Previous Page Table of Contents Next Page


Part I - INVITED PAPERS


Sunn pest problems in the Near East
Prospects for international cooperation on sunn pest research and control
Review of biological control of sunn pest
The role of natural parasitoids in limiting the level of sunn pest populations
Population dynamics and management of sunn pest in Romania
Sunn pest of wheat and barley in the Islamic Republic of Iran: chemical and cultural methods of control

Sunn pest problems in the Near East

R. Skaf1

1 Mr Skaf retired from FAO in 1988 as Senior Officer, Migratory Soils Group. He passed away in 1993.

INTRODUCTION

Research activities on cereals during the last 40 years have resulted in a better knowledge of cereal pests, including information regarding the distribution, ecology, behaviour, quantitative and qualitative damage and chemical control of sunn pest, Eurygaster integriceps Put. During the period 1960 to 1970, regional cooperation was coordinated by FAO in the Near East region and was oriented towards the following objectives:

· developing better information and coordination through the Sunn Pest Information and Documentation Centre at the Pasteur Institute, Paris, financed by FAO;

· ecological studies covering the countries of the Near East, and intensive research on biological control;

· organizing regional training courses.

During this period, the centre edited ten scientific memoirs, 13 technical circulars and 12 field mission reports. These publications developed various methodological aspects and explained in detail the techniques for parasitoid inventory and specific identification, mass-breeding of bugs and parasitoids, survey and assessment of pest populations and comparative analysis of cereal and sunn pest phenology. In general, discoveries made on specificity and competition between oophagous parasitoids opened new fields in parasitism studies.

The period 1960 to 1970 was followed by a period of recession in sunn pest studies in most countries, apart from in irrigated areas. Regional and international cooperation also decreased. The problem regained importance after the 1980s in the former Union of Soviet Socialist Republics, Afghanistan, Iran, Iraq, the Syrian Arab Republic, Turkey, Bulgaria and Romania where the increasing use of chemical control was accompanied by an increase of new cereal pests and the repetition of research activities on subjects studied several times before.

In spite of the progress of biological studies and chemical control, the key problems remain the same. Chemical control is possible and can be effective but is often uneconomic and could be greatly improved. Although knowledge of sunn pest and its parasitoids and of their mass-rearing has advanced greatly, biological control has not been put into operational practice and its value is underestimated. The problem is becoming chronic in several countries, particularly in irrigated areas. At the same time, food production is more important than ever and self-sufficiency in cereal production has become a goal for most countries. Furthermore, society seeks higher quality than was usually accepted previously. Therefore, sunn pest infestations require corrective measures. The need for regional coordination has again been expressed. An international symposium was held in Tekirdag, Turkey, from 13 to 15 June 1988. Increasing sunn pest infestations have since been recorded in Afghanistan, Iran, Iraq, the Syrian Arab Republic and Turkey, and FAO assistance was required in seeking solutions to the problem. Now is a good time to review the situation and to reach a comprehensive understanding of the problem, which has to be considered within the agricultural ecosystem of the region.

THE RELATIONSHIP BETWEEN WATER AND SUNN PEST OUTBREAKS

The sunn pest problem is a water problem. Water is an essential element which influences three fundamental and interrelated aspects of the problem:

· the development of the cereal;
· the development of the bug;
· the action of natural enemies.

In the vast areas of the Fertile Crescent, where wheat is frequently cultivated under rain-fed conditions without irrigation, the sunn pest problem is relatively minor. In this region, wheat development is rapid and is normally completed before Eurygaster reaches the adult stage. If spring rainfall is delayed for several consecutive years, however, there may be a coincidence of ripe grain and young Eurygaster adults. This coincidence will be favourable to the survival of the insect during the two critical periods of aestivation and hibernation and explains why Eurygaster attacks develop more or less periodically and why they do not persist for more than a few years.

In areas where rainfall is insufficient and irrigation is essential for wheat cultivation, the importance of the sunn pest problem is proportionate to the shortage of irrigation water at the beginning of autumn. Insufficient water prolongs sowing, which is carried out between September and March. This results in a heterogeneity of the crop in reaching maturity (a delay of 15 to 20 days) during spring and this is particularly favourable to the development of the insect. The coincidence of ripe grains and young Eurygaster adults occurs every year and its effects are aggravated by the practice of late and prolonged harvest.

The shortage of irrigation water during autumn is remedied in certain areas by boring deep wells, the output of which allows rapid sowing. Grain ripening then occurs early enough to avoid coincidence with the most aggressive stages of sunn pest and therefore, to avoid damage. Wells satisfy current water needs, but the longer-term consequences of their proliferation are unknown. Reserves of underground water may eventually become exhausted, causing desertification of those areas now considered most fertile.

In areas irrigated by traditional means (canals or rivers), insufficient autumn water is sometimes compensated for by early abundant rainfall which permits a shortened sowing period and, therefore, a lower probability of pest coincidence.

In Iran and north Afghanistan, only a small proportion of wheat areas are chemically treated and cultivation is normally conducted without irrigation.

Irrigated areas of wheat serve as outbreak focuses for migratory locusts. The high population densities, which are more or less permanently maintained, are a threat to adjacent, non-irrigated zones. A well-conducted, long-term survey of sunn pest populations in irrigated areas in different countries would produce the basic information needed to support a similar hypothesis for sunn pest.

Shortage of irrigation water during autumn creates a heterogeneous environment favourable to insect development. In the same way, an excess of irrigation water at the end of the spring or an excess of soil humidity caused by underground water delays the ripening of wheat and increases the probability of coincidence.

The action of water on weeds may also be important to sunn pest population dynamics. The turgidity of these plants is maintained by late rainfall or late irrigation. Weeds are thus an indispensable source of water to the sunn pest when grains are already dry or when the insects feed on grains left on the ground after harvest.

The direct action of water on sunn pest does not seem to greatly influence population levels, as Eurygaster, under good physiological conditions, has a high power of adaptation and resistance. There are, however, very critical periods. For instance, the first late autumn rain may cause high mortality in aestivation sites. The absence of snow in hibernation habitats (mountains) also causes high mortality by dehydration. A prolonged period of snow can delay the return of the sunn pest to cereal fields in the plains, with a consequent decrease in the probability of coincidence and high mortality rates caused by fungal diseases.

It therefore appears that water is a key factor in the regulation of sunn pest populations. Cultural practices involving the manipulation of water may be used to affect sunn pest biology.

TRADITIONAL CONTROL METHODS

Biological control

Biological control of sunn pest has been practised only in Iran, owing to the ability there to collect large numbers of adult sunn pest from hibernation sites. These are kept in captivity to mass-produce eggs for rearing parasitoids. Large-scale experiments on applying biological control in Iran have never been carried out. Today such projects are highly unlikely because of the development and widespread use of chemical control.

The usefulness and efficiency of Asolcus and other parasitoids on Eurygaster eggs have been clearly demonstrated in several countries. Creation of refuge stations for natural enemies has been proposed to increase the impact of egg parasitoids.

Each refuge station consists of 100 m2 sown with rice, sorghum or millet and planted with a line of four to six elms or other trees near a well or perennial water course. Continuous irrigation is essential in the summer months. Cereals provide green plant mass indispensable for feeding, developing and strengthening the entomofauna including parasitic microhymenoptera. The rough bark of the elm tree provides the parasitoids with protection from the cold. The establishment and maintenance of such refuges require that the responsible authorities consider all suitable areas that have wells or perennial water sources.

Chemical control

Chemical control is still the most efficient, as well as the most spectacular, method of suppressing sunn pest infestations and avoiding crop loss. Attention should be given, however, to the real threat of infestation to the crop, and this is the coincidence between the ripe-grain stage and the young sunn pest adults. Economic thresholds should be determined accordingly.

Current chemical control can be improved. Only ultra-low-volume (ULV) applications are truly efficient and economical. In 1991, FAO introduced hand-held battery-operated rotary-disk sprayers in northern Afghanistan.

The type of chemical used is very important. The range of useful chemicals is now widening, although only a few are used on a large scale. Useful chemicals include fenitrothion, trichlorfon, fenthion, methyl-parathion, malathion and diazinon. The quantity of pesticide active ingredient per hectare could be substantially reduced by the addition of small quantities of oil; experiments on fenitrothion in Bulgaria are encouraging on this topic. The effect of the chemical on other cereal pests must also be considered.

The treatment of Eurygaster adults on their arrival in cereal fields from the mountains in early spring should generally be avoided unless the density of adults is very high. Otherwise, the effect of the pesticide on natural parasitism will be pronounced.

Treating Eurygaster aestivation and hibernation sites has also been considered but should be completely ruled out.

In some countries, many areas underneath high-tension electricity cables and small, enclosed fields escape chemical control. Other areas are poorly treated. Here, ground ULV sprayers should be used. It is also well known that chemical control over successive years in the same area not only fails to keep bug populations down, but also encourages the establishment of other dangerous pests such as grain aphids and grasshoppers.

CONCLUSIONS

At present, the use of biological control has reached an impasse. Chemical control is likely to reach the same impasse in the near future unless it is done properly and selectively. Both methods have only a curative effect. They limit the consequences of outbreaks without attacking the problem at its source. Present knowledge of conditions favouring outbreaks constitutes a useful starting-point for the search for new methods of control that are compatible with the use of chemical applications.

New methodologies

It is necessary to define activities for intervention in the complex wheat-sunn pest-natural enemy system that will establish or re-establish the equilibrium most favourable to the plant. The system and its interactions are complex and limit the options available. A thorough study of agronomic, climatic, ecological and biological components is needed in each geographically isolated outbreak area. The following aspects could be considered.

Reconsideration of the suitability of the area to the crop

In arid zones, irrigated wheat covers too large an area compared to the amount of water available for irrigation. A reduction of the cereal area would enable better use of water and also restrain sunn pest outbreaks. Wheat could be replaced by barley during predicted outbreak years and cereals could be replaced by fodder plants particularly adapted to dry conditions. In wet areas, wheat could be replaced by higher-value crops.

Cultural practices

With early and rapid harvesting, the probability of coincidence between ripe grains and young sunn pest adults would decrease. Early harvesting must be adapted to local conditions (ground, relief, size of fields and irrigation). Early harvesting generally means two-step harvesting, i.e. the temporal and spatial separation of cutting and threshing.

Creating refuges for parasitoids, including water reservoirs and tree shelter belts, would lessen the dependence on chemical insecticides by naturally maintaining sunn pest populations below economic thresholds.

Basic research must be undertaken for each of the main aspects of the sunn pest problem. Preventive action should be considered along with curative action in an integrated control programme. New methods will have profound economic and social repercussions and will offer more benefits than just the resolution of the sunn pest problem or the improvement of the working conditions of the farmers.

Summary of the pest management approach

Successful management and control of the sunn pest problem call for:

· well-organized monitoring of sunn pest populations throughout the year;

· limited, adequate chemical control based on monitoring information that limits the infestation without the risk of favouring other pests;

· control of Eurygaster "reservoirs";

· management of refuge stations for egg parasitoids (Hymenoptera);

· planting and marketing of early-yielding wheat varieties;

· replacement of wheat by barley in heavily infested areas;

· implementation of mechanized two-step early harvesting;

· adoption of a water management policy aimed at synchronizing sowing and harvesting in each determined region and limiting wheat cultivation in irrigated zones according to water availability.

Prospects for international cooperation on sunn pest research and control

M. Donskoff

All organizations periodically devote special attention to particular problem areas within their mandate. FAO is focusing today on wheat cultivation in relation to sunn pest. Global political changes and their attendant economic repercussions provide the justification for this workshop.

After examining the important aspects of the wheat-sunn pest relationship and the current control methods for sunn pest, it is envisaged that, in the short term, existing methods will improve and that new research will provide long-term solutions. Since wheat is a crop of world importance, the cooperation of relevant scientific institutions is necessary, along with the use of all modem techniques of data collection and analysis. An international coordination body should be created for this purpose.

WHEAT AND THE SUNN PEST

Activity of sunn pest

The biology of sunn pest is well known and this short review focuses only on the important points. Sunn pest can completely destroy a harvest; in any case, high levels can considerably reduce yields. The bread-making value -especially the coefficient of elasticity (w) - of attacked wheat is low. A single sucked grain in a thousand healthy grains causes a tenfold reduction in w. The most sensitive stage of wheat is the mature grain and the most damaging growth stage of the sunn pest is the adult. It is therefore necessary to prevent the adult from reaching the mature grain.

Key aspects of sunn pest biology

Sunn pest are migratory. Adults overwinter in the mountains and descend to cereal fields to lay eggs in the spring. The resulting generation causes the damage. Damage is proportional to the number of sunn pest present, which in turn is directly related to hibernation success that depends on the accumulation of fat reserves by adults in the fields the previous year.

