APÉNDICE I: LISTA DE PARTICIPANTES/LIST OF PARTICIPANTS/LISTE DES PARTICIPANTS
APÉNDICE II: PROYECTOS Y PROYECTOS REVISADOS DE LIMITES MAXIMOS PARA RESIDUOS DE PLAGUICIDAS (Adelantados al Trámite 8 del Procedimiento del Codex)
APÉNDICE III: PROYECTO REVISADO DE METODOS DE MUESTREO RECOMENDADOS PARA LA DETERMINACION DE RESIDUOS DE PLAGUICIDAS A EFECTOS DEL CUMPLIMIENTO DE LOS LMR (Adelantado al Trámite 8 del Procedimiento del Codex)
APÉNDICE IV: ANTEPROYECTOS Y PROYECTOS REVISADOS DE LIMITES MAXIMOS PARA RESIDUOS DE PLAGUICIDAS (Adelantados al Trámite 5 del Procedimiento del Codex con omisión de los trámites 6 y 7 para adopción en el Trámite 8)
APÉNDICE V: ANTEPROYECTOS Y ANTEPROYECTOS REVISADOS DE LIMITES MAXIMOS PARA RESIDUOS DE PLAGUICIDAS Y ANTEPROYECTO REVISADO DE LIMITE MAXIMO PARA RESIDUO EXTRAÑO (Adelantados al Trámite 5 del Procedimiento del Codex)
APÉNDICE VI: LIMITES MAXIMOS DEL CODEX PARA RESIDUOS CUYA REVOCACION SE RECOMIENDA
APÉNDICE VII: LISTA DE PRIORIDADES DE LOS COMPUESTOS PROGRAMADOS PARA SU EVALUACION O REEVALUACION POR LA JMPR
|
Chairman of the Session: |
Dr W.H. VAN ECK |
|
Président de la Session: |
Ministry of Health, Welfare and Sport |
|
Presidente de la Reunión: |
Directorate of Public Health |
|
|
Postbox 5406 |
Mrs Dalila BOUGUELAS
Algerian Embassy
ARGENTINA
ARGENTINE
Dr Nora ANGELINI
Chemistry And Chemical Resedues Coordinator
Avenue Fleming 1653 (1640) Martinez
Senasa
Tel.: +54 1 798 1278
Fax.: +54 1 798 4786
E-mail: [email protected]
AUSTRALIA
AUSTRALIE
Mr Stanford HARRISON
Agricultural and Veterinary Chemicals Policy Section
Department of Primary Industry and Energy
GPO Box 858
Canberra ACT 2601
Tel: +61 2 6272 5404
Fax: +61 2 6272 5899
E-mail: [email protected]
Dr Ronald D. EICHNER
Manager Chemistry Residues
National Registration Authority for Agricultural and
Veterinairy Chemicals
P.O.Box E240
Kingston ACT 2604
Tel.: +61 2 6272 5248
Fax.: +61 2 6272 3551
E-mail: [email protected]
Mr Denis HAMILTON
Principal Scientific Officer
Animal and Plant Health Services
Department of Primary Industries
G P.O.Box 46
Brisbane
Queensland 4001
Tel.: +61 7 3239 3409
Fax: +61 7 3211 3293
E-mail: [email protected]
Dr Angelo VALOIS
Section Head Chemical Residues
Policy and International Division
Australian Quarantine and Inspection Service
GPO Box 858
Canberra ACT 2601
Tel.: +61 2 6272 5566
Fax: +61 2 6271 6522
E-mail: [email protected]
Mr Geoffrey A. MacALPINE
Technical Director
Avcare Limited
Level 11,
53 Walker street
North Sydney NSW 2060
Tel.: +61 2 9922 2199
Fax. +61 2 9954 0588
E-mail: [email protected]
Mr Graham S. ROBERTS
Leader Organic Chemistry Unit
State Chemistry Laboratory
Cnr Sneydes and South Roads
Werribee Victoria 3030
Tel.: +61 03 9742 8714
Fax: +61 03 9742 8700
E-mail: [email protected]
Dr Terry L. SPENCER
Deputy Australian Government Analyst, AGAL
GPO Box 1844
Canberra ACT 2601
Tel.: +61 2 6275 8714
Fax. +61 2 6275 3565
E-mail: [email protected]
AUSTRIA
AUSTRICHE
AUSTRIA
Dipl Ing Hermine REICH
Analytical Chemist
Bundesamt und Forschungszentrum für
Landwirtschaft
Spargelfeldstraße 191
1220 Vienna
Tel.: +43 1 28816 5130
Fax: +43 1 28816 5194
E-mail: [email protected]
Dipl Ing Christian PROHASKA
Registration of Plant Protection Products, Residues
Radetzkystrasse 2
A-1030 Vienna
Tel.: +43 1 71172 4601
BELGIUM
BELGIQUE
BELGICA
Ir L. MOHIMONT
Ministère des Classes Moyennes et de
l'Agriculture
Inspection générale Matières
premières et Produits transformés
WTC 3 - 8 étage
Bd S. Bolivar 30
B-1000 Bruxelles
Tel.: +32 2 208 38 42
Fax: +32 2 208 38 66
Prof dr ir W.P.E. DEJONCKHEERE
Department Crop Protection Chemistry
Faculty Agricultural Science
University Gent
Coupure Links 653
B-9000 Gent
Tel.: +32 9 264 60 09
Fax: +32 9 264 62 47
E-mail: [email protected]
Ir Oliveir N.M.G. PIGEON
Chemist Ingineer/Assistant
Agricultural Research Centre
Phytopharmacy Department
Rue du Bordia 11
B-5030 Gembloux
Tel.: +32 81 625262
Fax: +32 81 62 52 72
E-mail: [email protected]
Dr Christine VINKX
Food Inspector
Ministry of Health
Food Inspection Services
RAC Esplanade, 11th floor
Pachecolaan 19, B5
B-1010 Brussel
Tel.: +32 2 210 48 43
Fax: +32 2 210 48 16
E-mail: [email protected]
BRAZIL
BRESIL
BRASIL
Mrs. Cleide M. OLIVEIRA
BASF S.A.
Registration Manager
Estrada Samuel Aizemberg, 1707
Sao Bernardo Do Campo - SP 09851-550
Tel.: +55 11 751 2350
Fax: +55 11 751 2285
E-mail: [email protected]
Mrs Heloisa H.B. de TOLEDO
Director Technical Subjects
GARP/IAL - Associação Grupo de Analistas de
Residuos de Pesticidas
Instituto Adolfo Lutz
Av. Dr Arnaldo, 355
01246-902-Sao Paulo-SP
Tel.: +55 11 3064 1527
Fax: +55 11 3064 1527
Mrs Rosemarie De SOUZA OLIVEIRA RODRIGUES
GARP - Associação Grupo de Analistas de Residuos
de Pesticidas
Av. Dr Arnaldo, 355
SAO PAULO-SP
Tel.: +55 11 306 41527/5327219
Fax: +55 11 306 41527/5327226
Mr Flavio RODRIGUES PUGA
Director of the Animal Biology Division
Instituto Biologico
Av.Cons Rodrigues Alves 1252
CEP 04014.020 - Sao Paulo
Tel.: +55 11 57 00300
Mr Raul DA CAMARA COSTA FILHO
Director of Toxicological Evaluacion
Ministry of Health
Esplanada dos Ministerios - BLOCO G
9 Andar - Sala 958
Tel.: +55 613152619
Fax: +55 613152440
CANADA
Mr Bill MURRAY
Health Evaluation Division
Pest Management Regulatory Agency
Health Canada
2250 Riverside Drive Rm D.749
PST Loc. 6607D
Ottawa, Ontario K1A OK9
Tel.: +1 61 3 736 3671
Fax: +1 61 3 736 3659/99
E-mail: [email protected]
Ms Donna GRANT
Pesticide Residue Chemist,
Canadian Food Inspection Agency
3650 - 36th Street NW
Calgary, Alberta T2L 2L1
Tel.: +1 403 299 7636
Fax: +1 403 221 3293
E-mail: [email protected]
CHILE
CHILI
Dr Roberto H. GONZALEZ
Professor of Pesticide Science
University of Chile, College of Agriculture
P.O. Box 1004
Santiago
Tel.: +56 2 678 5714
Fax: +56 2 541 7055
E-mail: [email protected]
Mrs. Jimena LÓPEZ
Ingeniero Agrónomo
Chilean Export Association
Cruz del Sur 133 - 2 p.
