3.1. Le réactif ammoniac
3.2. Facteurs de réussite du traitement à l'ammoniac
3.3. Applications pratiques
3.4. Conclusion
Ce chapitre a essentiellement pour objet de rappeler les facteurs de réussite et les modalités du traitement à l'ammoniac anhydre et de bien souligner l'importance de certains aspects pratiques qui permettent de le maîtriser.
Les résultats intéressants obtenus avec la soude dans l'amélioration de la valeur alimentaire des pailles ont incité beaucoup de chercheurs à étudier d'autres produits. Les premiers travaux sur l'ammoniac remontent aux années 30 en Allemagne (KRONBERGER, 1933). Ils ont été poursuivis surtout en Scandinavie, en Europe Centrale et en URSS avec des succès variables mais moins nets qu'avec la soude. C'est en 1974-1975 que la technique des traitements en tas à température ambiante par injection d'ammoniac anhydre a été lancée chez les éleveurs par la Norvège. Publiée par SUNDSTOL et al. (1978), elle s'est alors rapidement répandue dans les pays disposant d'ammoniac et désireux d'améliorer la valeur de leurs pailles.
L'ammoniac (NH3) est obtenu industriellement par "craquage" des hydrocarbures. Il est utilisé comme matière première de l'industrie des engrais ou directement comme engrais. Il est gazeux à pression et température ambiantes. Il est facilement liquéfiable et se dissout aisément dans l'eau. Sa tension de vapeur est de 8,5 bars à 20°C et son point d'ébullition est de -33,4°C à la pression atmosphérique. Il est normalement disponible à un très haut degré de pureté (99,8 p.100). Son stockage (et sa distribution) à l'état liquide nécessite des conteneurs résistants à des pressions élevées (4, 6, 8.5, et 20 bars, respectivement à 0, 10, 20 et 50°C). La pression "d'épreuve" de ces réservoirs est normalisée, elle est de 29 bars (sécurité dans le cas de fortes températures supérieures à 50°C).
Compte tenu de la volatilité de NH3 à température et pression ambiantes, les traitements à l'ammoniac anhydre supposent de placer les fourrages à traiter dans des enceintes hermétiques.
L'ammoniac aqueux (NH4OH) est une solution d'NH3 dont la concentration en ammoniac, à la pression atmosphérique, dépend de la température ambiante: celle-ci passe de 400 à 185 g/kg lorsque la température passe de 10 à 50°C. Les solutions courantes contiennent 250 g d'NH3/kg et sont commercialisées en conteneurs en plastique.
C'est une base plus faible que la soude, donc un peu moins efficace en ce qui concerne l'effet alcalin d'hydrolyse des glucides pariétaux des fourrages, mais qui présente l'avantage par rapport à cette dernière d'améliorer la valeur azotée du fourrage traité.
3.2.1. Quantité d'ammoniac
3.2.2. Température et durée du traitement
3.2.3. Humidité à laquelle est effectué le traitement
3.2.4. Nature du fourrage à traiter
II s'agit essentiellement de la quantité d'ammoniac, la température, la durée du traitement et de l'humidité du substrat en cours de traitement ainsi que de la nature du fourrage traité et des interactions de ces différents paramètres qu'il est difficile de dissocier.
Ces paramètres ont fait l'objet de nombreuses études et mises au point et on pourra se référer à celles de SUNDSTOL et COXWORTH (1984) et de CORDESSE (1987). Nous y ajouterons les observations intéressantes obtenues depuis et qui n'ont pas toujours été publiées.
L'effet de ces paramètres sur l'efficacité du traitement suppose de savoir quantifier cette efficacité. Ce sujet, très important et délicat, fait l'objet d'un chapitre ultérieur spécial. Pour simplifier on ne parlera surtout, ici, que d'augmentation de la valeur nutritive des pailles, laquelle sera exprimée en termes de digestibilité in vitro (DIV) mesurée par des méthodes de laboratoire.
