B.1 Equations financières
B.2 La signification de l'équivalence
B.3 Dérivation des facteurs d'intérêt
B.4 Taux d'intérêt nominal et effectif
B.5 Inflation et taux d'intérêt
B.1.1 Intérêt
B.1.2 Valeur temps de l'argent
B.1.3 Intérêt simple
B.1.4 Intérêt composé
Le terme "intérêt" est utilisé pour indiquer le prix payé pour l'utilisation de l'argent. Il est également utilisé pour représenter le pourcentage gagné par un investisseur dans une opération productive. Du point de vue du prêteur, le taux d'intérêt est le rapport entre le profit reçu et l'investissement sur une période de temps, qui est une contribution au risque de perte, aux coûts administratifs et aux gains ou profits bruts. Du point de vue de l'emprunteur, le taux d'intérêt peut être exprimé comme le rapport entre la quantité payée pour l'utilisation des fonds et la quantité de fonds nécessaire. Dans ce cas, le taux d'intérêt doit être inférieur aux gains escomptés.
L'argent peut produire des gains à un certain taux d'intérêt en étant investi pendant une période de temps, il est important de savoir qu'une unité d'argent reçue à une date future ne produit pas autant de gains qu'une unité d'argent reçue maintenant. Cette relation entre l'intérêt et le temps est à la base du concept de "Valeur temps de l'argent".
L'argent a également une valeur temps, étant donné que le pouvoir d'achat d'un dollar varie avec le temps. Pendant les périodes d'inflation, la quantité de marchandises que l'on peut acheter avec une certaine quantité d'argent diminue au fur et à mesure que la date de l'achat s'éloigne dans le futur. Bien que ce changement du pouvoir d'achat de l'argent soit important, le concept de valeur temps de l'argent l'est encore plus, car il englobe le pouvoir d'achat. Toute référence ultérieure à la valeur temps de l'argent sera limitée à ce concept. Les effets de l'inflation sur la rentabilité d'un investissement sont discutés dans le chapitre 7.9. Il est nécessaire de connaître les différentes méthodes de calcul des intérêts afin de calculer, avec certitude, l'effet réel de la valeur temps de l'argent dans la comparaison de modes d'action alternatifs.
Normalement, un taux d'intérêt sur une somme d'argent est exprimé en pourcentage de la somme payée pour l'utilisation de l'argent pendant une période d'un an, mais il peut également être calculé sur des périodes de temps différentes. Afin de simplifier la discussion suivante, l'examen des taux d'intérêt pour des périodes autres qu'une année sera effectué à la fin de cette annexe (B.4). L'intérêt à payer sur un prêt à intérêt simple, est proportionnel à la somme principale. Avec P comme somme principale, n le nombre d'années et i le taux d'intérêt, l'intérêt simple peut être exprimé comme:
I = P × n × i.........(B.1)
Un prêt à intérêt simple peut être contracté pour une période de temps quelconque. L'intérêt et le capital seront payés à la fin de la période de prêt.
Exemple B.1 Intérêt simple
Trouvez l'intérêt simple de 4 500 $EU à 8% par an pour a) 1 an et b) 4 ans.
Réponse:
a) I = P × n × i = 4 500 $EU × 1 × 0,08 = 360$EU
Le capital plus les intérêts augmente jusqu'à 4 860 $EU et constituera la dette totale à la fin de l'année.
b) I =P × n × i = 4 500 $EU × 4 × 0,08 = 1440 $EU
En calculant l'intérêt dû pour une fraction d'année, il est habituel de considérer l'année comme constituée de 12 mois de 30 jours, c'est-à-dire 360 jours.
Exemple B.2 Intérêt simple. Période de durée inférieure à un an
Trouvez l'intérêt simple de 1 000 $EU pour la période 1 février-20 avril à 8% par an.
Réponse:
I = P × n × i = 1 000 × (80 jours/360 jours) × 0,08 = 17,78 $EU
Lorsque l'intérêt obtenu pendant chaque période est ajouté au capital, comme dans le Tableau B.1 (Exemple B.3), on dit que l'intérêt est annuellement composé. La différence entre intérêt simple et intérêt composé est due à l'effet de capitalisation. Le montant total final sera plus important avec de grosses sommes d'argent, des taux d'intérêt élevés ou un plus grand nombre de périodes. L'intérêt composé est le type d'intérêt le plus couramment pratiqué, et sera donc celui que l'on utilisera dans ce manuel.
