Activité Polyvalente 1: Inventaire des Types d'Utilisation des Terres
Activité Polyvalente 2: Inventaire des Ressources en Terres
Activité polyvalente 3: Evaluation de l'aptitude des Terres
Résultats
Applications de pointe
|
Activités polyvalentes ZAE |
L'application de base des ZAE est celle qui mène à l'évaluation de l'aptitude des terres et de leur potentiel de production pour des utilisations spécifiques; elle est constituée de trois groupes d'activités polyvalentes:
· l'inventaire des types d'utilisation des terres et de leurs exigences écologiques;· la définition et la cartographie des zones agro-écologiques basées sur les inventaires des ressources en terres (incluant le climat, la géomorphologie et les sols);
· l'évaluation de l'aptitude des terres pour chaque zone agro-écologique.
La figure 5 illustre la relation entre ces activités polyvalentes et les procédures qui les génèrent. Les produits finaux et intermédiaires peuvent ensuite être utilisés dans une série d'applications de pointe déterminées par les objectifs de l'étude. Ce chapitre décrit comment utiliser les procédures à l'application de base des ZAE, celle qui mène à l'évaluation de l'aptitude des terres et de leur productivité potentielle pour des systèmes culturaux précis. Cette description est suivie de brefs résumés décrivant les applications de pointe suivantes:
· évaluation de la productivité des terres;
· superficie des terres arables potentielles;
· optimisation de l'utilisation des terres.
|
Etape par étape |
Les procédures sont décrites étape par étape, en même temps que les données requises et les résultats intermédiaires; elles sont illustrées par des exemples tirés d'études ZAE conduites par la FAO. Aider l'utilisateur à comprendre les procédures est le point recherché ici, afin qu'il soit à même de les appliquer ou de les adapter en fonction des buts de chaque étude ZAE et des ressources disponibles. En fait, il n'est point besoin d'ordinateur pour réaliser chacune de ces procédures, excepté celles qui impliquent une prise de décision objective. Cependant, il semble évident que la plupart des utilisateurs travailleront à l'aide de bases de données et de tableurs commerciaux, et sauront s'en servir. Au chapitre 4 seront décrits les logiciels appropriés et disponibles pour divers types de procédures, ainsi que leurs connexion avec les SIG.
Les informations que contient un inventaire des ressources en terres sont déterminées dans une large mesure par les nécessités des types d'utilisation des terres et des cultures qui y sont pratiquées. C'est pourquoi les procédures d'inventaire des types de ressources en terres seront décrites en premier, tout en signalant les connexions entre les nécessités de l'utilisation des terres et leurs caractéristiques contenues dans l'inventaire.
FIGURE 5 - Applications de base des ZAE: méthodologie

Etape 1.1: Sélectionner des Types d'Utilisation des Terres
Etape 1.2: Inventorier l'adaptabilité climatique des cultures
Etape 1.3: Inventorier l'adaptabilité édaphique des cultures
Un éventail de TUT doit être sélectionné en conformité avec l'utilisation actuelle des terres et/ou avec celle que projetée après amélioration de la situation. Toutes les évaluations ultérieures d'aptitude des terres et de productivité potentielle effectuées à l'occasion d'une étude ZAE, concerneront ces TUT spécifiques tels que pratiqués à l'intérieur de zones ou de cellules agro-écologiques clairement définies.
Les TUT sont définis en termes d'un produit, ou d'une gamme spécifique de produits, et de système de gestion, y compris les opérations et intrants requis pour cette production. Habituellement, la définition implique également la prise en compte de l'environnement socio-économique. Le degré de détail de définition des TUT est déterminé principalement par les objectifs de l'étude et par les données requises pour l'évaluation de l'aptitude des terres. La plupart des études ZAE ont des TUT que l'on peut différencier par les cultures, les gammes de cultures, et les niveaux d'intrants, comme le montre le tableau 4. Les bases de données actuellement disponibles, comme la "Land Use Database" (de Bie, van Leeuwen et Zuidema, 1995), permettent une caractérisation plus quantitative des intrants, des opérations et des produits.
|
Eléments de TUT |
Les facteurs suivants doivent être implicites dans la définition des TUT:
· La description d'un système de production agricole existant ou envisagé; cette description comprendra les produits, les techniques de production et les types et gammes d'intrants et de produits attendus.· L'identification des facteurs importants qui affectent le potentiel de production, tels que les limites à la mécanisation sur les terrains en pente, et les exigences des sols en matière d'irrigation.
· La modélisation des scénarios de production et le niveau auquel il est prévu de surmonter les contraintes de production dans chaque scénario.
· La quantification des niveaux d'intrants (main d'oeuvre, matériel, capital, etc.) associés aux différents scénarios de production. Ceci est utilisé pour:
· l'estimation des niveaux probables d'intrants correspondant aux productions attendues;· l'estimation des demandes totales en intrants liée à la disponibilité en ressources réelles ou escomptées pour le pays ou pour la province.
Selon la définition des TUT, les étapes suivantes impliquent l'inventaire des besoins des cultures et des systèmes de gestion qui en font partie, et pour les conditions climatiques, de sol et de géomorphologie requis. Ces inventaires constituent la base d'une évaluation séquentielle des aptitudes climatique et édaphique ainsi que du calcul du rendement potentiel.
TABLEAU 4 - Exemples de définition de types d'utilisation des terres
|
Facteur |
Intrants faibles |
Intrants intermédiaires |
Intrants élevés |
|
Produits et production |
Culture pluviale d'orge, maïs, avoine, mil, riz de montage et de bas-fonds, sorgho, blé, niébé, petit pois, arachide, haricots, pois cajan, soya, manioc, patate douce, pomme de terre, banane, palmier à huile et canne à sucre. Culture pure et associée seulement selon modèles et rotations appropriés. | ||
|
Orientation du marché |
Agriculture de subsistance |
Agriculture de subsistance plus vente des surplus |
Agriculture de rente |
|
Intensité d'investissement |
Faible |
Intermédiaire avec crédit à conditions modérées |
Elevée |
|
Intensité de main-d'oeuvre |
Elevée, incluant main-d'oeuvre familiale non rémunérée |
Moyenne, incluant main-d'oeuvre familiale non rémunérée |
Faible, main-d'oeuvre familiale rémunérée |
|
Source d'énergie |
Travail et outils manuels |
Travail et outils manuels et/ou traction animale, avec outils améliorés; un peu de mécanisation |
Mécanisation complète |
|
Technologie |
Cultivars traditionnels. Ni engrais, ni pesticide, ni contrôle des maladies et des mauvaises herbes. Jachères. Mesures conservatoires minimales |
Cultivars améliorés si disponibles. Vulgarisation appropriée en engrais pesticides et contrôle des maladies et mauvaises herbes. Jachères et mesures conservatoires possibles |
Cultivars à haut rendement incluant des hybrides. Application optimale d'engrais. Pesticides, contrôle des maladies et des mauvaises herbes. Mesures conservatoires totales |
|
Infrastructure |
Accès au marché non nécessaire. Services de conseil inadéquats |
Accès au marché, aux parcelles de démonstration et aux services |
Accès au marché essentiel. Niveau élevé des services d'assistance et application des résultats de recherche |
|
Tenure des terres |
Petite, morcelée |
Petite, parfois morcelée |
Elevée, remembrée |
|
Niveau de revenu |
Bas |
Modéré |
Elevé |
Source: FAO (1993a).
Un inventaire climatique des cultures est dressé; il se base sur les exigences phénologiques des plantes, sur les gammes de températures et sur les caractéristiques de photosynthèse.
Un exemple des paramètres des cultures nécessaires à la détermination de l'aptitude climatique est donné au tableau 5. Les exigences en longueur de jour devraient aussi être normalement incluses, mais les cultivars considérés dans ce cas particulier sont tous insensibles à la longueur du jour. Des informations similaires portant sur d'autres cultures sont données dans les travaux de la FAO (1978) et de Kassam (1980).
Les différences peuvent être importantes dans des facteurs tels que la longueur du cycle végétatif, qui sont dues principalement à l'adaptation des différents cultivars aux différentes gammes de conditions thermiques. Plusieurs écotypes culturaux sont reconnus au tableau 5 sous l'en-tête Nombre de jours avant maturité. Ces écotypes sont traités séparément pour l'évaluation de l'aptitude des terres et des performances potentielles.
TABLEAU 5 - Paramètres d'adaptabilité des cultures aux climats
|
Paramètres |
Orge |
Avoine |
Niébé |
Petit pois |
Pois cajan |
|
|
Espèce |
Hordeum vulgare |
Avena sativa |
Vigna unguiculata |
Vigna radiata |
Cajanus cajan |
|
|
Cycle de photosynthèse |
C3 |
C3 |
C3 |
C3 |
C3 |
|
|
Groupe d'adaptabilité des cultures |
I |
I |
II |
II |
II |
|
|
Nombre de jours avant maturité
|
90-120 (1) |
90-120 (1) |
80-100 (4) |
60-80 (4) |
130-150 (4) |
|
|
120-150 (2) |
120-150 (2) |
100-140 (4) |
80-100 (4) |
150-170 (4) |
||
|
150-180 (3) |
150-180 (3) |
|
|
170-190 (4) |
||
|
Partie récoltée |
Graine |
Graine |
Graine |
Graine |
Graine |
|
|
Produit principal |
Grain (C) |
Grain (C) |
Grain (L) |
Grain (L) |
Grain (L) |
|
|
Type de croissance |
Définie |
Définie |
Indéfinie |
Indéfinie |
Indéfinie |
|
|
Durée de vie |
||||||
|
|
- Naturelle |
Annuelle |
Annuelle |
Annuelle |
Annuelle |
Pérenne courte |
|
- Cultivée |
Annuelle |
Annuelle |
Annuelle |
Annuelle |
Annuelle/bisannuelle |
|
|
Rendement en culture |
IT |
IT |
IL |
IL |
IL |
|
|
Période de formation |
DT |
DT |
MF |
MF |
MF |
|
|
Zone thermique à considérer |
3, 4, 5, 6, 7 |
3, 4, 5, 6, 7 |
1, 2, 3 |
1, 2, 3 |
1, 2, 3 |
|
|
C |
Céréales |
Zones thermiques: |
1 - > 25.0°C |
(1) zones thermiques 3 et 4 |
|
L |
Légumineuses |
|
2 - 22.5-25.0 |
(2) zone thermique 5 |
|
IT |
Inflorescence terminale |
|
3 - 20.0-22.5 |
(3) zones thermiques 6 et 7 |
|
IL |
Inflorescence latérale |
|
4- 17.5-20.0 |
(4) zones thermiques 1, 2 et 3 |
|
DT |
Dernier tiers de la |
|
5 - 15.0-17.5 |
|
|
|
période végétative |
|
6 - 12.5-15.0 |
|
|
MF |
Mi - à fin de la période végétative |
|
7- 10.0-12.5 |
|
Source: FAO (1993a).