CURRENT CONTROL PRACTICES

Sunn pest are killed under the following conditions to keep them from the fields:

· in the very extensive hibernation sites;

· in wheat and barley fields;

· using insecticides which are expensive and should therefore not be wasted;

· using egg-parasitic Hymenoptera - judicious use of this method has completely destroyed sunn pest populations on some occasions.

To avoid the coincidence of ripe cereals and adult sunn pest:

· use fast-growing cereals such as barley;

· use fast-growing wheat varieties;

· practise two-stage harvesting - reaped wheat matures in four days compared with 15 days for standing wheat. The 11 days gained help prevent coincidence between ripe grain and adult sunn pest;

· harvest a whole region simultaneously to deny the insects the chance of building up their winter fat reserves.

IMPROVING EXISTING CONTROL METHODS

Improving chemical control

Monitoring sunn pest populations. The accurate monitoring of sunn pest migration is the basis for effective chemical control. It governs the timing of applications, thereby reducing the amount of product used by restricting treatment to gregarious populations of sunn pest before they disperse to other fields. This monitoring, which involves service personnel and farmers, can be made successful by the use of modern information technology that stores and displays data and allows the prediction of displacements and the orientation of surveys.

Accessibility of all fields for treatment. As all untreated land constitutes a focus of secondary infestation, untreated pockets within infested areas must be avoided.

Choice of formulation for control. Insecticides used must conform with current legislation; if possible, they should be specific to the target insects and they should be as cheap as possible despite the sales policies of chemical companies.

Improvement of control methods. Sunn pest controls must be easy to apply, rapid and economical. The most effective, widespread method is to use ultra-low-volume (ULV) applications, with the pesticide electrostatically charged and sprayed from helicopters or aeroplanes.

Compatibility of chemical control with biological control in an IPM programme

Chemical control with cheap compounds and simple application methods often seems to offer a solution. The protection of humans and the environment, however, has led to regulations which have compelled chemical companies to invest in a search for new compounds. The cost of developing a new compound is now very high. Biological control in the context of IPM has become viable and no longer excludes the possibility of using chemicals, except in cases where biological methods can control sunn pest populations without assistance from other control methods. In such situations, oophagous Hymenoptera are not reintroduced each year. They find suitable conditions for survival in both winter and summer. These favourable conditions have, in part, been created by humans and include the planting of trees with rough bark which produce sugary exudates near rivers and irrigation canals. The range of such refuges for Hymenoptera should be increased so that egg parasitoids play a normal part in the reduction of pest numbers. Beneficial insects must be protected at times of egg-laying and in the refuge areas. The cost of putting such actions into practice is low, is economically viable and does not require insurance policies.

Improved prevention of the coincidence of ripe grain with adult sunn pest

Use of early-maturing varieties. Barley, an early-maturing cereal, has often been used to prevent sunn pest from building up fat reserves. Early-maturing varieties are frequently low-yielding, however, because if the plant's life cycle is short, the yield falls. Early-maturing varieties with rapid grain ripening are needed because early sowing is not always possible. Selection must permit sufficient yield with a short growth cycle but with little loss of insect resistance. The early cereal varieties already known could be used in breeding programmes and many breeding programmes have already used early maturity as a selection criterion.

Two-stage harvesting. Although this kind of harvesting may, at first glance, seem a backwards step, it can be carried out by hand or on large areas by two passes of the combine harvester. Cut sheaves ripen in four days instead of the 15 days that uncut grain requires. It is essential that no ripe grain remains standing so the harvest must be organized by coordinating work or by using a group of combine harvesters. Moving the machines to where they are needed, ensuring an adequate number of machines, adapting equipment, improving working practices and adopting new price structures for harvesting all play a part in this process. Each country needs to resolve the problems posed by its own type of agriculture, the readiness of its farmers to cooperate and its agricultural legislation.

NEW STUDIES

To produce sufficient wheat to feed the growing population of a country and allow the farmers to make a living, further advances must be made. FAO must publicize the advances offered by modem science and should encourage organizations to work together in these areas. Some techniques have already been tested on cereals, others could be tested. The following are some of the directions which research must follow to give medium- and long-term benefits.

Genetic modification of wheat

Varieties resistant to insects need to be produced; genes for endotoxins and antiproteases (which cause the insect to become incapable of digesting the food ingested and make it die of hunger) should be developed.

Studies of plant defences

Such studies have so far been neglected. Many plants synthesize natural protective substances (e.g. pyrethrin and nicotine), moulting hormones, moulting hormone antagonists and analogues of repellent chemicals.

Use of new compounds

New compounds which do not kill the sunn pest directly but provoke mating disruption, unpalatability of plants, etc. should be developed.

Gregarious phenomena in sunn pest

The study of these phenomena, as with those in grasshoppers, could lead to effective sunn pest control strategies.

An international coordinating body

All of the studies should be undertaken by the public sector. The results of research should be brought together by powerful information media and should be disseminated widely. The coordination of the different aspects of wheat protection against sunn pest requires an organization which can undertake and direct research programmes and enter into dialogue with national organizations and specialist institutions. The problems of wheat production are of worldwide concern.

CONCLUSIONS

From the local and regional experiences revealed during this meeting, short- and medium-term solutions can be envisaged, based on the improvement of existing technologies and the use of modem methods. Using these empirical solutions, FAO should design long-term solutions, bringing together capable institutions in programmes which begin in the research laboratory and bring entirely new approaches to wheat cultivation. These new approaches will produce an abundance of grain of good bread-making quality resulting in an improved economic and health status for the people of the region.

Review of biological control of sunn pest

J. Voegelé

INTRODUCTION

The sunn pest or suni bug, called souné in the Syrian Arab Republic and tcherepaxe in the former Union of Soviet Socialist Republics, corresponds to the well-known species Eurygaster integriceps Put. Generally, all wheat bugs are grouped under these common names, particularly E. austriaca Schr., E. maura L., Aelia rostrata Boh., A. cognata Fieb., A. germani Kuest. and A. acuminata L. The sunn pest problem is especially serious in the Syrian Arab Republic, Iran, Iraq, Turkey, India, the former Union of Soviet Socialist Republics, Greece and Morocco. More than 10 million ha of wheat, nearly half of which lie in the Near East, are attacked by sunn pest.

Their high population densities, cyclic population behaviour and migratory behaviour make sunn pest comparable to migratory grasshoppers. Chemical treatments for sunn pest are very costly, particularly in countries where cereals are low-input crops and farmers are poor. Chemical control also disrupts the beneficial insects, which under normal conditions maintain sunn pest populations at acceptable levels. Insecticide resistance has also been reported in sunn pest.

Biological control begins with an understanding of pest biology and a choice of biological agent that is adapted to the pest and its host plant. In many biological control programmes, control agents must be mass-produced and released at the correct time to correspond with the presence of the insect host in the field.

SUNN PEST POPULATION DYNAMICS

Many reports have been published on sunn pest population dynamics. The most important are Arnoldi (1942-1956), Fedotov (1946-1960), Alexandrov (1946-1948), Peredelski (1946; 1949), Strogaia (1950-1960), Ouchatinskaia (1953-1957), Sumakov, Vinogradova and Iakhimovitch (1954; 1958), Brown (1958-1965), Sazanova (1958; 1960), Remaudière (1959-1966), Bokharova-Messner (1960) and Voegelé (1969a).

Aelia or Eurygaster populations develop yearly in three distinct phases. The first phase is characterized by reproduction and development, i.e. copulation, oviposition and nymphal development. Eurygaster species are generally univoltine, while Aelia species are multivoltine. The success of the first phase depends on the relationship between the host and the bug. If climatic conditions are poor for the sunn pest and beneficial for the cereal plant, particularly for early varieties, harvest may occur before the insects have fully developed.

The second phase is passive and concerns the adults undergoing diapause during autumn and winter. They hibernate in or under diverse shelters including stones, dry leaves and grass clumps. The diapausing adults may be found at different altitudes, generally ranging from 900 to 2 000 m.

The third phase is the migration to and from cereal fields to hibernation sites. All phases depend on the stage of physiological development of the sunn pest and its host.

BIOLOGICAL POTENTIALITIES

Morpho-functional studies carried out by the authors mentioned previously (see also Popov, 1985; Triselva, 1990) reveal that the fat body of the insect contains energy reserves for all activities, particularly oogenesis. Abundant reserves correspond with high oviposition potential, while scarce reserves suggest a future deterioration of the bug population. Fat bodies are controlled by the corpora allata. The examination of the fat body can be used to predict the ability of the insect to survive, as fat body size reflects the amount of energy that will be available for vital life functions at critical stages of development.

BIOLOGICAL CONTROL

Approaches to control

The goal of biological control is to manipulate the pest and its habitat in such a way that the pest population remains below an economic threshold. Important references in this regard are: manipulation of agrotechnical and crop growth factors (Banita, Ionescu and Ilicevicis, 1984); early harvest or two-step harvesting (Pajkin, 1958); use of early-maturing or resistant cereal varieties (Shapiro and Bartoshko, 1973); population evaluation and prediction of outbreaks (Emej'yanov, 1980; Mustatea, Popov and Paulian, 1980); and stability of bread-making properties in wheat injured by sunn pest (Emej'yanov, 1992).

Another possible complementary approach is to restore or reinforce the equilibrium existing between the sunn pest and its natural enemies (Anwar et al., 1973; Tilmenbaeiev and Beksultanov, 1975). Natural enemy complexes are usually quite diverse, ranging from microorganisms, such as Rickettsiella eurygasteris Lukyanchikov (Lukyanchikov and Pushkareva, 1971), Beauveria bassiana and Bacillus thuringiensis Berliner (Fedorinchik, 1977), to higher organisms such as Mermithidae (Anwar et al., 1973), Phasiinae such as Clytomyia helluo F. or Allophora subcoleoptrata L. (Dubina, 1974; 1975; Popov, Fabritius and Rosca, 1985), Proctotrupoidea (Telenomus, Trissolcus, Asolcus, Gryon) or Chalcidoidea (Ooenocyrtus) (Voegelé, 1969a; 1969b; Kartavtsev et al., 1974; Zatyamina, Klechkovskii and Burakova, 1976; Bakasova, 1977; Voronin, 1977; Popov and Popov et al., 1979-1989) or ground beetle (Antonenko, 1980).

The oophagous parasitoids are particularly interesting for the following reasons:

· they kill the new pest generation before it damages the crop;

· they do not harm other beneficial insects, or humans;

· they are economical and can be produced at a very low cost by using substitution hosts which are easy to breed, such as Graphosoma semipunctata F. (Voegelé, 1966; Bakasova, 1977). (Sunn pest may also be reared directly on wheat [Daftari, 1974].);

· they can be cold-stored for more than one year while in diapause.

The choice of the correct species of a biological control agent, which is well adapted to the pest and to the pest's habitat, is important and requires systematic and detailed studies on the biological control agent's place of origin and on the region where the introduction is to be made. Successful release of natural enemies also requires pure oophage cultures devoid of superparasitoids. The oophages should be able to recognize the pest and should be distributed at a regional level. In general, inoculative releases of foreign species are unsuccessful (Kartavtsev et al., 1974; Shapiro, Gusev and Kapustina, 1975; Gusev and Shmettser, 1977).

Inventory and choice of oophagous species

Choosing the correct oophage is the most important task to be made in each region (Voegelé, 1981).This step must take into account annual and seasonal variations in the sunn pest population as well as variation in weather (Voegelé, 1969a; 1969b). For example, in Morocco, Aelia rufiventris was abundant in 1964 but disappeared in 1966. A. grandis instars available in the field differ according to the time of year. A. semistriatus is earlier than A. grandis. Similarly, O. fecundus, a primary and secondary parasitoid, is more abundant at the end of the season. Reports in the published literature should be read critically. For example, Zatyamina, Klechkovskii and Burakova (1976) consistently recommend A. grandis over Telenomus chloropus Thoms., while Popov et al. (1987) state the opposite. Kartavtsev et al. (1974) emphasize the superiority of local species and in concurrence with other studies, emphasize the influence of climate. In the dry-weather conditions of 1972, parasitism reached only 14 percent, while it normally exceeded 90 percent as it did in 1971. These authors also demonstrated that parasitoids were sometimes specific to a given plant type, e.g. T. djadetshkoi Rvakovskii occurred preferentially on sainfoin.

In choosing a specific oophage the following should be considered:

· its precocity;
· its olfactory sensitivities;
· its habitat preferences;
· the duration of its oviposition period;
· its fecundity and rate of development.