Las Condes
Santiago
Tel.: +56 2 2066604
Fax: +56 2 2064163
Mrs Marcela RUIZ
Ingeniero Agrónomo
Plant Protection Department
Pesticides Unit SAG
Av. Bulnes 140
Santiago
Tel.: +56 2 698 22 44 Anexo 291
Fax: +56 2 696 64 80
E-mail: [email protected]
Mrs Antonieta URRUTIA-ANABALON
International Affairs, SAG
Ministry of Agriculture
Av. Bulnes 140
Santiago
Tel.:+56 2 672 3635/+56 2 688 3811
Fax: +56 2 671 7419
E-mail: [email protected]
CONGO, DEMOCRATIC REPUBLIC OF
CONGO, REPUBLIQUE DEMOCRATIQUE
CONGO, REPUBLICA DEMOCRATICA
Mr Mukuta KAMANGU
Ministère de la Santé
Conseiller Pharmaceutique
Boulevard du 30 Juin
Kinshasa
Tel.: +223 8802499
CZECH REPUBLIC
REPUBLIQUE TCHEQUE
REPUBLICA CHECA
Mr Helena MALOÑOVA
Head of the National Reference Centre of Pesticides
National Institute of Public Health
Srobarova 48
10000 Praha 10
Tel.: +420 2 6708 2377
Fax: +420 2 6731 0298
DENMARK
DANEMARK
DINAMARCA
Mr Arne BüCHERT
Head of division
Danish Veterinary and Food Administration
Morkhoj Bygade 19
DK-2860 Soborg
Tel.: +45 339 56461
Fax: +45 33956696
E-mail: [email protected]
Mr Milter Green LAURIDSEN, M.Sc.
Senior Officer
Danish Veterinary and Food Administration
Morkhoj Bygade 19
DK-2860 Soborg
Tel.: +45 339 56464
Fax: +45 339 56696
email: [email protected]
Dr Hanne BOETTE
Scientific Advisor
Danish Veterinary and Food Administration
Morktroj Bygade 19
DK-2860 Soborg
Tel.: +45 339 56000
Fax: +45 339 56696
E-mail: [email protected]
EGYPT
EGYPTE
EGIPTO
Dr Sohair Ahmed GAD ALLA
Senior Research
Agricultural Research Centre
Ministry of Agriculture
Central Lab of Analysis of Pesticide Residues and Heavy Metals
in Food
6 Nady El Sald St. Dokki, Giza
Tel.: +20 2 360 1395
Fax: +20 2 361 1216
E-mail: [email protected]
FINLAND
FINLANDE
FINLANDIA
Mr Vesa TUOMAALA
Senior Adviser
Ministry of Trade and Industry
Box 230
00171 Helsinki
Tel.: +358 9 160 3553
Fax: +358 9 160 2648
E-mail: [email protected]
Mr Pekka RAVIO
Chemist
Finnish Customs Laboratory
Tekniikantie 13
SF-02150 Espoo
Tel.: +358 9 614 3276
Fax: +358 9 463 383
E-mail: [email protected]
Mr. Pekka PAKKALA
Deputy Director
National Food Administration
Box 5
00531 Helsinki
Tel.: +358 9 7726 7621
Fax: +358 9 7726 7666
FRANCE
FRANCE
FRANCIA
Mr Jean-Pierre CUGIER
Ministère de l'Agriculture, de la Pêche et de
l'Alimentation
DGAL/SDPV
GRAPPA/INRA
Site Agroparc
Domaine Saint Paul
84914 Avignon Cedex 9
Tel.: +33 4 9031 6058
Fax: +33 4 9089 6905
E-mail: [email protected]
Mr Bernard DECLERCQ
Ministère de l'Economie et des Finances
Laboratoire interrégional de la DGCCRF
25, avenue de la République
91305 Massy Cedex
Tel.: +33 1 6953 8750
Fax: +33 1 6953 8725
E-mail: [email protected]
Mrs Sylvie COULON
Ministère de l'Agriculture et de la Pêche
Direction Générale de l'Alimentation
SDSPA Bureau Pharmacie Vetérinaire
251, rue du Vaugirard
75015 Paris Cedex
Tel.: +33 1 4955 8121
Fax: +33 1 4955 4398
Mr Gerard P. DE CACQUERAY
Agronomist
UIPP - Union des Industries de la Protection des
Plantes
2, rue Denfert-Rochereau
92100 Boulogne-Billancourt
Tel.: +33 1 4002 5321
Fax: +33 1 4345 2819
Mr Michel L'HOTELLIER
Agronomist
UIPP - Union des Industries de la Protection des
Plantes
2, rue Denfert-Rochereau
92100 Boulogne
Tel.: +33 1 3081 7381
Fax: +33 1 3081 7251
GABON
Mr Jean Hubert OLLOMO ELLA
Ministère de l'Agriculture
Inspection General de l'Agriculture
B.P. 189 Libreville
Tel.: +241 76 38 36
GERMANY
ALLEMAGNE
ALEMANIA
Dr Michael WINTER
Regierungsdirektor
Bundesministerium für Gesundheit
Am Propsthof 78a
D-53121 Bonn
Tel.: +49 228 941 4151
Fax: +49 228 941 4943
E-mail: [email protected]
Dr Jutta SCHAUB
Oberregierungsrätin
Bundesministerium für Ernährung,
Landwirtschaft und Forsten
Rochusstrasse 1
D-53123 Bonn
Tel.: 0228 529 3329
Fax: 0228 529 4404
Dr Karsten HOHGARDT
Wissenschaftlicher Oberrat,
Biologische Bundesanstalt für Land- und
Forstwirtschaft
Messeweg 11/12
D-38104 Braunschweig
Tel.: +49 531 2993503
Fax: +49 531 2993004
E-mail: [email protected]
Dr Renate HANS
Dir.u.Prof., Bundesinstitut für
gesundheitlichen
Verbraucherschutz und Veterinärmedizin
Thielallee 88-92
D-14195 Berlin
Tel.: +49 30 8412 3383
Fax: +49 30 8412 3894
Dr Lutz ALDER
Wissenschaftlicher Oberrat Bundesinstitut für
gesundheitlichen
Verbraucherschutz und Veterinärmedizin
Postfach 330013, FG 704
D-14195 Berlin
Tel.: +49 30 8412 3377
Fax: +49 30 8412 3685
E-mail: [email protected]
Dr Ursula BANASIAK
Wissenschaftliche Oberrätin
Biolosche Bundesanstalt für Land- und
Forstwirtschaft
Stahnsdorfer Damm 81
D-14532 Kleinmachnow
Tel.: +49 33203 48338
Fax: +49 33203 48425
E-mail: [email protected]
Dr Gabriele TIMME
Bayer AG
Senior Registration Expert
Business Group Crop Protection
Development/Registration
Agrochemical Centre Monheim
D-51368 Leverkussen
Tel.: 00 49 2173 383882
Fax: 00 49 2173 383516
E-mail: [email protected]
Dr. Martin SCHÄFER
Industrieverband Agrar E.V.
Karlstrasse 21
D-60329 Frankfurt/Main
Tel.: +49 69 2556 1599
Fax: +49 69 236702
Dr Gudrun OETKEN
Advisor Pesticide Actions Netwerk
Nernstweg 32-34
D-22765 Hamburg
Tel.: +40 39919100
Fax: +40 3907520
E-mail: [email protected]
GREECE
GRECE
GRECIA
Dr. Chaido LENTZA-RIZOS
Head of Pesticide Residue Laboratory
Ministry of Agriculture
NAGREF, 1,S, Venizelou Str.
GR-14123, Lycovrissi, Athens
Tel.: +30 1 2819019/2819728
Fax: +30 1 2818735
HUNGARY
HONGRIE
HUNGRIA
Dr Katalin MATYASOVSZKY
Head of the Pesticide Residue Department
National Institute for Food-Hygiene and Nutrition
Gyali ut 3-a
1097 Budapest
Tel.: +361 215 4130
Fax: +361 215 1545
Dr Lászlo GYÖRFI
Deputy Director of Plant Hygiene and Soil Conservation Station
of Budapest
Ministry of Agriculture
Budaörsi ùt 141-145
H-1118 Budapest
Tel.: +36 1 309 1020
Fax: +36 1 1246 2960/+36 1246 2956
E-mail: [email protected]
INDIA
INDE
Dr. C.R. SIVADASAN
Senior Scientist (Quality Control)
Ministry of Commerce
Spices Board
Sugandha Bhavan
P.B. No. 2277
Palarivattom P.O.
Cochin - 682025
Tel.: +91 0484 333610 616
Fax: + 91 0484 331429/334429
E-mail: [email protected];
[email protected].