Les cultures doivent se retrouver dans des groupes d'adaptabilité climatique où sont reconnues des aptitudes similaires à photosynthétiser, étant entendu que les besoins phénologiques sont satisfaits. Le tableau 6 résume les caractéristiques principales de chaque groupe et donne des exemples de cultures qui en font partie. Les taux de photosynthèse sont utilisés pour calculer la productivité potentielle de biomasse (étape 3.2.1).
TABLEAU 6 - Caractéristiques photosynthétiques de groupes d'adaptabilité climatique de cultures
|
Caractéristiques |
Groupe d'adaptabilité de cultures |
|||
|
I |
II |
III |
IV |
|
|
Cycle photosynthétique |
C3 |
C3 |
C4 |
C4 |
|
Taux de photosynthèse à saturation lumineuse, à température optimale (mg CO2, dm-2h-1) |
20-30 |
40-50 |
>70 |
>70 |
|
Température optimale (°C) |
15-20 |
25-30 |
30-35 |
20-30 |
|
Intensité de radiation |
0.2-0.6 |
0.3-0.8 |
>1.0 |
>1.0 |
|
pour photosynthèse maximale (cal cm-2min-1) |
|
|
|
|
|
Cultures (exemples)
|
Orge |
Niébé |
Mil Sorgho |
Sorgho |
|
Avoine |
Petits pois |
Maïs |
Maïs |
|
|
Blé |
Pois cajan haricots |
Canne à sucre |
|
|
|
Haricots |
Riz |
|
|
|
|
Pomme de terre |
Soja |
|
|
|
|
|
Arachide |
|
|
|
|
|
Patate douée |
|
|
|
|
|
Manioc |
|
|
|
|
|
Banane |
|
|
|
|
|
Palmier à huile |
|
|
|
Source: FAO (1993a).
L'exploitation agricole du potentiel climatique des plantes dépend des propriétés du sol, et de la manière dont il est géré. Les contraintes imposées par la morphologie ou par d'autres caractères de surface, tels que la susceptibilité aux inondations, doivent également être prises en compte.
De nombreux sols sont climatiques; à cause de cela bien souvent, climat et sol sont liés et peuvent engendrer des interactions réciproques se répercutant sur la productivité des cultures. La relation étroite entre climat, sol (zonal) et communauté naturelle de plantes peut, jusqu'à un certain point, aider aux évaluations d'aptitude des terres.
|
Besoins en sols |
Les exigences édaphiques essentielles des plantes cultivées liées aux conditions internes et externes des sols peuvent se regrouper sous les rubriques suivantes:
· Exigences internes des sols:· régime de thermique;
· régime d'humidité;
· régime d'aération;
· régime de fertilité naturelle;
· profondeur effective;
· texture et pierrosité;
· toxicité;
· autres propriétés spécifiques, p. ex. horizons labourés.· Exigences externes:
· pente/topographie;
· fréquence et importance des inondations;
· accessibilité et viabilité du sol.
A partir des exigences édaphiques des plantes, des catégories de conditions optimales et marginales peuvent être définies; dès lors, elles peuvent être appariées aux caractéristiques des terres qui leur sont liées afin de déterminer l'aptitude édaphique des cultures (étape 3.4). Un exemple, tiré de l'inventaire de l'adaptabilité édaphique des cultures, est présenté au tableau 7. Des informations complémentaires détaillées pourront être trouvées dans de nombreuses publications de la FAO (FAO, 1976; 1978; 1981; 1983; 1985; 1994a).
|
Fiabilité des données |
Note importante: Des informations sur les éventails optimaux et marginaux de conditions édaphiques pour certaines cultures, tels qu'ils sont présentés dans le tableau 7, peuvent être difficiles à obtenir, ou même être indisponibles. En l'absence d'informations publiées, des estimations argumentées peuvent être mises en parallèle avec d'autres espèces cultivées ayant des besoins physiologiques similaires. Ces 'estimations devinées' sont importantes car les modèles qui apparient les besoins des cultures aux caractéristiques pédologiques et climatiques ne peuvent fonctionner sans données. Lorsque des données locales plus fiables sont disponibles, les bases de données doivent être mises à jour et l'estimation refaite.
Etape 2.1: Analyser la longueur de la période de croissance
Etape 2.2: Définir des zones thermiques
Etape 2.3: Inventorier les ressources climatiques
Etape 2.4: Inventorier les ressources en sols
Etape 2.5: Inventorier l'utilisation actuelle des terres
Etape 2.6: Inventorier les ressources en terres
Cette activité polyvalente comporte les phases suivantes:
2.1 analyse des longueurs de la période de croissance (LPC);2.2 définition des zones thermiques;
2.3 inventaire des conditions climatiques;
2.4 inventaire des ressources en sols et des conditions morphologiques;
2.5 inventaire de l'utilisation actuelle des terres;
2.6 combinaison des étapes ci-dessus pour inventorier les ressources en terres par zones ou cellules agro-écologiques. Normalement, cet inventaire inclut aussi des informations sur les limites administratives.
TABLEAU 7 - Inventaire de l'adaptabilité édaphique pour certaines cultures
|
Culture
|
Pente (pourcent) |
Drainage |
||||
|
Intrants élevés |
Intrants faibles et moyens |
Tous niveaux d'intrants |
||||
|
Optimum |
Marginal |
Optimum |
Marginal |
Optimum |
Marginal |
|
|
Orge |
0-8 |
8-16 |
0-8 |
8-24 |
AB-B |
I-PE |
|
Avoine |
0-8 |
8-16 |
0-8 |
8-24 |
AB-B |
I-PE |
|
Niébé |
0-8 |
8-16 |
0-8 |
8-20 |
AB-B |
I-PE |
|
Petit pois |
0-8 |
8-16 |
0-8 |
8-20 |
AB-B |
I-PE |
|
Pois cajan |
0-8 |
8-16 |
0-8 |
8-20 |
AB-B |
I-PE |
Classes de drainage: I = Imparfaitement drainé; AB = Assez bien drainé; B = Bien drainé; PE = Plutôt excessivement drainé; E = Excessivement drainé.
|
Culture |
Inondations |
Texture |
||||
|
Tous niveaux d'intrants |
Intrants élevés |
Intrants faibles et moyens |
||||
|
Optimum |
Marginal |
Optimum |
Gamme |
Optimum |
Gamme |
|
|
Orge |
F0 |
F1 |
L-AMs |
LS-AMs |
L-AS |
LS-AK |
|
Avoine |
F0 |
F1 |
L-A |
LS-AMs |
L-AS |
LS-AK |
|
Niébé |
F0 |
F1 |
LS-LSA |
SL-AK |
LS-LSA |
SL-AK |
|
Petit pois |
F0 |
F1 |
L-LA |
LS-AK |
L-LA |
SL-AK |
|
Pois cajan |
F0 |
F1 |
LS-LSA |
SL-AK |
LS-LSA |
SL-AK |
Classes d'inondation: F0 = pas d'inondation; F1 = inondations occasionnelles.Classes texturales: AMs = argile montmorillonitique, structurée; A = argile (mixte non spécifiée); AK = argile kaolinitique; AS = argile sableuse; LLiA = loam limono-argileux; LA = loam argileux; LSA = loam sablo-argileux; L = loam; LS = loam sableux; SL = sable loameux.
|
Culture |
Profondeur (cm) |
CaCo3 (%) |
Gypse |
(%) |
||
|
Tous niveaux d'intrants |
Tous niveaux d'intrants |
Tous niveaux d'intrants |
||||
|
Optimum |
Marginal |
Optimum |
Marginal |
Optimum |
Marginal |
|
|
Orge |
> 50 |
25-50 |
0-30 |
30-60 |
0-5 |
5-20 |
|
Avoine |
> 50 |
25-50 |
0-30 |
30-60 |
0-5 |
5-20 |
|
Niébé |
> 75 |
50-75 |
0-20 |
20-35 |
0-3 |
3-15 |
|
Petit pois |
> 75 |
50-75 |
0-25 |
20-35 |
0-3 |
3-15 |
|
pois cajan |
> 100 |
50-100 |
0-25 |
20-50 |
0-3 |
3-15 |
|
Culture |
pH |
Besoins en fertilisants |
Salinité (mmhos/cm) |
||
|
Tous niveaux d'intrants |
Tous niveaux d'intrants |
Tous niveaux d'intrants |
|||
|
Optimum |
Gamme |
Gamme |
Optimum |
Gamme |
|
|
Orge |
6,0-7,5 |
5,2-8,5 |
Modéré |
0-8 |
8-12 |
|
Avoine |
6,0-7,5 |
5,2-8,2 |
Faible/Modéré |
0-5 |
5-10 |
|
Niébé |
5,2-7,5 |
5,0-8,2 |
Faible/Modéré |
0-3 |
3-6 |
|
Petit pois |
5,5-7,5 |
5,2-8,2 |
Modéré |
0-3 |
3-6 |
|
Pois cajan |
5,2-7,5 |
5,0-8,2 |
Faible/Modéré |
0-3 |
3-6 |
Source: FAO (1993a).
L'inventaire des ressources en terres se fonde sur la combinaison de différentes couches d'informations définissant les cellules agro-écologiques (CAE); celles-ci se présentent comme une combinaison unique de propriétés de climat, de sol et d'autres propriétés liées au terrain (figure 5). De telles techniques de recouvrement sont plus facilement applicables dans le cadre d' un environnement SIG; cependant des méthodes alternatives peuvent être utilisées si un SIG n'est pas disponible (voir étape 2.6).
L'encart 4 résume les données nécessaires à la préparation d'un inventaire des conditions climatiques.
|
ENCART 4: DONNEES CLIMATIQUES NECESSAIRES Ensemble 1: Cartes * Cartes topographiques Ensemble 2: Pour chaque station météorologique * localisation (coordonnées) et altitude Note: La période pouf laquelle les données sont recueillies dépend des buts et du degré de détail de l'étude ZAE. Dans la mesure du possible les données pluviométriques devant être relevées pour une période de temps á l'échelle historique. |
La période de croissance est la période de l'année durant laquelle les conditions à la fois d'humidité et de température contribuent à la croissance des plantes (encart 3).
Sous les tropiques, la température est rarement un facteur limitant, sauf à très haute altitude; la LPC peut dès lors être assimilée à un simple bilan entre les précipitations (P) et l'évapotranspiration potentielle (ETP). La LPC doit être évaluée pour toutes les stations pluviométriques habilitées de l'aire d'étude et pour un minimum de 20 années de relevés complets. Là où les données synoptiques nécessaires au calcul de l'ETP ne sont pas disponibles, l'ETP peut être estimée sur la base de corrélations avec l'altitude, localement (ex. De Pauw, 1987), ou, dans les zones moins accidentées, par interpolation linéaire des stations les plus proches (ex. Schalk, 1990; Radcliffe, Terteeg et De Wit, 1992).