Studies considering these factors should be made by collecting naturally occurring sunn pest egg masses and by setting egg traps in different biotopes.

Identification of the oophage species

There are good morphological and structural characters that allow the separation of egg-parasitoid species. In the case of true sibling species and at the intraspecific level, electrophoresis can be employed to characterize the population.

CONCLUSIONS

Biological control of sunn pest must include all aspects of sunn pest biology that can be manipulated to maintain populations at economically acceptable levels. While no aspect should be neglected, egg deposition is particularly important. Eggs must be controlled, both quantitatively and qualitatively. The proper egg parasitoid must be selected by the pest manager.

Another important consideration in some wheat bugs is the gregarious phase which, as with migratory grasshoppers, makes the sunn pest particularly dangerous. Different geographical and seasonal aggregations must be located and destroyed. These include destruction of sunn pest in hibernation sites and when high male and female populations form prior to migration from cereal fields.

REFERENCES

Alexandrov, N. 1946-1948. Eurygaster integriceps â Varamine et ses parasites. Entomologie Appliquées, 5, 6, 7, 8. Teheran.

Antonenko, O.P. 1980. Particularités biologiques des carabes pédateurs et leur rôle dans la diminution du nombre d'Eurygaster integriceps dans le district de Saratov. Zool. Zh. Sun., 59(11): 1634.

Anwar, C., Irshad, M., Murtaza, M. & Ghani, M.A. 1973. Pentatomids associated with gramineae and their natural enemies in Pakistan. Tech. Bull. Commonw. Inst. Biol. Control., 16: 47-67.

Arnoldi, K. 1942. On the conditions and phases of the spring transition of Eurygaster integriceps to active life as observed in south western Uzbekistan. C.R. Acad. Sci., 40(1): 35-37.

Arnoldi, K. 1944. On the good relations of Eurygaster integriceps in the highland of western Uzbekistan. C.R. Acad. Sci., 43(1): 32-35.

Arnoldi, K. 1947. Eurygaster integriceps dans la nature en Asie Centrale; moments écologiques et biocénologiques de sa biologie. Vriedn. Tsherepashka Akad. Nauk. SSSR, 1: 136-269.

Arnoldi, K. 1955. L'hivernation d'Eurygaster integriceps Put. dans les montagnes du Kouban â la suite des recherches de 1949, 1953. In P.M. Fedotov, ed. La punaise des céréales. Akad. Nauk. SSSR, 3: 171-237.

Arnoldi, K. 1956. Essai sur le déterminisme des symptômes des invasions chez Eurygaster integriceps. Mouscou. Zool. Journ., 35(7): 990-1003.

Bakasova, N.F. 1977. Comparative study of egg parasites of the noxious pentatomidae. Trudy Vsesojuz. Nauk.-Issled. Zascity. Rast., 44: 91-101.

Banita, E., Ionescu, F. & Ilicevicis, S. 1984. Influence of some agrotechnical and crop growing factors on the outbreak of cereal bugs (Eurygaster integriceps Put.) m the central zone of Oltenia. Probl. Prot. Plant., 12(3): 189-195.

Bokharova-Messner, O.M. 1960. L'appareil digestif d'Eurygaster integriceps Put. et la spécificité fonctionnelle de ses diverses parties. Akad. Nauk. SSSR, 4: 6-32.

Brown, E.S. 1958. Report on a tour of the invasion area of Aelia rostrata Boh. in Central Anatolia. Baghdad Pact Organisation Unclassified EC/6/AG/D4. 15 pp.

Brown, E.S. 1960. Biological investigations on the sunn pest Eurygaster integriceps Put. in Turkey and Iran. Baghdad Pact Organisation Annex D. EC/8/AG/D11. 18 pp.

Brown, E.S. 1962a. Notes on parasites of Pentatomidae and Scutelleridae (Hemiptera: Heteroptera) in Middle East countries with observations on biological control. Bull. Entomol. Res., 53(2): 241-256.

Brown, E.S. 1962b. Research on the ecology and biology of Eurygaster integriceps Put. (Hemiptera: Scutelleridae) in Middle East countries with special references to the overwintering period. Bull. Entomol. Res., 53(3): 445-514.

Brown, E.S. 1962c. The distribution of the species of Eurygaster (Hemiptera: Scutelleridae) in Middle East countries. Ann. Mag. Nat. Hist. (series No. 13), 65: 65-81.

Brown, E.S. 1962d. Notes on the systematic and distribution of some species of Aelia Fabr. (Hemiptera: Pentatomidae) in the Middle East, with special references to the rostrata group. Ann. Mag. Nat. Hist. (series No. 13), 5: 129-145.

Brown, E.S. 1963. Report on research on the sunn pest (Eurygaster integriceps Put.) and other wheat pentatomids in Middle East countries, 1958-1961. Central Treaty Organization, London, Miscellaneous, 4: 1-27.

Brown, E.S. 1965. Notes on the migration and direction of flight of Eurygaster and Aelia species (Hemiptera: Pentatomidae) and their possible bearing on invasions of cereal crops. J. Anim. Ecol., 34: 93-107.

Daftari, A. 1974. Studies on rearing and bioecology of Eurygaster integriceps Put. (Hemiptera: Pentatomidae). Z. Angew. Entomol., 75(2): 186-189.

Dubina, G.P. 1974. Clytomyia helluo R, a parasite of Eurygaster integriceps. Zashch. Rast., 6: 30-31.

Dubina, G.P. 1975. Ecological conditions for use of Clytomyia helluo F. in the control of the noxious pentatomid. Tr. Vses. Inst. Zashch. Rast., 44: 11-117.

Emej'yanov, N.A. 1980. Evaluation et prévision des dégats causés par les larves d''Eurygaster integriceps Put. (Heteroptera: Scutelleridae). Ehntomol. Obozr, 59(1): 3-9.

Emej'yanov, N.A. 1992. The stability of technologial and breadmaking properties of soft spring wheats being injured by chinch bug. S-kh. Biol. (Ser. Biol. Rast.), 1: 88-96.

Fedorinchik, N.S. 1977. Success from and outlook for the use of microorganisms for the biological control of harmful insects and disease organisms of plants in the non-black soil zone. Inst. Zashch. Rast., 53: 19-29.

Fedotov, D.M. 1944. Relations between Eurygaster integriceps and Phasiinae flies parasites of the bugs as a means for controlling it. C.R. Acad. So. USSR, 43: 134-136.

Fedotov, D.M. 1946a. On functional changes in the imago of Eurygaster integriceps Put. Zool. Zh., 25: 245-250.

Fedotov, D.M. 1946b. Observation on Eurygaster integriceps Put. at the period of depression. Dokl. Akad. Nauk. SSSR, 53: 661-663. Fedotov, D.M. 1947a. La punaise des céréales Eurygaster integriceps Put. Akad. Nauk. SSSR, 272 pp.

Fedotov, D.M. 1947b. La punaise des céréales Eurygaster integriceps Put. Akad. Nauk. SSSR, 271 pp.

Fedotov, D.M. 1955. La punaise des céréales Eurygaster integriceps Put. Akad. Nauk. SSSR, 278 pp.

Fedotov, D.M. 1960. La punaise des céréales Eurygaster integriceps Put. Akad. Nauk. SSSR, 239 pp.

Gusev, G.V. & Shmettser, O. 1975. Effect of ecological factors on the rearing of Telenomines in artificial conditions. Tr. Vses. Inst. Zashch. Past., 44: 70-82.

Kartavtsev, N., Voronin, K., Sumarodova, A. & Dzyuba, Z. 1974. Release of Telenomines not reducing numbers of Eurygaster integriceps. Zashch. Rast., 6: 29-30.

Lappa, N.V. & Gora, V.M. 1976. Study and use of muscardine fungi in plant protection. Tr. Vses. Inst. Zashch. Rast., 47: 52-75.

Lukyanchikov, V.P. & Pushkareva, M.D. 1971. Rickettsia for the control of the noxious pentatomid. Tr. Vses. Inst. Zashch. Rast., 16(2): 9-10.

Mustatea, D., Popov, C. & Paulian, F.L. 1980. Les punaises des céréales: prévisions., nocivité et moyens de lutte pour 1980. Lab. Cent. Carantina Phyt. ICCPT, Fundulea, Romania. 32(1): 11-15.

Ouchatinkaia, R.S. 1953. Les reserves alimentaires de l'intestin d''Eurygaster integriceps pendant la diapause hivernale et son importance biologique. Dokl. Akad. Nauk. SSSR, 93: 737-740.

Ouchatinkaia, R.S. 1955. Les particularités physiologiques d'Eurygaster integriceps en période d'hivernation dans les montagnes et les plaines. Eurygaster integriceps Akad. Sci. USSR, 3: 134-170.

Ouchatinkaia, R.S. 1957. Les bases de la résistance au froid chez les insectes. Akad. Nauk. SSSR, Inst. Morph. Zhivotn. 314 pp.

Pajkin, D.M. 1958. Justification et premiers résultats de l'application de la moisson par étapes dans la lutte contre la punaise du blé. Tr. Vses. Inst. Zashch. Rast., 9: 225.

Peredelski, A.A. 1947. Les bases théoriques de la biologie d'Eurygaster integriceps et la pratique de la lutte contre cet insecte. "Eurygaster integriceps", 2: 89-270.

Peredelski, A.A. 1949. The basis of a new method of forecasting the abundance of cereal bugs by the injury to the grain. Dokl. Akad. Nauk. SSSR, 67: 285-388.

Peredelski, A.A. 1950. Changes in the gluten of wheat injured by different species of cereal bugs. Dokl. Akad. Nauk. SSSR, 71: 383-386.

Peredelski, A.A. 1960. Bibliography of Soviet literature on Eurygaster integriceps and other grain bugs 1955-1959. Zashch. Rast. Vred. Bolezn.

Popov, C. 1979a. Activité des parasites d'œuf pendant la période de ponte des punaises des céréales. An. Inst. Cercet. Cereal Plant Tech. (Fundulea), Séries B, 46: 347-353.

Popov, C. 1979b. General considerations on the ecological factors involved in the regulation of pest population levels in cereal crops. Probl. Prot. Plant., 7(4): 401-423.

Popov, C. 1985. Studies on the influence of the fat body on the survival of Eurygaster integriceps Put. during diapause. An. Inst. Cercet. Cereal Plant Tech. (Fundulea), 52: 335-339.

Popov, C., Barbulescu, A., Vonica, I., Simien, I. & Rosca, I. 1989. Investigations on the spread evolution and control of the cereal bug (Eurygaster integriceps Put.) in Romania. Probl. Prot. Plant., 17(3): 267-275.

Popov, C., Fabritius, K. & Rosca, I. 1985. Allophora subcoleoptrata L. (Diptera: Phasinae) a parasite of hibernating adults of Eurygaster integriceps Put. In Romania. Probl. Prot. Plant., 13(1): 9-13.

Popov, C., Gutenmaher, I., Fabritius, K., Petre, G. & Rosca, I. 1984. Contributions to the study of oophagous parasites in cereal bugs. Probl. Prot. Plant., 12(4): 277-283.

Popov, C., Rosca, I., Fabritius, K. & Vonica, I. 1985. Investigations on pest parasite relations in areas of cereal bug damage in Romania. Probl. Prot. Plant., 1 and 2: 71-79.

Popov, C., Rosca, I., Fabritius, K. & Vonica, I. 1988. The study of the pest oophagous parasite relation in the main countries affected by Eurygaster maurus in the 1981-1986 period. Stud. Cercet. Biol. Ser. Biol. Anim., 40(2): 101-106.

Popov, C., Rosca, I., Vonica, I. & Fabritius, K. 1987. Influence of egg parasitation on population levels of cereal pentatomids in the period 1981-1985. Probl. Prot. Plant., 15(3): 217-225.

Remaudière, G. 1959a. Rapport sur le sunn pest du Liban. Paris, Sunn Pest Information and Documentation Centre at the Pasteur Institute. 3 pp.

Remaudière, G. 1959b. Rapport sur le sunn pest en Afghanistan. Paris, Sunn Pest Information and Documentation Centre at the Pasteur Institute. 7 pp.

Remaudière, G. 1960. Project d'institution et de fonctionnement d'une unité de production d'œufs d'Eurygaster integriceps Put. Sunn Pest Cire., 5. 37 pp.

Remaudière, G. 1961. Le sunn pest au Moyen Orient. Recherche et réalisation accomplies en 1960-1961. Perspectives de développement des méthodes biologiques et écologiques. Paris, Sunn Pest Information and Documentation Centre at the Pasteur Institute. 15 pp.

Remaudière, G. 1962a. Rapport interim sur la lutte contre la punaise des céréales (October to November 1962). Rome, FAO. 14 pp.

