Previous Page Table of Contents Next Page


7. ESTIMATES OF WOOD ENERGY CONSUMPTION


7.1. Consumption Patterns
7.2. Dynamics of Consumption
7.3. Consumption Data
7.4. Consumption Outlook


7.1. Consumption Patterns


7.1.1. Woodfuel as a Commodity
7.1.2. Consumer Groups
7.1.3. Amounts Consumed


7.1.1. Woodfuel as a Commodity

Woodfuel is to a large extent non-commercialized. The largest single group of woodfuel consumers, farmers, are at the same time woodfuel producers. Furthermore, woodfuel consumption patterns are very site-specific. These are major reasons why the same market mechanisms which may apply to other commodities do not apply to wood energy.

7.1.2. Consumer Groups

Woodfuel consumers are diverse groups in the domestic sectors of rural and urban areas, as well as in the industrial and service sectors. Many domestic consumers are basically subsistence households, whereas others with more money mainly buy woodfuels from local markets.

7.1.3. Amounts Consumed

Woodfuel consumption levels vary per country and per region. National consumption per capita varies by as much as a factor of 5 over the RWEDP member-countries, depending on local conditions like climate, agro-ecological zone, culture and traditions, household income and size, accessibility of fuels, prices of fuels and devices, as well as options for substitution. Several conditions may change with land use practices and cropping patterns, economic changes, modernization and urbanization or other factors. Further, total national consumption depends on population and possibly GNP. Stated consumption data are sometimes under-estimated, because industrial consumption may not be included or household consumption is not fully recorded, or both.

7.2. Dynamics of Consumption


7.2.1. Consumer Options
7.2.2. Site-specificity
7.2.3. Macro-level Factors: Population, GNP, Prices


7.2.1. Consumer Options

In principle, all consumer groups avail themselves of a range of options to adapt their consumption pattern to changing conditions. For example, in response to reduced availability of fuelwood, a rural household could in principle:

· Consume less by adopting fuelwood saving practices
· Substitute fuelwood partly by other biomass fuels or fossil fuels
· Pay more at local markets
· Spend more time in collecting fuelwood for free from distant locations
· Harvest fuelwood non-sustainably from trees nearby
· Grow additional fuelwood in the homestead
· Grow (additional) trees on agricultural land
· Change cooking practices (diets) so that less fuel is required
· Adopt a combination of options and/or other solutions.

This example show that the range of options is very diverse indeed.

Households which increase family incomes often switch from biomass fuels to other forms of energy like electricity and gas, which is known as 'stepping up the fuel ladder'. At the same time, new families frequently start at the lower end of the income and fuel ladder. However, many factors other than income can play a role with regard to household fuel use. If the new energy forms are not available or if the supply is not reliable, households may decide not to upgrade their fuel. Likewise, if woodfuel resources become scarce, people may downgrade to lower quality fuels. This illustrates that fuel switching is an extremely complex system, subject to many local factors.

7.2.2. Site-specificity

Case studies have shown that the actual response of consumer groups to changing conditions is very site-specific, varying per country and per region. A full set of reliable data on wood energy consumption and its dynamics is not available and can not be obtained without considerable efforts. Therefore, 'best estimates' of consumption have to be made.

7.2.3. Macro-level Factors: Population, GNP, Prices

When consumption per capita is subject to many unknown factors, population, at least, is a macro-level factor which influences national woodfuel consumption.

The same may or may not be true for economic changes. With increase in average GNP per capita, changes in energy use take place. This often implies increase in energy use but also a shift from traditional to conventional sources of energy for part of the population, depending on income distribution characteristics. The net effect may be underlying Figure 4 at the end of this chapter, which gives an overview of biomass energy use in relation to GNP per capita. The figure shows a general trend for biomass energy use to decline as GNP increases, but no relationship between incremental changes in the two variables can be deducted from the data. Apart from anecdotal data, income elasticities of woodfuel use are generally not known.

Prices of woodfuels depend on many factors and vary with local markets. Furthermore, a large proportion of woodfuels is non-monetized. Apart from anecdotal data, price elasticities of woodfuel consumption are generally not known.

7.3. Consumption Data


7.3.1. Databases
7.3.2. Best Estimates


7.3.1. Databases

Data on wood energy consumption are published periodically by FAO, UN, WRI, IEA and AEEMTRC. Some of these sources make use of the data provided by the other organizations, and therefore are not independent. Data are also published by government departments. In some cases also data from national and international organizations may be 'recycled'. Furthermore, incidental data as based on specific surveys like World Bank/ESMAP and UNDP and others are published. Definitions used by the various organizations are in many cases not comparable and care should be taken to check what is meant when terms like woodfuel, fuelwood, residues, etc. are used.