Quoique l'étude originale ZAE de la FAO à échelle continentale se soit basée sur les données de pluviométrie et d'ETP mensuelles moyennes pour les calculs de LPC, des études plus fines (ex. Radcliffe, 1981; De Pauw, 1987; FAO, 1993a) ont montré l'intérêt d'analyser des données pluviométriques historiques et d'employer ces résultats pour procéder à une analyse statistique de la distribution des LPC. L'approche sur la base des données historiques est vivement recommandée, particulièrement dans les zones semi-arides où les variations inter-annuelles des précipitations, et des LPC qui en résultent, sont souvent extrêmes (FAO, 1993a; Radcliffe, 1993).
TABLEAU 8 - Exemple de calcul de LPC d'après les précipitations mensuelles historiques
Le tableau 8 donne un exemple simple de calcul des LPC sur une période de 11 ans à Nazreth, en Ethiopie; la plupart du temps, l'humidité disponible ne permet qu'une seule période de croissance. Cet exemple est tiré d'un manuel destiné aux équipes de terrain n'ayant pas nécessairement accès au matériel informatique. Des périodes continues d'au moins deux mois avec P>ETP/2 sont prises comme phases intermédiaires plus humides de la période de croissance (figure 2, p. 8). Quinze jours sont comptés pour le premier mois où les précipitations dépassent ETP/2, et 30 jours sont ajoutés pour chaque mois qui suit et au même régime P > ETP/2. Enfin 20 jours sont ajoutés pour inclure la période de réserve en eau du sol.
L'analyse statistique des LPC du tableau 8 donne une période de croissance fiable de 95 jours, qui est dépassée dans 75% des années. La LPC médiane, dépassée dans 50% des années, est également de 95 jours. L'évaluation des LPC sur base des pluviométries moyennes donne une valeur de 155 jours, ce qui constitue une surestimation grossière de la situation réelle.
L'étude ZAE au Kenya (FAO, 1993 a) a comparé les ETP et les bilans d'humidité pour des relevés pluviométriques historiques, et ce sur le modèle du principe appliqué dans tableau 8. Cependant les techniques informatiques utilisées ont permis une analyse bien plus approfondie des LPC qui la composent, grâce à l'emploi d'une période d'enregistrement plus courte (3 jours); ceci est primordial dans les zones à périodes de croissance multiples. Cette étude a ainsi identifié 22 zones types LPC, présentant des fréquences spécifiques d'apparition de une, deux, trois et quatre périodes de croissance par an (et également de toutes les années sèches et humides). Ces zones types LPC sont indiquées dans le tableau 2.
L'inventaire des ressources climatiques a permis d'établir la liste de chaque occurrence individuelle de période humide, intermédiaire et sèche; elle a aussi permis d'en tirer des corrélations statistiques, d'abord entre les longueurs totales des périodes de croissance durant les années de type dominant et durant les années de type associé, et ensuite entre les longueurs des périodes individuelles de croissance qui les composent et la LPC totale pour les années à périodes de croissance multiples. Les périodes individuelles de croissance et la LPC totale pour chacune des années sont utilisées pour évaluer respectivement l'aptitude climatique des cultures annuelles et des cultures pérennes (étape 3.2).
Dans les régions tempérées, la température est souvent un facteur au moins aussi important sinon plus important que l'humidité disponible pour déterminer la croissance d'une culture, et la méthodologie ZAE originale (FAO, 1978) ne permet pas d'y mesurer son influence de manière adéquate. La température nécessite une spécification plus fine des régimes thermiques (étape 2.2); de plus, elle interfère avec la disponibilité en eau dans la détermination des LPC. Des modifications particulières ont été apportées au modèle LPC de manière à ce qu'il prenne en compte les conditions de températures rencontrées en Chine, ainsi que le montre l'encart 5.
L'étude chinoise démontre la nécessité d'adapter des éléments de la méthodologie ZAE lorsqu'ils sont appliqués dans des types d'environnements différents de ceux dans lesquels ils ont été développés. Cependant, des modifications au modèle de bilan hydrique vont au-delà de ce qui est requis pour le calcul des basses températures saisonnières, et certaines d'entre elles ont de plus larges applications potentielles. L'utilisation de coefficients de culture, représente, quoique d'une manière plutôt générale, un pas vers une modélisation du bilan hydrique d'une culture plus précise et plus spécifique, qui constitue un développement significatif de la méthodologie ZAE existante.
Les zones de périodes de croissance sont dessinées sur carte; elles peuvent être basées sur des intervalles fixes de la LPC moyenne, ou sur la LPC fiable dépassant un niveau donné de probabilité (0.75 ou 0.8). La figure 7 montre un exemple des zones de périodes de croissance au Bangladesh (Brammer et al., 1988).
|
ENCART 5: EVALUATION DES LPC POUR LES REGIONS TEMPEREES L'EXEMPLE CHINOIS Pour la détermination des LPC l'étude ZAE en Chine identifie quatre composantes dans le bilan humidité/température: i. définition d'une période de croissance thermique, calculée (en jours) sur la période de l'année où la température est suffisamment élevée pour que les cultures poussent (correspondant à des températures moyennes >0°C dans les régions à cultures d'hiver, mais antre >5°C et <10°C dans le Province de Heilongjiang); ii. application de bilans hydriques différents à là période froide, à la période de transition et à la période de croissance (définie par la température) (Figure 6); iii. L'ETP (ou ETP/2) d'après Penman est remplacée par une estimation plus faible de la demande en eau au printemps (c'est-à-dire vers la date probable de démarrage dé la période dé croissance par l'humidité); iv. extraction de l'eau des réserves du sol en fonction de sa disponibilité (l'eau du sol retenue à des tensions proches du point de flétrissement permanent est plus difficile á extraire: que celle retenue à des tensions proches de la capacité au champ). Une fonction linéaire quadratique élaborée par Doorenbos et Kassam (FAO, 1979) est utilisée pour calculer l'extraction de l'eau à hautes tensions. Source: Zheng Zhenyuan, 1994. |
FIGURE - 6 Modèles de LPC et de bilan hydrique dans l'étude ZAE en Chine

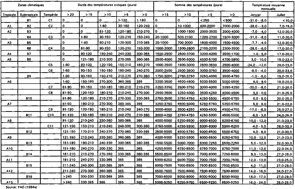
Les zones thermiques décrivent le régime de température que subissent les cultures durant leur période de croissance. Elles sont d'habitude définies par des tranches de température moyenne. Dans les régions tropicales de montagnes, une forte corrélation lie généralement la température à l'altitude. Le tableau 9 donne les catégories de températures et les altitudes correspondantes pour les zones thermiques de référence au Kenya.
Un traitement aussi simple des régimes thermiques peut s'avérer inadéquat en régions tempérées. Dans la définition des zones thermiques, l'étude ZAE menée en Chine (Zheng Zhenyuan, 1994) utilise une combinaison de la durée de la période temps et des jours cumulés où la température dépasse plusieurs seuils critiques, avec les températures mensuelles moyennes en janvier et juillet (tableau 10).
TABLEAU 9 - Zones thermiques de référence au Kenya
|
Code zone thermique |
Catégories de températures journalières moyennes (°C) |
Tranches d'altitude (m) |
|
1 |
>25.0 |
<800 |
|
2 |
22.5-25.0 |
800-1200 |
|
3 |
20.0-22.5 |
1200-1550 |
|
4 |
17.5-20.0 |
1550-1950 |
|
5 |
15.0-17.5 |
1950-2350 |
|
6 |
12.5-15.0 |
2350-2700 |
|
7 |
10.0-12.5 |
2700-3100 |
|
8 |
5.0-10.0 |
3100-3900 |
|
9 |
<5.0 |
>3900 |
Une récente révision des concepts des régimes thermiques a conduit aux définitions suivantes:
· Zones thermiques de période de croissance (LPCt)Période de l'année durant laquelle T moyenne ³ 5°C. Cette période est recensée tous les 30 jours. La coupure hivernale (Tmoy < 5°C) est définie comme (i) période de dormance lorsque des cultures peuvent survivre en hibernation, ou comme (ii) coupure au froid lorsque surviennent des températures létales pour les plantes en hibernation, les températures létales sont ajustées en fonction de l'épaisseur de la couche de neige (le paramètre de température létale est fixé à -8°C pour une couverture neigeuse de 0 cm; il atteint -22° C pour des épaisseurs de neige de 65 cm ou plus) et ne peuvent pas dépasser une durée totale de 200 jours.· Zones de périodes hors gel
II est admis que la période hors gel coïncide avec la période durant laquelle la T moyenne > 10°C. Cette période est également recensée à intervalles de 30 jours.· Zones de référence à permagel
Les zones de référence à permagel se rapportent à des conditions climatiques capables d'engendrer la formation et le maintien d'un gel permanent. Une approximation des zones de référence à permagel leur attribue une Tmoy <-5°C pour les régions à permagel possible en continu et des Tmoy variant entre 0 et -5°C avec permagel possible en discontinu (intermittent).
FIGURE 7 - Carte générale des ressources hydriques du Bangladesh
TABLEAU 10 - Caractéristiques des zones thermiques en Chine
L'inventaire de ces ressources se réalise comme suit:
· reporter sur carte les températures, les LPC-types et les LPC totales dominantes moyennes dérivées, recensés dans des stations individuelles, comme décrit plus haut;· dessiner les limites des zones thermiques, des zones de LPC-types, des zones de période de croissance ainsi que les isolignes des LPC totales dominantes moyennes.
En plus des techniques normales d'extrapolation, les images Landsat, et un ensemble de cartes (climatiques, de végétation, d'utilisation des terres, topographiques et pédologiques), sont largement utilisées afin d'aider au tracé des limites et des isolignes. Lorsqu'un SIG est employé, les cartes d'inventaire doivent évidemment être digitalisées. Vu le nombre de cartes de base et de données ponctuelles nécessaires, vu également les connaissances sur l'interpolation des variables climatiques entre ces points, l'utilisateur peut préparer les cartes climatiques dans le cadre d'un SIG.