Remaudière, G. 1962b. Le sunn pest au Moyen Orient. Mission 1962. Paris, Sunn Pest Information and Documentation Centre at the Pasteur Institute. 12 pp.

Remaudière, G. 1963. La technique de moisson des céréales, une des clés du problème sunn pest. Sunn Pest Cire., 9. 9 pp.

Remaudière, G. 1964. Les pentatomides des céréales en Grèce. Project de rapport de mission. Paris, Sunn Pest Information and Documentation Centre at the Pasteur Institute. 19 pp.

Remaudière, G. 1966. La situation actuelle des punaises des céréales, les facteurs de régulation des populations et les moyens d'intervention de l'homme. Rapport de la 2ème session du Comité FAO de Lutte Contre les Punaises des Céréales, Teheran, 18 to 25 April 1966. p. 12-16.

Sazanova, G.V. 1958. Particularités du comportement d'Eurygaster integriceps au printemps dans la région de la Basse Volga en relation avec les applications de la méthode de lutte piégée en Russie. Zool. Z., 37(8): 1143-1149.

Sazanova, G.V. 1960. Les particularités biologiques d'Eurygaster integriceps Put. dans les conditions de la Basse Volga Vriedn. Tsherepashka Akad. Nauk. SSSR, 4: 33-57.

Shapiro, I.D. & Bartoshko, R.I. 1973. Manifestation de la résistance des variétés de blé d'hiver aux larves et imagos d'Eurygaster integriceps Put. Trudy Vsesojuz. Nauk.-Issled. Inst. Zascity. Rast. SSSR, 37: 41-58.

Shapiro, V.A., Gusev, G.V. & Kapustina, O.V. 1975. Evaluation of the biological properties of egg parasites of the family Scelionidae. Trudy Vsesojuz. Nauk.-Issled. Inst. Zascity. Past., SSSR, 44: 57-69.

Strogaia, G.M. 1950. The morpho-physiological condition of Eurygaster integriceps during the active period of its life. Dokl. Akad. Nauk. SSSR,. 73(1): 214-219.

Strogaia, G.M. 1954. Dynamique de quelques composants chimiques chez Eurygaster integriceps Put. dans la cycle annual. Zool. Z., 33(3): 565-576.

Strogaia, G.M. 1955. Le rôle de certains composés biochimiques dans le développement individuel d'Eurygaster integriceps. "Eurygaster integriceps", 3: 68-133.

Strogaia, G.M. 1960. Etat physiologique d'Eurygaster integriceps Put. dans les divers gites d'hivernage du district de Krasnodar. Vriedn. Tsherepashka Akad. Nauk. SSSR, 4: 125-141.

Sumakov, E.M., Vinogradova, N.M. & Iakhimovitch, L.A. 1954. Dynamique de l'accumulation et la perte des réserves grasses chez Eurygaster integriceps. Zool. Z., 33: 87-101.

Sumakov, E.M. et al. 1958. La punaise des céréales. Trudy Vsesojuz. Nauk. -Issled. Inst. Zascity. Rast., 9: 371 pp.

Tepliakova, M.J. 1947. Développement post embryonaire des organes génitaux internes d'Eurygaster integriceps Put. Au cours du cycle annuel dans les régions méridionales européennes et asiatiques de l'URSS. Vriedn. Tsherepashka Akad. Nauk. SSSR, 2: 67-74.

Tepliakova, M.J. 1955. Les modifications pathologiques des ovaires d'Eurygaster integriceps sous l'action du DDT durant la période d'activité de l'insecte. Dokl. Akad. Nauk. Uzb. RSS, 10(4): 775-778.

Tilmenbaeiev, A.T. & Beksultanaov, S.Z. 1975. Border treatments against the pentatomid bug. Zashch. Rast., 5: 18-19.

Triselva, T.A. 1990. Changes in corpora allata in males and females of Eurygaster integriceps due to the precocene 2. Entomol. Rev., 69(5): 161-164.

Voegelé, J. 1966. Biologie et morphologie de Graphosoma semipunctata F. (Heteroptera: Pentatomidae). Al Awamia, 20: 43-102.

Voegelé, J. 1969a. Les Aelia du Maroc. Al Awamia, 30. 139 pp.

Voegelé, J. 1969b. Les Hymenoptères oophages des Aelia. Al Awamia, 31. 329 pp.

Voegelé, J. 1981. Lutte biologique contre Eurygaster integriceps. Bull. OEPP, 11(2): 23-27.

Voronin, K.E. 1977. The use of natural populations of insect enemies. I. Biological control. Zashch. Rast., 9: 20-21.

Zatyamina,V.V., Klechkovskii, E.R. & Burakova, V.I. 1976. Ecology of the egg parasites of pentatomid bugs in the Voronezh region. Zool. Z., 55: 1001-1005.

The role of natural parasitoids in limiting the level of sunn pest populations

I. Rosca, C. Popov, A. Barbulescu, I. Vonica and K. Fabritius

INTRODUCTION

The sunn pests, Eurygaster integriceps Put., E. maura L. and E. austriaca Schrank, are among the most important insect pests of wheat in Romania, with the most severe losses caused by E. integriceps in the southern and eastern parts of the country (Barbulescu, 1967; Popov, 1977).

Control by chemical insecticides is virtually the sole method currently used in Romania, and in Europe and Asia generally (Popov et al., 1982; Starostin, Zaiteva and Snirnova, 1982). However, sunn pest populations could be reduced without resorting to pesticides by using oophagous parasitoids. These occur in nature in sunn pest-infested regions and vary among regions and from year to year (Scepetilnikova, 1958; Voegelé, 1961; Safavi, 1968; Lazarov et al., 1969; Martin, Juvanery and Radjabi, 1969; Kamenkova, 1970). Several biological control agents that are capable of reducing sunn pest populations have been described in Romania (Table 1).

Of the numerous natural enemies, egg parasitoids deserve special mention (Sumakov and Scepetilnikova, 1958; Lazarov et al., 1969; Popov et al., 1980; 1982; Starostin, Zaiteva and Snirnova, 1982; Knubenov, 1983).

In Romania, there are few data on parasites of postembryonic developmental stages, except for a few records of parasitic fungi on sunn pest adults (Popov and Iliescu, 1975) and on Allophora subcoleoptrata L. (Popov, Fabritius and Rosca, 1985). The frequency of the latter parasitoid on overwintering adults reached 41.5 percent in forests, but its overall parasitism rate was low (about 1.57 percent).

TABLE 1 - Biological factors limiting sunn pest (Eurygaster spp.) populations in Romania

Parasite/parasitoid

Predator

INSECTS

INSECTS

Hymenoptera
Family: Scelionidae

Heteroptera
Family: Nabidae

Telenomus chloropus Thorn.

Nabis pseudoferus Rm.

Trissolcus grandis Thorn.

N. feroides Rm.

T. simoni Mayr.

N. ferus L.

T. semistriatus Nees.

N. rugosus L.

T. pseudoturesis Rjakovsky


T. rufiventris Mayr.

Neuroptera
Family: Chrysopidae

Family: Eupelrnidae

Chrysopa spp.

Anastatus bifasciatus Fonscolombe


Family: Encyrtidae

Coleoptera
Family: Coccinellidae

Ooencyrtus telenomicida Vassiliev

Coccinella punctatum L.

Diptera

BIRDS

Family: Phasiidae

Phasianus cholchicus L.

Allophora subcoleoptrata L.

Perdix perdix L.

FUNGI

Coturnix coturnix L.

Beauveria bassiana Vuill.

Coracias garrulus L.

Spicaria farinosa Hart.

Lanius spp.

Fusarium sp.


Source: Erdos, 1960; Safavi, 1968; Kozlov and Kononova, 1983.

Among the parasitoids, the oophages are the most important. The percentage of eggs parasitized under natural conditions fluctuated between 20 and 95 percent in infested areas and between 3 and 25 percent in the remainder of the sunn pest's range (Popov et al., 1980).

Because of the major role oophages play in reducing sunn pest populations, Romanian pest managers hope to integrate them into control strategies applied to wheat.

Studies conducted in Romania have been concerned either with the level of parasitization in restricted areas (Barbulescu, 1971; Popov and Paulian, 1981; Popa and Teodorescu, 1983; Popov et al., 1984) or the identification of oophages (Fabritius, 1972; Popov et al., 1980; Fabritius et al., 1985). Some ecological studies regarding host-parasitoid relationships have also been conducted (Popov, 1977; 1980; Rosca and Popov, 1983).

Various workers (Scepetilnikova, 1958; Lazarov et al., 1969; Kamenkova, 1970) have described an increase in the parasitization of sunn pest eggs towards the end of oviposition. They attributed this to the contribution of subsequent parasitoid generations. However, in Romania, this may not be the case. Most egg clusters are parasitized towards the end of sunn pest oviposition. This observation should not be interpreted as implying that there is an increase in parasitism caused by newly emerged parasitoids, but may be explained by the length of parasitoid development which exceeds that of the sunn pest by about ten days (Popov, 1980).

In heavily infested areas of Romania, parasitism of sunn pest eggs is caused mainly by the overwintering generation of oophages (Figure 1).

During the egg stage, 75 to 80 percent of all sunn pest eggs are parasitized exclusively by the overwintering egg parasitoid generation. Only 15 to 25 percent of the first oophages to emerge from the overwintering generation are able to use the sunn pest eggs as hosts.

Parasitism of sunn pest eggs by oophagous parasitoids was important in and prior to 1992 when it reached more than 50 percent across the entire sunn pest range (Table 2). There was significant year-to-year variation (from 25.2 percent in 1986 to 54.0 percent in 1992) as well as variation among areas (Table 3). The mean parasitism rate of sunn pest eggs in various districts ranged from 0 to 100 percent.

There were reduced egg densities in fields where parasitism was not observed. Reduced egg densities probably resulted from the use of chemical insecticides against overwintering adults. This depression of egg parasitoid populations lasted several years (Rosca and Popov, 1983).

The high parasitism observed in all districts in all years, reaching nearly 100 percent, suggests that sunn pest populations can be effectively suppressed by natural enemies occurring in Romania. Natural parasitization of sunn pest eggs, previously considered a negligible factor, thus contributes to other population-limiting factors (Figure 2).

Figure 1 - Relation of oophagous parasitoids and their hosts

TABLE 2 - Level of parasitism of Eurygaster spp. eggs by oophagous parasitoids in infested areas of Romania in 1992

District

Rate of parasitism (%)

Range

Mean

Arges

0-32.5

12.5

Bacau

35-100

80.0

Botosani

11.6-98.5

55.2

Braila

20.4-78.5

60.0

Buzau

11.6-82.0

45.0

Calarasi

14.5-72.8

39.9

Constanta

8.5-88.2

50.0

Dimbovita

15.8-85.5

58.5

Dolj

37.7-100

74.0

Galati

0-49.0

27.0

Giurgiu

6.5-83.5

28.5

lalomita

12.6-79.4

38.0

lasi

38.4-90.0

65.0

Mehedinti

42.5-100

69.0

Olt

5.8-100

60.0

Prahova

48.5-93.7

80.0

Teleorman

36.0-100

80.0

Tulcea

26.5-78.8

40.0

Vaslui

32.6-100

67.0

Vilcea

42.5-100

70.0

Vrancea

3.5-62.4

30.0

llfov

22.5-74.2

40.0

Overall mean


53.2

Telenomus chloropus was the dominant oophage observed on sunn pest eggs in Romania (Figure 3), comprising 80.63 percent of the total of the eight parasitoid species and 86.24 percent of all oophages currently identified in Romania (Popov et al., 1980; Fabritius et al., 1985).

Figure 2 - Factors that reduce sunn pest populations. A summary is shown for the Mehedinti district of Romania in 1987-89

Telenomus grandis extended westward, while Trissolcus simoni, T. pseudoturesis, T. semistriatus, Ooenocyrtus telenomicida and Anastatus bifasciatus occurred sporadically (Fabritius et al., 1985).

In general, applications of chemical insecticides on overwintering adults negatively affect parasitism, reducing it from 86.9 percent (unsprayed plots) to 8.3 percent (sprayed plots) in some cases (Table 4). These results forced a revision of the economic damage threshold (EDT) to protect oophagous parasitoids by restricting the sprayed area. Oophage populations increased when sprays were restricted.

