Table des matières - Précédente - Suivante


Région sahélienne

1. Indice global de pente Igcor situé entre 3 et 15 m/km

TABLEAU 1 Paramètres de l'équation de détermination de Kr70 pour la zone sahélienne en fonction de l'indice de pente et de la classe d'infiltrabilité

Caractéristiques

a

b

c

Infiltrabilité Ig

       

PI

15

3650

51

27

 

7

2636

41

23

 

3

2239

39

22

I

15

1455

33

21

 

7

1140

30

20

 

3

825

25

19

RI

15

329

18,5

16,5

 

7

239

17,7

14,5

 

3

164

17

10,5

P

7

131

13,8

5

TP

7

35

5

1,5

C'est le cas le plus fréquent:

• Si S < 10 km², on utilisera les courbes des figures 9 et 10;

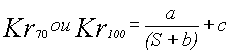
• Si S > 10 km², on utilisera les courbes des figures 11 et 12 ou les relations analytiques correspondantes:

        (3.3)

Les valeurs des paramètres a, b, c sont regroupées dans les tableaux 1 et 2, en fonction des caractéristiques physiques du bassin.

Ces courbes correspondent à un état de dégradation hydrographique très faible ou inexistant. Chacune d'entre elles ne représente pas un bassin dont Kr10 pourrait être déterminé de l'extrémité amont jusqu'à l'exutoire, mais, au contraire, une série de bassins de superficies différentes pour lesquels l'indice global de pente Igcor reste le même

2. Indice global de pente Igcor >15 m/km

TABLEAU 2 Paramètres de l'équation de détermination de Kr100 pour la zone sahélienne en fonction de l'indice de pente et de la classe d'infiltrabilité

Caractéristiques

a

b

c

Infiltrabilité

Ig

     

PI

15

5528

69

28

 

7

3656

51

26

 

3

2727

44

25

I

15

1833

38

24

 

7

1476

37

22

 

3

1125

32,5

20

RI

15

421

20,5

17,5

 

7

300

20

15

 

3

250

20

12

P

15

200

20

8

 

7

150

20

6

TP

7

67

14

2

Dans le Sahel africain, de telles pentes ne s'observent généralement que sur des bassins dont la superficie ne dépasse pas quelques kilomètres carrés. Seules les courbes des figures 9 et 10 seront donc utilisées dans ce cas.

FIGURE 9 Coefficient de ruissellement décennal Kr10 pour S< 10 km², en zone sahélienne

FIGURE 10 Coefficient de ruissellement décennal Kr100 pour S< 10 km², en zone sahélienne

FIGURE 11 Coefficient de ruissellement décennal Kr70 pour S> 10 km², en zone sahélienne

FIGURE 12 Coefficient de ruissellement décennal Kr100 pour S> 10 km², en zone sahélienne

Région tropicale sèche

Pour la région tropicale sèche, les courbes (figures 13 et 14) et les formules proposées pour Kr70 et Kr100 sont utilisables pour des bassins dont la superficie se situe entre 1 et 1500-2000 km². Ce sont, comme pour le Sahel, des branches d'hyperboles (équation 3.3) dont les valeurs des paramètres a', b' et c' sont regroupés dans les tableaux 3 et 4, en fonction de la pente et de l'infiltrabilité.

TABLEAU 3 Paramètres de l'équation de détermination de Kr70 pour la zone tropicale sèche en fonction de l'indice de pente et de la classe d'infiltrabilité

Caractéristiques

a'

b'

c'

Infiltrabilité

Pente

     

I

15

2000

100

29,5

 

7

1620

100

27,5

 

3

1250

100

25

RI

15

250

20

21,7

 

7

200

20

18,5

 

3

150

20

15

P

7

50

15

8

Pour les bassins très perméables, TP, on pourra prendre la valeur médiane Kr70 = 2%, quelle que soit la pente.

TABLEAU 4 Paramètres de l'équation de détermination de Kr100 pour la zone tropicale sèche en fonction de l'indice de pente et de la classe d'infiltrabilité

Caractéristiques

a'

b'

c'

Infiltrabilité

Pente

     

I

15

2400

100

32

 

7

1940

100

30

 

3

1440

100

28

RI

15

325

30

26

 

7

240

30

22

 

3

200

30

17

P

7

55

17

9,5

Pour les bassins très perméables dont la classe d'infiltrabilité est TP, on pourra prendre la valeur médiane Kr100 = 3%, quelle que soit la pente.

FIGURE 13 Coefficient de ruissellement décennal Kr70 en zone tropicale sèche

FIGURE 14 Coefficient de ruissellement décennal Kr100 en zone tropicale sèche

FIGURE 15 Temps de base pour S< 10 km², en zone sahélienne

 

Caractéristiques de l'hydrogramme décennal


Temps de base
Débit moyen de la crue

Coefficient de pointe décennal
Débit de pointe décennal
Volume de la crue décennale
Temps de montée Tm10


Pour une averse décennale de hauteur et de forme déterminées, l'hydrogramme résultant sera plus ou moins proche de l'hydrogramme unitaire, suivant les caractéristiques physiques du bassin.