Les informations sur les types de sols et unités morphologiques sont généralement tirées de cartes pédologiques, de légendes et de rapports existants. Les cartes pédologiques nationales à des échelles de 1:1000000 ou plus grandes sont d'excellentes sources d'où peuvent être tirées les données nécessaires. Lors de recherches plus fines, des cartes pédologiques provinciales peuvent être employées; il peut aussi être nécessaire de rassembler des données supplémentaires. Pour leur corrélation, il sera préférable de classer les sols dans le système de la Carte Mondiale des Sols de la FAO-Unesco (FAO, 1974; FAO, 1990b); des systèmes nationaux de classification pourront également être utilisés à condition que les caractéristiques essentielles à l'évaluation soient incluses dans la définition des types de sols.
|
Données nécessaires |
Quelles sont les données à encoder?
Sur les cartes à petite échelle, les unités cartographiques consistent généralement en associations de types individuels survenant à l'intérieur des limites d'une unité physiographique cartographiable (figure 4). Les unités cartographiques reflètent aussi précisément que possible la répartition des sols dans une vaste région. Les paramètres nécessaires à la comparaison avec les exigences de l'utilisation des terres devraient être inclus dans les informations disponibles pour chaque type de sol. Il est possible de définir un ensemble de données minimum pour quasiment toutes les applications; malgré cela, la gamme de paramètres requis peut varier selon la région géographique et selon la précision de l'enquête. Ainsi, dans la caractérisation des types de sols des régions tropicales humides, il peut s'avérer nécessaire d'inclure des facteurs tels que l'aluminium échangeable, tandis que d'autres facteurs, comme la concentration en sels solubles, sont d'habitude plus importants dans les zones arides. L'encart 6 donne les paramètres du sol indispensables à la plupart des études ZAE.
Les phases de sols
Les phases de sols fournissent des caractéristiques des terres qui ne sont pas prises en compte dans la définition des unités de sols, mais qui peuvent cependant avoir de l'importance dans l'utilisation et l'aménagement des terres. Dans la légende FAO-Unesco (FAO, 1974; 1990b), les phases de sols sont définies et groupées comme suit:
· indication d'une gêne ou limitation pour la mécanisation* rocheux, rocailleux, rudique, graveleux;· indication d'une limitation effective de la profondeur du sol* lithique, paralithique, pétrocalcique, pétroferrique;· indication d'une limitation physico-chimique* salin, sodique.
|
ENCART 6: BESOINS EN DONNEES SUR LES SOLS Ensemble de données 1: Cartes * cartes topographiques/physiographiques/géologiques Ensemble de données 2: Pour chaque unité cartographique de sol/de forme de relief * composition de l'unité cartographique en termes de sol dominant, sols associés et inclusions; * pourcentage d'apparition de chaque sot associé au Sein de l'unité Cartographique; * profondeur d'enracinement et capacité effective de rétention en eau, quantité et qualité de la matière organique, CEC des argiles saturation en bases, stabilité structurale, pierrosité et rochosité, pour chaque regroupement d'unité de sols identifiées dans la zone de l'étude; * superficie totale couverte par les unités cartographiques individuelles; * classes de pente dominante; * classe texturale de la zone racinaire pour chaque sol associé; * phase de sol, si indiqué. |
Le tableau de composition de l'unité cartographique
Le tableau de composition de l'unité cartographique montre la distribution des types de sols, et de leurs propriétés essentielles, au sein de chaque unité cartographique de sols. Un exemple en est donné au tableau 11.
L'utilisation actuelle et l'occupation des terres sont particulièrement importants lorsque les résultats issus des ZAE sont appliqués à la planification de l'utilisation des terres. En conséquence, lors des inventaires des ressources en terres, les classes d'utilisation des terres et d'occupation des terres doivent être répertoriés systématiquement et peuvent être considérés comme des attributs des CAE. Cet inventaire est tout à fait distinct de l'inventaire des types d'utilisation des terres (ensemble d'activités 1), lequel définit l'utilisation potentielle et identifie les conditions requises pour l'évaluation des terres.
L'inventaire des ressources en terres est le résultat de la superposition des zones thermiques, des zones LPC et des inventaires des ressources en sols. Des informations supplémentaires sur les limites administratives, sur l'utilisation des terres et sur d'autres contraintes, telles que l'incidence de la mouche tsé-tsé, peuvent aussi être superposés, ainsi que le montre l'exemple de la figure 8. Le résultat de cette procédure est un nombre de cellules agro-écologiques: 91 000 cellules environ ont été inventoriées au cours de l'étude ZAE au Kenya. Le tableau 12 donne un exemple des unités cartographiques des ressources en terres et des sols, ainsi que des CAE dans cet inventaire des ressources en terres.
Pour la superposition d'aussi grandes quantités d'informations, l'utilisation d'un SIG est fortement conseillée. Cependant, s'il n'y a pas de SIG à disposition, il est parfois possible de transférer des informations issues d'un inventaire (ex. le climat) à des unités cartographiques définies au cours d'un inventaire différent (ex. les sols), et de se servir des limites de ces unités cartographiques comme unique cadre spatial pour l'inventaire des ressources en terres. Ainsi, l'évaluation nationale de l'aptitude des terres au Botswana (Radcliffe et al., 1992) s'est servie de la carte pédologique nationale 1:1000000 (De Wit et Nachtergaele, 1990) pour mesurer la distribution spatiale des unités à évaluer. Les limites de ces unités avaient été tracées à partir de l'interprétation d'images satellitaires, ainsi que d'une vaste prospection de terrain; les informations qui en avaient été tirées étaient assez fiables. Les limites entre les zones climatiques, basées sur les données recueillies dans un certain nombre de stations, elles, n'étaient pas sûres, et c'est ainsi que dans le Botswana relativement plat, aucune relation n'a pu être établie entre climat et altitude. Aussi, plutôt que d'essayer de mettre eh corrélation des limites climatiques douteuses avec des limites pédologiques fiables, chaque unité cartographique de sols s'est vue assigner un ensemble d'informations climatiques, utilisées comme données pour l'évaluation de l'aptitude des terres. Cette procédure a abouti à 846 unités d'aptitude des terres, unités analogues aux CAE.
TABLEAU 11 - Tableau de composition des unités cartographiques de la région III (Nicaragua)
|
Symbole/km2 |
Unité de sol |
% |
Texture |
Pente |
Phase |
Surface (km2) |
|
1/145 |
Régosol eutrique |
100 |
2 |
3 |
Lithique |
145 |
|
2/225
|
Vertisol pellique |
85 |
3 |
1 |
Pas de phase |
191,2 |
|
Vertisol chromique |
10 |
3 |
1 |
Pas de phase |
22,5 |
|
|
Fluvisol eutrique |
5 |
3 |
1 |
Pas de phase |
11,3 |
|
|
3/450
|
Andosol mollique |
90 |
2 |
1 |
Pas de phase |
405,0 |
|
Andosol vitrique |
6 |
2 |
1 |
Pas de phase |
27,0 |
|
|
Vertisol pellique |
4 |
3 |
1 |
Pas de phase |
18,0 |
|
|
4/825
|
Andosol vitrique |
92 |
2 |
1 |
Pas de phase |
759,0 |
|
Andosol mollique |
5 |
2 |
1 |
Pas de phase |
41,2 |
|
|
Phaeozem luvique |
3 |
2 |
1 |
Pas de phase |
24,8 |
|
|
5/1550
|
Cambisol eutrique |
70 |
2 |
3 |
Pierreuse |
1085,0 |
|
Régosol eutrique |
20 |
2 |
3 |
Lithique |
310,0 |
|
|
Fluvisol eutrique |
10 |
2 |
1 |
Pas de phase |
155,0 |
|
|
6/735
|
Phaeozem luvique |
80 |
2 |
2 |
Pas de phase |
588,0 |
|
Vertisol pellique |
15 |
3 |
1 |
Pas de phase |
110,2 |
|
|
Régosol eutrique |
5 |
2 |
1 |
Pas de phase |
36,8 |
|
|
8/950
|
Cambisol eutrique |
60 |
2 |
2 |
Pas de phase |
570,0 |
|
Vertisol eutrique |
30 |
3 |
1 |
Pas de phase |
285,0 |
|
|
Phaeozem luvique |
10 |
2 |
2 |
Pas de phase |
95,0 |
|
|
9/620
|
Phaeozem haplique |
80 |
2 |
2 |
Pas de phase |
496,0 |
|
Régosol eutrique |
15 |
2 |
2 |
Pas de phase |
93,0 |
|
|
Andosol mollique |
5 |
2 |
2 |
Pas de phase |
31,0 |
Source: Wambeke (1991).
TABLEAU 12 - Inventaire informatisé des ressources en terres: les cellules agro-écologiques
|
UNITE CARTOGRAPHIQUE INVENTAIRE DES RESSOURCES EN TERRES |
Zone thermique |
Code LPC |
Code standard LPC |
Unité carto d'inventaire de sol |
Superficie (km2) |
|
7 |
IV |
5 |
7 |
193 |
880 |
|
UNITE CARTOGRAPHIQUE INVENTAIRE DE RESSOURCES EN SOLS |
Type de sol |
Classe texturale |
Classe de pentes |
Code de phase |
% |
|
193 |
Yh |
2 |
1 |
20 |
60 |
|
|
Xk |
2 |
1 |
20 |
40 |
|
CELLULE ZAE |
Zone thermique |
Code LPC |
Code standard LPC |
Type de sol |
Classe texturale |
Classe de pentes |
Phase |
Superficie (km2) |
|
I |
IV |
5 |
7 |
Yh |
2 |
1 |
20 |
528 |
|
II |
IV |
5 |
7 |
Xk |
2 |
1 |
20 |
352 |
FIGURE 8 - Structure de la base de données des ressources en terres au Kenya pour la définition des cellules agro-écologiques
Lorsqu'un SIG est utilisé, la digitalisation de données d'origine différente peut mener à une coïncidence restreinte des limites, et ceci peut engendrer un grand nombre d'unités cartographiques des terres n'existant pas réellement. Ce genre de problèmes a été rencontré dans les régions montagneuses de Chine (Zheng Zhenyuan, 1994), où il a été décidé d'ajuster les limites des associations de sols aux limites des zones climatiques (c'est en fait la procédure inverse de celle employée au Botswana où les limites des zones climatiques avaient été assimilées aux limites des unités cartographiques de sols).
Indépendamment du fait qu'une technique de superposition aléatoire ou qu'une simple carte ait été utilisée comme cadre spatial pour l'inventaire des ressources en terres dans les CAE, leurs paramètres de terrain et de climat doivent être définis avec précision. Un inventaire des ressources en terres peut produire les résultats suivants:
· les superficies totales de toutes les unités de sols, réparties en classes texturales, classes de pentes et phases, ainsi qu'elles apparaissent dans chaque zone thermique, dans chaque zone de période de croissance, sur base nationale ou provinciale;· un tableau résumant l'inventaire, montrant la distribution des unités individuelles de sols (pour toutes catégories de pente, texture et phase) en fonction des longueurs des périodes de croissance (combinées pour toutes les zones thermiques et pour toutes les zones de période de croissance);
· un tableau résumant la distribution des unités individuelles de sols (pour toutes catégories de pente, texture et phase) en fonction des longueurs des périodes de croissance (pour toutes les zones types de période de croissance);
· un tableau résumant la distribution des unités individuelles de sols en fonction des textures, pentes, phases et des zones de même longueur de période de croissance pour chaque zone thermique et pour chaque zone de période de croissance; des cartes et des informations sous forme de tableaux sur les zones agro-écologiques.