TABLE 3 - Estimated number of overwintering adults and rates of parasitism in districts of Romania from 1985 to 1993 (millions)

District

Year

1985/86

1986/87

1987/88

1988/89

1989/90

1990/91

1991/92

1992/93

Constanta










HA

564.7

1156.7

3616.4

2456.3

1819.9

1703.8

1517.7

1468.5


%P

30.0

31.0

23.0

35.0

14.0

36.4

50.0

NA

Teleorman










HA

3398.5

5143.8

7205.2

5032.1

1706.3

1284.6

1612.3

171.7


%P

10.0

11.0

16.0

31.0

40.0

50.6

80.0

NA

Mehedinti










HA

1122.1

465.6

116.5

114.5

61.0

41.0

326.4

39.1


%P

52.0

64.0

48.0

80.0

60.0

68.0

69.0

NA

Romania (entire)










HA

12225.4

18449.5

29853.0

26349.8

9329.2

6848.0

8644.6

3860.6


%P

25.2

32.0

23.9

47.8

34.0

33.8

54.0

NA

HA = number of hibernating adults;
%P = percentage of parasitized eggs;
NA = data not available.

TABLE 4 - Effect of chemical insecticide applications on overwintering adults and on rates of egg parasitism in Romania

District/locality

Eggs/m2

Parasitism (%)

Fields without chemical insecticide applications

Braila/Insuratei

25.8

89.1

Calarasi/Galbinasi

22.4

85.3

Dolj/Radovanu

58.4

95.2

Galati/Fintinesti

21.0

80.0

Giurgiu/Valea

64.4

86.9

Mehedinti/Bujorului

24.9

94.4

Olt/Corlatei

18.9

92.6

Tulcea/Movileni

25.2

72.2

Fields treated with chemical insecticides

Constanta/Valeni

11.2

8.4

Constanta/Negureni

10.6

3.5

Constanta/Baneasa

15.8

13.0

Teleorman/Slobozia

4.2

0.0

Teleorman/Orbeasca

12.6

12.5

Calarasi/Valea Argovei

8.5

12.0

Calarasi/Sohatu

14.2

9.1

Figure 3 - Species composition of oophagous parasitoids in areas infested by sunn pest in Romania. (Observations reported are the result of nationwide surveys conducted by specialized forecast and warning services within the Ministry of Agriculture)

In the early 1980s, trials were performed to examine the effect of discontinuing chemical insecticide treatments in order to enhance natural enemy populations in habitats where cereals were intermixed with broad-leaved forests. Even though the rates of egg parasitism increased, however, sunn pest populations were not significantly affected. Chemical applications were again conducted over extensive areas during the third year of the trial (Popa and Teodorescu, 1983). Chemical treatment against the new sunn pest generation drastically diminished parasitoid populations (Table 5), with significant plot-to-plot differences in parasitism.

TABLE 5 Effect of chemical insecticides on parasitism

 

Parasitism prior to treatment (%)

Parasitism after treatment (%)

24 hours

72 hours

Treated field

61.5

6.5

28.4

Untreated field

64.8

59.9

76.8

DL 5%


10.5

2.8

1%


19.1

4.6

0.1%


36.8

8.6

Entomophage images are very sensitive to insecticides (Popov, 1983). They are less sensitive when still within the egg (Rosca and Popov, 1983). Because of this, emphasis is given to protecting beneficial insect fauna by carefully timing chemical applications against overwintering and new-generation sunn pest populations. Surveys of sunn pests and natural enemies are used and the duration of spray operations minimized.

REFERENCES

Barbulescu, A.L. 1967. Unele aspecte privind biologia si ecologia plosnitelor cerealelor. An. Inst. Cercet. Prot. Plant., 3: 169-176.

Barbulescu, A.L. 1971. Rolul parazitilor de oua in dinamica numarului plosnitelor cerealelor. An. Inst. Cercet. Prot. Plant., 7: 159-164.

Erdos, J. 1960. Fauna Hungariae, chalcidoidea. Budapest, II Akademici Kiado. 205 pp.

Fabritius, K. 1972. Genul Trissolcu Ashmed. 1893 (Hymenoptera: Scelionidae) in Romania si posibilitatea de a utiliza acesti entomofagi in combaterea biologica si integrata a plosnitelor cerealelor. Lucr. Stii., St. nat., (Constanta): 27-42.

Fabritius, K., Popov, C., Rosca, I. & Vonica, L. 1985. Oofagii din aria de daunare a plosnitelor cerealelor (Eurygaster sp.) din Romania. Stud. Cercet. Biol. Ser. Biol. Anim., 37(1): 12-17.

Kamenkova, K.V. 1970. Otenka znaceniia parazito anijenii cislenoi vrednoi cerepaskoi v agrobiocenoze psenite. Trudy Vsesojuz. Nauk.-Issled. Inst. Zascity Rast., 2: 8-13.

Knubenov, Z. 1983. Studies on the significance of some species of fam. Tachinidae for limiting the number of harmful insects of genus Eurygaster. Ekologiya, 11: 84-91.

Kozlov, M.A. & Kononova, S.V. 1983. Telenomini fauni SSSR. St Petersburg, Nauka. 351 pp.

Lazarov, A., Grigorov, S., Arabadjiev, D., Kontev, H., Kaitazov, A., Popov, V., Gospodinov, G., Bogdanov, V., Fortrinov, D. & Doncevski, B. 1969. Jitnite diervenite v Bulgaria i borbata s teah. Sofia. 141 pp.

Martin, H.E., Juvanery, M. & Radjabi, G. 1969. Note sur la punaise des cereals E. integriceps et des ses parasites du genre Asolcus au Iran. Entomol. Phytopathol. Appl., 28: 38-46.

Popa, I. & Teodorescu, I. 1983. Evolutia populatiei plosnitelor cerealelor in judetul Dolj, in conditiile sistarii tratamentelor chimice pentru favorizarea parazitilor oofagi. A VIII. Conf. Nationala de Protectia Plantelor, Iasi, Romania: 273-281.

Popov, C. 1977. Contributii la studiul ecologic al speciilor genului Eurygaster Lap. (Heteroptera) din Romania cu referire speciala la Eurygaster integriceps Put. University of Bucharest, Romania. 186 pp. (Ph.D. thesis)

Popov, C. 1980. Activitatea parazitilor oofagi in perioada de ponta a plosnitelor cerealelor (Eurygaster sp.). An. Inst. Cercet. Prot. Plant., 46: 347-353.

Popov, C. 1983. Influenta tratamentelor chimice aplicate la griu impotriva plosnitelor cerealelor asupra parazitilor oofagi. Lucrarile celei de a III-a Conf. de ent. Iasi, Romania, 20 to 22 May 1983.

Popov, C., Barbulescu, A., Banita, E., Enica, D., Ionescu, C., Mustetea, D., Paulian, E, Tanase, V. & Vonica, I. 1982. Plosnita asiatica a cerealelor E. integriceps Put., important daunator al griului din Romania. An. Inst. Cercet. Prot. Plant, 50: 379, 390.

Popov, C., Fabritius, K., Enica, D., Banita, E., Rosca, I., Sandu, I., Peteanu, S. & Sapunaru, T. 1980. Date preliminare privind compozitia si proportia speciilor de paraziti oofagi ai plosnitelor cerealelor in Romania. Probl. Prot. Plant., 8(3): 159-165.

Popov, C., Fabritius, K. & Rosca, I. 1985. Allophora subcoleoptrata L. (Diptera, Phasiinae) parazit al adultilor hibernanti de Eurygaster integriceps Put. in Romania. Probl. Prot. Plant., 13(1): 9-13.

Popov, C., Gutenmaher, I., Fabritius, K., Petre, G. & Rosca, I. 1984. Contributii la studiul parazitilor oofagi ai plosnitelor cerealelor. Probl. Prot. Plant., 12(4): 277-283.

Popov, C. & Iliescu, H. 1975. Micoflora parazita pe E. integriceps in perioada diapauzei. Probl. Prot. Plant., 3(2): 125-136.

Popov, C. & Paulian, P. 1981. Posibilitati actuale de utilizarea parazitilor in lupta cu plosnitele cerealelor. Probl. Agr, 23(2): 56-68.

Rosca, I. & Popov, C. 1983. Rolul tratamentelor chimice aplicate impotriva plosnitelor cerealelor asupra parazitilor oofagi. Stud. Cercet. Viol. Seria Biol. Anim., 35(2): 148-152.

Safavi, M. 1968. Etude biologique et ecologique des Hymenopteres des œufs des punaises des cereales. Entomophaga, 13(5): 381-485.

Scepetilnikova, V. 1958. Efectivnosti iaitedov vrednoi cerepaski i factori ee obslovivaiusie. Trudy Vsesojuz. Nauk.-Issled. Inst. Zascity Rast., 9: 243-284.

Starostin, C., Zaiteva, V. & Snirnova, G. 1982. Economicescoie obosnovanie primenenia aviationnogo ultramoloobemnogo opriskivania posevov ozimov pseniti v borbe s vrednoi cerepascoi Sbornic naucinih trudov. Trudy Vsesojuz. Nauk.-Issled. Inst. Zascity Rast., 19-22.

Sumakov, E. & Scepetilnikova, N. 1958. Ecologia Vrednoi Cerepaski Trudy Vsesojuz. Nauk.-Issled. Inst. Zascity Rast., 9: 19-70.

Voegelé, J. 1961. Les punaises des cereales au Maroc. Possibilites d'obtention des œufs a contre saison. Cah. Rech. Agron., 14(7): 26.

Population dynamics and management of sunn pest in Romania

C. Popov, A. Barbulescu and I. Vonica

INTRODUCTION

Sunn pest, Eurygaster spp. (Heteroptera: Scutelleridae) causes severe problems for wheat and barley across large areas in Eurasia and North Africa (Radulescu and Gruita, 1942; Paikin 1961; Taranuha and Telenga, 1967; Lazarov et al., 1969; Vinogradova, 1969; Morales-Agacino, 1970; Popov, 1977; Ahmazadeh, 1992). Sunn pest depredations have been described since the beginning of recorded history and have been closely associated with wheat and barley since their domestication (Arnoldi, 1947; Vodjdani, 1954; Vilkova et al., 1969; Popov, 1975). Sunn pest has gradually increased as a pest of wheat as its range of host plants has expanded (Vilkova et al., 1969; Popov, 1974; 1991; Paulian and Popov, 1980; Salhani, 1992; Shamina, 1992).

In Romania, other Eurygaster species such as E. austriaca and E. maura, were described by Montandon (1885; 1907) around the turn of the century. Other reporters described these pests from 1929 onwards (Radulescu, 1937; Radulescu and Gruita, 1942). From 1938 to 1939, the three main Romanian Eurygaster pest species, E. integriceps, E. austriaca. and E. maura, were well described (Radulescu and Gruita, 1942). An additional species, E. testudinaria, has also been described but has never become economically significant (Popov, 1972; Popov et al., 1982).

At present, sunn pest, particularly E. integriceps, is the most serious pest of wheat in Romania because of its increased distribution, high fecundity and the severity of the damage it inflicts on small-grain cereals. While harvest protection is one of the most important crop protection measures available to wheat producers, yearly sprays with chemical insecticides are currently conducted on about 500 000 ha in Romania (Barbulescu and Popov, 1975; Barbulescu et al., 1991; Popov et al., 1983; Popov, Barbulescu and Vonica, 1992). Sunn pest is capable of damaging plants from spring until harvest. Damage is caused by overwintered adults and the nymphs and young adults of the subsequent generation. If left unchecked, sunn pest seriously reduces yield and can reduce grain quality as reflected by lowered germination rates and the poor bread-making quality of infested grain (Barbulescu, 1967; Popov, l972; Popov et al., 1982; 1983; Popov, Barbulescu and Vonica, 1992; Barbulescu et al., 1987).

A complex integrated pest management programme incorporating many different techniques has gradually been developed in Romania to reduce sunn pest populations to an economically acceptable level by optimizing all possible control activities. Based on past research, the Research Institute for Cereals and Industrial Plants in Fundulea has devised methodologies to be employed in the annual programme of sunn pest control. Among the most important of these methodologies are forecasting and warning and population suppression.

INFESTED AREA AND SPECIES COMPOSITION

E. integriceps and E. maura are recorded throughout Romania in practically all areas cultivated with cereals and predominantly in those cultivated with wheat (Figure 4). The infestations occur in the southern and eastern regions of Romania in the Extra-Carpathian zones, i.e. the districts of Dobrogea, Wallachia, Oltenia and Moldova. E. integriceps is more widespread than E. austriaca and E. maura, comprising about 95 percent of the sunn pest population (Table 6).

Records kept over several years indicate that the numerical dominance of E. integriceps has arisen within recent decades. E. integriceps is not yet found in central and western Romania, where E. maura and E. austriaca occur at low densities. E. integriceps was first described in Romania in the second and third decades of this century (Popov, 1975), following successive migrations from the Russian Steppes to the north shore of the Black Sea and extending westwards and southwards into Bulgaria and later into eastern Serbia and Thrace (Grigorov, 1959; Kiran and Simsek, 1992; Lodos and Kavut, 1991; Stamenkovic, 1992).