INDONESIA
INDONESIE
Mr. Sumpeno PUTRO
Agricultural Attache
Permanent Mission of the Republic of Indonesia to the European
Communities
Boulevard de la Woluwe 38
B-1200 Brussel
Belgium
Tel.: +32 2 772 8072
Fax: +32 2 772 8190
E-mail: [email protected]
Mrs. Retno MARSUDI
First Secretary
Indonesian Embassy
Tobias Asserlaan 8
2517 KC The Hague
The Netherlands
Tel.: +31 70 310 8123
Fax: +31 70 364 3331
Mr. Andi RAHADIAN
Attache (Economic)
Indonesian Embassy
Tobias Asserlaan 8
2517 KC The Hague
The Netherlands
Tel.: +31 70 310 8122
Fax: +31 70 364 3331
E-mail: [email protected]
IRAN (ISLAMIC REPUBLIC OF)
IRAN (REPUBLIQUE ISLAMIQUE D')
IRAN (REPUBLICA ISLAMICA DEL)
Dr Linda YADEGARIAN HAJI ABADI
Pesicide Residue Laboratory
Pesticide Research Department
Plant, Health and Diseases Research Institute
Chamran Highway, Tabnak Ave., No.1
Teheran
Tel.: +98 21 2402839
Fax: +98 21 2403691
IRELAND
IRLANDE
IRLANDA
Dr Dan O'SULLIVAN
Agricultural Inspector
Pesticide Control Service
Department of Agriculture and Food
Abbotstown, Castleknock
Dublin 15
Tel.: +353 1 607 2614
Fax: +353 1 820 4260
Mr J. QUIGLEY
Senior Chemist
State Laboratory
Abbotstown, Castleknock
Dublin 15
Tel.: +353 1 821 7700
Fax: +353 1 821 7320
ISRAEL
ISRAEL
ISRAEL
Ms Rina ASHKENAZY
Head of Pesticide Registration Division
Ministry of Agriculture
Plant Protection and Inspection Services
P.O Box 78
Bet-Dagan, 50250
Tel.: +972 3 968 1562
Fax: +972 3 968 1507
Dr Rina VARSANO
Head Food Contaminants Section
Ministry of Health
Food Control Administration
P.O. Box 20301
Tel-Aviv 61203
Tel.: +972 3 563 4782/+972 3 5634837
Fax: +972 3 561 954
E-mail: [email protected]
ITALY
ITALIE
ITALIA
Mr. Ciro IMPAGNATIELLO
Ministry of Agriculture
Via XX Settembre, 20
I-00187 Roma
Tel.: +39 6 46656510
Fax: +39 6 4880273
JAPAN
JAPON
Mr Toshiro NAKAGAKI
Deputy Director
Food Chemistry Division
Ministry of Health and Welfare
1-2-2, Kasumigaseki, Chiyoda-ku
Tokyo 100-45
Tel.: +81 3 3595 2341
Fax: +81 3 3501 4868
E-mail: [email protected]
Mr. Hiroki KONDO
Chief, Standards and Labelling Division
Ministry of Agriculture, Forestry and Fisheries
1-2-1, Kasumigaseki
Chiyoda-ku
Tokyo 100
Tel.: +81 3 3501 4094
Fax: +81 3 3502 0438
Mr Tsuyoshi SAKAMOTO
Head of Technical Research Section
Ministry of Agriculture, Forestry and Fisheries
Agricultural Chemicals Inspection Station
2-772 Suzuki-cho
Kodaira/Tokyo
Tel.: +81 4 2383 2151
Fax: +81 4 2385 3361
E-mail: [email protected]
Mr Makoto HIROSE
Deputy Director
Soil and Agricultural Chemicals Division
Waterquality Bureau, Environment Agency
1-2-2, Kasumigaseki
Chiyoda-ku
Tokyo 100-8975
Tel.: +81 3 3580 3173
Fax: +81 3 3593 1438
Mr Toshikazu MIYAKAWA
General Manager
International Japan Grop Protection Association
Nihonbashi Club. 5-8, 1-Chome
Muromachi, Nihonbashi, Chuo-Ku
Tokyo
Tel.: +81 3 3241 0230
Fax: +81 3 3241 3149
E-mail: [email protected]
KENYA
Mr. Richard Otieno SIKUKU
Principal Pesticide analyst
Pesticide Control Products Board
P.O. Box 14733
Nairobi
Tel.: +00 254 2 444388
Fax: +00 254 2 446115
LATVIA
LETTONIE
LETONIA
Mr. Vitalij TITAEVS
National Veterinary Laboratory
3 Lejupes Street
LV-1076 Riga
Latvia
Tel.: +37 176 20526
Fax: +37 176 20526
Dr. Viktors VOLSKIS
National Environmental Health Center
7L Klijánu Street
LV - 1212 Riga
Latvia
Tel.: +3 71 7370611
Fax: +3 71 7339006
E-mail: [email protected]
LIBYAN ARAB JAMAHIRIYA
JAMAHIRIYA ARABE LIBYENNE
JAMAHIRIYA ARABE LIBIA
Mr. Nage Saleh TELISI
Engineer
Technical Department
Universa Inspectorate and Services
20 Via Tripoli
Rome 00199
Italy
Tel.: +39 6 86 21 3651
Fax: +39 6 86 21 3724
MALAYSIA
MALAISIE
MALASIA
Dr Uan Boh CHEAH
Senior Research Officer
Strategic, Environment & Natural Resources
Research Centre
Malaysian Agriculture Research Development Institute
(MARDI)
P.O. Box 12301
50774 Kuala Lumpur
Tel.: +603 9437528
Fax: +603 9487639
E-mail: [email protected]
Mr Mohammad Jaafar AHMAD
PORIM Europe
Brickendonbury, Hertford
Herts. SG13 8NL
United Kingdom
Tel.: +44 1992 554347
Fax: +44 1992 500564
E-mail: [email protected]
Mr Abu Samah ABDUL GHANI
Food Technologist
Food Quality Control Laboratory (Selangor)
Food Division, Ministry of Health
Blok F, Damansara, Jalan Dungon
Kuala Lumpur
Tel.: +603 2540088
MEXICO
MEXIQUE
Mrs Amada VELEZ
Directora de Servicios y Apoyo Tecnico
Guillermo Perez Valenzuela #127
Col. del carmen Coyoacán
Mexico D.F.
Tel.: +525 658 28 28
Fax: +525 658 74 02
MOROCCO
MAROC
MARRUECOS
Mr Mostafa TARHY
Chef de Service Pesticides (LOARC)
Laboratoire Officiel d'Analyses et de Recherches
Chemiques
25 Rue Nichakra Rahal (Ex-Rue de Tours)
Casablanca
Tel.: +212 2 302007/302196/302198
Fax: +212 2 30 1972
E-mail: [email protected]
Mr. Mohamed AMESKANE
Chef du service de la Répression des Fraudes de
Cassablanca
Ministère de l'Agriculture, des Développements
Rural et des Pêches Maritimes
63, Boulevard Lalla Yalout
Casablanca
Tel.: +212 2 310841
Fax: +212 2 310841
NETHERLANDS
PAYS-BAS
PAISES BAJOS
Dr.ir. Henry DE HEER
Senior Official International Phytopharmaceutical
Coordinator
Ministry of Agriculture, Nature Management
and Fisheries
Department of Agriculture
P.O. Box 20401
2500 EK Den Haag
Tel.: +31 70 378 5685
Fax: +31 70 378 6157
E-mail: [email protected]
Dr ir Abraham BOEKESTEIN
Ministry of Agriculture, Nature Management
and Fisheries
RIKILT-DLO
P.O. Box 230
6700 AE Wageningen
Tel.: +31 317 475473
Fax: +31 317 417717
E-mail: [email protected]
Mrs Jossie A. GARTHOFF
Toxicologist (CTB)
Stadsbrink 5
Wageningen
Tel.: 0317 471853
Mrs drs Paula H. VAN HOEVEN-ARENTZEN
Toxicologist,
National Institute of Public
Health and Environment
P.O. Box 1
3720 BA Bilthoven
Tel.: +31 30 2743263
E-mail: [email protected]
Drs M.A.T. KERKHOFF
P.O. Box 114
3130 AC Vlaardingen
Tel.: +31 10 4605098/5659
Fax: +31 10 4605671
E-mail: [email protected]
Dr ir Gijs KLETER
Ministery of Health, Welfare and Sport
Inspector for Health Protection
P.O. Box 5406
2280 HK Rijswijk
Tel.: +31 70 340 6933
Fax: +31 70 340 5435
Drs David G. KLOET
Food Safety Adviser
Ministry of Agriculture, Nature Management
and Fisheries
RIKILT-DLO
P.O. Box 230
6700 AE Wageningen
Tel.: +31 317 475 562
Fax: +31 317 417 717
E-mail: [email protected]
Ir Johan VAN DER LEER
The Greenery/VTGFP
Specialist Product Safety
P.O Box 70588
5201 CZ Den Bosch
Tel.: +31 73 649 9999
Fax: +31 73 649 4400
Mrs ir Monique MELLEMA
Product Board for Horticulture
P.O. Box 90403
2509 LK Den Haag
Tel.: +31 70 304 1234
Fax: +31 70 347 8181
Mrs ir Erica MULLER
Consultant Phytopharmacy,
Ministry of Agriculture, Nature
Management and Fisheries
Plant Protection Service
P.O. Box 9102
6700 HC Wageningen
Tel.: +31 317 496 881
Fax: +31 317 421 701
E-mail: [email protected]
Ir Doeke A. VAN DER SCHAAF
Regulatory Affairs Manager
Pro Agro B.V.