Etape 3.1: Apparier les cultures aux zones thermiques
Etape 3.2: Apparier les cultures aux zones de périodes de croissance
Etape 3.3: Classifier l'aptitude agro-climatique
Etape 3.4: Comparer les besoins des cultures aux conditions de sol
Etape 3.5: Modifier les classes en fonction des contraintes de texture et de phase et de la pente
L'évaluation de l'aptitude des terres se fait en comparant les contraintes avec les besoins des cultures, et en modélisant la production potentielle de biomasse ainsi que les rendements hors contraintes. Cet ensemble d'activités est généralement mené à bien en deux phases principales: la première consiste à évaluer l'aptitude agro-climatique, tandis que la seconde se réalise par un ajustement des classes d'aptitude aux contraintes édaphiques ou pédologiques. Chaque phase comprend un certain nombre d'étapes, telles que décrites ci-dessous:
Phase 1: Aptitude agro-climatique et rendements agronomiquement possibles
3.1 Comparaison entre les caractéristiques des régimes de températures et les besoins en photosynthèse et phénologiques des cultures, identifiées par groupes, afin de sélectionner celles à retenir pour la suite de l'évaluation.3.2 Calcul des rendements hors contraintes de toutes les cultures sélectionnées, en prenant en compte les températures et les régimes photiques dominants dans chaque zone LPC.
3.3 Calcul des rendements agronomiquement possibles par estimation des réductions de rendement qu'entraînent les contraintes agro-climatiques telles que le stress hydrique, les maladies et ravageurs, ainsi que la praticabilité de chaque culture dans chaque zone de même longueur de période de croissance.
Phase 2: Evaluation de l'aptitude agro-édaphique à partir des contraintes du sol
3.4 Comparaison entre les exigences pédologiques des cultures et les conditions des sols faisant partie des unités de sols décrites dans l'inventaire des sols, et ce, à différents niveaux d'intrants.3.5 Modification de l'évaluation des unités de sols au moyen des limitations imposées par les conditions de pente, de texture et de phase.
A l'exception de l'étape 3.2, qui implique un modèle mécaniste de la production de biomasse et des rendements culturaux, toutes les procédures ci-dessus impliquent l'application de règles se basant sur les implications qui lient les classes d'aptitude des terres entre elles ainsi qu'aux prévisions de rendements potentiels sous différents niveaux d'intrants. Plusieurs de ces règles ont été tirées de l'expertise acquise lors de la première étude ZAE de la FAO (FAO, 1978), et de ce fait doivent plutôt être considérées comme des règles souples. Le nombre de classes d'aptitude, le type d'aménagement, les niveaux d'intrants et les relations entre eux peuvent être modifiés selon la quantité d'information disponible et selon la portée et les objectifs de chaque étude ZAE. L'encart 7 présente un exemple des règles appliquées lors de l'étude ZAE au Kenya.
L'étape initiale du processus d'appariement est la comparaison entre les besoins en températures de chaque culture et les zones thermiques identifiées lors de l'inventaire des ressources climatiques. Cette étape consiste principalement en un exercice de tri excluant de la suite de l'étude les cultures inaptes aux régimes de température spécifiés.
Le tableau 13 montre un exemple d'appariement des exigences en températures avec les zones thermiques. Là où ces exigences sont tout à fait satisfaites, la zone est qualifiée de S1; là où les conditions deviennent sub-optimales, la zone est notée S2, S3 ou S4; là où les exigences ne sont pas remplies, la zone est qualifiée de N (non apte). Des réductions présumées de rendements, engendrées par des conditions sub-optimales, sont données à l'encart 7.
TABLEAU 13 Qualifications de l'aptitude des terres pour des cultures dans des zones thermiques
|
ENCART 7: EXEMPLE DES REGLES ZAE D'APTITUDE DE TERRES | ||
|
1. Rendement potentiel avec un faible niveau d'intrants = 25 % de celui avec un niveau élevé d'intrants. Rendement potentiel avec un niveau intermédiaire d'intrants + 62.5% de celui avec un niveau élevé d'intrants. | ||
|
2. Les grades S2, S3 et S4 des zones thermiques face aux besoins des plantes impliquent des réduction potentiel de 25%, 50% et 75% respectivement (étape 3.1). | ||
|
3. Le rendement potentiel durant une période de croissance intermédiaire est de 50% inférieur à celui d'une période de croissance normal (étape 3.2). | ||
|
4. Les contraintes agro-climatiques modérées et sévères provoquent des chutes de rendements potentiels de 25% et de 50% respectivement (étape 3.3). | ||
|
5. Les classes d'aptitude agro-climatiques (étape 3.3) et d'aptitude des terres (étape 3.5) correspondent aux gammes suivantes de rendements possibles (exprimés en pourcentage des rendements potentiels maxima): | ||
|
VS (S1) |
Très apte |
80-100 |
|
S (S2) |
Apte |
60-80 |
|
MS (S3) |
Moyennement apte |
40-60 |
|
mS (S4) |
Peu apte |
20-40 |
|
Vms |
Très peu apte |
5-20 |
|
NS (N) |
Non apte |
0-5 |
|
6. Les grades S2, S3 et S4 données à des paramètres sélectionnés de sols face aux exigences des cultures impliquent des réductions de rendements potentiels de 25%, 50% et 75% respectivement (étape 3.4). | ||
|
7. Les sols à texture grossière (sable et sable loameux) engendrent une réduction supplémentaire de 25% des rendements pour toutes les cultures sauf pour les arachides et les pommes de terre. | ||
Apparier les cultures aux zones de périodes de croissance se fait selon la procédure suivante:
3.2.1 calcul de la biomasse nette et des rendements des cultures sans contraintes, par zone de longueur individuelle de période de croissance;3.2.2 inventaire des contraintes agro-climatiques pour chaque zone de longueur de période de croissance, par culture et par niveau d'intrants;
3.3.3 application des contraintes agro-climatiques aux rendements calculés hors contraintes, afin de déterminer les rendements agro-climatiquement possibles des cultures, par zone individuelle de longueur de période de croissance;
3.3.4 calcul des rendements agro-climatiquement possibles des cultures, tels qu'affectés par les variations inter-annuelles des conditions hydriques;
3.3.5 classification d'aptitude agro-climatique de chaque zone (inventoriée) de période de croissance, totale et dominante, pour chaque culture, et en fonction des rendements agro-climatiquement possibles par zone thermique et par zone type de période de croissance.
|
3.2.1 Biomasse nette et rendement potentiels |
Les études FAO ZAE ont permis d'aboutir à des valeur de biomasse maximale potentielle et de rendement des cultures en utilisant des modèles dont les caractéristiques essentielles sont les suivantes:
1. calcul de la production brute de matière sèche pour une culture standard;2. application de facteurs de correction pour une espèce et une température données;
3. application de facteurs de correction pour le développement d'une culture dans le temps et pour une certaine surface foliaire;
4. application de facteurs de correction pour une production nette de matière sèche;
5. application de facteurs de correction pour la partie récoltée.
L'application détaillée de la modélisation de la biomasse et des rendements a été décrite par Kassam (1977) et par la FAO (1978). Le modèle est également repris dans l'ouvrage 'Agricultural Planning Toolkit' (APT) et dans le logiciel 'AEZ country study' (AEZCCS), développé par la FAO (FAO, 1990a; Fischer et Antoine, 1994).
La biomasse et les rendements maxima potentiels sont calculés pour des cultures annuelles qualifiées au minimum comme peu aptes (par zone thermique) pour chaque longueur de période de croissance individuelle à l'intérieur de zones LPC définies. Dans les régions à fortes variations d'altitudes, la durée croissante du cycle végétatif, qui est associée aux températures plus fraîches, doit être prise en compte dans l'évaluation. Les cultures pérennes sont estimées sur base de la période totale de croissance, là où survient plus d'une LPC par an.
Le tableau 14 donne un exemple de rendements calculés hors contraintes, sur base de l'effet des températures dominantes et des régimes d'insolation sur la photosynthèse et la croissance des cultures pour certaines longueurs de périodes de croissance.
Certaines étude ZAE récentes menées en Asie (FAO, 1994a) ont montré des écarts entre les rendements potentiels maxima calculés au moyen du modèle ZAE standard et les meilleurs rendements obtenus en station d'essais ou même chez certains agriculteurs. Dans certains cas, ceci pourrait être dû à certains progrès en amélioration végétale, particulièrement s'il s'agit de riz paddy; de ce fait, certains paramètres du modèle de départ font désormais double emploi. D'autres discordances peuvent simplement être dues au manque de connaissance actuelles sur les réponses physiologiques de certaines cultures aux variables environnementales. En Chine, les résultats des rendements maxima pour le blé, le maïs, le riz et le soja, obtenus en stations de recherche agronomique ont été préférés à ceux calculés au moyen du modèle de rendement en biomasse (Zheng Zhenyuan, 1994).
|
3.2.2, 3.2.3 Contraintes agro-climatiques |
Dans l'évaluation de l'aptitude agro-climatique, il importe de prendre en compte les pertes de rendements imputables probablement aux contraintes agro-climatiques. En culture pluviale, les pertes en rendements dues aux contraintes agro-climatiques sont déterminées par les principales conditions suivantes:
· A quel point la durée du cycle végétatif normal de la culture envisagée peut-elle s'inscrire à l'intérieur de la longueur de la période de croissance disponible.· Le degré de stress hydrique durant la période de croissance.
· Les ravageurs, maladies et adventices, facteurs de réduction des rendements et de la qualité.
· Les facteurs climatiques, directs ou indirects, réducteurs des rendements et de la qualité des produits, principalement par leurs effets sur les composantes du rendement et par leur formation.
· Les facteurs climatiques affectant l'efficience des travaux agricoles et les coûts de production.
|
Types de contraintes |
Toutes ces contraintes agro-climatiques peuvent être réorganisées en un ensemble de quatre contraintes, de la façon suivante:
· Contraintes résultant du stress hydrique durant la période de croissance (ex. précipitations imprévisibles).· Contraintes dues aux ravageurs, maladies et adventices, affectant directement la croissance physique des plantes (ex. larves mineuses de tiges, rouilles des feuilles et viroses).