Tableau B.1 Calcul d'intérêts composés
|
Année |
Somme due au début de l'année |
Intérêts ajoutés à la dette à la fin de l'année |
Somme due à la fin de l'année |
Somme à payer à la fin de l'année |
|
(A) |
(B) |
(A + B) |
||
|
1 |
1 000 |
1 000 × 0,08 = 80 |
1 080 |
0,00 |
|
2 |
1 080 |
1 080 × 0,08 = 86,4 |
1 166,4 |
0,00 |
|
3 |
1 166,4 |
1 166,4 × 0,08 = 93,3 |
1 259,7 |
0,00 |
|
4 |
1 259,7 |
1 259,7 × 0,08 = 100,8 |
1 360,5 |
1 360,5 |
Afin de permettre la visualisation de chaque alternative d'investissement économique on utilise un diagramme de dépenses et recettes (Figure B.1). Cette méthode graphique fournit toute l'information nécessaire pour analyser une proposition d'investissement. Ce diagramme montre les gains obtenus pendant la période avec une flèche montante (augmentation de l'argent) positionnée à la fin de la période (on suppose toujours qu'elle prend place à la fin de la période en question). La longueur de la flèche est proportionnelle à l'importance du gain obtenu pendant la période. De façon similaire, la dépense est représentée par une flèche descendante (une diminution de l'argent). Ces flèches sont placées sur une échelle de temps qui représente la durée de l'alternative.
Les Figures B.1 a) et b) montrent également les diagrammes d'évolution pour l'emprunteur et le prêteur de l'exemple précédent, dans lequel les dépenses encourues en lançant une alternative sont supposées avoir été effectuées au début de la période sur laquelle elle s'étend.
Figure B.1 Diagrammes dépenses et recettes: a) Emprunteur et b) Prêteur
Exemple B.3 Intérêts composés
Trouvez la dette totale à payer à la fin des 4 années. La somme due est de 1 000 $EU à 8% par an.
Réponse: Les résultats du calcul sont indiqués au Tableau B.1 et à la Figure B.1.
Il faut comparer les sommes d'argent produites à différents moments afin d'évaluer les alternatives d'investissement. Cela n'est possible que si leurs caractéristiques sont analysées sur une base équivalente. Deux situations sont équivalentes quand elles ont le même effet ou la même valeur. Trois facteurs interviennent dans l'équivalence d'alternatives d'investissement:
- le montant financier
- le moment de l'opération
- le taux d'intérêt
Les facteurs de l'intérêt qui sera développé prennent en compte la durée et le taux de l'intérêt. Plus tard, ils sont utilisés dans la transformation des alternatives en termes d'une base de temps commune.
B.3.1 Facteur d'intérêt composé avec paiement unique
B.3.2 Coefficient de valeur actualisée avec paiement unique
B.3.3 Coefficient d'intérêt composé avec série de paiements égaux
B.3.4 Coefficient de fonds d'amortissement avec série de paiements égaux
B.3.5 Coefficient de recouvrement du capital avec série de paiements égaux
B.3.6 Séries géométriques
Les facteurs d'intérêt applicables aux situations de routine, par exemple l'intérêt composé avec paiement unique, et avec une série de paiements égaux, vont être dérivés. Les cinq points suivants doivent être gardés à l'esprit pour l'application dans les calculs d'alternatives d'investissement:
1. La fin d'une période est, au même moment, le début de la période suivante.2. P est produit au début d'une période, à un moment du présent.
3. F intervient à la fin de la nème période à partir d'un moment considéré comme le présent (n'étant le nombre total de périodes).
4. A est un paiement unique dans une série de paiements égaux effectués à la fin de chaque période considérée. Lorsque P et A se produisent ensemble, le premier A de la série est produit une période après P. Lorsque F et A se produisent ensemble, le dernier A de la série se produit en même temps que F. Si la série de paiements égaux intervient au début de chaque période considérée, elle est appelée Ab.
5. En proposant différentes alternatives, les quantités P, F, A et Ab doivent être utilisées de telle façon qu'elles incorporent les conditions nécessaires pour ajuster les modèles respectifs aux facteurs utilisés.
Le Tableau B.2 résume les équations financières qui montrent les relations entre P, F et A (Jelen and Black, 1983).