Figure 4 The sunn pest Eurygaster spp. in Romania

This phenomenon is exemplified by the Oltenia area (Table 7), where sunn pest did not exist in 1938/39. In the 1970s and 1980s, 60 to 70 percent of the sunn pest sampled were in Oltenia. It can therefore be concluded that the sunn pest problem in Romania is an E. integriceps problem, and that severe damage may be expected whenever E. integriceps comprises 90 percent or more of the sunn pest population.

TABLE 6

Evolution of the ratio between Eurygaster species in Romania

(as a percent)

Zone

1939

1970

1992

Ei

Ea

Em

Ei

Ea

Em

Ei

Ea

Em

Dobrogea

70

10

20

95

3

2

98

1

1

Muntenia

30

35

35

94

2

4

98

1

1

Oltenia

0

30

70

70

10

20

96

2

2

Moldova

5

40

55

52

19

29

95

2

3

West Plain

0

56

44

0

50

50

1

49

50

Transylvania

0

13

87

0

32

68

0

40

60

Ei = E. integriceps;
Ea = E. austriaca;
Em = E. maura.

Source: Radulescu and Gruita, 1942.

POPULATION DENSITY

At present, 22 districts, covering a total area of 1.75 million ha, are infested by sunn pest (Table 7). The districts of Dobrogea, Wallachia, Oltenia and Moldova provide optimal habitat for E. integriceps and this is reflected in its consistently high year-to-year population density, with some noticeable variation.

As a rule, overwintering adults can be found in cereal crops in spring at densities of a few individuals per square metre and less frequently at densities of 15 to 20 per square metre. The new generation of nymphs and young adults achieves high densities, usually 15 to 20 per square metre, but sometimes as high as 90 to 120 per square metre, during years with especially favourable climatic conditions, such as 1986. Population densities in infested areas vary greatly and do not extend to all wheat-growing areas in the country. In attaining the current distribution pattern and density, the area infested by sunn pest expanded from two districts in Dobrogea in 1962-64, to seven to eight districts in Wallachia in 1970-72 and to 15 to 16 districts in 1980. This area ultimately included northern Moldova and districts with altitudes of 200 to 300 m in northern Wallachia and Oltenia.

TABLE 7 - Evolution of surfaces cultivated with wheat in the damaged areas and densities of sunn pest populations occurring in the active period

Zones

No. of districts

Wheat area ('000 ha)

Density (individuals/m2)

Overwintering adults

Nymphs

Normal

Maximum

Normal

Maximum

Dobrogea

2

220

3-7

20

15-35

120

Muntenia

10

700

2-6

15

10-30

110

Oltenia

4

350

2-5

18

5-25

70

Moldova

6

480

1-3

10

5-25

70

Total

22

1 750





POPULATION DENSITIES DURING DIAPAUSE

Sunn pest diapause in Romania occurs in oak forests interspersed among cereal fields. As shown in Table 8, 571 oak forests in areas infested with E. integriceps were examined for aestivating and hibernating sunn pest, an area of about 247 967 ha. Densities ranged from a few individuals to more than 100 per square metre.

The total number of sunn pest that will be available to infest crops in the subsequent year can be estimated from samples taken in the last two weeks of October and during the first two weeks of April (Table 9). Sunn pest populations estimated in this manner were higher than in preceding seasons.

IMPACT OF SUNN PEST OUTBREAKS ON HARVEST

Sunn pest is so important to Romanian wheat production that the impact of the sunn pest outbreak on the harvest is analysed at the end of every pest control activity. Sunn pest attack is expressed as the percentage of attacked kernels. A kernel is considered attacked when it exhibits the typical discoloration and proboscis entry site created where the sunn pest injects proteolytic salivary enzymes into the kernel and sucks out the contents. Sunn pest attack is assessed by sampling every wheat field in the infested area. Of the total 2 205 600 tonnes of wheat analysed in infested areas in 1991, 16.3 percent had sunn pest attack levels ranging from 2.1 to 5 percent and 0.9 percent had attack levels greater than 5.1 percent (Table 10).

TABLE 8 - Distribution of oak forests and densities of diapausing sunn pest populations by zone within the infested area

Zones

Oak forests

Sunn pest densities/m2

(No.)

(ha)

Normal limits

Maximum limits

Dobrogea

39

15780

10-65

200

Muntenia

262

63793

5-50

90

Oltenia

75

26505

5-55

100

Moldova

195

141889

3-30

60

Total

571

247967



TABLE 9 - Estimates of sunn pest populations during diapause in oak forests in zones of sunn pest infestation

Zones

Estimated density (millions)

1990/91

1991/92

1992/93

Dobrogea

1749

1673

1514

Muntenia

3395

3782

873

Oltenia

759

2219

524

Moldova

945

970

949

Total

6848

8644

3860

TABLE 10 - Percentage of infested kernels in several Romanian districts

Zone

Yield
('000 tonnes)

Percentage attacked kernels

None

0.1-2.0

2.1-5.0

>5.1

Dobrogea

343.5

0.0

63.0

31.0

6.0

Muntenia

866.5

27.5

61.1

10.8

0.6

Oltenia

497.5

15.4

76.3

8.3

0.0

Moldova

498.1

22.0

78.0

0.0

0.0

Total

2205.6

16.3

70.5

12.3

0.9

ECONOMIC DAMAGE THRESHOLD

Economic damage thresholds (EDTs; Table 11) for determining the use of chemical insecticides against sunn pest are set according to the following criteria:

· crop vegetative state;
· climatic conditions;
· pest density;
· use to be made of the crop.

CHEMICAL CONTROL

Chemical control programmes against sunn pest rely primarily on organophosphate insecticides and, to a lesser extent, on synthetic pyrethroids. Trichlorfon-based insecticides are used on 50 to 55 percent of the total treated area, while dimethoate-based insecticides are used on 35 to 40 percent. Synthetic pyrethroids are used on about 10 to 15 percent (Figure 5).

NATURAL PARASITISM

Studies in Romania have revealed that oophagous parasitoids are the most significant sources of parasitism. The most outstanding parasitoids are Telenomus chloropus and Trissolcus grandis which annually cause 30 to 50 percent reductions in sunn pest populations within infested areas (Table 12).

EMERGENCE FORECASTING

Forecasting sunn pest populations capable of attacking grain crops in the subsequent year involves the following activities:

· Recording sunn pest density in the field prior to harvest. This activity seeks to estimate the size of sunn pest populations that will diapause. It is performed by measuring sunn pest densities in as many wheat fields as possible within each district. This is accomplished before adults begin to migrate to the oak forests.

· Recording the percentage of kernels attacked by sunn pest across the entire wheat-growing region in sunn pest-infested areas.

· Recording the density of diapausing sunn pests in overwintering sites. This essential activity is performed in October in all oak forests in infested areas. Using a 50-by-50-cm quadrat, 40 samples are made in each forest along the same transects as used in previous sampling periods. Average densities (D), the total pest population in a forest (forest area x D), the total sunn pest population within a district (estimated by adding together the numbers of sunn pest in each forest in a given district) and the total number of sunn pests in the country (estimated by adding together the numbers of sunn pests in each district) are calculated. In March the mortality rate during the winter is determined using the same sampling technique used in October.

TABLE 11 - EDTs used in chemical control of E. integriceps in Romania (individuals per square metre)

Treatment

Crop status

Crop destination

Bakery

Seed

Treatment I
(against the overwintering adults)

Good

7

7


Poor

3-5

3-5

Treatment II
(against 3rd- and 4th-instar nymphs)

Normal

3

1

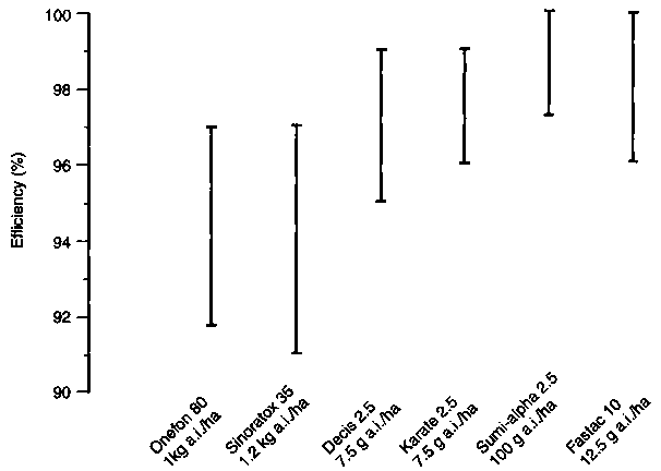
Figure 5 Effectiveness of different insecticides in controlling E. integriceps

TABLE 12 - Average level of parasitism of E. integriceps eggs by Telenomus chloropus and Trissolcus grandis

Zone

Parasitism (%)

1991

1992

Dobrogea

44

45

Muntenia

31

48

Oltenia

52

52

Moldova

84

54

Total

37

49

These data form the basis for designing sunn pest control strategies at the district level and ultimately for the entire country. Short-term forecasts are then used to designate the fields where chemical treatments will be applied when the EDT is exceeded.

SELECTIVE CONTROL MEASURES

Selective chemical control is performed on fields where the EDT is exceeded at a particular crop development stage and when sunn pest migration has ended. Data are supplied by forecast and warning stations in each district and are based on inspections of check plots. The time for treatment generally occurs within the first ten days of May.

Selective control against nymphs is conducted in all fields when the EDT for third-instar nymphs is exceeded. This usually occurs during the second and third weeks of June.

ESTABLISHMENT OF EDTs

In establishing the EDT (Table 11), each plot is checked for overwintering and new-generation adults. The time of sampling is determined from check plots in each district. Sampling is performed using a 0.25-m2 quadrat for both overwintering adults and nymphs. Density of overwintering adults is calculated as:

Density (insects per square metre) = NTA/5

where NTA is the total number of adults in 20 quadrats. The density of the new generation is estimated as:

Density (insects per square metre) = (NOT - NEP + NN)/5

where: NOT is the total number of eggs; NEP is the number of parasitized eggs; and NN is the number of nymphs,

RECOMMENDATIONS FOR INTEGRATED PEST CONTROL

The primary method for controlling sunn pest in Romania is chemical spraying which is conducted on all fields where sunn pest densities exceed the EDT. Chemical treatments against overwintering adults and nymphs should be carried out during the recommended period, not lasting more than five to seven days across the entire treatment area. This will stop sunn pest damage while protecting oophagous parasitoids, which is especially critical during chemical control of sunn pest nymphs since some parasitoids are intermixed among sunn pest eggs. When controlling overwintering adults, herbicides may be mixed with insecticides, although in Romania herbicide applications generally precede chemical control of adult sunn pest populations.

Harvesting wheat may itself contribute to sunn pest control if it is performed rapidly and simultaneously in all fields as soon as the grain is ripe. This will deprive sunn pest populations of adequate nourishment and will disrupt diapause.

Trichlorfon-based products are recommended for chemical control programmes and are applied at 1 gram of active ingredient (g a.i.) per hectare. Dimethoate may also be applied at 1.225 g a.i. per hectare, and formulations of synthetic pyrethroids may be applied at 7.5 to 10.0 g a.i. per hectare.

Applications can be made using either ground equipment as in the case of strip-sowing (which allows the passage of spraying equipment without damage to the crop) or by aeroplane. Ultra-low-volume (ULV) applications are the most effective and economical.

REFERENCES

Ahmazadeh, G. 1992. Status of Eurygaster in Iran. Symposium on Eurygaster, Istanbul, 1 to 3 June 1992, p. 95-104.

Arnoldi, K.V. 1947. Vrednaia cerepasca (E. integriceps) V dikoi prirede Srednei Azii v sviazi s ekologiceskimi momentalni ee biologii. Brednaia cerepasca. Akad. Nauk. SSSR, 1: 136-239.

Barbulescu, A. 1967. Unele aspecte privind biologia si evolutia plosnitelor cerealelor. An. Inst. Cercet. Prot. Plant., 3: 169-176.

Barbulescu, A. & Popov, C. 1975. Sunn pest population dynamics in Romania over the 1964-1975 period. VIII Mejdunarodnii Congress po Zascite rastenii, Sec. II. p. 14-24. Moscow.

Barbulescu, A. et al. 1987. Cercetari privind prevenirea si combaterea bolilor si daunatorilor cerealelor si plantelor tehnice. An. ICCPT., 50: 349-362.

Barbulescu, A. et al. 1991. Evolutia unor boli si daunatori ai cerealelor, plantelor tehnice si furajere in anul 1990 in Romania. Probl. Prot. Plant, 19(1): 57-74.