· Contraintes dues à divers facteurs affectant la formation et la qualité du rendement (ex. punaises rouges du coton, larves mineuses de gousses et dessèchement des soies).
· Contraintes issues de difficultés à travailler les terres et à manipuler les produits (ex. humidité excessive du terrain ou du produit).
Le degré de sévérité des quatre groupes de contraintes peut être présenté par culture, par zone de longueur de période de croissance et par niveau d'intrants, sous forme graphique, comme montré dans l'exemple du tableau 15.
TABLEAU 15 - Extrait d'un inventaire des contraintes agro-climatiques
TABLEAU 16 - Classification d'aptitude agro-climatique
Les classements de 0, 1 et 2 correspondent respectivement à des contraintes nulles, modérées et sévères. Les rendements hors contraintes agro-climatiques sont réduits en fonction des contraintes actives, et en suivant les règles de l'encart 6.
|
3.2.4 Prise en compte de la variabilité inter-annuelle dans les LPC |
Cette étape n'est considérée que si les LPC ont été évaluées année par année. Les rendements escomptés des cultures annuelles sont calculés pour chaque culture, pour chaque composante LPC et dans chaque zone thermique pour chaque niveau d'intrants.
Chaque CAE est évaluée en fonction des modèles LPC en prenant en compte toutes les durées composant les LPC dans chaque type. Comme la fréquence des LPC au sein des modèles LPC est connue (tableau 2), un profil de la variabilité dans le temps des rendements potentiels peut être élaboré. Les rendements peuvent alors être exprimés en termes de moyennes, de maxima et de minima.
Les cultures pérennes sont comparées aux LPC totales, et les rendements potentiels sont dévalués pour chaque LPC présentant un stress hydrique. Ainsi, les LPC totales qui incluent dans leur composition des longueurs intermédiaires de période de croissance, induiront des pertes de rendements qui pourront être quantifiées d'après les règles de réduction des rendements (encart 7).
|
Résultats |
Les résultats des calculs décrits plus haut donnent les rendements possibles pour chaque culture, pour chaque longueur totale moyenne de zone de période de croissance, pour chaque zone type de période de croissance et pour chaque zone thermique. Ces rendements possibles sont la base de la classification d'aptitude agro-climatique présentée ci-dessous.
Les classes d'aptitude agro-climatique se déterminent en fonction de la relation des rendements agro-climatiques (réduits selon les contraintes recensées au tableau 15) avec le rendement maximum potentiel déterminé au moyen des paramètres de températures et de radiations. Quatre à six classes d'aptitude peuvent normalement être ainsi définies à partir des différentes catégories de rendements possibles rapportés au maximum potentiel. Des règles semblables à celles de l'encart 7 sont utilisées pour établir les limites entre les classes d'aptitude. Le tableau 16 montre sous forme de diagramme les rendements potentiels et les classes d'aptitude agro-climatiques associées aux différentes zones LPC.
L'évaluation des unités pédologiques s'exprime sous forme de classements: jusqu'à quel point les propriétés d'un type de sol répondent-elles aux besoins des cultures à des degrés définis d'intrants? Pour chaque culture et pour chaque niveau d'intrants, l'évaluation peut comporter cinq classes de base: très apte (S1), apte (S2), moyennement apte (S3), peu apte (S4), et non apte (N). Ces classements correspondent aux pourcentages de réduction appliqués aux rendements potentiels maxima, tel que présenté dans l'encart 7.
TABLEAU 17 - Extrait de l'évaluation des sols pour un choix de cultures
Le tableau 7 montre quelques exemples des tranches optimales et marginales des besoins édaphiques des cultures. En comparant ces valeurs avec les caractéristiques reprises dans l'inventaire des sols, il est possible d'attribuer un classement des aptitudes à chaque combinaison de culture et de type de sol. Autant que possible, le classement des types de sols sera élaboré à partir des expertises et connaissances locales; de même, seront également prise en compte, les conditions spécifiques au site et que ne reflète pas nécessairement la nomenclature des types de sols. A ce propos, le tableau 17 donne l'exemple de classements de sols pour des cultures choisies, à deux niveaux d'intrants différents. Ces classements peuvent encore être modifiés en fonction des contraintes de texture, de phase ou de pente.
Les limitations dues à la texture et la phase d'un sol doivent être évaluées par l'expertise et connaissances des spécialistes locaux. Des règles appropriées doivent être élaborées pour comptabiliser toute nouvelle contrainte engendrée par des textures grossières ou par des phases particulières. Un exemple de ces règles est donné dans l'encart 6.
Les limitations dues à la pente affectent à la fois la facilité d'exploitation et la sensibilité à l'érosion. Le tableau 18 montre un exemple des limites de pentes pour divers systèmes de cultures à des niveaux d'intrants spécifiés.
TABLEAU 18 - Limites des pentes (%) pour divers types d'utilisation des terres
|
Types d'utilisation des terres |
Niveau des intrants |
||
|
Faible |
Intermédiaire |
Elevé |
|
|
Cultures sèches sans mesures de conservation des sols |
<30 |
<30 |
<16 |
|
Cultures sèches avec mesures de conservation des sols |
<30 |
<30 |
<30 |
|
Cultures de zones humides sans mesures de conservation des sols |
<5 |
<5 |
<2 |
|
Cultures de zones humides avec mesures de conservation des sols (terrasses) |
<30 |
<30 |
<30 |
|
Café, thé, bois de chauffe et pâturage, avec et sans mesures de conservation des sols |
<45 |
<30 |
<45 |
Source: FAO (1993a).
Si un type d'utilisation des terres est apparié à une unité de terres ayant une pente plus forte que les limites reprises ci-dessus, l'aptitude des terres reçoit un classement N, non apte.
S'il y a suffisamment d'informations disponibles, il est possible de prévoir les pertes en sol par érosion et d'établir une relation avec la chute de productivité. Cette technique, développée au cours de l'étude ZAE au Kenya, est considérée comme une application avancée des ZAE. Ce modèle est décrit dans la section traitant de la productivité des terres. Plus de détail concernant les approches et méthodologies peuvent être trouvés dans Mitchell (1984), Stocking (1984) et FAO (1993a).
Un ensemble d'inventaires ZAE des ressources en terres, basé sur un SIG, et effectué pour certains districts au Kenya constitue les bases de ces applications ZAE de pointe. Les inventaires ZAE des ressources en terres résultent des superpositions de cartes digitalisées, se rapportant aux conditions climatiques, aux inventaires de sols, aux unités administratives ainsi qu'à certaines propriétés de l'utilisation actuelle des terres (zones de cultures de rentes, surfaces boisées, périmètres d'irrigation, aires infestées par la tsé-tsé et parcs naturels). Les données digitalisées sont converties en un système, ou base de données à mailles. Chaque pixel couvre un kilomètre carré (100 ha) (figure 8). Des programmes informatiques ZAE appliqués aux inventaires des terres du district permettent d'analyser l'aptitude des terres. Ce processus contribue à l'évaluation de la productivité des terres au Kenya, qui comprend des systèmes agraires, des relations avec les systèmes de productions animales et forestières ainsi que des considérations sur l'érosion des sols. Ainsi s'élabore une base de données de la productivité des terres, contenant des informations quantifiées sur la productivité de tous les types possibles d'utilisation des terres pour chaque cellule agro-écologique dans les districts. L'évaluation de la productivité des terres met enjeu 64 types de cultures vivrières et de rente, des pâturages, 31 variétés de bois de chauffe et neuf systèmes d'élevage, regroupés en 26 types de ressources, comprenant 26 cultures et 10 productions animales. Cette base de données alimente le Modèle d'Allocation Optimale des Ressources Spatiales (OSRAM en anglais), qui a été développé pour intégrer la production des cultures, de l'élevage et du bois de chauffe dans le cadre de l'évaluation ZAE de la productivité des terres et dans son application à divers scénarios de planification de l'utilisation des terres aux niveaux des pays et des districts. Le modèle accepte des paramètres de scénarios spécifiés par les utilisateurs à partir d'un fichier de contrôle; au départ de la base de données de la productivité des terres, il identifie aussi les potentiels de production des cultures, des pâturages et du bois de chauffe, par cellule agro-écologique; il indique également les données sur les systèmes d'élevage, dérivées des modèles de structure des troupeaux, et détermine simultanément l'utilisation des terres par cellule agro-écologique ainsi que les capacités de charge des différents systèmes d'élevage, les niveaux des approvisionnements en nourriture et leur utilisation, et ce, par zone d'élevage et par saison. Le modèle fournit un cadre destiné pour le spécification de différents types de fonctions et de contraintes dans la réalisation des objectifs.
Les scénarios de planification sont fixés en sélectionnant et en quantifiant des objectifs et diverses contraintes liés à des aspects tels que les préférences dans la demande, les cibles de production, les besoins nutritionnels, les contraintes liées aux intrants et aux liquidités, les bilans alimentaires, les contraintes liées aux cultures associées et les tolérances d'impacts sur l'environnement. Etant donné le grand nombre potentiel de cellules agro-écologiques ainsi que le nombre d'activités à prendre en considération, des techniques standard de programmation linéaire sont employées afin d'analyser la grande masse de solutions possibles et d'en sélectionner les meilleures. Ainsi, des techniques de programmation linéaire ont été employées pour examiner des modèles alternatifs d'utilisation des terres au niveau régional ou du district. De tels modèles permettent l'ébauche de plans réalisables d'allocation des utilisations des terres qui satisfont au mieux des objectifs spécifiques de développement, par exemple, des patrons de consommation alimentaire, des degrés de capacité de charge démographique ou d'emplois ruraux. L'une des applications typiques est la détermination des capacités potentielles de charge démographique selon différents scénarios dans le cadre d'un ou de plusieurs objectifs.
TABLEAU 19 - Exemple sous forme tabulaire de résultats ZAE d'aptitude (par surface)
Comme résultats, l'évaluation de l'aptitude des terres donne un ensemble de classes d'aptitude des terres pour des cultures pratiquées sur des unités de terres ou CAE données, et à un niveau spécifié d'intrants. Pour chaque culture et chaque niveau d'intrants, la classe d'aptitude des terres exprime une gamme de rendements escomptés. Connaissant la surface de chaque CAE ou unité de terres, des estimations de production peuvent en être déduites pour des zones agro-écologiques définies de manière plus large, ou pour des provinces ou districts, du moins si leurs limites administratives présentent une corrélation avec les limites des CAE ou des unités de terres. Le tableau 19 donne un exemple d'aires aptes à la culture de plantes définies dans la Province de Chanthaburi, en Thaïlande.