Tableau B.2 Equations financières
|
Coefficient de montant composé avec paiement unique: | ||
|
Etant donné P, trouvez F |
F = P × [(1 + i)n)] |
F = P × FPF,i,n |
|
- Coefficient de valeur actualisée avec paiement unique: | ||
|
Etant donné F, trouvez P |
P = F × [(1 + i)-n)] |
P = F × FFP,i,n |
|
- Coefficient de valeur actualisée avec série de paiements égaux: | ||
|
Etant donné A, trouvez |
|
P = A × FAP,i,n |
|
- Coefficient de retour sur capital avec série de paiements égaux: | ||
|
Etant donné P, trouvez A |
|
A = P × FPA,i,n |
|
- Coefficient de montant composé avec série de paiements égaux: | ||
|
Etant donné A, trouvez F |
|
F = A × FAF,i,n |
|
- Coefficient de fonds d'amortissement avec série de paiements égaux: | ||
|
Etant donné F, trouvez A |
|
A = F × FFA,i,n |
Si une somme P est investie au taux d'intérêt i, quelle somme d'argent est accumulée entre le capital et les intérêts à la fin de la période n; ou, quelle est la valeur équivalente à la fin de la dernière période n, de la somme P investie au début de l'opération? Le diagramme de flux de trésorerie pour cette situation financière est montré à la Figure B.2. Le Tableau B.1 montre les intérêts obtenus en appliquant l'intérêt composé à l'investissement décrit à la Figure B.2. Cet investissement n'a pas produit de revenu pendant les périodes intermédiaires. Dans le Tableau B.1, les intérêts obtenus sont ajoutés à la somme initiale à la fin de chaque période d'intérêt (capitalisation annuelle). Le Tableau B.3 montre la déduction en termes généraux.
Tableau B.3 Déduction du facteur d'intérêts composés avec paiement unique
|
Année |
Somme au début de l'année |
Intérêts obtenus pendant l'année |
Intérêts composés à la fin de l'année |
|
1 |
P |
P × i |
P + P × i = P × (1+i) |
|
2 |
P × (1 + i) |
P × (1+i) × i |
P × (1+i) + P × (1+i) × i = P × (1+i)2 |
|
3 |
P × (1 + i)2 |
P × (1+i)2 × i |
P × (1+i)2 + P × (1+i)2 × i = P × (1+i)3 |
|
n |
P × (1 + i)n-1 |
P × (1+i)n-1 × i |
P × (1+i)n-1 + P × (1+i)n-1 × i = P × (1+i)n = F |
Figure B.2 Montant actuel simple et montant futur simple
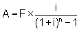
Le facteur résultant (1 + i)n est appelé coefficient d'intérêt composé avec paiement unique et s'écrit FPF; la relation est:
F = P × (1 + i)n..........(B.2)
F = P × FPF..........(B.3)
Exemple B.4 Coefficient de montant composé avec paiement simple Calculez le montant composé de 1 000 $EU sur 4 ans à 8% d'intérêts composés annuels.
Réponse: A partir de l'équation B.3
F = 1 000 × (1 + 0,08)4 = 1 000 × 1,3605 = 1 360,5 $EU
Une autre façon d'interpréter l'équation B.3 est que le montant F à une date future est équivalent à la valeur connue de P au moment présent, pour le taux d'intérêt donné i. Le montant F, soit 1 360,5 $EU est équivalent au montant initial P, soit 1 000 $EU à la fin des quatre années si le taux d'intérêt est de 8% par an.
En tirant P de la dernière équation B.2, on obtient:
Le coefficient résultant (1 + i)-n est appelé coefficient de valeur actualisée avec paiement unique et s'écrit FFP:
P = F × FFP.........(B.5)
Exemple B.5 Coefficient de valeur actualisée avec paiement unique
Combien faut-il investir maintenant (à l'instant présent) à 8% d'intérêts composés par an afin d'obtenir 1 360, 5 $EU au bout de 4 ans; ou quelle est la valeur actualisée équivalente de 1 360, 5 $EU à recevoir quatre ans plus tard?
Réponse: A partir de l'équation B.5,
P = 1 360, 5 × (1/1,3605) = 1 360, 5 × 0,73503 = 1 000 $EU
Il est à noter que les deux facteurs sont réciproques. Dans les méthodes de la valeur présente nette et du taux de rentabilité interne utilisées pour évaluer la rentabilité des projets (Chapitre 7), le coefficient de valeur actualisée est appliqué pour comparer les flux de trésorerie à l'investissement initial.