7.3.2. Best Estimates

In order to determine the "best" estimate for woodfuel use in the Asia-Pacific region it would be preferable to use only one database system. Data within a single database system can then be assumed to have been treated in the same manner, both in terms of definitions and in terms of conversion factors from original units to energy units. Unfortunately, considering the large discrepancies between the numbers as well as lack of completeness, it is difficult to use one single database system for the Asia-Pacific region. Therefore, a combination of data from different database systems is used for the present study. Such a method has to be applied as long as no single database system is sufficiently complete to serve as a basis for all countries in the region.

For both RWEDP and OECD countries use is made of the data contained in the IEA database and/or country data. Exceptions are (for the time being) the following countries: Bhutan, India, Malaysia, the Philippines and Sri Lanka, as no data are available. For these countries the FAO/UN database system is used. For Asia-Other and the Pacific the data contained in the FAO/UN database system are used as the IEA database and/or country data are far from complete.

Table 7.1, at the end of this chapter, provides an overview of these "best" estimates 2 for the Asia-Pacific countries both for woodfuels as well as for biomass energy. Average annual changes have been calculated for the last 3-4 years for which data were available. Analysing the average annual increase over this period shows that increases have in general been moderate with a few exceptions, notably in Thailand as well as in Maldives, Fiji and Australia (biomass energy only in the latter).

2 "Best" estimates were identified in consultation with EDP-Asia who gave full access to their database. As EDP-Asia does not publish its data on a regular basis, full reference to the original sources is provided.

The large increases in the Maldives as well as in Fiji are probably caused by the fact that no real time series are available (Maldives) and/or in the way estimates were made (Fiji). The reason for the sharp increases for Thailand and Australia can probably be traced back to the fact that in both countries efforts are being made to promote the use of renewable energy including biomass. Another factor which may play a role in the sharp increase, in particular in biomass energy for these countries as well as for Fiji, is increased sugar production resulting in increases in bagasse use as a source of fuel. The same argument should also be valid for other sugar producing countries. Unfortunately, sufficient information is not available to substantiate this assumption.

7.4. Consumption Outlook


7.4.1. Projections


7.4.1. Projections

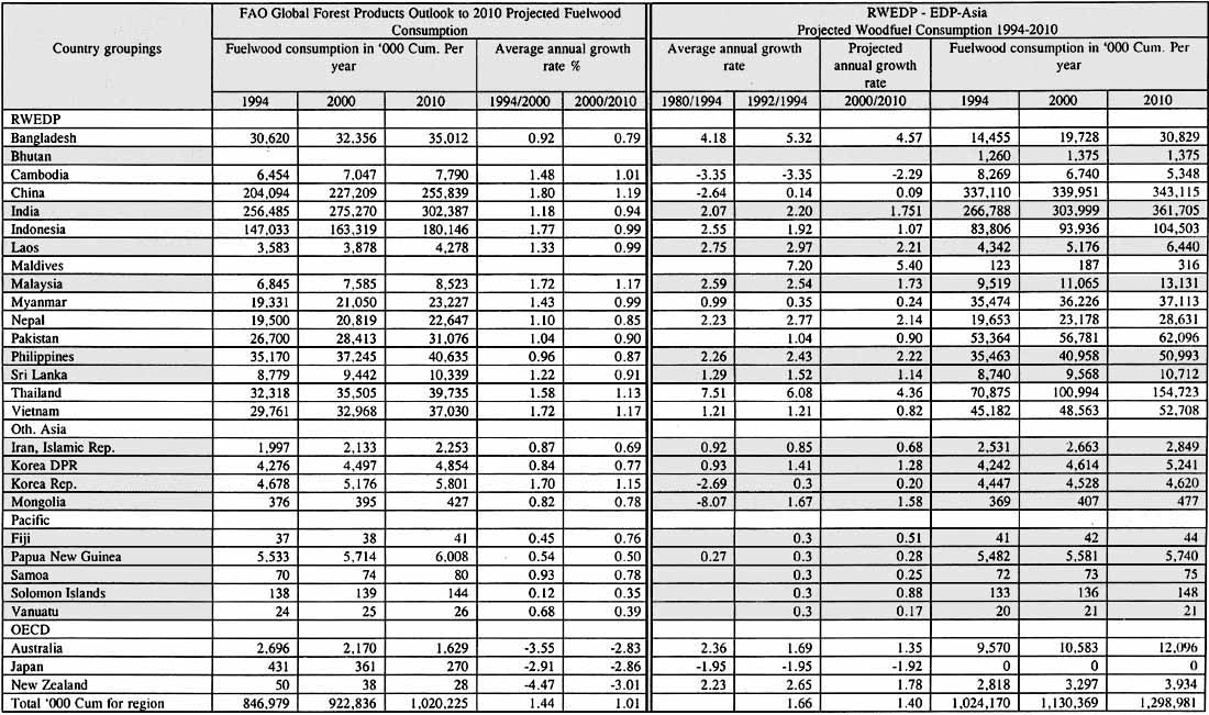
As many local conditions play a role in woodfuel consumption, it is not known to what extent each of the individual factors exerts an influence on the total national amount of energy used and on the choice of fuel. Projections are therefore generally based on simple extrapolations of historical trends. In order to explore the possibility of providing an alternative to these simple projections two exercises in computer modelling were carried out by RWEDP staff. One exercise is based on data published by the FAO (FAO, 1997b). The other exercise is based on the "best" estimates for woodfuel use presented in this paper. The results of both exercises are shown in Table 7.2 at the end of this chapter.