C'est le paramètre le plus important. L'ensemble des travaux réalisés sur ce sujet conduisait SUNDSTOL et al. (1978) à conclure que l'augmentation des doses d'NH3 au delà de 4,0, jusqu'à 5,5 et 7,0 kg pour 100 kg (MS) de paille n'entrainait plus qu'une amélioration marginale. La fig. 11a empruntée à SUNDSTOL et al. (1978), analysant l'effet de la quantité d'NH3 sur l'augmentation de la digestibilité in vitro (DIV) d'une paille d'orge traitée pendant 4 semaines à différents niveaux d'alcali et à différentes températures, illustre bien cette observation. Ces auteurs concluaient ainsi que des doses supérieures à 4 p.100 (de la MS de paille traitée) ne se justifient pas, du moins dans la mesure où les autres paramètres sont respectés. L'optimum économique se situe très certainement entre 2,5 et 3,5 kg d'NH3 (apporté sous forme anhydre ou aqueuse) pour 100 kg de MS de paille traitée (c'est à dire entre 2,1 et 3,0 kg pour 100 kg de paille à 85 p.100 de MS).
En tout état de cause, et la fig. 11a le montre bien, des doses inférieures à 2,5 p.100 sur la base de la MS (soit 2,1 p.100 d'une paille à 85 p.100 MS) sont insuffisantes et n'auront pas l'effet attendu.
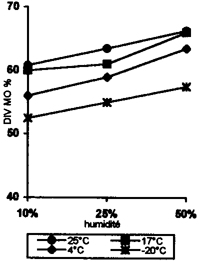
Figure 11: Influence de la dose d'ammoniac, de la température ambiante, de la durée et de l'humidité du traitement sur l'efficacité du traitement d'une paille d'orge appréciée par la digestibilité in vitro de la matière organique (DIV MO%) (d'après Sundstol et al., 1978).
Figure 11a: température et dose d'NH3 (durée de traitement = 4 semaines)
Figure 11b: température et durée (traitement à 3.4% d'NH3 et 25% d'humidité)
Figure 11c: température et humidité (traitement de 8 semaines à 3.4% d'NH3)

II est difficile de dissocier ces deux paramètres car les réactions chimiques de l'alcali sur la paille sont, comme la majorité des réactions chimiques, d'autant plus rapides que la température à laquelle elles s'effectuent est élevée. La fig. 11b, empruntée à SUNDSTOL et al. (1978) illustre bien ce phénomène.
L'élévation très rapide de température lors du traitement, due à la réaction exothermique, n'est pas suffisante à elle seule pour assurer de bonnes conditions de réaction dans le cas des traitements en tas (non calorifuges). En effet, la température de la masse du fourrage va s'équilibrer au bout de quelques jours à la température ambiante (au bout d'un peu plus longtemps, si on a injecté l'NH3 sous forme liquide car son évaporation va d'abord abaisser la température). C'est par conséquent la température ambiante qui aura l'effet le plus important et déterminera l'efficacité du traitement.
Il faut savoir en outre que l'ammoniac est une base plus faible que la soude et réagit plus lentement.
L'essentiel est de respecter une durée de traitement d'autant plus longue que la température ambiante est basse, et vice et versa, mais avec des limites. A partir de 17°C, il n'est plus très important d'augmenter le temps de traitement au delà de 4 semaines (fig. 11b). Le traitement n'est même que de quelques heures à 90-100°C. En revanche dans les régions tempérées ou tropicales d'altitude, où il peut geler la nuit pendant les saisons où s'effectuent les traitements, il est important de respecter des durées suffisantes, l'efficacité du traitement continuant à s'améliorer jusqu'à 8 semaines. Pour les températures intermédiaires entre 5 et 15°C, on pourra ainsi adopter des durées intermédiaires entré 4 et 8 semaines.