P.O. Box 1180
3600 BD Maarssen
Tel.: +31 3465 52400
Fax: +31 3465 52274
E-mail: [email protected]
Dr Piet VAN ZOONEN
Head of Laboratory
National Institute of Public Health
and the Environment
P.O. Box 1
3720 BA Bilthoven
Tel.: +31 30 274 2876
Fax: +31 30 274 4424
E-mail: [email protected]
NEW ZEALAND
NOUVELLE-ZELANDE
NUEVA ZELANDIA
Mr Bob A. MARTIN
Market Access Manager
Kiwifruit New Zealand
P.O. BOX 9906
Auckland
Tel.: +64 9 367 7538
Fax: +64 9 367 0222
E-mail: [email protected]
Mr David W. LUNN
National Advisor-Residue Standards
Ministry of Agriculture and Forestry
P.O. Box 2526
Wellington
Tel.: +64 4 474 4100
Fax: +64 4 474 4257
E-mail: [email protected]
Dr W.T. William JOLLY
Counsellor (Veterinary Services)
37 Observatory Circle
Washington DC 20084
Tel.: +1 202 328 4861
Fax: +1 202 332 4309
E-mail: [email protected]
NORWAY
NORVEGE
NORUEGA
Mr Joralf PAULSEN
Senior executive officer
P.O.Box 8187.Dep
N-0034 Oslo
Tel.: +47 222 4 6650
Fax: +47 222 4 6699
E-mail: [email protected]
Mr Borge HOLEN
Lab Manager
Osloveilen 1
N-1430 As
Tel.: +47 64 97 0390
Fax: +47 64 97 0387
E-mail: [email protected]
POLAND
POLOGNE
POLONIA
Prof. Jan K. LUDWICKI
Head, Toxicology Department
National Institute of Hygiene
Chocimska str. 24
00-791 Warsaw
Tel.: +48 22 79 7084
Fax: +48 22 49 7484
Ms M.B. Bozena MARTINEK
Pesticide Residue Quality Manager
Institute of Plant Protection
Department of Pesticide Residue Research
Miczurina str. 20
60-824 Pozna?
Tel.: +48 61 86 74841
Fax: +48 61 86 76301
Dr Alicja NIEWIADOWSKA
National Veterinary Research Institute
Department of Pharmacology and Toxicology
Al. Partyzantow 57
24-100 Pukawy
Tel.: +48 81 88 63051 ext. 109
Fax: +48 81 88 62595
E-mail: [email protected]
Mr Wojciech MARTINEK
Chief of laboratory
Agricultural and Food Inspection
Zurawia 32/34
P.O. Box No.25
00-950 Warsaw
Tel.: +48 61 867 90 34
PORTUGAL
Mr Edwin FERNANDES
Head of Residue Evaluation Team
Ministerio de Agricultura
Quinta do Marquês
2780 Oeiras
Tel.: +351 1 441 2822
Fax: +351 1 442 0616
PHILIPPINES
FILIPINAS
Dr Virginia T.D. PACABA
Chief Agriculturist
Laboratory Services Division
Bureau of Plant Industry
692 San Andres, Malate M.M.
Tel.: +63 524 0708
Fax: +63 525 1388
E-mail: [email protected]
REPUBLIC OF KOREA
REPUBLIQUE DE COREE
REPUBLICA DE COREA
Mr Hee Sung AHN
G. Manager
Cosp. Kyung Nong
Dong Oh Bldg
13317-4 Seocho-Dong Seocho-Gu
Seoul 1317-0172
Tel.: +82 2 34174 0670 79
Fax: +82 2 3474 42217
Mr. Young Pyo LEE
Manager
Dongbu Hannong Chemical Co., Ltd
6-13 Nonhyun-Dong Kangnam-Gu
Seoul, 135-010
Tel.: +82 2 3449 2494
Fax: +82 2 548 6181
E-mail: [email protected]
Mr. Kunsang PARK
Researcher
Korea Food and Drug Administration
5 Nokbun Dong, Eungpyng Ku
Seoul 122-704
Tel.: +82 2 380 1674/1675
Fax: +82 2 382 4892
E-mail: [email protected]
Mr Chin-Chan LEE
Deputy director
Ministery of Agriculture and Forest chungang-don, Kwacho,
Kyonggi
Tel.: +82 2 504 7284
Fax: +82 2 509 2306
E-mail: [email protected]
Mr Joong Keun LEE
Senior Researcher
Korea Institute of Food Hygiene
57-1, Noryangjin-Dong, Dongjak-Ku
Seoul, Korea, 156-050
Tel.: +82 2 826 2100 ext. 230
Fax: +82 2 824 1762
E-mail: [email protected]
Mr Geon Jae IM
Pesticide Safety Division
National Institute of Agricultural Science and
Technology
RDA
249 Seodun-dong Suweon 441-100
Tel.: +82 331 290 0504
Fax: +82 331 290 0521
E-mail: [email protected]
Mr Jun Yil YANG
Dong Bu Han-Nong Chem.
6-13 Non Hyeon Dong Gang Nam
Gu, Seoul, Korea
Tel.: +82 2 3449 2119/+82 2 544 9317
Fax: +82 2 548 6181
Dr Yun Hyun YU
Researcher
Project leader of Ginseng Protection
Korea Ginseng & Tobacco Research Inst.
Suwon P.O. Box 59, Kyunggi
Tel.: +82 345 419 4131
Fax: +82 345 419 9434
SLOVAK REPUBLIC
REPUBLICA SLOVAQUE
REPUBLICA ESLOVACA
Dr Jana KOVACICOVÁ
Head of Quality department
Institute of Preventive and Clinical Medicine
Limbová 14
833 01 Bratislava
tel.: 421 7 4379332
fax: 421 7 373906
E-mail: [email protected]
SLOVENIA
SLOVENIE
ESLOVENIA
Dr med Marusa ADAMIC
Head Department of Food and Nutrition
Institute of Public Health of Slovenia
CC Point
Trubarjeva 2
1000 Ljubljana
Tel.: +386 61 1323 245
Fax: +386 61 323 955
SOUTH AFRICA
AFRIQUE DU SUD
SUDAFRICA
Dr J.B. VERMEULEN
Senior Agricultural Management Advisor
Directorate: Agricultural Production Imputs
National Department of Agriculture
Private Bag X343
Pretoria 0001
Tel.: +27 12 319 7303
Fax: +27 12 319 7179
E-mail: [email protected]
Mrs. Wilma JANSEN VAN RIJSSEN
Deputy Director Foodcontrol
Dept. of Health
Private Bag X828
Pretoria 0001
Tel.: +27 12 312 0509
Fax: +27 12 326/4374
E-mail: [email protected]
Mr ANDREW R. RICHARDSON
Manager Techinal Services
Farnham House
Farnham Royal
Slough Sl2 3RQ
Tel.: +44 1753 712360
Fax: +44 1753 818800
E-mail: [email protected]
SPAIN
ESPAGNE
ESPAÑA
Dr Angel YAGUE MARTINEZ DE TEJADA
Jefe del Servicio de Residuos de la
Subdirección General de Sanidad Vegetal
Ministerio de Agricultura, Pesca y
Alimentación
Velázquez 147
28002 Madrid
Tel.: 34 91 34 78273
Fax: 34 91 34 78316
Dr Josefina LOMBARDERO VEGA
Jefa del Departamento de Residuos
de la Subdirección General de Análisis
Ministerio de Agricultura, Pesca y
Alimentación
Paseo Infanta Isabel 1
28071 Madrid
Tel.: 34 91 34 74978
Fax: 34 91 34 74968
Dr Santiago GUTIERREZ DEL ARROYO
Técnico Superior de la Subdirección
General
de Higiene de los Alimentos
Ministerio de Sanidad y Consumo
Paseo del Prado 18-20
28014 Madrid
Tel.: 34 91 5969996
Dr Enrique CELMA
Technical Manager AEPLA
Zeneca Agro
Costa Brava 13
28034 Madrid
Tel.: +34 91 734 4011
Fax: +34 91 735 0180
SWEDEN
SUEDE
SUECIA
Mr Arne ANDERSSON
Chief Government Inspector
National Food Administration
P.O. Box 622
S-751 26 Uppsala
Tel.: +46 18 175641
Fax: +46 18 693321
E-mail: [email protected]
Mr Bengt-Göran ERICSSON
Toxicologist
National Food Administration
P.O. Box 622
S-751 26 Uppsala
Tel.: +46 18 171458
Fax: +46 18 105848
E-mail: [email protected]
Mrs. Ingegärd BERGMAN
Principal Administrative Officer
National Food Administration
Food Standards Division
P.O. Box 622
S-751 26 Uppsala
Tel.: +46 18 175500
Fax: +46 18 105848
E-mail: [email protected]
SWITZERLAND
SUISSE
SUIZA
Dr Claude WÜTHRICH
Head of Section
Federal Office of Public Health
Division of Food Control
Schwarzenburgstrasse 165
CH-3003 Bern
Tel.: +41 31 322 95 69
Fax: +41 31 322 95 74
E-mail: [email protected]
Dr Werner KOBEL
Swiss Society of Chemical Industry
c/o Novartis Crop Protection AG
R1058-7.48
Postfach
CH-4002 Basel
Tel.: +41 61 697 6239
Fax: +41 61 697 5334
E-mail: [email protected]
Mrs P. Danièle MAGNOLATO
Regulatory Affairs Manager
Nestec ltd
55 Av Nestlé
CH-1800 Vevey
Tel.: +41 21 924 44 41
Fax: 41 21 924 45 47
E-mail: [email protected]
Mr Tjakko STIJVE
Head of Contaminants Section
Nestlé/Nestec Ltd
1000 Lausanne 26
Tel.: +41 21 785 8250
Fax: +41 21 785 8553
E-mail: [email protected]
THAILAND
THAÏLANDE
TAILANDIA
Mrs Dr Nuansri TAYAPUTCH
Director
Agricultural Toxic Substances Division
Department of Agriculture
Jatuchak, Bangkok 10900
Tel.: +662 579 3579/662 940 5390
Fax: +662 561 4695
Mr WANCHAI SOMCHIT
Executive Manager
Thai Food Processors Association
170/22 Ocean Tower 1, 9th Floor
New-Rachadapisek Rd, Klontoey
Bangkok 10110
Tel.: +662 261 2684-6
Fax: +662 261 2996-7
Mr Pisan PONGSAPITCH
Standards Officer
Thai Industrial Standards Institute
Ministry of Industry
Rama VI Road
Bangkok 10400
tel.: +66 2 2023348
fax: +66 2 2487987
E-mail: [email protected]
UNITED ARAB EMIRATES
EMIRATS ARABES UNIS
EMIRATOS ARABES UNIDOS
Dr. Mohamed Osman EL-OBEID
Head of Central Food Control Laboratory
Central Food Quality Control Lab.