Dans le contexte sahélien, la superficie, la pente et les conditions d'infiltrabilité se sont révélées les facteurs les plus pertinents pour expliquer la forme de l'hydrogramme si, toutefois, les autres facteurs (aspect du réseau hydrographique, forme du bassin, couverture végétale, etc.) restent proches de la moyenne par rapport à l'ampleur des variations possibles.

Des relations empiriques tenant compte de ces trois principaux paramètres permettent d'estimer les caractéristiques de l'hydrogramme décennal (unitaire ou non, suivant les cas): temps de base, débit de pointe, temps de montée et volume ruisselé. Il faut néanmoins noter qu'en ce qui concerne les temps de base et de montée, l'infiltrabilité intervient uniquement pour les petits bassins.

En région tropicale sèche, l'infiltrabilité ne s'est révélée, en aucun cas, être un facteur de différenciation significatif des temps caractéristiques des hydrogrammes.

Temps de base

Région sahélienne

Le temps de base Tb10 est déterminé en utilisant les relations proposées ci-après ou à partir des courbes des figures 15 et 16.

Toutes ces expressions se rapportent à des valeurs de début de saison des pluies, période durant laquelle les temps de base sont les plus courts. Elles correspondent donc aux situations les plus dangereuses, tous les autres paramètres caractérisant la crue (Pm10, Kr10, a10 et S) étant supposés constants (voir chapitre 1).

Pour déterminer la valeur de Tb10, il conviendra d'interpoler entre les valeurs de Igcor encadrant l'indice de pente du bassin versant analysé. Des interpolations pourront également être nécessaires entre les caractéristiques d'infiltrabilité ou en fonction de la superficie (hydrogramme unitaire ou non).

Tous les temps sont calculés en minutes.

• Igcor = 3 m/km

Pour une pente aussi faible, l'hydrogramme décennal est considéré comme unitaire quelle que soit la superficie du bassin. La limite de 7 km², n'a été introduite que pour améliorer l'estimation de Tb10 sur les petits bassins versants.

• pour S < 7 km², Tb10 = 215. (S- 0,5)0.45 + 300

• pour S > 7 km², Tb10 = 250. S0,35 300

FIGURE 16 Temps de base pour S> 10 km², en zone sahélienne

Le premier terme de ces formules au ruissellement dans le réseau hydrographique et le second au ruissellement superficiel avant l'arrivée au premier thalweg.

Dès que la pente atteint environ 7 m/km, l'hydrogramme décennal ne peut être considéré comme unitaire, relativement à l'averse décennale, que si la superficie du bassin est supérieure à une certaine valeur qui est d'autant plus élevée que la pente est forte:

6

km²,

pour

Ig= 7 m/km

20 - 25

km²

pour

Ig = 10 m/km

45 - 50

km²

pour

Ig = 15 m/km

100- 140

km²

pour

Ig = 25 m/km

Les limites de validité des équations proposées ci-après satisfont à cette contrainte. Toutefois, l'influence de l'infiltrabilté n'a été prise en considération que pour les petits bassins.

• Ig or = 7 m/km

• pour S < 6 km²,

avec une infiltrabilité I: Tb10 = 13,9. S + 255

avec une infiltrabilité P: Tb10 = 19,6. S + 218

• pour S > 6 km², Tb10 = 126. S0,35 + 100

• Igcor = 10 m/km

• pour S < 10 km²,

avec une infiltrabilité I: Tb10 = 8,9. 5 + 183

avec une infiltrabilité P: Tb10 = 8,9. S + 165

• pour S > 20-25 km², Tb10 = 81. S0,35 + 80

• pour 10 km², < S < 20-25 km²,

une interpolation logarithmique sera faite sur les

superficies, entre les valeurs de Tb10 correspondant à 5 = 10 km², et S = 20 - 25 km²,

• Igcor = 15 m/km

• pour S < 10 km²,

avec une infiltrabilité I: Tb10 = 5. S + 139

avec une infiltrabilité P: Tb10 = 5. S + 120

• pour S > 45-50 km², Tb10 = 55 . S0,35+ 30

• pour 10 km², < S < 45-50 km²,

une interpolation logarithmique sera faite sur les superficies, entre les valeurs de Tb10 correspondant à S = 10 km², et S = 45 - 50 km²,

• Igcor = 25 m/km

• pour S < 10 km²,

avec une infiltrabilité I: Tb10 = 4,1 . S + 116,5

avec une infiltrabilité P: Tb10 = 4,1 . S + 101

• pour S > 100-140 km², Tb10 = 42. S0,35+ 20

• pour 10 km², <S< 100-140 km²,

une interpolation logarithmique sera faite sur les superficies, entre les valeurs de Tb10 correspondant à S = 10km² et S = 100- 140 km²

• Igcor = 60 m/km

En région sahélienne, des pentes supérieures à 25 - 30 m/km ne se rencontrent que sur des petits bassins.

