 a 131 días (Cuadro 1). Más del 50 por ciento de las ovejas Rasa Aragonesa posentan una ciclicidad ovárica durante la primavera (Alonso de Miguel y Cognié, 1980), y más del 50 por ciento de las ovejas D'Man de Marruecos muestran una ciclicidad astral durante todo el año (Lahlou-Kassi y Marie, 1985). En algunas zonas tropicales, la estacionalidad ha desaparecido completamente (ovejas Criollas de Martinica) (Cuadro 1), mientras que en otras sólo se observa una ligera estacionalidad [ovejas Peulh del Níger (Yenikoye, 1984), cabras Criollas de Guadalupe (Chemineau, 1986a)].

En los cerdos no domesticados la estacionalidad es marcada, y las hembras del jabalí presentan una actividad ovulatoria solamente de noviembre-diciembre a abril (Mauget, 1982). En los cerdos domésticos se ha observado una disminución estacional de los índices de reproducción entre junio y septiembre (Claus y Weiler, 1985). Esta disminución es más acentuada cuando los animales son explotados en instalaciones abiertas y no en edificios cerrados y climatizados (Martinat-Botté et al., 1984). En el verraco, las variaciones estacionales de la cantidad de androsterona en la grasa corporal y del número de espermatozoides producidos por eyaculado presentan sus máximos niveles de agosto a diciembre (Claus et al., 1984).

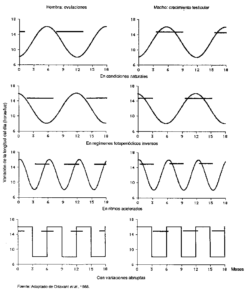
Efectos fundamentales del fotoperíodo. Las primeras demostraciones de los efectos del fotoperíodo sobre la reproducción se llevaron a cabo desplazando ovejas del hemisferio norte al hemisferio sur, o sometiendo a las hembras, contenidas en cámaras fotoperiódicas, a regímenes luminosos que reproducían las variaciones del fotoperíodo del hemisferio sur. En ambos casos, la estación sexual se atrasaba seis meses presentándose siempre después del solsticio de verano. Esta respuesta se manifestaba igualmente cuando los animales se sometían a un régimen fotoperiódico acelerado que reproducía en seis meses los cambios anuales de la duración del día, y provocaba la aparición de dos estaciones sexuales durante el año. La alternancia de tres o cuatro meses de días largos y de tres o cuatro meses de días cortos determinaba asimismo la sucesión de períodos de actividad y de inactividad sexual. Ello demuestra el efecto estimulador de los días cortos -que inducen la ovulación después de 50 días en la oveja (Ile-de-France y después de 80 días en la cabra Alpina-, y el efecto inhibidor de los días largos sobre la actividad sexual. Se justifica así el nombre de especies de días cortos que se ha dado a los pequeños rumiantes (Figura 2).

Sin embargo, los días cortos o los días largos no estimulan o inhiben indefinidamente la actividad sexual. Las ovejas sometidas experimentalmente a un período de 100 días cortos, presentaban una disminución de la actividad sexual, debido a la aparición de un estado refractario que determinaba la incapacidad de los animales de responder al efecto estimulante de los días cortos. Se piensa que este estado refractario es responsable, en condiciones naturales, de la terminación de la estación sexual anual al final del invierno. De la misma manera, la actividad sexual de las ovejas sometidas experimentalmente a un período de 230 días largos volvía a comenzar espontáneamente, debido a la manifestación del estado refractario a los días largos. Este estado se considera como parcialmente responsable, en condiciones naturales, del inicio de la estación sexual anual en verano-otoño.

Los ovinos sometidos a un fotoperíodo constante manifiestan un ritmo endógeno, que da lugar a variaciones cíclicas del diámetro de los testículos en el macho y de la actividad neuroendocrina en las hembras ovariotomizadas, portadoras de un implante de estradiol, cuya periodicidad es algo inferior a 10 meses. El ritmo endógeno parece ser menos marcado en las ovejas enteras. La percepción de 70 días largos por las ovejas ovariotomizadas portadoras de un implante de estradiol es suficiente para que los animales vuelvan a iniciar su actividad sexual de manera sincronizada. Además, la percepción de días largos durante el invierno provoca la anticipación del período anual de actividad neuroendocrina. Estos experimentos indican que las variaciones del fotoperíodo sincronizan el ritmo endógeno de manera tal que la reproducción tiene lugar en el momento más adecuado del año.

Se deben mencionar tres efectos fundamentales del fotoperíodo sobre la reproducción de los pequeños rumiantes. El primero es que la percepción que tiene el animal de un día corto o de un día largo depende de su «historia fotoperiódica». Así, 12 horas de luz por día son interpretadas como un día corto si el animal percibe 16 horas de luz, o como un día largo si percibe 8 horas de luz. El segundo es que la acción estimuladora de los días decrecientes sobre la actividad neuroendocrina de la oveja podría ser responsable de la duración normal de la estación sexual en condiciones naturales. El tercero es la existencia de una fase fotosensible que tiene lugar alrededor de 16 a 17 horas después del alba. La iluminación durante esta fase provoca la «lectura» de un día largo tanto en el morueco como en la oveja (Karsch et al., 1984; Malpaux et al., 1993).

En el verraco, la inversión del régimen fotoperíodico provoca un aumento de la concentración sanguínea, de la testosterona y de los estrógenos libres, de la fructosa del semen, de la producción de semen, y una disminución del tiempo de reacción antes de la eyaculación. La producción de semen de los verracos sometidos a días cortos es más abundante que la de los verracos sometidos a días largos (67,7 vs. 47,8 x 109 espermatozoides) (Mazzari et al., 1968). En la cerda, un tratamiento de días decrecientes de mayo a agosto provoca una disminución marcada del intervalo destete-primer estro en junio, julio y agosto, en comparación con las cerdas no tratadas (Claus y Weiler, 1985).