Al-Ain Municipality
Al-Ain P.O. Box 1003
Tel.: +971 3 624666
Fax: +971 3 636338
Mr Rashed Saleh AL-MEHREZI
Director of Central Lab.
P.O. Box 16054
Al-Ain
Tel.: +971 3 832255
Fax: +971 3 832075
UNITED KINGDOM
ROYAUME-UNI
REINO UNIDO
Mr J.R. MASCALL
Ministry of Agriculture, Fisheries and Food
International Policy Unit
Pesticides Safety Directorate
Mallard House
Kings Pool
3 Peasholme Green
York YO1 2 PX
Tel.: +44 1904 455 759
Fax: +44 1904 455 733
E-mail: [email protected]
Mr. J.A. BAINTON
Ministry of Agriculture, Fisheries and Food
Pesticides Safety Directorate
Mallard House,Kings Pool
3 Peasholme Green
York YO31 7JX
Tel.: +44 1904 455 921
Fax: +44 1904 455 733
Miss L.J.E. Holmes
Ministry of Agriculture, Fisheries and Food
Pesticide Safety Directorate
Mallard House, Kings Pool
3 Peasholme Green
York YO3 7JX
Tel.: +44 1904 455907
Fax: +44 1904 455711
E-mail: [email protected]
Mr Alan R.C. HILL
Sand Hutton
York Y041 ILZ
Tel.: +44 1904 462560
Fax: +44 1904 462111
E-mail: [email protected]
Ms S. O'HAGAN
Senior Scienist
Department of Health
HEF(M) 2 Division
Skipton House
80 London Road
Elephant and Castle
London SE1 6LW
Tel.: +44 171 972 5305
Fax: +44 171 972 5134
E-mail: [email protected]
Mr G.M. TELLING
Food and Drink Federation
c/o Green Endfarm House
Pertenhall
Beds MK44 2AX
Tel.: +44 1480 860 439
Fax: +44 1480 861 739
Mr J.R. COX
Principal Scientist
National Resources Institute
Central Avenue
Chatham Maritime
Kent ME4 4TB
Tel.: +44 1634 88 3896
Fax: +44 1634 88 3232
E-mail: [email protected]
Mr R.R. ROWE
Regulatory Manager
Dow Agro Sciences
Letcombe Laboratory
Letcombe Regis
Wantage
Oxon OX12 9JT
Tel.: +44 1235 77 4734
Fax: +44 1235 77 4749
E-mail: [email protected]
UNITED STATES OF AMERICA
ETATS-UNIS D'AMERIQUE
ESTADOS UNIDOS D'AMERICA
Mr Fred N. IVES
Health Effects Division (H509C)
Office of Pesticide Programs
U.S. Environmental Protection Agency
401 M ST S.W.
Washington D.C. 20460
Tel.: +1 703 305 6378
Fax.: +1 703 305 5147
E-mail: [email protected]
Dr Richard M. PARRY
Assistant Administrator
Agricultural Research Service
U.S. Department of Agriculture
Room 358-A, Administration Bldg.
1400 Independence Ave, SW
Washington DC 20250-0302
Tel.: +1 202 720 3973
Fax: +1 202 720 7549
E-mail: [email protected]
Dr Robert L. Epstein
Associate Deputy Administrator
USDA/AMS Science & Technology
P.O Box 96456
Washington, DC 20090
Tel.: +1 202 720 2158
Fax: +1 202 720 1484
E-mail: [email protected]
Mr Louis J. CARSON
Chemical Contaminants Specialist
FDA/HFS-32
200C Street SW
Washington, DC 20204
Tel.: +1 202 260 3740
Fax: +1 202 260 9653
E-mail: [email protected]
Mr Charles W. COOPER
Director, International Activities Staff (HFS- 585)
Center for Food Safety FDA
200 C Street, S.W.
Washington, D.C. 20204
Tel.: +1 202 205 5042
Fax: +1 202 401 7739
Mrs Carolyn Fillmore WILSON
International Trade Specialist
U.S. Dept. of Agriculture
Foreign Agricultural Service
Food Safety & Technical Services Div.
1400 Independence Ave
Stop 1027
Washington DC 20250
Tel.: +1 202 720 2239
Fax: +1 202 690 0677
E-mail: [email protected]
Dr Stephen R. FUNK, Chemist
Health Effects Division (7509C)
Office of Pesticide Programs
U.S. Environmental Protection Agency
401 M. Street, S.W.
Washington D.C. 20460
Tel.: +1 703 305 5430
Fax.: +1 703 305 5147
E-mail: [email protected]
Ms Ellen Y. MATTEN
Staff Officier
U.S. Codex Office
Food Safety and Inspection Service
US Department of Agriculture
Room 4861 South Building
1400 Independence Ave. S.W.
Washington, DC 20250-3700
Tel.:+1 202 205 7760
Fax: + 1 202 720 3157
E-mail: [email protected]
Dr. Whang PHANG
Toxicologist
Health Effects Division (7509C)
Office of Pesticide Programs
U.S. Environmental Protection Agency
401 M. Street, S.W.
Washington D.C. 20460
Tel.: +1 703 308 2723
Fax.: +1 703 305 5147
E-mail: [email protected]
Mr Paul B. ENGLER
California Citrus Quality Council
3191 Temple Avenue Suite 115
Pomona, California 91768
Tel.: +1 909 595 4549
Fax: +1 909 595 7102
E-mail: [email protected]
Dr Richard D. COSTLOW
Product Development Manager
Rohm and Haas Company
727 Norristown Road
Spring Hoose PA 19477
Tel.: +1 215 641 7331
Fax: +1 215 619 1614
E-mail: [email protected]
Dr John P. FRAWLEY
President, Health & Environment International
Ltd
400 W. 9th Street, Suite 401
Wilmington, Delaware 19809
Tel.: +1 302 426 1717
Fax: +1 302 426 1716
Dr Hugh W. EWART
Vice President, Sci. Affairs
Northwest Horticultural Council
Box 570
Yakima, WA 98907
Tel.: +1 509 453 3193
Fax: +1 509 457 7615
E-mail: [email protected]
Dr Pat BASU
Director, Chemistry & Toxicology Division
Department of Agriculture
Food Safety and Inspection Service
Office of Public Health & Science
Room 6912, Franklin Court Suite
1400 Independence Ave. SW
Washington, DC 20250-3700
Tel.: +202 501 7319
Fax: +202 501 7639
URUGUAY
Dr Ramiro PEDRETTI
Ministerio de Salud Publica
Asesor del Vice-Ministro
Charrva 1873.cp.11.200
Montevideo
Tel.: +598 2 400 4428
Fax: +598 2 409 0431
E-mail: [email protected]
Ing Jorge AGULLA MENONI
Ministerio Salud Pública
Asesor Director General De Salud
P.ASILO 2446 ap.205
Montevideo
Tel.: +598 2 481 41 11
Fax: +598 2 401 38 70
E-mail: [email protected]; [email protected]
INTERNATIONAL ORGANIZATIONS
ORGANISATIONS INTERNATIONALES
ORGANIZACIONES INTERNACIONALES
AOAC INTERNATIONAL
Mr Alan R.C. HILL
Sand Hutton
York YO41 ILZ
United Kingdom
Tel.: +44 1904 462560
Fax: +44 1904 462111
E-mail: [email protected]
CONSUMERS INTERNATIONAL (CI)
Ms Lisa Y. LEFFERTS
Codex Consultant Consumers International
5280 Rockfish Valley Highway
Faber, VA 22938-4001
USA
Tel.: +1 804 361 2420
Fax: +1 804 361 2421
E-mail: [email protected]
Dr Ronald LUIJK
Project Officier
Consumentenbond
PO Box 1000
2500 BA 's-Gravenhage
The Netherlands
Tel.: +31 70 445 4366
Fax: +31 70 445 4595
E-mail: [email protected]
EUROPEAN COMMUNITY (EC)
COMMUNAUTE EUROPEENNE
COMUNIDAD EUROPEA
COMMISSION OF THE EUROPEAN COMMUNITY
Mr Ch. Frank HINSLEY
Principal Administrator
European Commission
Directorate General VI - Agriculture
200 Rue de la Loi
B-1049 Bruxelles
Bureau LOI 86-1/38
Belgium
Tel: +32 2 29 65779
Fax: +32 2 29 65963
E-mail: [email protected]
Dr Leo F. HAGEDOORN
Codex Coordinator European Commission
Rond Point Schuman 11 3/69
Rue de la Loi, 200
B-1049 Brussels
Belgium
Tel: +32 2 29 93149
Fax: +32 2 29 51735
E-mail: [email protected]
COUNCIL OF THE EUROPEAN UNION
Mrs. Christina STÅHLE AGRI B II
General Secretariat of the Council of the European
Union
Rue de la Loi 175
B-1048 Brussels
Belgium
Tel.: +32 2 285 83 57
Fax: +32 2 285 79 28
E-mail: [email protected]
GLOBAL CROP PROTECTION FEDERATION (GCPF)
P. ADRIAN
FMC Europe
Registration Manager
Avenue Louise 480 B9
1050 Brussels
Belgium
Tel.: +32 2 645 9552
Fax: +32 2 640 6286
Dr M. BLISS
Manager, International Registrations
ISK Biosciences Corporation
5966 Heisley Road
P.O. Box 8000
Mentor, Ohio 44061-8000
USA
Tel.: +1 440 357 4152
Fax: +1 440 357 4692
E-mail: [email protected]
Mr M. BUYS
Scientific Advisor
Rhône-Poulenc Agro
Box 9163
FG 9263 Lyon Cedex 09
France
Tel.: +33 472 85 2647
Fax: +33 472 85 2942
Dr Desmond BYRNE
Director, Registror & Registry Affrs.