Grigorov, S. 1959. Provcivanie biologiiata na jitnata dirvenita et rod Eurygaster i rod Aelia v Bulgaria i barbata s tiah. Nancini trudovoe na Agronom, f-t VI.

Kiran, E. & Simsek, Z. 1992. Eurygaster in Turkey: biology and control. Symposium on Eurygaster, Istanbul, 1 to 3 June 1992, p. 23-42.

Lazarov, A., Grigorov, S., Arabadjiev, D., Kontev, H., Kaitazov, A., Popov, V., Gospodinov, G., Bogdanov, V., Fortrinov, D. & Doncevski, B. 1969. Jitnite darvenite v Bulgaria i borbata steah. Sofia. 141 pp.

Lodos, N. & Kavut, H. 1991. New information about sunn pests distribution in Turkey (E. integriceps Put. Het. Scut.). Turk. entomol. derg., 15(2): 107-112.

Montandon, A.L. 1885. Hemipteres - Heteropteres de Moldavieet descriptions de deux nouveaux Eurygaster. Rev. d'Ent., IV: 164-172.

Montandon, A.L. 1907. Contributions à la faune entomologisques de la Roumaine. Hemipteres Heteropteres. Bull. Soc. St. Bucuresti, 1-2: 55-82.

Morales-Agacino, E. 1970. Ecologie de la punaise des cereals et lutte contre ce parasite. Rapport ou Gouvernment de l'Irane. T. A. 2783 Rome.

Paikin, D.M. 1961. Vrednaia cerepasca, Leningrad/Moscow, 50: 1. Bucharest.

Paulian, F. & Popov, C. 1980. Sunn pest or cereal bug. Wheat Technical Monograph, Basel, Switzerland, p. 69-74.

Popov, C. 1972. Cercetari privind aria de raspindire si intensitatea atacului la Eurygaster Lap. in Romania. An. ICCPT, 38: 77-90.

Popov, C. 1974. Plosnitele cerealelor - E. integriceps, un daunator periculos al culturilor de griu din Romania. Probl. Prot. Plant., 2(2): 167-197.

Popov, C. 1975. Consideratii asupra distributei spatiale la specia E. integriceps (Het). Probl. Prot. Plant., 3(1): 39-55.

Popov, C. 1977. Contributii la studiul ecologic al speciilor genului Eurygaster Lap. (Heteroptera) din Romania, cu referire la Eurygaster integriceps Put. University of Bucharest, Romania. 186 pp. (Ph.D. thesis)

Popov, C. 1991. Cercetari privind stabilirea rolului unor elemente in combaterea integrata a plosnitelor cerealelor (Eurygaster integriceps Put.). Combaterea integrata a bolilor si daunatorilor, 1: 105, 113.

Popov, C., Barbulescu, A., Banita, E., Doina, E., Ionescu, C., Mustea, D., Paulian, F., Tanase, V. & Vonica, I. 1982. Plosnita asiatica a cerealelor E. integriceps Put., important daunator al griului din Romania. An. ICCPT, 50: 379-390.

Popov, C., Barbulescu, A., Vonica, I., Doina, E., Banita, E. & Rosca, I. 1983. Eurygaster integriceps Put. Le plus important ravageur du blé en Roumanie. Bull. Acad. Sci. Agric. For., 13: 45-54.

Popov, C., Barbulescu, A. & Vonica, I. 1992. Elements of forecast warning and control of the cereal bug, Eurygaster integriceps Put. in Romania. Symposium on Eurygaster, Istanbul, 1 to 3 June 1992, p. 43-61.

Radulescu, E. 1937. Observatiuni asupra aparitei si combaterii daunatorilor griului si plantelor agricole in Transilvania (1927-1937). Cluj.

Radulescu, E. & Gruita, V. 1942. Contributii la studiul plosnitelor vatamatoare griului in Romania. Bul. Fac. Agric. Cluj., 9: 438-465.

Salhani, E. 1992. Eurygaster in Syria: status and efficacy of Decis. Symposium on Eurygaster, Istanbul, 1 to 3 June 1992, p. 62-70.

Shamina, V.Z. 1992. Application of Decis 2, 5EC, for the protection of cereals and other crops in the Krasnodar territory. Symposium on Eurygaster, Istanbul, 1 to 3 June 1992, p. 71-86.

Stamenkovic, S. 1992. Cereals bugs (Eurygaster spp.) on small grains in Yugoslavia. Symposium on Eurygaster, Istanbul, 1 to 3 June 1992, p. 105-109.

Taranuha, M.D. & Telenga, N.A. 1967. Dinamica cislenosti vrednoi cerepaski na Ukraine i pricni obuslovivsie ee depresiu. Zool. J., 46: 2.

Vodjdani, S. 1954. Contribution a l'étude des punaises des cereals et en particular d'Eurygaster integriceps. An. epiph., 5(2): 5-160.

Vilkova, N.A., Vinogradova, N.M., Poljakova, I.M. & Sapiro, I.D. 1969. Sostoianie i perspectivi razrabvotki problemi zasciti posesov pseniti ot vrednei cerepaski E. integriceps Put. Entomol. Obozr., XL VIII(l): 25-43.

Vinogradova, N.M. 1969. Vrednaia cerepasca. Trudy Vsesojuz. Nauk.-Issled. Inst. Zascity Rast., 34: 98-133.

Sunn pest of wheat and barley in the Islamic Republic of Iran: chemical and cultural methods of control

M. Javahery

IMPORTANCE OF SUNN PEST

Among pentatomid bugs, some species from the families Pentatomidae and Scutelleridae are serious pests of wheat and barley. These heteropteran insects, collectively known as sunn pests, have a wide distribution in palearctic regions, especially in southwest Asia, eastern Europe and North Africa where several Aelia and Eurygaster spp. are major pests of wheat. The biology, ecology, morphology and, to some extent, the physiology, of these insects are known. Despite considerable research conducted over the past 50 years on sunn pest control, however, most methods are not effective during outbreak seasons.

CEREAL CROP YIELD REDUCTION

Growing wheat and barley has been a common agricultural tradition over a period of several thousand years in the regions mentioned above. Wheat and, to a lesser extent, barley make up the basic diet of people living in these regions. In addition, barley is widely fed to livestock.

Wheat and barley are both grown under irrigated and rain-fed (dry-farming) methods. Average grain yields range from about 2.5 tonnes per hectare in irrigated fields down to about 1 tonne per hectare in rain-fed areas.

Among the Pentatomidae, several species from the genera Aelia, Carpocoris, Dolycoris and especially Eurygaster cause important grain yield losses, and are widely recognized as the major pests of wheat and barley. The bugs attack the stems of young, succulent wheat and barley plants, causing them to wither and die prior to head formation. They also feed vigorously on developing and mature grain. While feeding on stems or grain, they secrete proteolytic enzymes that affect the grain gluten. Consequently, the resulting flour loses its baking quality, even when only a small percentage of the grain milled into flour has been attacked. Unless the sunn pest is controlled, crop losses of up to 100 percent can occur during outbreak years.

BIOECOLOGY OF CEREAL PENTATOMOIDEA FROM THE GENERA AELIA, CARPOCORIS, DOLYCORIS AND EURYGASTER

Comparison of the major genera

A study of the comparative biology, ecology and reproductive biology of 15 species from the above genera that appear on wild and cultivated cereals has been made in Canada, the United Kingdom and Iran. Short research visits have been made to these countries to investigate the sunn pest under various ecological conditions.

The genus Eurygaster is placed within the family Scutelleridae, while the other three genera are in the family Pentatomidae. Among the Aelia spp., A. acuminata (L.), A. furcula F, A. rostrata Boh. And A. virgata Klug are the most common pentatomids on cultivated cereals and on grasslands. A. furcula and A. rostrata are major pests of wheat in Iran, Turkey and the southwest regions of the former Union of Soviet Socialist Republics. A. acuminata has a broad distribution from southwest Asia to western Europe and northwest Africa. It is also an important wheat pest in Morocco, but populations are low on cultivated wheat in other regions.

About 15 species of the genus Eurygaster are known on wheat in palearctic regions of Europe and Asia. However, five species, E. integriceps Puton, E. maura L., E. hottentata Fieber, E. austriaca Schrk. and E. testudinaria Gebb are serious agricultural pests.

Carpocoris spp. are rarely found on wheat in conjunction with Aelia and Eurygaster spp. They are a secondary pest of cereals in some areas of southwest Asia.

Dolycoris spp. are cereal pests in dryland wheat fields near forests. Populations occasionally increase to outbreak levels.

All species of cereal bugs are commonly found on wild graminaceous plants such as Agrostis, Avena, Bromos, Dactylis, Festuca, Lolium and Poa spp. In the absence of these wild and original food plants, sunn pest populations feed and develop on cultivated cereals, especially wheat. Eurygaster integriceps is perhaps the best example of this genus and is the most serious wheat pest in southwest Asia. In dryland wheat fields of western Iran, overwintered adults and nymphs of E. integriceps feed and develop on wild plants of graminaceous species such as Heteranthelium piliferum (Banks & Seland.) Hochst. which grow wild near wheat fields. In fact, all sunn pest species prefer feeding on the wild graminaceous plants mentioned above which frequently grow near cultivated wheat and barley fields. This has been commonly observed throughout the range of sunn pest in palearctic and nearctic regions.

Population dynamics of Aelia and Eurygaster

A long-term study of the population dynamics of Aelia and Eurygaster species in outbreak areas, including Waramin and Isfahan in Iran, indicated that changes in population densities of these insects and outbreaks are largely determined by external abiotic and biotic factors. Climatic conditions, especially temperature and rainfall, play an important role in sunn pest population dynamics. In mountainous wheat fields in western Iran, populations of these insects have been maintained on both cultivated wheat and on wild graminaceous plants. Among the natural enemies observed, scelionid egg parasitoids greatly reduced populations of A. furcula and E. integriceps in certain regions. The degree of parasitism in several areas, such as in untreated wheat fields in Chemastan in northern Iran, reached 96 percent in 1991. Long-term applications of chemicals in Iran are likely to have promoted sunn pest outbreaks. Figure 6 shows seasonal changes in the number of overwintered sunn pest adults and nymphs in wheat near Waramin and Isfahan from 1960 to 1992. Outbreaks occurred every six to eight years. These two areas have different ecological conditions; Isfahan has a very dry climate with only 100 mm annual rainfall, while Waramin receives about 254 mm of rain annually. Wheat and barley are cultivated under irrigation in both areas.

Figure 6 - Seasonal changes in the number of overwintered adults and larval instars of Eurygaster integriceps

Factors favouring mass multiplication of heteropteran stink bugs have been studied in detail in species from different climatic regions in Canada, the United Kingdom and Iran. High temperature was important to Aelia and Eurygaster spp. in subtropical regions, but adversely affected temperate species. Food resources affected fecundity in all the pentatomid species that live on cereals and legumes. Fecundity and longevity of sunn pest species were much higher on grains. In Aelia and Eurygaster, fecundity and longevity were greater on wheat and barley grain with water than on green shoots of these cereals (Figures 7 and 8). Fecundity of these pests was slightly higher on grain and green shoots of wheat than on barley. The mean female fecundity of E. integriceps on wheat grain and water was about 190 to 200 eggs, and on barley grain and water about 180 to 185 eggs at 28°C and 70 percent relative humidity (Figures 7 and 8). Fecundity, however, decreased by half when insects were kept on green shoots of wheat or barley at the same temperature or at low temperatures of 20 to 23°C. E. integriceps fecundity sharply decreased when it was bred under crowded conditions on both wheat and barley grain with water. This is shown in Table 13.

Figure 7 - Fecundity of E. integriceps in relation to food and temperature

ABIOTIC FACTORS

Among climatic factors, temperature influences most activities in pentatomids, as it does in all insects. Sunn pest is able to adapt to temperature changes ranging from -30°C in winter to 45°C in summer in dry regions.

Continuous rainfall retards sunn pest activities. Long periods of humidity over 90 percent, under shelters in grasses in temperate climates, on host plants in the mountains or at overwintering sites in forests and woodlands, cause mortality in all sunn pest species. Rain and snow-melt may cause high mortality, especially if a cold spell freezes the ground during winter hibernation. Sunn pest adults and nymphs, except for first instars, are active on sunny and calm days and inactive in the breeding habitat on windy and cool days. Newly developed adults have a negative phototactic response during summer aestivation and during autumn and winter hibernation.