1. Duración del anestro o de la anovulación en varias razas ovinas n caprinas en el mundo
1. Duration of onoestrus or anovulation in various sheep and goat breeds
1. Durée de l'anœstrus ou de l'anovulation chez diverses races ovines ou caprines dans le monde

Zona

Especie/raza

Duración del anestro o de la anovulación (días)

Referencia

Europa del Norte





Mountain Blackface

226

Hafez, 1952

Border Leicester

234


Welsh Mountain

232


Ile-de-France

215

Thimonier y Mauléon, 1969

Cubras Alpinas

259

Chemineau et al., 1992a

Cuenca del Mediterráneo





Préalpes du Sud

131

Thimonier y Mauléon, 1969

Rasa Aragonesa

91

Abecia, 1992

Chios

101

Avdi et al., 1988

Barbarina

123

Khaldi, 1984

Tadmit

51

Ammar-Khodja y Brudieux, 1982

Trópico


Criolla de Martinica

0

Mahieu et al., 1989

Barbados



1. Interacciones entre el genotipo de los animales y los factores del medio ambiente que modifican la respuesta reproductiva - Interactions between animal genotype and environmental factors affecting reproductive responses - Interactions entre le génotype des animaux et les éléments du milieu qui modifient le comportement à la reproduction

2. Aumento de fecundidad en diferentes razas después de la utilización de implantes subcutáneos de melatonina (Regulin/Melovine)
2. Increase in fecundity in different breeds after the subcutaneous implant of melatonin (Regulin/Melovine)
2. Augmentation de la fécondité chez différentes races après traitement avec des implants sous-cutanés de mélatonine (Régulin/Mélovine)

Raza


Número de rebaños


Número de ovejas

Diferencia de fecundidad: corderos/100 ovejas tratadas


Referencia


Control

Tratadas con melatonina

Mule y cruzas

10

430

698

+23

Haresign et al., 1990

Cruzas de Suffolk

7

325

551

+10


Rasa Aragonesa

3

486

254

+38

Folch et al., 1991

Rasa Aragonesa

2

100

100

+19

Lopez Sebastian e Inskeep, 1991

Churra

2

101

88

+8


Talaverana

1

41

41

+2


Merinos

35

>500

>500

+17

Staples et al., 1992

Cruzas

20

>500

>500

+18


Caussenarde y Limousine

9

409

458

+19

Chemineau et al., 1991

2. Actividad sexual de la ovala y del morueco - Sexual activity in the ewe and in the ram - Activité sexuelle chez la brebis et chez le bélier

La acción del fotoperíodo y los mecanismos fisiológicos. Como en todas las especies de mamíferos, en los pequeños rumiantes, la percepción de los impulsos luminosos tiene su sede en la retina. A continuación, esta información es conducida por el tracto retino-hipotalámico hasta los núcleos supraquiasmáticos y paraventriculares del hipotálamo, antes de pasar por el ganglio cervical superior y llegar finalmente a la glándula pineal. Esta última sintetiza y secreta en la sangre la melatonina, únicamente durante la noche. Es muy probable que en virtud de la duración de tal secreción los animales sean capaces de percibir la duración de la noche, y por ende la del día, puesto que la restitución, por infusión de melatonina, de un ritmo de noches largas en ovejas pinealectomizadas es suficiente para provocar la lectura de un día corto e inducir la estimulación de la actividad neuroendocrina. La melatonina modifica la retroacción negativa de los esteroides sobre la actividad neuroendocrina (Karsch et al., 1984) (Figura 3).

Distribuida de manera correcta, la melatonina es capaz de restituir la totalidad del efecto del fotoperíodo. Sin embargo, su localización y su modo de acción aún no se conocen con precisión. El sitio funcional de acción, donde los microimplantes que liberan melatonina han sido eficaces, es el hipotálamo medio-basal de la oveja y del morueco, aunque los receptores se encuentran de manera abundante en la pars tuberalis de la hipófisis. A pesar de esta incertidumbre, es muy probable que existan sistemas neuronales intermediarios (como los de la dopamina, noradrenalina o serotonina) entre la melatonina y las neuronas LH-RH (Malpaux et al., 1993).

Control de la reproducción de los ovinos y caprinos mediante la luz y la melatonina. Las observaciones precedentes y la disponibilidad de importantes cantidades de melatonina han permitido desarrollar estudios de nuevas técnicas de control de la reproducción de ovinos y caprinos, que podrían tener aplicaciones a nivel de la producción.

La primera de estas aplicaciones consiste en implantes subcutáneos de melatonina para adelantar la estación sexual en las ovejas y cabras, y aumentar la fecundidad. Con este tratamiento las ovejas reaccionan como si percibieran un día corto (O'Callaghan et al., 1991) y, por consiguiente, el inicio de la actividad ovárica y del estro se adelantan generalmente en un mes a un mes y medio respecto de la estación sexual anual (Arendt et al., 1983). Una precocidad ano mayor (de cuatro meses, con un primer celo el 20 de mayo, en comparación con el celo del 14 de septiembre de las ovejas control) se observó en las ovejas cruzadas Border Leicester x Scottish Blackface a las que se administró diariamente melatonina en el alimento (Robinson et al., 1992). La implantación de las hembras de 30 a 40 días antes de la introducción de los machos para el período de cubrición, aumenta la fertilidad y la prolificidad, provocando un incremento de 15 a 40 corderos nacidos por 100 hembras tratadas, en comparación con los animales de control de los mismos rebaños (Cuadro 2). Un efecto idéntico fue descrito en la cabra de raza Angora (MacPhee et al., 1987). Este tratamiento puede también ser asociado con la inseminación artificial después del uso de esponjas vaginales y de gonadotropina contenida en el suero de yeguas preñadas (PRSG), con el fin de aumentar la fertilidad y la prolificidad de las hembras que no son fertilizadas mediante inseminación artificial y que vuelven a estar en celo. En las ovejas Lacaune y Limousine este procedimiento ha permitido incrementar en más de 40 el número de corderos nacidos por 100 hembras tratadas (0,90 vs. 1,37 corderos nacidos por hembra tratada) (Chemineau et al., 1991). Cabe mencionar que las aplicaciones de implantes deben hacerse de acuerdo a la raza (considerando particularmente su estacionalidad) dentro de un sistema de cría. Las ovejas menos susceptibles a los efectos de la estación, como las razas australianas, especialmente la Merino, pueden ser implantadas en cualquier época del año, contrariamente a las razas inglesas que sólo pueden ser implantadas a partir de junio (Staples et al., 1992). Los implantes son comercializados desde hace algunos años en Australia, Nueva Zelanda, Grecia y Gran Bretaña, su venta está anunciada en Francia y España.