En définitive et sur le plan pratique, les recommandations ci-dessous, préconisées par SUNDSTOL et al. (1978), peuvent constituer de bonnes indications:
|
température ambiante |
durées à respecter |
|
<5°C |
plus de 8 semaines |
|
5-15°C |
4 à 8 semaines |
|
15-30°C |
1 à 4 semaines |
|
>30°C |
moins de 1 semaine |
|
|
au moins une semaine (*) |
|
|
(selon Sundstol et al., 1978) |
(*) II convient aussi d'avoir à l'esprit que, indépendamment de l'effet alcalin d'hydrolyse des glucides pariétaux, l'ammoniac apporte de l'azote qui va être retenu par la paille pour partie (en gros les 2/3) par adsorption (cette partie est labile et partira progressivement si la paille traitée est laissée longtemps à l'air) et pour une autre partie (le 1/3) par réaction chimique avec les parois de la paille (seule cette partie est solidement fixée, voir §323). Cette réaction sera d'autant plus complète que température et durée (ainsi également que humidité) du traitement seront élevées. C'est pourquoi, en Tunisie, la recommandation pratique (et nous souscrivons parfaitement à cette mesure) est, pour plus de sûreté, d'adopter une durée d"au moins une semaine" (dernière ligne du tableau ci-dessus) pour les températures supérieures à 30°C.
Le pourcentage d'humidité à l'intérieur de la masse de fourrage traité (donc la teneur en matière sèche de la paille elle-même dans le cas du traitement à l'ammoniac anhydre) est un facteur d'efficacité du traitement ammoniacal très important. En effet le traitement proprement dit est effectué par l'ion NH4+ (NH3 est inerte) qui n'est libéré que si NH3 est mis en présence d'eau. Ce paramètre est pourtant, hélas, souvent sous estimé dans les régions où les pailles et autres résidus de culture traités sont très secs (zones méditerranéennes et zones arides, étés très secs des zones tempérées).
Les travaux sur ce sujet (WAISS et al., 1972; BORHAMI et SUNDSTOL, 1982; CORDESSE, 1982; ALIBES et al., 1983) sont moins nombreux que sur les autres facteurs parce que la gamme d'humidité des pailles inférieure à 15 p.100 a été négligée. Ces travaux indiquent une réponse de l'efficacité du traitement, en terme d'augmentation non seulement de la DIV, mais aussi de la teneur en N, à l'augmentation de la teneur en humidité du milieu de traitement. La fig. 11c montre que cette réponse est quasi linéaire même à des températures basses et pour des durées de traitement élevées.
On peut retenir globalement que l'humidité optimale pour un bon traitement se situe dans la fourchette 15-25 p.100. Même si des humidités supérieures améliorent encore l'efficacité du traitement, d'autres inconvénients liés par exemple à l'aptitude au stockage (risques de moisissures), aux difficultés de manutention de produits trop humides, apparaissent et risquent de réduire l'effet bénéfique de l'humidité.
Dans la pratique, il est absolument nécessaire de réhumidifier les pailles dont la teneur en MS est supérieure à 90 p.100 si on ne veut pas courir le risque de "traiter pour rien". La réhumidification de la paille, certes consommatrice de main d'oeuvre, peut se faire par arrosage, lit par lit, au moment de la fabrication de la meule. Une autre possibilité, si le produit est commercialisé localement, est de traiter avec l'ammoniaque aqueux, NH4OH, (en respectant les poids d'alcali à apporter), garantie d'apport d'eau complémentaire puisque NH4OH est une solution de NH3 (§31). A notre avis, il est préférable de réhumidifier plutôt que de recourir au dernier moment à cette technique, certes simple, mais assez dangereuse et à laquelle le personnel technique est moins familiarisé.
C'est un point très important. En effet, l'ensemble des résultats bibliographiques montre que, globalement, les pailles réagissent d'autant mieux au traitement qu'elles sont, au départ, moins digestibles: aussi le traitement peut-il ne pas être aussi efficace dans le cas de pailles de bonne qualité. Or les outils appropriés permettant de distinguer rapidement une bonne paille d'une mauvaise paille font encore défaut.