• pour S < 10-12 km²,

avec une infiltrabilité I: Tb10 = 2,7 . S + 97

avec une infiltrabilité P: Tb10 = 2,3 . S + 77

FIGURE 17 Temps de base en zone tropicale sèche

Région tropicale sèche

Pour la région tropicale sèche, les relations proposées correspondent uniquement à des hydrogrammes unitaires. Il est fort probable que, dans de très nombreux cas, les valeurs ainsi calculées soient proches de celles de l'hydrogramme réel; les bassins très imperméables étant rares et la couverture végétale, suffisamment fournie, tendant à allonger les temps caractéristiques des crues.

Les relations proposées et les courbes de la figure 17 sont de la forme:

Tb10 = a. S0,36 + b

Les paramètres a et b varient en fonction de la pente:

Ig = 1

Tb10 = 560 . S0,36 + 400

Ig = 3

Tb10 = 325 . S0,36 + 315

Ig = 7

Tb10 = 163 . S0,36 + 142

Ig = 10

Tb10 = 95 . S0,36 + 80

Ig = 15

Tb10 = 75 . S0,36 + 55

Ig = 25

Tb10 = 44 . S0,36 + 28

Ig = 30

Tb10 = 35 . S0,36 + 20

Sur des bassins de superficie inférieure à 15 km², relativement imperméables Kr100 > 20 -25%), à pente assez forte (Igcor > 15 m/km), la crue décennale ne peut être unitaire, car la durée de l'averse excède la moitié du temps de montée, ce qui induit une majoration du temps de base d'autant plus forte que la superficie du bassin est faible (voir "check-list" 2a1).

Débit moyen de la crue

Le débit moyen de la crue Qm10 est donné par l'expression:

Qm10 = (Pm10 Kr10 S) / Tb10

avec: Qm10 = 16, 7. (Pm10 Kr10. S) / Tb10 en m³/s

si:

Pm10 exprimé en mm,

S en km²,

Tb10 en minutes,

Kr10 sans dimension.

Coefficient de pointe décennal

Le coefficient de pointe, rapport du débit maximum ruisselé au débit moyen, est défini par la relation:

a10 = Qr10/Qmr10

On admet que a10 est voisin de 2,6 quelle que soit la superficie du bassin. Toutefois, l'aspect du réseau hydrographique devra être analysé pour apporter d'éventuelles corrections, en suivant les indications de la check-list (3al).

Débit de pointe décennal

Le débit de pointe ou débit maximal total Q10 comprend le débit maximal de ruissellement Qr10 et le débit dû à l'écoulement retardé Qret10.

Q10= Qr10 Qret10

En région sahélienne, le second n'est jamais très important. Pour en tenir compte, on appliquera les relations suivantes:

- pour un indice d'infiltrabilité I: Q10 = 1,03. Qr10;

- pour un indice d'infiltrabilité P: Q10 = 1,06. Qr10.

En zone tropicale sèche, le rapport Qret10/Qr10 est lié davantage à la surface du bassin dont dépend les possibilités de stockage superficiel (dans les lits des cours d'eau, par exemple) ou interne (horizons pédologiques, voire géologiques) qui favorise l'écoulement retardé:

- pour les petits bassins imperméables (jusqu'à quelques dizaines de kilomètres carrés): Q10= 1,03. Qr10;

- pour les petits bassins perméables: Q10 = 1,05. Qr10;

- pour les grands bassins imperméables (plusieurs centaines de kilomètres carrés) avec un réseau hydrographique bien marqué: Q10 = (1,10 à 1,15). Qr10;

- pour les grands bassins perméables avec des lits suffisamment larges: Q10 = (1,15 à 1,20). Qr10.

Volume de la crue décennale

Le calcul du volume total de la crue nécessiterait de connaître avec suffisamment de précision l'écoulement retardé et l'écoulement de base. Toutefois, dans la détermination des caractéristiques des ouvrages hydrauliques, il importe essentiellement d'estimer le volume écoulé Vc10 durant le temps de base de la crue.

Sachant que le volume de ruissellement Vr10 est donné par l'expression:

Vr10 = Pm10. Kr10 . S,

avec Pm10 = A P10

on obtient le volume de crue Vc10 en ajoutant au volume ruisselé Vr10 un volume Vret10 égal à la majoration due à l'écoulement retardé. On considère que Vret10 correspond à un débit moyen, calculé sur toute la durée du temps de base, égal au débit Qret10 défini au paragraphe précédent:

Vc10 = Vr10 + Qret10. Tb10

En zone sahélienne:

- pour un indice d'infiltrabilité I: Qret10 = 0,03. Qr10

- pour un indice d'infiltrabilité P: Qret10 = 0,06. Qr10

En zone tropicale sèche:

- pour les petits bassins imperméables (jusqu'à quelques dizaines de kilomètres carrés): Qret10 = 0,03. Qr10;

- pour les petits bassins perméables: Qret10 = 0,05. Qr10;

- pour les grands bassins imperméables (plusieurs centaines de kilomètres carrés) avec un réseau hydrographique bien marqué: Qret10 = (0,10 à 0,15). Qr10;

- pour les grands bassins perméables avec des lits suffisamment larges: Qret10 = (0,15 à 0,20). Qr10.


Table des matières - Précédente - Suivante