Figure 8 - Fecundity of E. integriceps in relation to food and temperature

The effect of climatic changes on the populations of the dominant species Aelia furcula and Eurygaster integriceps was noticed in 1972 and 1992. Population density of A. furcula, the second most important sunn pest species after E. integriceps, increased three times as quickly as E. integriceps during three consecutive rainy seasons from 1970 to 1972. A. furcula sex ratios changed during this period to about three females to one male.

TABLE 13 - Comparative sunn pest investations on barley

Crop

Number of sunn pest pairs


1

5

10

Barley

180

-

115

Wheat

-

-

190

DIAPAUSE AND NUMBER OF GENERATIONS

Sunn pests, like most bugs, diapause as adults. Adult diapause in Aelia, Carpocoris, Dolycoris and Eurygaster is influenced by both photoperiod and temperature. Generally, sunn pest populations are univoltine, with the exception of one or two Aelia species, and have an obligate diapause throughout their geographical range. The duration of adult diapause, however, lasts from four to six months and begins in the hot, dry summer and ends in winter. The diapause is characterized by arrested development of the reproductive organs. As with other insects, characteristics of sunn pest diapause include:

· strongly reduced basal metabolism;
· low water content and high fat content;
· cessation of morphogenesis.

MIGRATION

Sunn pest dispersal occurs as true migration (E. integriceps) or as short flights (A. acuminata). It is generally accepted that newly emerged Aelia, Carpocoris, Dolycoris and Eurygaster migrate with prevailing winds from oviposition sites to aestivation sites on mountains or in nearby woodlands and forests surrounding breeding habitats.

In both types of dispersal, males and females are sexually immature before, during and after moving to aestivation sites. Migration, either over a long distance (25 km or more in the case of E. integriceps) or over a shorter distance (less than 25 km in the case of Aelia, Carpocoris and Dolycoris), results in aestivation in a cooler climate. In both temperate and subtropical areas, these insects undergo an obligate diapause for two to four months in late summer and early autumn under bushes at high altitudes or on trees and bushes in forests and woodlands. In early autumn, after a cool period and rain, they descend to lower altitudes, frequently on the southern slopes of hills or mountains. Migration distance is generally shorter in subtropical and temperate climates as exemplified by Eurygaster in California, the United States. A. acuminata may undergo both long- and short-distance dispersal.

All sunn pests hibernate until temperatures rise in spring when they move to cereal fields to feed and mate. Overwintered bugs then die.

In almost all cases, aestivation and hibernation periods are in an adaptive phase of obligatory reproductive diapause until the beginning of favourable conditions in spring. In both sexes and with both migrated and stationary individuals, feeding in spring is essential prior to the first mating and oviposition.

Sunn pests overwinter as adults and migratory flight results from an endocrine deficiency syndrome concomitant with early adult life and ovarial immaturity, ovarial diapause and structural polymorphism.

CURRENT CONTROL METHODS

Chemical control

The use of pesticides against sunn pests began during the Second World War with the application of dinitro-orthocreasol in Iran. This compound was sprayed on adult E. integriceps and Aelia which aggregated on or under host plants of the genera Artemisia, Astragalus, Acantholimon and Acanthophyllum during aestivation and hibernation in the Ghara-Aghatch mountains east of Teheran.

In 1952, organochlorine (DDT) was used against Aelia and Eurygaster and gave good control. DDT was the most effective and widely used chemical for controlling sunn pest until 1960 when DDT resistance was observed in E. integriceps nymphs. In 1959, Dipterex, an organophosphate, was found to be highly effective on adults and nymphs and was recommended for sunn pest control. Both DDT and Dipterex were widely used until 1970. Two other ester phosphoric compounds, Lebaycid (= Baytex = fenthion) and Sumithion (= Folithion = fenitrothion), were tested and have been used against sunn pest since 1965 and 1973, respectively.

Applications of a 50 percent emulsion of Sumithion 50% against sunn pest in Iran have increased from 50 000 ha in 1968 to nearly 1 million ha in 1988 and 1991 (Figure 9). Estimates of the return value of the crop after spraying for sunn pest for 1991 are given in Table 14.

DISADVANTAGES OF CURRENT CONTROL MEASURES

Large quantities of organophosphate insecticides are now used each year to control sunn pest in Iran. Use was especially high during outbreak years from 1987 to 1992. From 1970 to 1980, about 4.5 million ha of wheat and 1.5 million ha of barley were grown each year in Iran. In 1992, an estimated 6 million ha of wheat and 2 million ha of barley were grown. There has been an increase of 2 million ha in the area of both wheat and barley under cultivation in Iran over the period 1968 to 1992.

From 1968 to 1978, approximately 100 000 litres of Sumithion 50 ec were used per year. Use of this insecticide against sunn pest has increased since 1978 to nearly 1.5 million litres in 1987 to 1992 (Figure 9).

Each chemical insecticide used against sunn pest in Iran has been effective during the initial ten years or so of its use. E. integriceps became resistant to DDT in 1955, to Lebaycid in 1975 and to Sumithion in 1985. The effective life of chemical insecticides against sunn pest appears to be about ten to 15 years, after which pesticide resistance seriously reduces their effectiveness.

It was thought for many years that using new organophosphate compounds would end sunn pest outbreaks. However, sunn pest outbreaks have occurred three times in Iran during the period 1963 to 1993 (Figure 6).

SUGGESTED MANAGEMENT SYSTEM

Cultural methods

Resistant varieties. The present method of wheat and barley cultivation in small, widely dispersed fields contributes to sunn pest outbreaks in parts of Iran. Some small fields and those under high-power electricity cables are rarely sprayed. In addition, small wheat and barley fields in forests and in orchards have provided additional habitats for sunn pest and are not sprayed. Crops other than wheat and barley should be substituted in these areas.

Figure 9 - Chemicals used and area sprayed against sunn pest in Iran

TABLE 14 - Economics of sunn pest control using chemical insecticides in Iran (1991)

Total area sprayed

811195 ha

Average grain yield

1 tonne/ha

Percentage of grain damage in untreated fields

50%

Crops protected

405597 tonnes

Estimated value of protected crops

US$ 67599500

Spray costs/ha

$ 33

Total spraying costs

$ 26769435

Price of wheat/tonne

$ 165

Return value of crop

$ 40830065

Host plant resistance has received substantial consideration during the past 30 years and is considered a mainstay of integrated pest management (IPM) programmes worldwide. Both Aelia and Eurygaster appear to prefer wild graminaceous plants and starve on diets lacking the proper feeding stimuli. The level of plant resistance against sunn pest has not been well studied on either local or exotic wheat varieties.

Most wheat grown in Iran has been of the varieties Bezostaya, Omid, Roshan, Sardari and Tabassi. In 1976, a short-stem Mexican wheat was imported and grown in the main sunn pest outbreak areas. E. integriceps has shown a slight preference for native wheat over the Mexican variety when grown side by side in the Saveh and Waramin experimental fields near Teheran.

From 1987 to 1990, an experiment to test for resistance in wheat and barley varieties was carried out by R. Talai at the Department of Plant Protection of the University of Teheran. During sunn pest outbreaks from 1987 to 1990, she tested 12 varieties of wheat and barley on 1 000 m2 at Karaj. Damage caused by overwintered and new-generation adults, as well as by nymphs (second to fifth instars), to leaves, stems, heads and seeds, and effect on yield and baking quality of cultivated wheat and barley were studied in relation to sunn pest population density. Results indicated resistance in several varieties (Table 15).

Developing and culturing early-ripening varieties of wheat and barley. Newly emerged Aelia and Eurygaster feed for about two weeks before migrating to aestivation areas. Feeding at this time is essential for migration and survival. Early-ripening varieties of wheat and barley should be grown in areas at risk of sunn pest outbreaks.

Two-stage harvesting. Two-stage harvesting involves harvesting the crop about two weeks before the heads are fully ripened. At this growth stage, sunn pest are not yet adults. The harvested crop is left in the field in windrows for about two weeks where it partially dries before being collected and threshed. This keeps the sunn pest from feeding sufficiently and delays maturation. The insect is unable to store adequate fat reserves and to complete migration successfully. Two-stage harvesting is most applicable to large-scale mechanized cultivation and is discussed at length by Jorgenson (1986).

TABLE 15 - Resistance of wheat and barley varieties to Eurygaster and Aelia in Iran

Variety

Resistance level

Wheat


Sardari

Medium

Bezostaya

Medium

Roshan

Medium

Tabassi

Medium

Omid*

Medium

Ghods

Susceptible

Karaj 1

Susceptible

Barley


Arivat

Medium

Valfajr

Medium

* Omid had very good baking quality.

SELECTIVE INSECTICIDE USE DURING OUTBREAKS

During the last 20 years, Sumithion has been the only emergency tool used in different parts of Iran when sunn pest populations exceeded economic thresholds. When misused, this compound is toxic to sunn pest hymenopterous egg parasitoids, particularly those attacking E. integriceps.

Scelionid wasps which attack sunn pest eggs are important in maintaining sunn pest populations below the economic threshold. Selective insecticides should be identified and used in conjunction with proper timing to preserve field populations of natural enemies.

AUGMENTATION OF NATURAL ENEMIES

Although large quantities of organochlorine (DDT) and organophosphate (Dipterex, Lebaycid and Sumithion) pesticides have been sprayed in breeding areas of scelionid egg parasitoids over the past 40 years, egg parasitism by Trissolcus and Telenomus reached 75 to 78 percent in Waramin and Karaj in 1990 and 1992, respectively. In selected untreated wheat fields, such as near Tchemastan in northern Iran, parasitism reached 95 percent in 1991. These wasps have potential for use in a sunn pest integrated management programme.

There have been several long-term studies on the impact of scelionid egg parasitoids on sunn pest in Iran, as well as on a number of other pentatomids on wild graminaceous plants in Canada and the United Kingdom. Scelionids appear about two weeks after the onset of oviposition by sunn pest. The egg parasitoids are more susceptible to cool temperatures in early spring than the sunn pest. Eggs laid by bugs early in the season are frequently unparasitized.

GROWER COOPERATION

The timing of planting and the cultivation of cereals in certain dryland areas could be restricted by growers in order to reduce sunn pest populations. Wheat and barley are grown mainly during October and November in the rain-fed and irrigated areas of Iran. However, some wheat is also grown in early spring in the rain-fed areas of western Iran. Two-thirds of the wheat and barley fields are located in western Iran where there is normally adequate annual rainfall. In other areas, cereals are grown under irrigation. When there is insufficient rainfall, grain yield is low and farmers do not harvest their fields. The unharvested fields provide additional food for sunn pest populations. The first migrant sunn pests arrive in cereal fields in late March, but a high percentage do not migrate until April. Sunn pests are found mostly in early-planted fields distributed among late-sown fields. These fields are not sprayed because the populations of sunn pest are below the economic threshold in March and April over much of the pest's range. A noticeable percentage of the sunn pest population reproduces in these fields each year.

Growers should avoid the unnecessary use of pesticides on cereals and adjacent crops in order to maintain natural enemy populations, especially those of scelionid egg parasitoids.

FUTURE NEEDS AND CONSIDERATIONS

Bioecological studies of Aelia and Eurygaster began in southwest Asia nearly 200 years ago. Chemicals were used against sunn pest in aestivation and hibernation habitats over 60 years ago. It is discouraging to see that sunn pest is still a problem. The entire sunn pest ecosystem must be properly understood and current management tools should be correctly used within the context of IPM. IPM programmes should be based on a sound understanding of the ecology of sunn pest.

REFERENCES

Donskoff, M. 1985. An approach to the integrated protection of cereals against sunn pest in Iran. FAO Report, Rome, FAO.

Javahery, M. 1972. Annual technical report on sunn pest to the Plant Pests Research Institute. Teheran, Iran. 72 pp. (Unpublished)

Javahery, M. 1973a. Population dynamics of Aelia and Eurygaster spp. in some regions in Iran.

Javahery, M. 1973b. Integrated pest management of sunn pests in Iran. Teheran, Iran, CENTO Publication.

Javahery, M. 1978. Importance and methods of control of sunn pest in Iran. Bulletin of Plant Pests Protection Organization, Teheran, Iran.

Javahery, M. 1988. Migration in Pentatomoidea. Abstract, 18th International Congress of Entomology, Vancouver, Canada.

Javahery, M. 1992. Sunn pests survey and their control. Abstract, Sunn Pest Conference, University of Teheran, Iran.

Jorgenson, M. 1986. Two-stage mechanized harvesting of wheat and barley to control sunn pests in Iran. Technical Report to the Ministry of Agriculture of Iran. Humbolt, Saskatoon, Canada, Prairie Agric. Mech. Institute.

Talai, R. 1991. Research on resistant varieties of wheat and barley against sunn pests. University of Teheran, Iran. (M.Sc. thesis)


Previous Page Top of Page Next Page