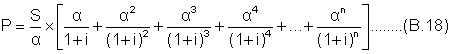
Comme introduction, une définition du concept d'annuité va être donnée, qui consiste en une série de paiements égaux effectués à des intervalles de temps réguliers, que ce soit annuellement ou à différentes périodes. Ce schéma intervient dans des situations telles que l'accumulation d'un capital déterminé (perception d'une certaine somme globale après un certain nombre de paiements périodiques, comme c'est le cas dans certains contrats d'assurance vie, ou lors de l'annulation d'une dette. La Figure B.3 montre la première situation, en supposant que l'on recherche la somme future par une série de paiements égaux effectués à la fin de périodes successives d'intérêt.
Figure B.3 Valeur future unique avec série de paiements égaux
La somme des intérêts composés des différents paiements peut être calculée en utilisant le coefficient d'intérêt composé avec série de paiements égaux. La méthode de calcul du coefficient est l'utilisation de l'intérêt composé avec coefficient de paiement unique pour transformer chaque A en sa valeur future:
F = A + A × (1 + i) + A × (1 + i)2 + A × (1 + i)3 +...+ A × (1 + i)n-1.........(B.6)
C'est une suite géométrique de raison (1 + i)
F = A × [1 + (1 + i) + (1 + i)2 + (1 + i)3 +... + (1 + i)n -1] .........(B.7)
La somme d'une suite géométrique est égale à:
Dans ce cas:
Le coefficient résultant [(1 + i)n - 1]/i est appelé coefficient d'intérêt composé avec série de paiements égaux et s'écrit FAF:![]()
F = A × FAF.........(B.11)
Exemple B.6 Coefficient de montant composé avec série de paiements égaux
Calculez le montant composé pour une série de cinq paiements de 500 $EU effectués à la fin de chaque année à 8% par an.
Réponse: Le calcul est illustré au Tableau B.4
A partir de l'équation B.11:
F = 500 × [(1,08)5 - 1]/0,08 = 500 × 5,8664 = 2 933,2 $EU
Ce qui signifie que le montant de 2 933,2 $EU à la fin des cinq périodes est équivalent à cinq paiements annuels de 500 $EU, lorsque le taux d'intérêt est de 8% par période.
En tirant A de l'expression (B.10) on obtient:
Le coefficient résultant i/[(1 + i)n - 1] est appelé coefficient de fonds d'amortissement avec série de paiements égaux.
A = F × FFA
Tableau B.4 Exemple de coefficient d'intérêt composé avec série de paiements égaux
|
Fin d'année |
Coefficient d'intérêt composé avec paiements en fin d'année |
Intérêts composés à la fin des 5 années |
Total intérêts composés |
|
1 |
500 (1,08)4 |
680,2 |
|
|
2 |
500 (1,08)3 |
629,8 |
|
|
3 |
500 (1,08)2 |
583,2 |
|
|
4 |
500 (1,08) |
540,0 |
|
|
5 |
500 |
500,0 |
2 933,2 |
Exemple B.7 Coefficient de fonds d'amortissement avec série de paiements égaux
On souhaite réunir 2 933,2 $EU par une série de cinq paiements annuels, à 8% d'intérêt par an, quel est le montant nécessaire pour chaque paiement?
Réponse:
A partir de l'équation B.12:
La dérivation de ce coefficient et les exemples présentés montrent que le coefficient d'intérêt composé avec série de paiements égaux et le coefficient de fonds d'amortissement avec série de paiements égaux sont réciproques.
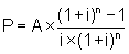
Le montant P est déposé aujourd'hui à un taux d'intérêt de i par an. Le déposant veut retirer le capital plus les intérêts obtenus en une série de retraits égaux en fin d'année pendant les n prochaines années. Lorsque le dernier retrait a été effectué il ne reste plus aucune somme en dépôt. De plus, on peut dire que quel que soit le paiement uniforme à la fin de chaque période, il est équivalent au montant investi au début de la première année. Le diagramme de flux de trésorerie est présenté à la Figure B.4. Pour pouvoir calculer ce coefficient, il faut l'exprimer en tant que produit de deux facteurs déjà connus, le coefficient d'intérêt composé avec paiement unique (FPFi,n) et le coefficient de fonds d'amortissement avec série de paiements égaux (FFAi,n).
A = P × FPA= P × FPF × FFA.........(B.13)
![]()
Le coefficient résultant i × (1+i)n/[(1+i)n - 1] est appelé coefficient de recouvrement du capital avec série de paiements égaux et s'écrit (FFAi,n). Il est utilisé pour calculer les paiements égaux nécessaires pour amortir le montant actuel d'un prêt, lorsque l'intérêt est calculé de façon équilibrée. Ce type d'arrangement financier est à la base de la majorité des prêts et constitue la façon la plus courante d'amortir une dette.