Tomen Agro Inc.
100 first Street
San Francisco, CA 94115
USA
Tel.: +1 415 536 3465
Fax: +1 415 284 9884
Dr A. DYKSTRA
Registration Manager
Uniroyal Chemical BV
Ankerweg 18
1041 AT Amsterdam
The Netherlands
Tel.: +31 20 587 1860
Fax: +31 20 587 1868
Mr Hirotaka SAKAKIBARA
Rhone-Poulenc Yuka Agro
Rappongi First Bild. 15F
1-9-9 Roppongi Minato-Ku
Tokyo
Tel.: +81 3 5570 6064
Fax: +81 3 5570 6070
Dr George GARDINER
Technial Director
c/o ECPA
6, Ave E. van Nieuwenhuyse
1160 Brussels
Belgium
Tel.: +32 2 663 1559
Fax: +32 2 663 1560
E-mail: [email protected]
Dr R.R. GAUGHAN
Rohm & Haas
Product Regulatory Manager
Rohm and Haas Company
100 Independence Mall West
Philadelphia, PA 19106
USA
Tel.: +1 215 592 3936
Fax: +1 215 592 3414
E-mail: [email protected]
Mr William GRAHAM
Registration Manager
Monsanto
270-272 AVE De Tervuren
1150 Brussels
Belgium
Tel.: +32 2 776 4533
Fax: +44 1 386 710143
E-mail: [email protected]
Dr Bruce G. JULIN
Manager
Du Pont-Belgium
BLDG 3
A. Spinoystraat 6
B-2800 Mechelen
Belgium
Tel.: +32 15 441378
Fax: +32 15 441398
E-mail: [email protected]
Dr M. KAETHNER
Head Dietary Safety Assessment
Novartis Crop Protection
R 1058.800
CH-4002 Basel
Switzerland
Tel.: +41 61 69 72849
Fax: +41 61 69 74966
E-mail: [email protected]
Mr Masaki KUDO
Agriculture Div.
NISSAN Chemical Industries, Ldt.
Manager, Product Safety Evaluations
17-1, 3-chome, Kanda-Nishiki-chd
Chiyoda-Ku, Tokyo
Japan 101-0054
Tel.: +1 81 3 3296 8151
Fax: +1 81 3 3296 8016
Dr James Lee KUNSTMAN
Registration Manager
8400 Hawthorne Road
Kansas City, MO 64120
USA
Tel.: +1 81 6 242 2838
Fax: +1 81 6 242 2738
E-mail: [email protected]
Mr Shigeru MARUYAMA
Sumitomo Chemical Co. Ltd.
5-33 Kitahama, 4-Chome
Chuo-Ku, Osaka
541-8550 Japan
Tel.: +81 6 220 3685
Fax: +81 6 220 3350
Dr Richard J. NIELSSON
Director, Strategic Regulatory Issues
American Cyanamid Company
P.O. Box 400
Princeton, N.J. 08543-0400
USA
Tel.: +1 609 716 2354
Fax: +1 609 716 2333
E-mail: [email protected]
Ms Yuko OKAMOTO
Manager Reg. & Env. Safety
AGR DuPont K.K.
1-8-1, Shimomegro, Meguro
Tokyo, Japan
Tel.: +81 3 5434 6119
Fax: +81 3 5434 6187
E-mail: [email protected]
Dr. Gerhard KEUCK
Documentation
AGREVO
D-65926 Frankfurt/Main
Germany
Tel.: +49 69 305 3785
Fax: +49 69 305 17290
E-mail: [email protected]
Mr David J. OSBORN
Registration Specialist
Uniroyal Chemical Limited
Kennet House
4 Langley Quay
Slough Berkshire SL3 6GEH UK
Tel.: +44 1753 603000
Fax: +44 1753 603077
Dr Ernst-Dieter PICK
Industrieverband Agrar E.V.
Karlstraße 21
D-60329 Frankfurt/M.
Germany
Tel.: +49 69 2556 1283
Fax: +49 69 2367 02
E-mail: [email protected]
Mr Frederick John RAVENEY
Director
Agrilex (UK) LTD
P.O. Box 31
Uckfield TN22 4ZI
England
Tel.: +44 1825 830 332
Fax: +44 1825 830 332
E-mail: [email protected]
Dr Falk R. RITTIG
Manager, Int.l Affairs
BASF
P.O. Box 120
D-67114 Limburgerhof
Germany
Tel.: +49 621 60 27377
Fax: +49 621 60 27701
E-mail: [email protected]
Mr Shigeo T. TAMAGAWA
Assistant Director
3-2-5 Kasumigaseki
Chiyoda-Ku, Tokyo
100-6070 Japan
Tel.: +81 3 3592 4457
Fax: +81 3 3592 4252
Mr Shigeji SUGIMOTO
Assistant Director, Regulatory Affairs
Nippon Soda Co., Ltd.
2-1, 2-Chome, Ohtemachi
Chiyoda-Ku,
100-8165 Tokyo
Tel.: +81 3 3245 6285
Fax: +81 3 3245 6289
Dr David R. TENANT
Principal TAS Environ
31 Dover Street
London W1X 3RA
Tel.: +44 171 629 1955
Fax: +44 171 629 1975
E-mail: [email protected]
Dr Thomas SKRIPSKY
Head Insect Coutrol/Animal Health
R-1058.54
Postfach Novartis AG
CH 4002 Basel
Switzerland
Tel.: +41 61 697 6600
Fax: +41 61 697 5334
E-mail: [email protected]
Dr Janet OLLINGER
Registration Manager
Rohm and Haas
100 Independence Mall West
Philadelphia, PA 19106
USA
Tel.: +1 215 592 3058
Fax: +1 215 592 3414
E-mail: [email protected]
Mr Masao SHIGEMURA
Assistant Manager, Regulatory Affairs Department,
Nihon Nohyaku Co., Ltd.
2-5 Nihonbashi 1-Chome, Chuo-Ku
Tokyo 103-8236
Japan
Tel.: +81 3 3274 3383
Fax: +81 3 3281 2443
Mr Robert J. HISLOP
Representing International Federation of Fruit Juice
Producers
Procter and Gamble Gmbh
Sulzbacher Strasse 40
65823 Schwalbach
Germany
Tel.: +49 6196 89 4962
Fax: +49 6196 89 4476
E-mail: [email protected]
Mr Nobuyuki HASHIZUME
Manager, SDS Biotech
12-7, Higashi Shimbashi 2-Chome
Minato-ku, Tokyo 105
Japan
Tel.: +81 3 3436 7446
Fax: +81 3 3436 0989
Mr Yukiharu TANAKA
Manager, Registration & Regulatory Affairs Group
Tomen Corporation
14-27, Akasaka 2 Chome, Minato-Ku,
Tokyo 107-8677
Tel.: +81 3 3588 7481
Fax: +81 3 3588 9930
E-mail: [email protected]
INTERNATIONAL CO-OPERATIVE ALLIANCE (ICA)
Mr Hiroshi SUZUKI
Japanese Consumers' Cooperative Union
5th Floor, Myojo Building, 3-5-11
Sendagaya, Shibuya, Tokyo
Japan
Tel.: + 81 3 3497 9136
Fax: + 81 3 5474 5542
Mr Yoshikazu NAKAGAWA
Consumers Co-operative Kobe
1-3-23 Okamoto, Higashinada-Ku
Kobe, Japan
Tel.: +81 78 453 0116
Fax: +81 78 453 0185
INSTITUTE OF FOOD TECHNOLOGISTS (IFT)
Dr Chad B. SANDUSKY
Director, Safety and Exposure Assessment
RAS-ENVIRON
4350 North Fairfax Drive
Suite 300
Arlington, VA 22203
Tel.: +703 516 2490
Fax.: +703 516 2590
E-mail: [email protected]
INTERNATIONAL DAIRY FEDERATION (IDF)
FEDERATION INTERNATIONALE DE LAITERIE (FIL)
Ir Louis G.M.Th. TUINSTRA
Representative IDF
Square Vergote
B-1030 Brussels
Belgium
Tel.: +32 2 733 9888
Fax: +32 2 733 0413
E-mail: [email protected]
INTERNATIONAL LIFE SCIENCES INSTITUTE (ILSI)
Mr W. Martin STRAUSS
Director Int. Reg. Org.