Application de Pointe 1: Productivité Potentielle des Terres
Application de Pointe 2: Estimation du Potentiel en Terres Arables Pluviales
Application de Pointe 3: Distribution Spatiale des Ressources. Optimiser l'Utilisation des Terres
En partant des résultats de l'évaluation de l'aptitude des terres, il est possible de développer un certain nombre d'applications de pointe des ZAE. Ces applications se basent sur un ensemble de règles qui dérivent de postulats fondamentaux sur l'interaction entre les rendements et l'environnement agricole, et sur les besoins des systèmes de production en termes de gestion et de mesures conservatoires. Un ensemble similaire de règles employées dans les applications centrales des ZAE est présenté dans l'encart 7. Il est impératif de toujours rappeler que les règles reposant sur des connaissances d'experts doivent régulièrement être revues et mises à jour, et ce, au fur et à mesure de l'acquisition de connaissances nouvelles.
Les besoins d'analyses ultérieures des résultats sur l'aptitude des terres sont déterminés par les buts et objectifs des études ZAE. Le fait de pouvoir accéder à la connaissance qu'ont acquise des experts et la fiabilité des hypothèses sur lesquelles se basent les analyses doivent être pris en considération lorsque les résultats sont appliqués en planification et en politique.
FIGURE 9 - Représentation schématique du modèle global utilisé dans l'étude au Kenya
Parmi les applications de pointe ZAE développées à ce jour, l'ensemble le plus important est celui résultant de l'étude FAO au Kenya (FAO, 1993a); son premier objectif a été d'aider à la planification de l'utilisation des terres et à la prise de décision au niveau du district. Ces objectifs nécessitent l'évaluation des rendements et des productivités potentielles de divers systèmes de production (comprenant cultures, élevage et bois de chauffe) et la mise au point d'un modèle afin d'optimiser l'utilisation des terres, et permettant, grâce aux bénéfices, le commerce entre systèmes de production concurrents. La figure 9 illustre le modèle global utilisé dans l'étude au Kenya. Les applications de pointe qui comprennent des composantes de ce modèle sont décrites plus loin.
L'évaluation de l'aptitude des terres permet de sélectionner des cultures à pratiquer dans chaque CAE ou dans chaque unité de terres, en fonction de leur rendement potentiel dans des cellules particulières. La productivité des terres est une mesure de la productivité potentielle annuelle totale, calculée en accordant les cultures les mieux adaptées aux longueurs de période de croissance prévalant sur place. La détermination de la productivité des terres impose les étapes suivantes:
4.1 formulation et quantification des options de systèmes culturaux;
4.2 formulation et quantification des rotations des cultures;
4.3 évaluation de l'impact de l'érosion du sol sur la productivité.
|
Etape 4.1: Formuler les options de systèmes culturaux |
Sous conditions climatiques favorables, l'augmentation de la productivité des terres peut se réaliser sur la base des cultures multiples. Les plantes peuvent être cultivées soit de manière séquentielle, soit associées, ainsi que défini dans l'encart 8. Les cultures séquentielles ne sont possibles que si la période de croissance existante (soit unique, soit multiple) dépasse la durée du cycle de croissance d'une culture individuelle.
Dans les zones non gélives du Kenya, la restriction aux cultures séquentielles est la disponibilité en eau du sol. Dans les zones qui connaissent une plus longue période de croissance, comme dans les régions sub-humides (période de croissance: 210-270 jours) et humides (> 270 jours), il est possible de cultiver presque toute l'année. C'est dans ces régions qu'apparaît une forte association avec une agriculture séquentielle, et que se retrouvent les cultures séquentielles, aussi bien en monoculture qu'en polyculture (tableau 20). A l'opposé, les températures fraîches sévissant dans les zones thermiques T6 et T7 (tableau 9) réduisent l'importance de l'agriculture séquentielle; ceci est dû au fait que les cultures annuelles adaptées aux conditions régnant dans ces zones sont généralement lentes à atteindre leur maturité.
Dans les zones à LPC<120 jours, seules dominent les cultures annuelles à cycle court dans toutes les zones thermiques. Dans les zones thermiques T1, T2, T3, T4 et T5, quelques cultures simultanées sont pratiquées, quoique dans des proportions mineures; elles ne comprennent que des plantes ayant des périodes de maturation similaires. Dans les zones thermiques T6 et T7, les conditions de croissance ne permettent que des productions modérées à marginales à partir d'un système monocultural en culture pure.
|
ENCART 8: DEFINITIONS DES SYSTEMES DE CULTURES MULTIPLES (FAO, 1993) | |
|
Culture multiple |
L'intensification de l'agriculture dans l'espace et dans le temps. Emblavement de deux cultures au plus sur le même champ et durant la même année, |
|
Culture séquentielle |
Emblavement de deux cultures ou plus, qui se suivent sur le même champ, durant la même année. La culture qui suit n'est semée qu'après que la précédente ait été récoltée, L'intensification des cultures ne peut se pratiquer que dans le temps, et aucune compétition entre cultures n'est possible. Les agriculteurs ne pratiquent qu'une seule culture à la fois dans un même champ. |
|
Culture intercalaire |
Emblavement de deux cultures ou plus simultanément dans le même champ. L'intensification des cultures se fait à la fois dans l'espace et dans lé temps. Il y a compétition entre les cultures durant une partie ou durant la totalité de leur cycle. Les agriculteurs pratiquent plus d'une cultures à la fois dans un même champ. |
TABLEAU 20 - Modèles importants de cultures pluviales généralisés en fonction des zones thermiques et des zones LPC
|
LPC |
Zones thermiques | ||
|
(jours) |
T1, T2, T3 |
T4, T5 |
T6, T7 |
|
< 120 |
EUap |
EUaP |
EUap |
|
120-210 |
EUap |
EUap |
Euap |
|
210-270 |
EUat |
EUat |
EUat |
|
270-365 |
EUat + EUp |
EUat + EUp |
EUat + EUp |
Note: Les parenthèses indiquent des status mineurs.Clén: EUap - Emblavement unique de cultures annuelles précoces; EUat - Emblavement unique de cultures annuelles tardives; EUp - Emblavement unique de cultures pérennes; Is - Culture intercalaire de cultures à maturité similaire; Id - Culture intercalaire de cultures à maturité différente; Mos - Monoculture séquentielle; Mus - Multiculture séquentielle.
Dans les régions à LPC variant entre 120 et 210 jours, les mélanges de cultures, y compris ceux impliquant des cultures à période de maturation différentes, sont fréquents dans les zones thermiques T1, T2, T3, T4 et T5. Les températures fraîches rencontrées en T6 ET T7 permettent, quant à elles, des mélanges de cultures à période de maturation similaires assez fréquents.
Dans les régions à LPC > 270 jours, les mélanges de cultures sont courants et en particulier ceux qui associent des plantes à périodes de maturation différentes. Dans ces régions, les plantes précoces et tardives bénéficient généralement de meilleures conditions pour leur maturation à la fin de la saison humide. Dans ces régions, les cultures multiples, simultanées et séquentielles, sont pratiquées.
Les choix des systèmes de culture se font en trois étapes, comme indiqué ci-après:
i. caler les cycles de croissance des cultures sur les principales composantes LPC pour chaque CAE;ii. incorporer le laps de temps inter-rotation entre les cultures dans les systèmes de culture séquentiels, afin de se ménager les possibilités de récolter la première culture, de préparer le champ et de semer la culture suivante;
iii. décider pour quelles cultures et pour quels niveaux d'intrants les cultures intercalaires sont acceptables.
Dans le modèle appliqué au Kenya, les cultures intercalaires ont été envisagées seulement pour des niveaux d'intrants faibles et intermédiaires, et ce, pour toutes les cultures sauf pour le riz de bas fond, la canne à sucre, le bananier et le palmier à huile.
|
Etape 4.2: Formuler les rotations des cultures |
Ce processus se fait en considération des restrictions d'espace et de temps, ainsi que des besoins en jachère qu'implique le choix des cultures annuelles retenues. Les conditions agro-écologiques imposent certaines contraintes. Ainsi, dans les régions semi-arides, seule la monoculture est possible.
Les besoins en jachère sont calculés à partir du maintien des taux d'humus (pour des détails complémentaires, voir FAO, 1993a; Annexe 4). Ce besoin en jachère, exprimé en pourcentage du temps durant lequel le champ est au repos, par opposition au temps durant lequel il est en culture, est introduit dans les systèmes de culture. A un niveau intermédiaire d'intrants, lorsqu'il est admis qu'un peu d'engrais est utilisé, les besoins en jachère ne représentent que 33% des besoins à faible niveau d'intrants. Avec beaucoup d'intrants, les besoins en jachère chutent à 10% de ceux à faible niveau d'intrants (des règles spéciales s'appliquent aux Fluvisols et aux Gleysols).
Dans l'étude au Kenya, la longueur de base de la période de jachère a été calée sur celle que nécessitent des LPC entre 120 et 269 jours. Pour des LPC > 270 jours, la période de référence est de 50% plus longue que la période de base; ceci est causé par les problèmes supplémentaires que causent les adventices, les ravageurs et les maladies, ainsi que le lessivage et l'érosion. De même, pour des LPC se situant entre 90 et 119 jours, les besoins en jachère sont de 25% plus importants que la durée de base, et ce, à cause des problèmes supplémentaires que posent l'application de la jachère sous conditions sèches, et les risques de dégradation; pour des LPC comprises entre 60 et 89 jours, les besoins augmentent de 50%, à cause des problèmes posés par l'application de la jachère, par les risques de dégradation et par le besoin de conserver l'humidité du sol.
TABLEAU 21 - Résultats de l'évaluation de productivité des cultures - groupe d'hypothèses B
TOTAL NATIONAL: KENYA (Groupe d'hypothèses B)
Terres arables par classe de productivité (100 ha):
|
No.
|
Zone
|
C1 |
C2 |
C3 |
C4 |
Total |
C5 |
Total |
Superficie |
C1-C4 |
|
>80 |
60-80 |
40-60 |
20-40 |
C1-C4 |
5-20 |
C1-C5 |
Totale |
% de zone |
||
|
1 |
Aride |
0 |
287 |
2204 |
3108 |
5598 |
19084 |
24682 |
423321 |
1.3 |
|
2 |
Semi-aride |
993 |
2327 |
6988 |
8010 |
18318 |
14146 |
32464 |
67536 |
27.1 |
|
3 |
Sub-humide |
3434 |
4660 |
5658 |
5319 |
19072 |
4767 |
23839 |
37538 |
50.8 |
|
4 |
Humide |
3532 |
7756 |
6606 |
7550 |
25444 |
4736 |
30180 |
46427 |
54.8 |
|
Total |
7959 |
15030 |
21456 |
23988 |
68433 |
42733 |
111165 |
574823 |
11.9 |
Production potentielle des cultures:
Les options de rotation des cultures sont formulées pour chaque cellule agro-écologique et pour chaque option de système de cultures qui en découle. Ceci se fait en deux étapes. Premièrement, les restrictions de combinaisons de cultures sont respectées, afin d'empêcher des associations à risque ou indésirables, à la fois dans l'espace et dans le temps, et deuxièmement, les besoins réels en jachère sont inclus dans chaque patron adéquat de culture.