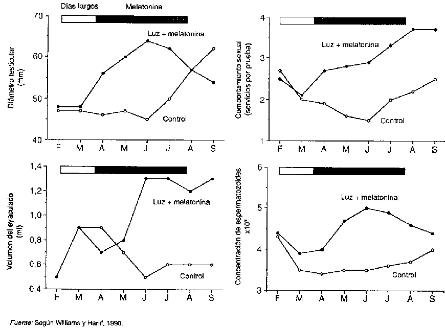
La segunda aplicación del control de la reproducción consiste en el aprovechamiento de la alternancia de dos fotoperíodos contrastados: un período de días largos, reales o simulados, por la iluminación durante la fase fotosensible, seguido de un período de días decrecientes o cortos, reales o simulados por un tratamiento de melatonina (Figura 4). Esta sucesión es necesaria debido a la presencia, al final del invierno, del estado refractario a los días cortos que inhibe el efecto estimulante de la melatonina en los animales que no han sido sometidos antes a días largos (cabra: Chemineau et al., 1986; Chemineau, 1989; oveja y morueco: Williams y Wards., 1988; Hanif y Williams, 1991; Colas et al., 1987). Este tipo de tratamiento debe al menos durar dos meses de días largos para restituir plenamente el efecto estimulante de la melatonina (cabra: Chemineau, 1992) o de los días decrecientes. En las mejores condiciones, estos tratamientos provocan un incremento importante de la producción de semen en el morueco (Briois et al., 1988; Hanif y Williams, 1991; Williams y Hanif, 1990) (Figura 5) y en el cordero, así como de la fertilidad en las cabras lecheras (Chemineau, 1989, 1992). En la oveja, este tratamiento no es tan eficaz como en la cabra (Chemineau et al., 1992b).

La tercera aplicación es la alternancia rápida de días cortos y días largos para abolir las variaciones estacionales de la actividad sexual de los moruecos y de los machos cabríos. Inicialmente propuesta por Pelletier y Almeida (1987) para anular las variaciones del peso testicular, la alternancia de un mes de días largos y de un mes de días cortos también permite mantener la cantidad y calidad de la producción de semen durante la estación sexual, por al menos dos años consecutivos (Chemineau et al., 1988; Delgadillo et al., 1991, 1992). La fertilidad del semen producido no es modificada por el tratamiento fotoperiódico. En los centros de inseminación artificial, estos tratamientos determinan, en el morueco, un gran incremento del número de espermatozoides útiles, y en el macho cabrío un aumento del número de dosis de semen congelado para inseminación artificial (Delgadillo et al., 1992).

Por el momento, no se ha propuesto ninguna aplicación práctica, en los cerdos, para controlar las variaciones estacionales de la reproducción utilizando tratamientos con luz o melatonina. :

3. Representación esquemática de los mecanismos fisiológicos de la de la acción del fotoperíodo - Diagrammatic representation of photoperiod-related physiological mechanism - Représentation schématique des mécanismes physiologiques de l'action de la photopériode

4. Tratamientos fotoperiódicos: se suceden con alternancia los días largos (iluminación durante la fase fotosensible) y los días decrecientes o cortos (tratamientos con melatonina) - Phottoperiodic treatment alternating between long days (lighting during photosensitive phase) and shortening or short days (melatonin application) - Traitement photopériodique alternant jours longs (illumination durant la phase photosensible) et jours décroissants ou courts (mélatonine)

Especies de días largos: el ejemplo de la yegua. En las zonas templadas, la mayoría de las razas equinas presentan variaciones estacionales de su reproducción, y su actividad sexual máxima tiene lugar de mayo a julio. La existencia de un período de anestro, cuya importancia es menor que en los pequeños rumiantes, se ha observado entre noviembre y abril o mayo en las yeguas que han parido durante la estación sexual anterior (Palmer y Driancourt, 1983). El macho también presenta ligeras variaciones estacionales de su actividad espermatogénica. El volumen del semen alcanza su nivel más elevado en primavera-verano (Magistrini et al., 1987).

Las yeguas que son sometidas desde el final de noviembre a días largos, inician la ovulación dos meses y medio antes que las hembras que viven en un ambiente con iluminación natural. Más de 14,-5 horas de luz por día estimulan la actividad ovárica, y menos de 12 horas la inhiben (Palmer y Driancourt, 1981).

En esta especie existe también una fase fotosensible, y la iluminación provoca una respuesta del tipo de día largo y, como consecuencia, la estimulación de la actividad ovulatoria (Palmer y Driancourt, 1981). Esta fase se sitúa diez horas después del crepúsculo (no está fijada por el alba como en los pequeños rumiantes). La melatonina de origen pineal transforma también la información fotoperiódica en una señal hormonal. Una larga duración de la secreción de melatonina es interpretada como un día corto, y provoca la inhibición de la actividad ovulatoria inducida por los días largos (Guillaume y Palmer, 1991, 1992).

Efectos de la «carga termica» sobre la reproducción

Cuando los animales son sometidos a una «carga térmica» demasiado elevada, no pueden regular su temperatura interna para mantenerla dentro de límites que permitan índices satisfactorios de producción y de reproducción. La importancia de esta carga térmica, en condiciones de explotación, depende de muchos factores ligados al medio ambiente, como la radiación solar, la temperatura, la humedad y la circulación del aire, pero está vinculada también al animal mismo a través de su genotipo o su nivel de producción.

El estrés térmico

Para todos los mamíferos es posible definir una zona de bienestar térmico. La constancia de las pérdidas térmicas se debe a la vasodilatación periférica, sin que otros mecanismos se pongan en marcha. Más allá de esta zona, la evaporación de los líquidos corporales permite regular las perdidas térmicas a medida que: la temperatura exterior aumenta. En efecto, una vez alcanzada la vasodilatación máxima, la evaporación cutánea y respiratoria aumenta de manera lineal en relación a la temperatura ambiente, permitiendo un equilibrio de los cambios térmicos. La eficiencia de la evaporación se debe a la importante cantidad de energía necesaria para permitir el paso del agua del estado líquido al estado gaseoso. El incremento de la evaporación cutánea se obtiene por la emisión de sudor a nivel de las glándulas sudoríparas y de la evaporación respiratoria por el incremento de la frecuencia respiratoria.