Monsanto Company
Suite 105
3025 Winward Plaza
Alpharetta, GA 3005
USA
Tel.: +1 770 667 8600
Fax: +1 770 521 9419
E-mail: [email protected]
INTERNATIONAL TOXICOLOGY INFORMATION CENTRE (ITIC)
Dr G. VETTORAZZI
Paseo Ramón Maria de Lili, 1, 4-D
E-20002 San Sebastian
Spain
Tel: +34 943 32 0455
Fax: +34 943 32 0487
E-mail: [email protected]
John R. WESSEL
Vice President
Health & Environment International, Ltd.
4101 Flintlock Court, Suite 100
Glenelg, Maryland 21737
USA
Tel.: +1 301 854 5161
Fax: +1 301 854 5162
E-mail: [email protected]
Dr Steve SAUNDERS
Frito-Lay Technology Center
7701 Legacy Drive
Plano, Texas 75024-4099
USA
Tel.: +1 972 334 4149
Fax: +1 972 334 6830
E-mail: [email protected]
Dr J. Barbara PETERSEN
Novigen Sciences, Inc.
1730 Rhode Island Atve NW # 1100
Washington, DC 20036
Tel.: +1 202 293 5374
Fax: +1 202 293 5377
E-mail: [email protected]
INTERNATIONAL UNION OF PURE AND APPLIED CHEMICSTRY (IUPAC)
Mr Ken RACKE
Global Regulatory Leader
Dow Agrosciences
9330 Zionsville Road
BLDG 308/2B
Indianapolis, IN 46268
USA
Tel.: +1 317 337 4654
Fax: +1 317 337 4966
E-mail: [email protected]
Ms Sue-Sun WONG
Senior Specialist
11 Kung-Ming Rd, Wufeng
Tachung Hsien
Taiwan
Tel.: +886 4 330 2101/401
Fax: +886 4 332 4738
E-mail: [email protected]
OFFICE INTERNATIONAL DE LA VIGNE ET DU VIN (OIV)
Dr A.P. Dominique TUSSEAU
Scientific secretary-Oenological Commission
Office International de la Vigne et du Vin
c/o CIVC, PB 135
51204 Epernay Cedex
France
Tel.: +33 3 26 511930
Fax: +33 3 26 511957
FOOD AND AGRICULTURE ORGANIZATION OF THE UNITED NATIONS
(FAO)
ORGANISATION DES NATIONS UNIES POUR L'ALIMENTATION ET
L'AGRICULTURE
ORGANIZACIÓN DE LAS NACIONES UNIDAS PARA LA
AGRICULTURA Y LA ALIMENTACIÓN
Dr. A. AMBRUS
FAO Consultant for Joint Secretary to the JMPR
FAO/IAEA Joint Division
Wagramer Strasse 5, P.O. Box 100
A-1400 Vienna, Austria
Tel.: +43 1 20602 6059
Fax: +43 1 20607
E-mail: [email protected]
Correspondence should be addressed to: Joint FAO Secretary to
the JMPR
c/o AGPP, FAO
Viale delle Terme di Caracalla
Rome 00100
Italy
Tel.: +39 6 570 53222/570 55757
Fax: +39 6 570 56347
E-mail: [email protected]
WHO HEALTH ORGANIZATION (WHO)
ORGANISATION MONDIALE DE LA SANTE (OMS)
ORGANIZACION MUNDIAL DE LA SALUD
Dr John L. HERRMAN
Joint Secretary of JMPR
International Programme on Chemical Safety
World Health Organization
1211 Geneva 27
Switzerland
Tel: +41 22 791 3569
Fax: +41 22 791 4848
E-mail: [email protected]
Dr Gerald G. Moy
GEMS/Food Coordination Programme of Food
Safety and Food Aid
IZII Geneva 27
Switzerland
Tel.: +41 22 791 3698
Fax: +41 22 791 4807
E-mail: [email protected]
Mrs S.A. Stella DENLOYE
WHO Intern
P.O. Box 1
3720 BA Bilthoven
The Netherlands
Tel.: +31 30 274 2876
E-mail: [email protected]
JOINT FAO/WHO SECRETARIAT
Dr Y. YAMADA
Food Standards Officer
Joint FAO/WHO Food Standards Programme FAO
Via delle Terme di Caracalla
00100 Rome, Italy
Tel.: +39 6 5705 5443
Fax: +39 6 5705 4593
E-mail: [email protected]
Dr. J. MASKELIUNAS
Food Standards Officer
Joint FAO/WHO Food Standards Programme FAO
Via delle Terme di Caracalla
00100 Rome, Italy
Tel.: +39 6570 53967
Fax: +39 6570 54593
E-mail: [email protected]
NETHERLANDS SECRETARIAT
SECRETARIAT PAYS-BAS
SECRETARIA PAISES-BAJOS
Drs J.W. DORNSEIFFEN
Ministry of Health, Welfare and Sport
Directorate of Public Health
P.O. Box 5406
2280 HK Rijswijk
The Netherlands
Tel.: +31 70 3406961
Fax: +31 70 3405177
E-mail: [email protected]
Drs R. HITTENHAUSEN-GELDERBLOM
Ministry of Health, Welfare and Sport
Inspectorate for Health Protection
Hoogte Kadijk 401
1018 BK Amsterdam
The Netherlands
Tel.: 020-6237525
E-mail: [email protected]
Drs N.B. LUCAS LUIJCKX
Ministry of Health, Welfare and Sport
Directorate of Public Health
P.O. Box 5406
2280 HK Rijswijk
The Netherlands
ir R. TOP
Ministry of Health, Welfare and Sport
Directorate of Public Health
P.O. Box 5406
2280 HK Rijswijk
The Netherlands
Ms Sue BAKER
Ministry of Health, Welfare and Sport
Directorate of Public Health
P.O. Box 5406
2280 HK Rijswijk
The Netherlands
Mr W. BUITENWEG
Ministry of Health, Welfare and Sport
Directorate of Public Health
P.O. Box 5850
2280 HW Rijswijk
The Netherlands
Ms Anneke CORTENBACH
Ministry of Health, Welfare and Sport
Directorate of Public Health
P.O. Box 5406
2280 HK Rijswijk
The Netherlands
ir P.D.A. OLTHOF
Ministry of Health, Welfare and Sport
Directorate of Public Health
P.O. Box 5406
2280 HK Rijswijk
The Netherlands
Tel.: +31 70 3406955
Fax: +31 70 3405177
E-mail: [email protected]
Mrs. T.P. POEPON
Ministry of Health, Welfare and Sport
Directorate of Public Health
P.O. Box 5406
2280 HK Rijswijk
The Netherlands
Mrs. K.A. SCHENKEVELD
Ministry of Health, Welfare and Sport
Directorate of Public Health
P.O. Box 5406
2280 HK Rijswijk
The Netherlands
Tel.: +31 70 3405188
Fax: +31 70 3405177
E-mail: [email protected]
|
|
Producto |
LMR (mg/kg) |
|
|
|
17 |
CLORPIRIFOS |
|
|
|
|
FC 1 |
Frutos cítricos |
2 |
|
(a) |
|
|
|
|
|
|
|
31 |
DIQUAT |
|
|
|
|
AL 1020 |
Forraje seco de alfalfa |
100 |
|
|
|
VD 71 |
Frijoles (secos) |
0,2 |
|
|
|
AL 1023 |
Trebol |
50 |
|
|
|
VD 533 |
Lentejas (secas) |
0,2 |
|
|
|
GC 645 |
Maíz |
0,05 |
(*) |
(a) |
|
GC 647 |
Avena |
2 |
|
|
|
VD 72 |
Guisantes (arvejas) (secos) |
0,2 |
|
|
|
VR 589 |
Patatas (papas) |
0,05 |
|
(a) |
|
PM 110 |
Carne de aves |
0,05 |
(*) |
|
|
PO 111 |
Despojos comestibles de aves de corral |
0,05 |
(*) |
|
|
GC 649 |
Arroz |
10 |
|
(a) |
|
CM 649 |
Arroz descascarado |
1 |
|
(a) |
|
VD 541 |
Soja (seca) |
0,2 |
|
|
|
SO 702 |
Semillas de girasol |
1 |
|
(a) |
|
OC 172 |
Aceites vegetales sin refinar |
0,05 |
(*) |
(a) |
|
CF 1211 |
Harina de trigo |
0,5 |
|
(a) |
|
|
|
|
|
|
|
51 |
METIDATION |
|
|
|
|
FB 269 |
Uvas |
1 |
|
(a) |
|
FP 230 |
Peras |
1 |
|
(a) |
|
|
|
|
|
|
|
59 |
PARATION-METILO |
|
|
|
|
VB 400 |
Brécoles |
0,2 |
|
(a) |
|
VB 41 |
Coles arrepolladas |
0,2 |
|
(a) |
|
CM 649 |
Arroz descascarado |
1 |
|
|
|
|
|
|
|
|
|
112 |
FORATO |
|
|
|
|
VR 589 |
Patatas, papas |
0,2 |
|
|
|
|
|
|
|
|
|
178 |
BIFENTRIN |
|
|
|
|
GC 640 |
Cebada |
0,05 |
(*) |
|
|
GC 645 |
Maíz |
0,05 |
(*) |
|
|
|
|
|
|
|
|
192 |
FENARIMOL |
|
|
|
|
AB 226 |
Pulpa de manzana, seca |
5 |
|
|
|
MO 1280 |
Riñones de vacuno |
0,02 |
(*) |
|
|
MO 1281 |
Hígado de vacuno |
0,05 |
|
|
|
MM 812 |
Carne de vacuno |
0,02 |
(*) |
|
|
DF 269 |
Uvas pasas (= Grosellas, pasas y "sultanas") |
0,2 |
|
|
|
FB 269 |
Uvas |
0,3 |
|
|
|
FS 247 |
Melocotones (duraznos) |
0,5 |
|
|
|
VO 445 |
Pimientos dulces |
0,5 |
|
|
|
FP 9 |
Frutas pomaceas |
0,3 |
|
|
(*) En el límite de determinación o próximo al mismo.