Lorsque des systèmes de culture comprennent plus d'une culture, ce sont les besoins moyens en jachère pour les cultures concernées qui sont appliqués pour définir les rotations.
|
Etape 4.3: Impact de l'érosion du sol sur la productivité |
L'impact de l'érosion du sol sur la productivité est estimée en trois étapes. La première consiste à calculer l'érosion potentielle du sol, en employant une version modifiée de l'Equation Universelle des Pertes en Sol (USLE, en anglais), qui tient compte du potentiel érosif des pluies, de l'érodibilité du sol, de la valeur et de la longueur des pentes, de la couverture végétale et des mesures de conservation. Ensuite la perte nette en sols est calculée en comparant l'érosion théorique du sol avec l'estimation du taux de sa formation, ce qui est déterminé par les zones thermiques et de LPC. Enfin, la perte d'épaisseur du sol est corrélée aux pertes de productivité en ajustant les classes d'aptitude des terres à l'intérieur d'un éventail de profondeurs critiques du sol. De tels calculs peuvent être faits pour estimer les limites de tolérance de pertes en sol dans des options de systèmes de culture définis et pour en tirer les caractéristiques des mesures nécessaires de conservation des sols.
Le modèle global de productivité des terres, tel qu'appliqué dans l'étude au Kenya, quantifie des productivités potentielles des terres, par CAE, pour chaque option de rotation de culture, choisie selon les règles expliquées dans les étapes 4.1 et 4.2, et ce, en trois phases:
- quantification du rendement des cultures séquentielles;- incorporation des augmentations des rendements en culture intercalaire;
- application des contraintes de stabilité de la production et de toute autre contrainte, telle que les critères de sélection des rotations de cultures et des productions optimales.
La sélection des combinaisons de cultures peut se faire en appliquant différents jeux d'hypothèses au modèle. Le tableau 21 présente les résultats condensés pour le Kenya, calculés pour des monocultures; ils contiennent également des monocultures séquentielles là et quand des périodes de croissance adaptées se produisent. Ainsi les résultats se rapportent à la productivité annuelle totale pour des cultures pures, et ils se calculent en additionnant les résultats des CAE individuelles.
La détermination de la superficie et de la qualité des terres arables est l'un des résultats finaux du calcul de la productivité des terres. Le tableau 21 résume les superficies de terres arables dans diverses classes de productivité, selon le groupe d'hypothèses B.
Le groupe d'hypothèses B se rapporte à la productivité potentielle des cultures sur toutes les terres qui ne sont pas identifiées comme forestières, ou comme réserve, ou qui n'appartiennent pas à un système d'irrigation. Quand cela est possible ou approprié, des combinaisons de monocultures séquentielles comprenant deux, voire trois cultures consécutives d'une même espèce végétale, ont été élaborées afin d'assurer les estimations optimales dans les zones subhumides et humides.
Six classes d'aptitude ont été définies; à l'intérieur d'une cellule, elles résultent de la corrélation entre l'aptitude moyenne d'une culture pure et les rendements maxima possibles. Les classes C1 à C5 se rapportent à des rendements s'élevant à > 80%, 60-80%, 40-60%, 20-40% et 5-20% des rendements agro-climatiques maxima. Il est à noter que les superficies dans la classe d'aptitude C5 ne sont généralement pas prise en compte dans les options de cultures viables; par contre, elles ont été reprises dans ce tableau comme indication des perspectives de production de zones très marginales. Une sixième classe d'aptitude regroupe les régions qui sont totalement inaptes ou qui ne permettent que <5% du rendement maximum possible. Les données de cette classe d'inaptitude ne sont pas incluses dans le tableau des résultats.
Le potentiel de production est calculé à partir des superficies de terres uniquement en classes d'aptitude C1 à C4. Les potentiels de production et les rendements moyens, minima et maxima sont déterminés en fonction des modèles LPC et des probabilités qui leur sont associées. Leurs colonnes sont indiquées respectivement Moy, Min et Max. Une utilisation multiple des terres dans le temps, une culture séquentielle, sont signalées par un index de culture multiple (ICM).
Le tableau 21 donne des estimations de terres arables par classe de productivité. Pour déterminer les superficies couvertes par les terres arables pluviales dans une CAE, on utilise un algorithme qui s'applique en deux temps. En premier lieu, la culture ou la combinaison de cultures pures qui supporte le mieux les pires conditions climatiques (d'après le modèle LPC) est déterminée. Ensuite, toutes les combinaisons de cultures qu'autorisent les contraintes de stabilité de production (p. ex. se retrouver dans une fourchette de rendements acceptables des cultures les plus performantes), sont reprises dans la sélection finale. Enfin, parmi toutes les cultures retenues, la combinaison qui maximise la somme pondérée des superficies dans les classes d'aptitude des terres C1 à C4, est considérée comme représentative du potentiel des terres arables de la cellule. Les superficies appropriées des types de cultures apparaissant en premier lieu dans la combinaison de cultures (p. ex. la première culture à mettre en place dans la rotation séquentielle) sont reportées dans les totaux correspondants des ressources en terres arables.
|
Objectif unique de l'optimisation de l'utilisation des terres |
La capacité de charge démographique, telle que définie ici, se rapporte au potentiel maximum qu'ont les sols et le climat de produire de l'énergie nutritive et des protéines, à un niveau donné de technologie. L'exemple qui suit représente un niveau intermédiaire de technologie ou d'intrants (Fischer et al., 1996). La question posée est simple: quelle quantité de nourriture peut-on produire sur les terres potentiellement aptes, avec une utilisation optimale des ressources?
L'exemple se situe dans le district de Bungoma au Kenya et la figure 10 présente la répartition des surfaces récoltées, obtenues après optimisation de la distribution des terres en vue d'obtenir le maximum de production vivrière dans le district. Le scénario utilisé au cours de l'optimisation spécifiait que toutes les terres aptes devaient être prises en compte, y compris les forêts et réserves. La carte des ressources en terres du district de Bungoma étant disponible sous forme digitale, il est également possible de produire une carte indiquant les terres à céréales dans le district, en vue de l'objectif exclusif de produire un maximum de nourriture.
|
Optimisation de l'utilisation des terres multi-objectifs |
L'exemple ci-dessus montre l'application de techniques d'optimisation linéaires, employées pour analyser des scénarios d'utilisation des terres par une fonction à objectif unique: maximiser la production de nourriture. Bien souvent, dans les nombreux problèmes pratiques que pose l'optimisation des ressources en terres, une fonction à objectif unique n'est pas à même de refléter les préférences des responsables; elles sont plutôt du genre multi-objectifs. Les définitions et solutions des problèmes sont plus réalistes lorsqu'elles se font par des approches multi-objectifs de l'optimisation.
Dans l'étude au Kenya, le problème principal était d'analyser la capacité potentielle de charge démographique dans le district, selon divers scénarios d'utilisation des terres, et en envisageant dans le même temps plusieurs objectifs, tels que maximiser les revenus des productions végétales et animales, maximiser l'autosuffisance agricole du district, minimiser les coûts de production et les dommages causés à l'environnement par l'érosion. Des techniques d'optimisation multi-objectifs et d'analyse de décision multi-critères (ADMC) ont été utilisées dans l'analyse, en se servant de l'approche Aspiration Reservation Based Decision Support (ARDBS).
Le programme à objectifs multiples implique les finalités suivantes:
1. maximiser la production vivrière (Val_viv) (rendement moyen/production);2. maximiser le revenu net (Rev_net);
3. minimiser les coûts de production;
4. maximiser la valeur brute de la production;
5. minimiser l'utilisation de terres arables (pondération de 1 pour les cultures et de 0 pour les pâtures) (Arable);
6. minimiser les surfaces récoltées;
7. maximiser la production vivrière (Min_viv) (rendement minimum en mauvaise année);
8. minimiser l'érosion totale (Eros_tot) (somme de toutes les érosions dans les cellules);
9. maximiser le taux d'autosuffisance (RAS_v) (minimum des taux d'autosuffisance par groupe individuel de commodité);
10. minimiser l'érosion maximale (Eros_max) (l'érosion la plus importante survenant par ha dans une cellule est petite).
FIGURE 10 - Surfaces récoltées en production alimentaire maximale. District de Bungoma
Les résultats de l'analyse d'échantillons du district de Bungoma sont présentés au tableau 22. Les sept premières colonnes du tableau contiennent les valeurs des critères obtenues après que chaque critère ait été optimalisé par des opérations successives d'optimalisation à critère unique. Les éléments montrés dans la diagonale de la matrice représentent l'Utopie, ou les 'meilleures' valeurs pour les sept critères (ex. 1197.2, 1316.6, 96.2, 1010.5, 1164.9, 1338.8, 12.2). Le Nadir ou 'pires' valeurs se retrouvent en prenant les valeurs les plus basses dans les colonnes des critères à maximaliser (ex. Val_viv = 742.6, Rev_net = 783.0, Min_viv = 548.4, RAS_v = 1000.0) ainsi que les valeurs les plus élevées, dans les colonnes, des critères à minimiser (ex. Arable = 165.4, Eros_tot = 3527.0, Eros_max = 227.8).
Les cinq dernières colonnes du tableau 22 présentent les valeurs des critères résultant d'une analyse multi-critères interactive mettant en oeuvre cinq itérations. En utilisant les boutons de la souris pour appliquer les modifications souhaitées aux valeurs des paramètres de décision, l'utilisateur interagit avec le logiciel par le biais d'écrans successifs montrant les graphiques de ces paramètres.
TABLEAU 22 - Résultats de l'analyse ALDS pour le district de Bungoma
Dans la séquence MCD-B ... MCD-E, les résultats montrent que les paramètres de décision se modifient de manière irrégulière. Généralement, lorsqu'il y a intensification de l'utilisation des terres arables, en vue d'assurer une production alimentaire et une autosuffisance croissantes, il apparaît que cette intensification est liée à une augmentation de l'érosion totale; la production alimentaire, le profit économique, la sécurité alimentaire, considérée comme la production minimale garantie en mauvaises années, ainsi que l'érosion maximale ne varient que dans d'étroites limites et semblent stables.
Etant donné que toutes les solutions affichent des taux d'autosuffisance supérieurs aux 80% minima proposés dans les scénarios, la solution MCD-C apparaît comme la meilleure, car elle représente la combinaison relative 'optimale' des valeurs des paramètres de décision.