Ni la emisión de sudor ni la frecuencia respiratoria pueden aumentar indefinidamente, y por lo tanto la cantidad de líquido que puede evaporarse está limitada por la humedad del aire. La temperatura corporal aumenta, produciéndose la hipertemia o estrés térmico (Berbigier, 1988) (Figura 6).

Sin embargo, en las condiciones naturales de los rebaños la situación no es tan simple. El medio térmico no se reduce a la temperatura ambiente, la radiación solar o la humedad del aire, que pueden acentuar la carga térmica, sino también a la circulación del aire o las bajas temperaturas nocturnas que pueden aligerarla. No todos los animales responden de igual manera a un mismo medio térmico; las razas locales son generalmente más resistentes o están mejor equipadas para la termolisis, mientras que los animales altos productores de leche 0 de carne tienen que evacuar más calor metabólico.

5. Modificaciones del diámetro testicular, del comportamiento sexual, volumen y de la concentración del semen, después de un tratamiento de días largos seguido por un tratamiento con melatonina, en el morueco Suffolk - Changes in testicle diameter, sexual behaviour and volume and concentration of sperm in the Suffolk ram after a regime of long days followed by melatonin application - Modifications du diamètre des testicules, du comportement sexuel, du volume et de la concentration du sperme après traitement faisant alterner jours longs et mélatonine chez le bélier reproducteur Suffolk

6. Representación esquemática de los efectos del aumento de la carga térmica sobre las perdidas de calor y la temperatura interna en los mamíferos - Diagrammatic representation of the effects of an increased heat load on heat losses and body temperature in a mammal - Représentation schématique des effets d'une augmentation de la charge thermique sur les pertes de chaleur et la température interne d'un mammifère

7. Efecto del estrés térmico sobre la calidad del semen - Effect of heat stress on semen quality - Effet du stress thermique sur la qualité du sperme

Efectos del estrés térmico en el macho

Una de las primeras características de reproducción afectadas por las altas temperaturas en el morueco es la libido. Cuando la temperatura ambiente es de 37,8 °C, la temperatura rectal de los moruecos Dorset Horn, Border Leicester y Merino alcanza o excede los 40 °C, provocando en las dos primeras razas una disminución del número de eyaculados colectadas en 8 horas (de más de 24 a menos de 12).

En los verracos, toros y moruecos, las altas temperaturas afectan también la calidad del semen. Durante la segunda semana que sigue al período de estrés térmico, la motilidad del semen disminuye y el porcentaje de espermatozoides anormales aumenta. En el morueco, 20 días después del tratamiento térmico, el número de espermatozoides disminuye. La deterioración de la calidad del semen coincide con una marcada disminución de la fertilidad de las hembras cubiertas o inseminadas artificialmente, debido probablemente a una combinación de bajas tasas de fertilización y de un incremento de la mortalidad embrionaria.

La exposición directa del testículo a temperaturas altas provoca alteraciones en ciertas etapas críticas del ciclo espermatogénico. Este efecto, limitado solamente al proceso de elaboración de las células sexuales, y la relativa insensibilidad de los espermatozoides epididimarios explican el largo plazo necesario para la aparición de las alteraciones en el semen eyaculado (Figura 7).

En el morueco, una breve exposición al estrés térmico (6 horas, a 41 °C) puede ser suficiente para inducir degeneraciones celulares durante el ciclo espermatogénico. En condiciones naturales, las altas temperaturas durante varios días consecutivos pueden producir un efecto semejante sobre la calidad del semen al que se observa después de un estrés térmico en una cámara caliente. Sin embargo, las razas tropicales son generalmente menos sensibles a las altas temperaturas que las razas templadas importadas al trópico. Contrariamente a lo observado en estas últimas, las razas ovinas locales de la India no presentan variaciones estacionales de la calidad del semen. Los machos cabríos locales de la raza Criolla de Guadalupe son insensibles a la exposición permanente al sol tropical, y la cantidad y calidad del semen se mantienen inalteradas (Chemineau, 1986b). En España, los moruecos de la raza Rasa Aragonesa presentan una mejor calidad del semen que los moruecos Romanov (Folch, 1984).

La duración y la intensidad de la exposición al estrés térmico determinan el retorno a una calidad normal del semen que toma de 40 a 60 días (Ortavant y Loir, 1978).

Efectos del estrés térmico en la hembra

Como en el macho, el comportamiento sexual de la hembra puede ser reducido por la exposición a una carga térmica alta. En la oveja, la exposición a una fuerte radiación, del día 10 al día 15,5 del ciclo astral, que provoque un aumento de 1 °C de la temperatura rectal, en comparación con los animales control, reduce el porcentaje de hembras que presentan celo (67 vs. 96 por ciento), la duración del mismo (16,1 vs. 24,5 horas) e incrementa la duración del ciclo astral (17,0 vs. 16,4 días) (Sawyer, 1983). En la vaca lechera, la duración del estro varía de 1418 horas, durante la estación fría, a 810 horas durante la estación caliente, dificultando así la detección de los estros.

Después del comportamiento sexual, la tasa de fertilización es la que se ve afectada por el estrés térmico. En vacas Holstein, en Cuba, el porcentaje de ovocitos fertilizados después de una superovulación es más bajo en la estación caliente que en la estación templada (Cuadro 3). En las vacas que no han recibido tratamiento hormonal, la temperatura ambiente del día en que se ha practicado la inseminación artificial, o del día siguiente, presenta una correlación negativa con la tasa de fecundación. Un aumento de la temperatura uterina de 0,5 °C durante estos dos días provoca una disminución de la tasa de fertilización.

Si la fertilización se produce en condiciones normales, los embriones son muy sensibles a las altas temperaturas durante las primeras fases de su desarrollo. En los bovinos, la exposición de novillas a 32 °C durante 72 horas después de la inseminación artificial impide cualquier desarrollo embrionario, mientras que el 48 por ciento de las hembras mantenidas a 21 °C quedan preñadas. En cambio, si el estrés térmico tiene lugar después del décimo día en que se practicó la inseminación artificial, la fertilidad no se modifica. En la cerda, el período comprendido entre 2 y 16 días después de la fecundación parece ser aquel durante el cual los animales son más sensibles a las variaciones térmicas. En la oveja se identificó el mismo período (1 a 16 días) de sensibilidad; ello demuestra que es durante los estados precoces de su desarrollo - antes de su implantación - que el embrión es sensible a un aumento de la temperatura uterina inducida por el estrés térmico.