Exercise 1:

The first exercise used data drawn from Table III-2 (page 109) of an FAO publication (FAO, 1997b) to calculate the average annual growth rates of woodfuel consumption for the period 1994-2000 and 2000-2010. Many factors were taken into account, for example, economic growth rates, resources and population. However, for the Asia-Pacific region the validity of the base year, 1994, can be questioned as in all but one RWEDP member-country, China, the data are based on estimates made before 1961, and per capita woodfuel use was assumed constant since then. It should be noted that a systematic error as small as 2% per annum would lead to an error of 100% after 33 years. Such effects may explain the large discrepancies between the results of the modelling and other studies (including the "best" estimates reported here) regarding e.g. Bangladesh, China, Indonesia, Malaysia, Myanmar, Pakistan and Vietnam. For Pakistan the extensive World Bank/ESMAP and UNDP survey in 1991 found 1.7 times more woodfuel consumption in the household sector alone, than FAO statistics report.

Exercise 2:

The second exercise is again based on the "best" estimates. The inputs used are as far as possible based on the most recently available data from national sources which are considered reliable regarding both level of consumption and growth rate. Woodfuel consumption growth rates for the period 1994-2000 were (arbitrarily) assumed to remain the same as were calculated for the period 1992-1994. For the period 2000-2010 the growth rates were reduced (again arbitrarily) by assuming that the reduction in the growth rates as shown in exercise 1 would also be valid for the second exercise.

Comparison of the Results of the Exercises

Table 7.2 shows that the difference between the results using the FAO data (Exercise 1) and the "best" estimates data (Exercise 2) is about 170 million cubic metres (20%) in 1994 (about 850 million cu m. versus 1020 million cu m.) aggregated for the Asia-Pacific countries listed. The difference would rise to about 260 million cu m. (25%) in the year 2010 (1020 million cu m. versus 1280 million cu m.). For individual countries the differences for the baseline year (1994) can be as large as 200% (Bangladesh, Myanmar, Pakistan, Thailand) or even 5,000% (New Zealand). Combined with different growth rates applied, such differences can amplify to almost 300% (Thailand) in the year 2010.

These results illustrate the need for updating and harmonizing databases. At present detailed modelling appears to be of little value as long as large discrepancies in data exist. Thus, for the time being, RWEDP will carry on with the "best" estimates as presented here. In the meantime, the main message which can be derived from either exercise is that woodfuel use will continue and will even grow. But, its share in overall energy consumption will decline.

Table 7.1 - Best estimate with regard to woodfuel and biomass energy use in the Asia-Pacific region

Table 7.2 - Sample Projections For Woodfuels use for the Period 1994-2010

Data in grey are based upon FAO data (production in past)

Business as Usual

Very superficial calculations, using business-as-usual projections made by UN-ESCAP for conventional energy use (ESCAP, 1997) show that in 1994 woodfuels accounted for about 8.2% to 9.8% of total energy consumption (total energy consumption here refers to conventional energy and woodfuels and excludes biomass energy). In the year 2010 the share of woodfuels will have dropped to about 4.6 to 5.7% depending on which scenario for woodfuel projection is used. These calculations were not used for the present paper.

Figure 5 - Biomass energy use and GNP


Previous Page Top of Page Next Page