La capacité d'un fourrage à réagir à un traitement alcalin dépend de sa famille botanique, de l'espèce à laquelle il appartient de sa variété et de son stade de développement. Sans trop rentrer dans le détail, cette capacité est essentiellement liée à la nature des liaisons entre les acides phénoliques et la lignine (éthers ou esters, respectivement plus et moins sensibles aux alcalis). C'est d'ailleurs pour ces raisons que, d'une manière générale, les légumineuses sont beaucoup moins sensibles à l'attaque alcaline et que les traitements de tiges de légumineuses répondent beaucoup moins bien aux traitements que celles de graminées. Il existe également de grandes différences entre espèces à l'intérieur des graminées. Des travaux de recherche sont en cours et quelques auteurs (DIAS - DA - SILVA et GUEDES, 1990; BESLE et al., 1989) ont commencé à proposer des mesures (indice de saponification, densité optique) mais celles-ci restent encore trop complexes.
Cette grande variabilité dans l'aptitude des pailles à répondre aux alcalis conduit ainsi à penser qu'il n'y aurait pas une dose, universelle pour toutes les pailles, mais des doses, plus ou moins importantes suivant leur nature botanique. C'est sans doute en partie pour cette raison que les essais sur la réponse des pailles aux doses d'alcalis ont été aussi nombreux et leurs résultats aussi peu homogènes.
Tout ceci mène à la conclusion qu'il faudra, pour le moment, se garder de généraliser et d'utiliser dans un contexte donné des recommandations qui peuvent paraître optimistes parce qu'obtenues dans un contexte agro-climatique et sur des espèces botaniques différents.
3.3.1. Les modalités pratiques de traitement
3.3.2. Exemples d'application pratique
Elles sont décrites dans l'annexe 2.
La Tunisie et l'Egypte ont développé le traitement à l'ammoniac anhydre sur le terrain depuis bientôt une quinzaine d'années, l'Algérie quant à elle envisage de le développer.
La Tunisie, qui importe l'ammoniac et l'urée pour son industrie d'ammonitrates et ses besoins en engrais, a décidé de lancer le traitement à l'ammoniac dans les grandes exploitations. Elle envisage maintenant de démarrer également le traitement à l'urée pour les exploitations plus modestes.
Elle dispose d'un centre de stockage/distribution de NH3 équipé de deux cuves "mères" fixes, de 20 t et de 2 t, et de 10 camions-citernes de 500 kg. Il est actuellement géré par l'Office de l'Elevage et des Pâturages, mais doit être confié prochainement à une société privée. Huit techniciens avaient été formés en France. Ses traitements sur le terrain se sont répartis de la manière suivante:
|
année |
1985 |
1986 |
1987 |
1988 |
1989 |
1990 |
1991 |
1992 |
1993 |
|
nombre de bénéficiaires |
50 |
100 |
110 |
600 |
250 |
175 |
225 |
422 |
671 |
|
paille traitées (1000 t) |
0,63 |
2,11 |
1,80 |
7,59 |
4,97 |
2,92 |
2,70 |
3,41 |
5,70 |
Les pailles (blés dur et tendre, orge), conditionnées en balles de moyenne densité de 15 kg, sont traitées à raison de 3 kg d'NH3 par 100 kg de paille (brut) dans des tas de 4 à 5 t. La forme standard des tas (4 lits de 7 balles sur la largeur), a été déterminée par la largeur des films de plastique commercialisés qui est de 8 m. Il s'agit d'un plastique noir de 180 m m d'épaisseur. Point intéressant à signaler, le film de sol est supprimé et remplacé par un lit de paille en vrac; l'herméticité de la meule est alors assurée par enfouissement du rabat (70 cm) du film de couverture dans une rigole de 25 cm creusée tout autour de la meule.
La paille est réhumidifiée par arrosage ou aspersion lorsque sa teneur en matière sèche dépasse 90 p.100. Les durées de traitement recommandées sur le terrain sont de 3 semaines.
L'Egypte, qui dispose d'une pétrochimie, s'est engagée, en plus de la commercialisation des mélanges mélasse/urée liquides ou en blocs, dans le traitement à l'ammoniac pour les grandes exploitations rizicoles du Delta depuis 1983. Elle vient, parallèlement, de s'engager dans le traitement à l'urée pour les petites exploitations productrices de blé de la vallée du Nil.