Figure B.4 Montant actuel simple et série de paiements égaux

Dans de nombreux cas, les paiements annuels ne sont pas effectués en séries de paiements égaux. Dans certains pays il est courant de trouver une série géométrique de paiements, c'est-à-dire des paiements où
chaque terme est égal au précédent multiplié par un coefficient:
S + a × S + a 2 × S + a 3 × S +... + a n-1 × S.........(B. 16)
où S est le premier paiement et r, le facteur par lequel il est multiplié. Cette série peut symboliser, par exemple, un quota indexé mensuellement, avec un intérêt mensuel oc Dans ce cas, le quota initial est S. Afin de pouvoir travailler avec ces séries en utilisant les formules connues, chacun des quotas doit d'abord être transformé en valeurs actuelles:
Après isolement du facteur commun S/r:
l'expression entre parenthèses est la somme des suites géométriques de raison a /(1+i)
En transformant cette expression il est possible d'obtenir:
Si au lieu de travailler avec la valeur actualisée, les quotas équivalents à la série sont nécessaires, il faut utiliser les équations suivantes:
De cette façon, que l'on utilise P ou A, il est possible de travailler facilement avec les équations connues.
B.4.1 Taux d'intérêt composé discret
B.4.2 Taux d'intérêt composé continu
B.4.3 Comparaison de taux d'intérêt effectifs
Pour simplifier, la discussion sur l'intérêt a été basée sur des périodes d'intérêt d'une année. Cependant, des arrangements peuvent spécifier que l'intérêt sera payé plus fréquemment, par exemple semestriellement, trimestriellement ou mensuellement. Un tel arrangement produira des périodes d'intérêt de six mois, trois mois ou un mois, et l'intérêt sera composé respectivement deux fois, quatre fois ou douze fois dans l'année.
Les taux d'intérêt associés à cette méthode de composition plus fréquente sont normalement calculés sur une base annuelle conformément à la convention suivante. Lorsque le taux d'intérêt est de 4,8% composé tous les six mois, le taux d'intérêt annuel ou nominal est calculé tel que «9,6% annuel, composé semestriellement». Pour un taux d'intérêt effectif de 2,4% composé à la fin de chaque période de trois mois, l'intérêt nominal est calculé tel que «9,6% annuel, composé trimestriellement». Ainsi le taux d'intérêt nominal est exprimé sur une base annuelle et ceci est déterminé en multipliant le taux d'intérêt effectif par le nombre de périodes d'intérêt dans l'année.
L'effet d'une composition plus fréquente est que le taux d'intérêt effectif est plus élevé que le taux d'intérêt nominal. Par exemple, considérons un taux d'intérêt nominal de 9,6%, composé semestriellement. La valeur d'un dollar à la fin d'une année, lorsqu'un dollar est composé à 4,8% pour chaque période de 6 mois est:
F = 1(1,048) (1,048) $EU = 1(1,048)2 $EU = 1,0983 $EU
L'intérêt réel obtenu sur un dollar pour une année est égal à 0,0983 $EU. Il en résulte un taux d'intérêt annuel effectif de 9,83%. Une expression du taux d'intérêt annuel effectif peut être dérivée du raisonnement précédent:
i = taux d'intérêt nominal (annuel)
ieff = taux d'intérêt effectif (par période)
c = nombre de périodes d'intérêt par an
ieff = taux d'intérêt annuel effectif = (1 + i/c)c -1.........(B.22)
Exemple B.8 Taux d'intérêt effectif
Calculez la valeur de 1 000 $EU pour 4 ans à un taux d'intérêt nominal de 10% composé trimestriellement.
Réponse:
A partir de l'équation B.22
ieff = (1+0,10/3)3- 1 = 10,33%
En utilisant l'équation B. 3
F = P × FPF10,33%, 4ans = 1 000 × (1 + 0,1033) = 1 482 $EU
A la limite, l'intérêt peut être considéré comme étant composé un nombre infini de fois par an, c'est-à-dire de manière continue. Dans ces conditions, un taux d'intérêt annuel effectif pour un intérêt composé en continu est défini comme:
La partie droite de la formule est réarrangée pour inclure i en exposant:
(1+i/c)c = (1+i/c)i × c/i.........(B.24)
La valeur du symbole mathématique e est la valeur de (1 + 1/n))n lorsque n tend vers l'infini, alors:
Par substitution, ieff = lim (1 + i/c)i × c/i - 1 = ei - 1.........(B.26)
Il en résulte, lorsque l'intérêt est composé de manière continue,
ieff = taux d'intérêt annuel effectif = ei -1.........(B.27)
Les taux d'intérêts effectifs qui correspondent à un taux nominal de 9,6%, composé annuellement, semestriellement, trimestriellement, mensuellement, hebdomadairement, quotidiennement et en continu sont montrés au Tableau B.5.