Al parecer, una vez implantado el embrión, este se vuelve menos sensible a las variaciones térmicas del tracto genital, al menos hasta la mitad de la gestación, cuando el desarrollo fetal puede ser afectado nuevamente por altas temperaturas. De este modo, las ovejas puestas en cámaras calientes durante la segunda mitad de la gestación paren corderos 50 por ciento menos pesados que los nacidos de las ovejas control. La exposición a un estrés térmico únicamente durante el último mes de la gestación es suficiente para disminuir el peso al nacimiento de los corderos y de los lechones. La reducción del peso de las crías al nacimiento aumenta la tasa de mortalidad en proporciones importantes, y merma la producción de leche, probablemente por la disminución del tamaño de la placenta y de sus cotiledones (Ortavant y Loir, 1978).

Métodos para la atenuación de los efectos del estrés térmico

Los ganaderos emplean razas menos sensibles al calor para atenuar los efectos del estrés térmico. Los bovinos Cebú (Bos indicus) presentan una superficie de piel más extensa y mayor número de glándulas sudoríparas; son menos productivos y tienen una termogénesis menos elevada que los bovinos Europeos (Bos taurus). Esta caraterística les permite regular mejor su temperatura (Berbigier, 1988). En Cuba, las ovejas de raza Suffolk que permanecían a la sombra, presentaban una temperatura rectal y un ritmo respiratorio mucho más elevados que las ovejas locales de raza Pelibuey. Es probable que ello explique la diferencia de fertilidad observada entre ambas razas (Cuadro 4). Dentro de una misma raza, los moruecos cuya temperatura rectal es más baja son también los más fértiles (Entwistle, 1973). La utilización de animales cruzados, que resisten generalmente mejor al estrés térmico que las razas puras, puede constituir una alternativa interesante (Berbigier, 1988).

Sin embargo, la ausencia de genotipos buenos productores de leche (bovinos) o de carne (ovinos) en los trópicos ha conducido a la creación de numerosos rebaños con razas provenientes de las regiones templadas. Se dispone de algunas técnicas para disminuir el estrés térmico de los animales en estas condiciones.

La más simple es criar los animales a la sombra. El mantenimiento de las vacas lecheras Holstein bajo estructuras que permiten una disminución de la temperatura de la «bola negra» de 37 a 28 °C (que comprende también las radiaciones solares) aumenta la fertilidad (Cuadro 5). Asimismo, la cría de ovejas a la sombra al final de la gestación contribuye a aumentar el peso al nacimiento de los corderos (2,2 vs. 2,8 kg) y a reducir la mortalidad (Cuadro 6).

Si bien el aprovechamiento de la sombra permite generalmente aumentar los rendimientos reproductivos, en relación con los rendimientos de animales expuestos a la radiación solar, tales incrementos se cifran a niveles bastante inferiores a los que se consideran económicamente rentables. Conviene entonces emplear otras técnicas que favorecen la regulación térmica Por ejemplo, los baños por aspersión, a intervalos regulares, asociados eventualmente a ventilación forzada durante las horas más calorosas del día, mejoran considerablemente la fertilidad de las vacas lecheras. En Israel, en comparación con las vacas mantenidas a la sombra pero que non habían recibido baños, la aplicación de baños y ventilación durante media hora a intervalos de tres horas, disminuyó de 39,7 a 39,0 °C el pico de temperatura rectal que se registra a mediodía, y aumentó la duración del estro y la fertilidad después de la inseminación artificial, tanto al primer servicio como después de 150 días (Cuadro 7). Este tratamiento, aplicado al final de la gestación, aumenta el poso al nacer del becerro y la producción ulterior de las madres (Cuadro 8). En Iraq, este procedimiento ha permitido disminuir el intervalo entre partos (384,1 vs. 376,1 días) y el número de inseminaciones artificiales por fertilización (1,82 vs. 1,73) en los grandes rebaños lecheros de raza Holstein (Jassim y Ray, 1986).

En el verraco, este tratamiento aumenta la fertilidad del semen, que es comparable al de los animales criados en instalaciones climatizadas; sin embargo, parangonado con el semen de animales que permanecían a la sombra, este tratamiento permite alcanzar una fertilidad muy superior (64, 68 y 44 por ciento respectivamente) (Wettmann y Bazer, 1985).

Aunque los tratamientos mencionados dan buenos resultados en zonas donde el aire es seco, como los países del trópico seco, en regiones de higrometría elevada, como el trópico húmedo, no serían igualmente recomendables, porque los animales no están en condiciones de evaporar una cantidad de apara suficiente. En este caso, sólo la cría en instalaciones climatizadas constituye una solución adecuada.

3. Efectos de la estación sobre la respuesta a los tratamientos de superovulación de vacas Cubano-Holstein
3. Effect of seasonal variations on the response of Cubano cows to superovulation treatment
3. Effets de la saison sur la réaction des vaches Cubano-Holstein aux traitements de superovulation


Estación templada (diciembre-marzo)


Estación cálida (junio-octubre)

Temperaturas mínima y máxima del aire (°C)

18-25

21-33


Embriones colectados

5,5

N.s.

4,4

Tasa de fertilización (%)

87,3

P < 0,01

57,5

Número de embriones transferibles

4,2

P < 0,01

1,7

Fuente: De Armas et al., 1988.

4. Efectos de la raza sobre el bienestar térmico y la fertilidad de ovejas en Cuba
4. The influence of breed on heat comfort and fertillity among ewes in Cuba
4. Effets de la race sur le confort thermique et la fertilité des brebis à Cuba


Pelibuey


Suffolk

Número de ovejas

50

47


Temperatura rectal (°C)

38,8

P < 0,001

39,7

Ritmo respiratorio (respiraciones/min.)

40

P < 0,001

100

Fertilidad (%)

74

P < 0,001

25

Fuente: Fuentes y Chemineau, 1989.