Elle a équipé 8 centres de stockage/distribution de NH3 dotés chacun de 1 à 2 cuves fixes de 4,5 t et de 2 à 3 camions-citernes de 1 t. Les quantités globales d'ammoniac utilisées et celles de pailles traitées correspondantes depuis le début des traitements en exploitation sont les suivantes:
|
année |
1986 |
1987 |
1988 |
1989 |
1990 |
1991 |
1992 |
1993 |
|
- t de NH3 |
600 |
700 |
950 |
2700 |
6886 |
1964 |
4262 |
4130 |
|
- paille traitées (1000 t) |
20,0 |
23,3 |
31,7 |
90,0 |
229,5 |
65,5 |
142 |
137,7 |
Les traitements sont effectués essentiellement avec les pailles de riz conditionnées en balles cubiques de 65 kg à raison de 3 kg d'NH3 pour 100 kg de paille. Les tas sont standardisés à environ 10 t, leur section de 2 m de large est constituée de 3 lits (hauteur totale de 1,5 m), leur longueur est d'environ 20 m. Cette largeur de section de 2 m, un peu faible pour optimiser le rapport quantité de paille/quantité de plastique utilisé, est liée au fait qu'il n'existe qu'une largeur de commercialisation des films de plastique. Ces films sont fabriqués sur place et répondent aux normes d'épaisseur. La paille est réhumidifiée quand elle est trop sèche. Les durées de traitement recommandées sur le terrain sont de 10 jours.
Qu'il s'agisse de la Tunisie ou de l'Egypte, ces traitements sont parfaitement maîtrisés et donnent satisfaction au niveau de la pratique. Le personnel technique chargé des traitements a été formé et est régulièrement recyclé à travers des sessions de formation incluant des stages de terrain. Il en est de même du personnel d'encadrement zootechnique chargé du suivi des exploitations. Les exploitants sont maintenant parfaitement familiarisés avec les fourrages traités et avec les principes de leur rationnement.
L'Algérie, qui possède une pétrochimie et utilise l'ammoniac comme fertilisant, a prévu de lancer un programme de traitement à l'ammoniac de grande envergure (des quantités de l'ordre de 160.000 t de paille par an sont envisagées). L'équipement sera constitué de deux cuves mères de 20 t pour l'alimentation de 10 unités de traitement disposant chacune d'une citerne fixe de 4 t et de citernes tractées de 500 et 2000 kg. L'Algérie profite de l'expérience de l'Egypte et de la Tunisie en matière de traitement à l'ammoniac grâce au Projet Régional (Maghreb, Mashreq) GCP/INT/523/FRA, sur le développement de l'utilisation des résidus de culture et des sous-produits agro-industriels en alimentation animale, coordonné par la FAO.
Le traitement en tas à l'ammoniac anhydre est une technique simple, efficace et parfaitement adaptée aux pays méditerranéens, subtropicaux et tropicaux qui disposent d'ammoniac, d'un réseau de distribution de cet ammoniac et, surtout, de l'infrastructure routière permettant l'accès des camions ou tracteurs équipés de cuves de 500 kg d'NH3. La formation du personnel technique est ensuite indispensable de même que l'organisation de la maintenance du matériel.
Les points essentiels à respecter sont,
· la dose d'ammoniac. Le sous dosage est rédhibitoire car on traite alors "pour rien". Le surdosage est moins grave et l'on verra plus loin (chap. 9) comment réagir dans ce cas. Les sources d'erreur sur le dosage interviennent le plus souvent avec des fourrages trop humides au départ dont on peut mal apprécier la teneur en matière sèche.· l'humidité du fourrage à traiter: il est indispensable de traiter des fourrages d'une teneur en matière sèche comprise entre 80 et 85 p.100.
· l'herméticité parfaite de l'enceinte de traitement pour éviter la perte d'ammoniac et assurer une bonne réaction chimique à la fois alcaline et d'amélioration azotée.
· la durée de traitement: jamais inférieure à une semaine à plus de 30°C et de 3 à 4 semaines entre 20 et 30°C de température ambiante. Les traitements gagneront à être effectués le plus tôt possible après la moisson, saison où les températures sont favorables au traitement.
· le maintien du fourrage traité en enceinte étanche jusqu'à son utilisation.