Tableau B.5 Comparaison de taux d'intérêt
|
Fréquence de composition |
Nombre de périodes par année (c) |
Taux d'intérêt effectif par période (ip) |
Taux d'intérêt annuel effectif (ieff) |
|
Annuellement |
1 |
9,6% |
9,60% (*) |
|
Semestriellement |
2 |
4,8% |
9,83% |
|
Trimestriellement |
4 |
2,4% |
9,95% |
|
Mensuellement |
12 |
0,8% |
10,03% |
|
Hebdomadairement |
52 |
0,1846% |
10,06% |
|
Quotidiennement |
365 |
0,0263% |
10,074% |
|
En continu |
c® ¥ |
ip® 0% |
10,076% |
Note:
* Le taux d'intérêt annuel effectif est toujours égal au taux nommai lorsque l'intérêt est composé annuellement.
Etant donné que le taux d'intérêt effectif représente le taux d'intérêt réel obtenu, c'est ce taux qui doit être utilisé pour comparer les avantages de différents taux d'intérêt nominaux.
Le comportement de l'économie mondiale par le passé montre une tendance générale inflationniste du prix des marchandises. Cette tendance a été inversée pendant des périodes spécifiques, mais globalement il semble qu'il y ait une pression constante à l'augmentation des prix. Des taux d'inflation bas auraient un faible impact sur l'évolution des prix. Mais une inflation qui dépasse les 10% par an peut entraîner des conséquences extrêmement graves pour les personnes et les institutions (Chapitre 7.9).
L'inflation est normalement décrite sous forme d'un pourcentage annuel ou mensuel, qui représente le taux auquel les prix des marchandises au cours de l'année ou du mois considéré augmentent par rapport aux prix de l'année ou du mois précédent. Etant donné que le taux est défini de cette manière, l'inflation a un effet composé. Ainsi, les prix qui augmentent à un taux de 8% par mois vont augmenter de 8% le premier mois et au cours du mois suivant l'augmentation attendue sera de 8% du nouveau prix. Etant donné que le nouveau prix comprend l'augmentation initiale de 8%, le taux d'augmentation est appliqué à l'augmentation de 8% déjà rajoutée.
Il en va de même les mois suivants et en conséquence, les taux d'inflation sont composés de la même façon que les taux d'intérêts. Afin d'intégrer les effets de l'inflation dans les études économiques, des coefficients d'intérêt doivent être utilisés pour que les effets inflationnistes puissent être identifiés en valeurs monétaires à différentes périodes de temps. La procédure standard pour éviter la perte de pouvoir d'achat accompagnant l'inflation est:
1. Etudier tous les coûts associés à un projet en termes de valeur monétaire présente.2. Modifier les coûts estimés à l'étape 1 de telle façon qu'à chaque date ultérieure, ils représentent le coût à ce moment précis en termes de valeurs monétaires devant être dépensées.
3. Calculer la quantité équivalente de flux de trésorerie qui résulte de l'étape 2, considérant la valeur temps de l'argent (taux d'intérêt du marché).
Il est important d'observer que le taux d'intérêt auquel il est possible d'investir dans une opération financière ou bancaire représente le taux d'intérêt du marché (standard financier). Ce taux d'intérêt est composé par le taux d'inflation et l'opportunité de gain. Si ces deux effets sont séparés, iR, le taux qui représente le pouvoir d'achat de l'argent en l'absence d'inflation, est relié à i, le taux du marché et P, le taux d'inflation, par l'équation 7.25 de ce manuel:
(1+i) = (1+b) × (1 + iR)
Exemple B.9 Taux d'intérêt réel
Une personne investit son argent dans une banque à un taux d'intérêt de 25% par an alors que le taux d'inflation est de 20% pendant la même période. Quel est le taux d'intérêt effectif ou réel?
Réponse: A partir de l'équation B.28
1 + iR = (1+0,25)/(1+0,20) = 1,042, donc iR = 4,2%
Cet exemple montre que l'effet de l'inflation est de faire apparaître un investissement plus rentable qu'il ne l'est réellement.