5. Efectos de la cría a la sombra sobre los rendimientos reproductivos de vacas Holstein
5. The impact of shade on breeding performance of Holstein cows
5. Effets de l'élevage à l'ombre sur les rendements de reproduction des vaches Holstein


Vacas control


Vacas mantenidas a la sombra

Número de vacas

35


34

Temperatura de la «bola negra» (°C)

36,7

P < 0,01

28,4

Fertilidad (%)

25

P < 0,05

44

Fuente: Roman-Ponce, 1977.

6. Efectos de la cría a la sombra sobre el peso al nacimiento de los corderos
6. Impact of shade on lamb weight at birth
6. Effets de l'élevage à l'ombre sur le poids à la naissance des agneaux

Número de ovejas

40


40

Peso al nacimiento de los corderos (kg)

2,2

P< 0,05

2,8

Mortalidad (%)

47

P < 0,05

33

Fuente: Stephenson et al., 1984.

7. Efectos del refrescamiento (baño por aspersión y ventilación forzada) sobre los rendimientos reproductivos de vacas Israeli-Holstein después de un parto en verano
7. Impact of cooling (spraying and forced ventilation) on breeding performance of Israeli-Holstein cows after summer calving
7. Effets de l'abaissement de la température (douche et ventilation forcée) sur les performances de reproduction des vaches israéliennes-Holstein après une mise bas estivale


Vacas control


Vacas refrescadas

Número de vacas

35


34

Pico de temperatura rectal (°C)

39,7


39,0

Duración del celo (horas)

11,5

P < 0,05

16

Fertilidad a la primera inseminación artificial (%)

17

P<0,01

59

Gestaciones al 150° día (%)

31

P < 0,01

73

Fuente: Flamenbaum et al., 1988.

8. Efectos del refrescamiento (baño por aspersión y ventilación forzada) un mes antes del parto sobre el peso al nacimiento de los becerros y la producción lechera de vacas Israeli-Holstein después de un parto en verano
8. Impact of cooling (spraying and forced ventilation) one month before parturition on calf weight at birth and milk production among Israeli-Holstein cows after summer calving
8. Effets de l'abaissement de la température un mois avant la mise bas (douche et ventilation forcée) sur le poids à la naissance des veaux et sur la production laitière des vaches israéliennes-Holstein après une mise bas estivale


Vacas control


Vacas refrescadas

Número de becerros

44


49

Peso al nacimiento (kg)

39,1

P < 0,05

42,6

Número de vacas

32

33


Producción lechera (kg/día)

30,9

P< 0,05

33,7

Fuente: Bermann et al., 1984.

Conclusion

La duración de la iluminación y la carga térmica son los dos factores del medio ambiente que pueden modificar los rendimientos reproductivos de los animales domésticos. No todas las especies y razas tienen la misma sensibilidad a dichos factores. El fotoperíodo incide esencialmente sobre los ovinos y caprinos de las zonas templadas, mientras que la temperatura condiciona mayormente a los animales importados en las zonas tropicales o subtropicales.

El mejor conocimiento del fotoperíodo - fenómeno normal que actúa fundamentalmente a nivel del sistema nervioso central - y de la temperatura - cuya acción interesa el tracto genital - permite proponer técnicas susceptibles de atenuar las variaciones inducidas por el medio ambiente.

La utilización de la melatonina, a la que puede anteceder un período de luz extra, influye en la producción de semen y en las ovulaciones durante la estación del anestro de los pequeños rumiantes, y permite producir fecundaciones fuera de estación.

Los baños por aspersión y la ventilación forzada regulan la temperatura corporal de las vacas de mayor producción, conduciendo a una fertilidad idéntica a la que se registra en los países de clima templado, y a partos de animales de peso elevado.

Bibliografía

Abecia, J.A. 1992. Efecto del plano de alimentación y del nivel de reservas sobre los parámetros reproductivos en ovejas de raza Rasa Aragonesa durante el anoestro estacionario y al inicio de la época de actividad sexual. Tesis de doctorado, Univ. de Zaragoza, 309 págs.

Alonso de Miguel, M. y Cognié, Y. 1980. Variaciones de la actividad sexual de la oveja «Rasa Aragonesa» durante el período del anoestro estacionario. Efecto de la edad, de las condiciones climáticas y, de la presencia de machos. IX Congreso Intern. de Reprod. Anim. e IA, Madrid, 16-20 de junio, Vol. IV: 387-392.

Ammar-Khodja, F. y Brudieux, R. 1982. Seasonal variations in the cyclic luteal ovarían activity in the Tadmit ewe in Algeria. J. Reprod. Fert., 65: 305-311.

Arendt, J., Symons, A.M., Laud, C.A. y Pryde, S.J. 1983. Molatonin can induce the early onset of the breeding season in ewes. J. Endocrinol., 97: 395-400.

Avdi, M., Vergos, V., Alifakiotis, T., Michailidis, I., Driancourt, M A. v Chemineau. P. 1988. Seasonal variations of oestrous behaviour and ovulation rate in Chios and Semes ewes in Greece. Proc. 3rd World Cong on Sheep and Beef Cattle París, Ed INRA Publ., Pars, 19-23 de junio, Vol. 2: 647-649.

Berbigier, P. 1988. Bioclimatologie des ruminants domestiques en zone tropicale. Ed. INRA Publ., Paris, 237 págs.

Berman, A., Flamenbaum, I. y Wolfenson, D. 1984. Alleviation of heat stress and its impact on reproduction in dairy cattle. Les Colloques de l'INRA, N° 27, Ed. INRA Publ., Parts, págs. 125-137.

Briois, M., Belloc, J.P., Guérin, Y. y Colas, G. 1988. L'insémination artificielle ovine dans le rayon de Roquefort. Proc 3rd World Cong on Sheep and Beef Cattle, Ed. INRA. Publ., París, 19-23 de junio, Vol 1: 183-185.

Bronson, F.H. 1985. Mammalian reproductive biology University of Chicago Press, Chicago. 325 págs.

Chemineau, P. 1986a. Sexual behaviour and gonadal activity during the year in the tropical Creole meat goat. 1. Female oestrous behaviour and ovarian activity. Reprod. Nutr. Develop., 26(2A): 441-452.

Chemineau, P. 1986b. Influence de la saison sur l'activité sexuelle du cabri creole mâle et femelle. Tesis de doctorado, Univ. des Sci. et Tech. du Languedoc, Montpellier, 132 págs.

Chemineau, P. 1989. Le désaisonnement des chèvres par la lumière et la mélatonine. La Chèvre 171: 18-22

Chemineau, P. 1992. Seasonality and photoperiodic influence in the female goat reproduction. Proc. V Int. Conf of Goats, Nueva Delhi, 2-8 de Marzo, Vol II, Part II, 355-368.

Chemineau, P., Daveau, A., Maurice, A. y Delgadillo, J.A. 1992a. Seasonality of oestrus and ovulation is not modified by subjecting female Alpine goats to a tropical photoperiod Small Rumin. Res., 8.

Chemineau, P., Malpaux, B., Delgadillo, J.A., Guerin, Y., Ravault, J.P., Thimonier, J. y Pelletier, J. 1992b. Control of sheep and goat reproduction: use of light and melatonin. Anim Reprod Sci., 30: 157-184.

Chemineau, P., Normant, E., Ravault, J.P. y Thimonier, J. 1986. Induction and persistence of pituitary and ovarian activity in the out-of-season lactating dairy goat after a treatment combining a skeleton photoperiod, melatonin and the male effect. J. Reprod. Fert., 78: 497-504.

Chemineau, P., Pellelier, J., Guerin, Y., Colas, G., Ravault, J.P., Toure, G., Almeida, G., Thimonier, J. y Ortavant, R. 1988. Photoperiodic and melatonin treatments for the control of seasonal reproduction in sheep and goats Reprod. Nutr. Develop., 28: 409-422.

Chemineau, P., Vandaele, E., Brice, G. y Jardon, C. 1991. Utilisation des implants de melatonine pour l'amélioration des performances de reproduction chez la brebis. Rech. Méd Vét., 167(3/4): 227-239.

Claus, R. y Weller, U. 1985. Influence of light and photoperiodicity on pig prolificacy. J. Reprod. Fert. (Suppl.) 33: 185-197

Claus, R., Weiler, U. y Wagner, H.-G. 1984. The influence of age and season (and light) on boar reproductive functions. En The male in farm animal reproduction. Ed. M. Courot. Publ. Martinus Nijhoff. Boston, 161-183.

Colas, G. 1980. Variations saisonnières de la qualité du sperme chez le belier Ile-de-France. 1. Etude de la morphologie cellulaire et de la motilité massale. Reprod. Nutr Develop., 20(6): 1789-1799.

Colas, G., Guérin, Y., Briois, M. y Ortavant, R. 1987. Photoperiodic control of testicular growth in the ram lamb. Anim Reprod. Sci., 13: 255-262.

Dacheux, J.L., Pisselet, C., Blanc, M.R., Hochereau-de Reviers, M.T. y Courot, M. 1981. Seasonal variations in rete testis fluid secretion and sperm production in different breeds of ram. J. Reprod Fert. 61: 363-371.

De Armas-Taboada, R., Caral Gutierrez, J.P., Solano Ferro, R., Alcala Sanchez, L. y Chupin, D. 1988. Seasonal effect on bovine embryo production in Cuba. 11th Int. Cong on Anim Reprod & Al Dublin, 26-30 de junio, Vol 1, 403.

Delgadillo, J.A., Lebœnf, B. y Chemineau, P. 1991. Decrease in the seasonality of sexual behavior and sperm production in bucks by exposure to short photoperiodic cycles. Theriogenology, 36(5): 755-770.

Delgadillo, J.A., Lebœuf, B. y Chemineau, P. 1992. Abolition of seasonal variations in semen quality and maintenance of sperm fertilizing ability by photoperiodic cycles in goat bucks. Small Rumin. Res., 8.

Entwistle, K.W. 1973. Ram fertility and fertilization rates in the ewe in a semi-arid tropical environment. Int. J. Biometeorol., 17(2): 109-113.

Flamenbaum, I., Wolfenson, D. y Berman, A. 1988. Heat stress relief and body condition effects on reproductive performance of dairy cows in summer 11th Int. Cong. on Anim Reprod & Al, Dublín, 26-30 junio, Vol. 4, 530.

Folch, J. 1984. The influence of age, photoperiodism and temperature on semen production of rams. En The male in far-m animal reproduction. Ed. M. Courot, Publ. Martinus Nijhoff. Boston, 141-160.

Folch, J., Alabart, J.L., Garbayo, A., Echegoyen, E. y Chemineau, P. 1991. Utilización de melatonina para mejorar la reproducción de ovejas Rasa Aragonesa en Primavera. IV Jornadas sobre Produccion Animal ITEA, Vol. extra N° 11 (tomo 1) 142-144.

Fuentes, J.L. y Chemineau, P. 1989. Fertilité de brebis Pelibuey et Suffolk en climat tropical. Ann. Zootech. 38: 5-9.

Guillaume, D. y Palmer, E. 1991. Effect of oral melatonin on the date of the first ovulation after ovarian inactivity of mares under artificial photoperiod. J. Reprod. Fert. (Suppl.), 44: 249257.

Guillaume, D. y Palmer, E. 1992. Lumière, mélatonine et reproduction chez la jument Ann. Zootch., 3.

Hafez, E.S.E. 1952. Studies on the breeding season and reproduction of the ewe. J Agric Sci., 42: 189-265.

Hanif, M. y Williams, H.L. 1991. The effects of melatonin and light treatment on the reproductive performance of yearling Suffolk rams. Br Vet .J. 147: 49-56.

Haresign, W., Peters, A.R. y Staples, L.D. 1990. The effect of melatonin implants on breeding activity and litter size in commercial sheep flocks in the UK. Anim Prod., 50: 111-121

Jassim, A.H. y Ray, D.E. 1986. Influence of season and environmental modifications on fertility of dairy cattle. Fourth Sci. Conf of Sci. Res. Counc., Proc Agric. Res Iraq, Vol. 1, Part 3. 1678-1694.

Karsch, F.J., Bittman, E.L., Foster, D.L., Goodman, R.L., Legan, SJ. y Robinson, J.E. 1984. Neuroendocrine basis of seasonal reproduction. Recent. Prog. Horm. Res., 40: 185232.

Khaldi, G. 1984. Variations saisonnières de l'activité ovarienne, du comportement d'œstrus et de la durée de I'anœstrus post-partum des femelles ovines de la race Barbarine: influences du niveau alimentaire et de la presence du male. Tesis de Doctorado, Univ. des Sci. et Tech. du Languedoc, Montpellier, 168 pigs.

Lahlou-Kassi, A. y Marie, M. 1985. Sexual and ovarian function of the D'Man ewe. En Genetics of reproduction in sheep. R.B. Land y D.W. Robinson, ed., Publ. Butterworths, Londres, 245-260.

Lopez Sebastian, A. e Inskeep, E.K. 1991. Response of ewes of Mediterrameam sheep breeds to subcutaneous implants of melatonin. Livest Prod. Sci., 27: 177-184.

MacPhee, S., McGregor, B., Williams, A., Ayton, B. y Staples, L. 1987. Induction of an earlier joining and an improvement of kidding percentage by use of melatonin implants in Angora does. Proc Austr Soc. Reprod Biol., 19,24.

Magistrini, M., Chanteloube, P. y Palmer, E. 1987. Influence of season and frequency of ejaculation on production of stallion semen for freezing. .J. Reprod. Fert. (Suppl.), 35: 127-133.

Mahieu, M., Jego, Y., Driancoort, M.A. y Chemineau, P. 1989. Reproductive performances of Creole and Black-Belly ewes in the West Indies. A new major gene controlling ovulation rate. Anim. Reprod. Sci.. 19: 235-243.

Malpaux, B., Chemineau, P. y Pelletier, J. 1993. Melatonin and reproduction in sheep and goats. En Melatonin: biosynthesis, physiological effects and clinical applications. H.S. Yu y R.I. Reiter, ed., CRC Press, Boca Raton Publ., 253-287.

Martinat-Botté, F., Dagorn, J., Terqui, M. y Dando, P. 1984. Effect of confinement, climatic conditions and litter parity on the seasonal variations of the fertility rate and prolificacy. Ann. Rech. Vét, 15(2): 165-172.

Mauget, R. 1982. Seasonality of reproduction in the wild boar. En Control of pig reproduction, D.I.A. Cole y G.P. Foxcroft, ed., Publ. Butterworths, 509-526.

Mazzari, G., du Mesnil du Buisson, F. y Ortavant, R. 1968. Action de la temperature et de la lumière sur la spematogénèse, la production et le pouvoir fécondant du sperme de verrat 6e Cong. Intern. Reprod. Insém Artif., París, 1, 305-308.

O'Callaghan, D., Karsch, FJ., Boland, M.P. y Roche, F.J. 1991. What photoperiod signal is provided by a continuous release melatonin implant? Biol. Reprod., 45: 927-933.

Ortavant, R., Bocquier, F., Pelletier, J., Ravault, J.P., Thimonier, J. y Volland-Nail, P. 1988. Seasonality of reproduction in sheep and its control by photoperiod. Aust. J. Biol. Sci, 41: 69-85.

Ortavant, R. y Loir, M. 1978. The environment as a factor in reproduction in farm animals. 4th World Cong. of Anim Prod., Buenos Aires, 20-26 de abril, Vol. 1, 423-451.

Ortavant, R., Pelletier, J., Ravault, J.P., Thimonier, J. y Volland-Nail, P. 1985. Photoperiod: main proximal and distal factor of the circannual cycle of reproduction in farm mammals. Oxford Rev Reprod. Biol., Clarendon Press, Oxford, 7: 305-345.

Palmer, E. y Driancourt, M.A. 1983. Some interactions of season of foaling, photoperiod and ovarian activity in the equine. Livest. Prod Sci., 10: 197-210.

Palmer, E. y Driancourt, M.A. 1981. Stimulation photopériodique de la jument en anœstrus hivernal: qu'est-ce qu'un jour court? En Photoperiodism and reproduction, Nouzilly (Francia), 24/25 de septiembre, Les Colloques de l'INRA, N°6, Ed. INRA Publ., Paris, 67-85.

Pelletier, J. y Almeida, G. 1987. Short light cycles induce persistent reproductive activity in Ile-de-France rams. J. Reprod Fert (Suppl.), 34: 215-226.

Robinson, J.J., Wigzell, S., Aitken, R.P., Wallace, J.M., Ireland, S. y Robertson, I.S. 1992. Daily oral administration of melatonin from March onwards advances by 4 months the breeding season of ewes maintained under the ambient photoperiod at 57° N. Anim. Reprod. Sci., 27: 141-160.

Roman-Ponce, H. 1977. Evaluation of thermal stress effects on fertility, hormonal balance and uterine blood flow. Tesis de doctorado, Univ. Florida, 229 pigs.

Sawyer, GJ. 1983. The influence of radiant heat load on reproduction in the Merino ewe. Les Colloques de l'INRA, N° 20, Ed. INRA Publ., Paris, 225-235.

Staples, L.D., McPhee, S., Reeve, J. y Williams, A.H. 1992. Practical applications for controlled release melatonin implants in sheep. En Advances in pineal research, Vol. 6A, A. Foldes, R.I. Reiter, eds., John Libbey, Londres.

Stephenson, R.G.A., Suter, G.R. y Le Feuvre, A.S. 1984. Reduction of the effects of heat stress on lamb birth weight and survival by provision of shade. En Reproduction in sheep. D.R. Lindsay y D.T Pearce, eds., Cambridge Univ. Press, Londres, 223-225.

Thimonier J. y Mauleon P. 1969. Variations saisonnières du comportement d'œstrus et des activités ovarienne et hypophysaire chez les ovins. Ann. Biol. Anim Biochim. Biophys., 9: 233-250.

Wettemann, R.P. y Bazer, F.W. 1985. Influence of environmental temperature on prolificacy of pigs. J. Reprod. Fert. (Suppl.), 33: 199-208.

Williams, H. y Wards, S. 1988. Melatonin and light treatment of ewes for autumn lambing. Reprod. Nutr. Develop, 28(2B): 423-429.

Williams, H. y Hanif, M. 1990. The use of melatonin in the preparation of rams for out-of-season breeding. Proc. of Meetings of Sheep Vet Soc., Vol. 14: 113-116.

Yenikoye, A. 1984. Annual variations in oestrous behaviour, ovulation rate and the possibility to ovulate in Niger ewes of the Peulh breed. Reprod. Nutr. Develop., 24(1): 11-20.


Previous Page Top of Page Next Page