(a) Proyecto Revisado de Límite Máximo para Residuo de Plaguicida
1. OBJETIVO
2. PRINCIPIOS
3. PROCEDIMIENTOS DE MUESTREO
4. CRITERIOS PARA DETERMINAR LA CONFORMIDAD
Cuadro 1. Número mínimo de muestras primarias que han de tomarse de un lote
Cuadro 2. Número de muestras primarias seleccionadas al azar necesario para una probabilidad determinada de detectar por lo menos una no conformidad en un lote de productos cárnicos
Cuadro 3. Productos cárnicos: descripción de las muestras primarias y tamaño mínimo de las muestras de laboratorio
Cuadro 4. Productos de origen vegetal: descripción de las muestras primarias y tamaño mínimo de las muestras de laboratorio
Cuadro 5. Productos a base de huevo y productos lácteos: descripción de las muestras primarias y tamaño mínimo de las muestras de laboratorio
Anexo I. DEFINICION DE LOS TERMINOS
Anexo II. REPRESENTACION ESQUEMATICA DEL MUESTREO
REFERENCIAS
El objetivo de estos procedimientos de muestreo es que se pueda obtener una muestra representativa de un lote para realizar un análisis, con el fin de determinar su conformidad con los límites máximos para residuos (LMR) del Codex.
2.1 Los LMR del Codex tienen como finalidad principal asegurar unas buenas prácticas en el uso de plaguicidas, y se suelen fijar en el nivel apropiado necesario para reducir al mínimo la exposición de los animales y los consumidores y proteger los cultivos, alimentos y piensos.
2.2 Los LMR del Codex para plantas, huevos o productos lácteos tienen en cuenta el nivel máximo que se prevé pueda contener una muestra compuesta, obtenida de varias unidades del producto tratado, con objeto de que represente el promedio de las unidades de un lote. Los LMR para productos cárnicos tienen por lo general en cuenta el nivel máximo que se prevé puedan contener los tejidos de distintos animales o aves tratados
2.3 En consecuencia, los LMR para productos cárnicos se aplican a una muestra a granel procedente de una sola muestra primaria, mientras que los LMR para productos de origen vegetal, huevos y productos lácteos se aplican a una muestra a granel compuesta, procedente de 1 a 10 muestras primarias.
Notas.
a) Los términos utilizados se definen en el Anexo I y los procedimientos se exponen esquemáticamente en el Anexo II.3.1 Precauciones que han de adoptarseb) Si es preciso podrán adoptarse las recomendaciones de la ISO para el muestreo de cereales1, o de otros productos transportados a granel.
Deberán evitarse la contaminación y el deterioro de las muestras en todas las fases, ya que podrían afectar a los resultados analíticos. Deberán tomarse muestras por separado de cada lote cuya conformidad haya de comprobarse.
3.2 Recogida de muestras primarias
En el Cuadro 1 se determina el número mínimo de muestras primarias que han de tomarse de un lote. Cada muestra primaria se tomará de un lugar del lote elegido al azar, en la medida de lo posible. Las muestras primarias deberán contener material suficiente para proporcionar la muestra o muestras de laboratorio necesarias procedentes del lote.
Notas. a) En las recomendaciones de la ISO se describen los instrumentos de muestreo necesarios para los cereales1, las legumbres2 y el té3, mientras que las normas de la FIL describen los necesarios para los productos lácteos4.3.3 Preparación de la muestra a granel
3.3.1 Procedimiento para la carne y productos cárnicos (Cuadro 3)
Cada muestra primaria se considera una muestra a granel independiente y deberá mezclarse perfectamente, en la medida de lo posible.
3.3.2 Procedimiento para los productos de origen vegetal, huevos o productos lácteos (Cuadros 4 y 5)
Las muestras primarias se combinarán y mezclarán perfectamente para formar la muestra a granel.
3.3.3 Procedimiento alternativo cuando el mezclado para obtener una muestra a granel es inapropiado o poco práctico.
Cuando los procesos de mezcla o su división pudieran causar daños en las unidades (y por tanto afectar a los residuos), o cuando las unidades son grandes y no pueden mezclarse para obtener una distribución más uniforme de los residuos, las unidades podrán asignarse aleatoriamente a muestras repetidas de laboratorio en el momento de tomar las muestras primarias. En este caso, la muestra a granel es la suma conceptual de las muestras de laboratorio analizadas.
3.4 Preparación de la muestra de laboratorio
Cuando la muestra a granel sea mayor que la necesaria para una muestra de laboratorio, se dividirá para obtener una porción representativa. Podrá utilizarse un instrumento de muestreo, un sistema de división y cuatro partes u otro procedimiento apropiado de reducción del tamaño, pero no deberán cortarse o dividirse las unidades de productos de origen vegetal frescos o los huevos enteros. Cuando sea necesario, se tomarán en esta fase muestras repetidas de laboratorio o podrán prepararse tal como se indica en el párrafo 3.3.3 supra. En los Cuadros 3 y 4 se indican los tamaños mínimos necesarios para las muestras de laboratorio.
3.5 Registro del muestreo
El funcionario encargado del muestreo deberá hacer constar la naturaleza y el origen del lote; el propietario, proveedor o transportador del mismo; la fecha y lugar del muestreo; y cualquier otra información pertinente. Deberá consignarse cualquier desviación respecto del método de muestreo recomendado. A cada muestra repetida de laboratorio deberá adjuntarse una copia firmada del registro, mientras que otra quedará en poder del funcionario encargado del muestreo.
3.6 Envasado y transmisión de muestras de laboratorio
La muestra de laboratorio deberá colocarse en un recipiente limpio e inerte que ofrezca protección suficiente contra la contaminación, daños y pérdidas. Se deberá cerrar herméticamente el recipiente, adjuntar el registro del muestreo y enviar la muestra al laboratorio lo antes posible. Se deberá evitar el deterioro durante el trayecto; por ejemplo, las muestras frescas deberán mantenerse refrigeradas y las congeladas deberán permanecer congeladas. Las muestras de productos cárnicos se congelarán con anterioridad al envío, a menos que se transporten al laboratorio antes de que puedan deteriorarse.
3.7 Preparación de la muestra analítica
Se asignará a la muestra de laboratorio un identificador exclusivo que se añadirá al registro de la muestra, junto con la fecha de recepción y el tamaño de la muestra. La parte del producto que haya de analizarse5,6, es decir la muestra analítica, se separará lo antes posible. Cuando haya que calcular el nivel de residuos incluyendo partes que no se analizan, se hará constar el peso de las partes por separado.
3.8 Preparación y almacenamiento de la porción analítica.
La muestra analítica se triturará, si procede, y se mezclará perfectamente, para que se puedan extraer porciones analíticas representativas. El método de análisis y la eficiencia del mezclado determinarán el tamaño de la porción analítica. Los métodos utilizados para triturar y mezclar no deberán afectar a los residuos presentes en la muestra analítica. Cuando proceda, la muestra analítica se deberá procesar en condiciones especiales, por ej. a temperaturas inferiores a -0°C, para reducir al mínimo los efectos negativos Cuando exista la probabilidad de que los residuos se vean afectados y en caso de que no se disponga de métodos prácticos alternativos, la porción analítica podrá estar constituida por unidades enteras o pedazos tomados de unidades enteras. Por consiguiente, si la porción analítica está constituida por pocas unidades o pedazos, no es probable que sea representativa de la muestra analítica y deberán analizarse por separado suficientes porciones, a fin de indicar la incertidumbre del valor mediano. Si las porciones analíticas han de almacenarse antes del análisis, el método y la duración del almacenamiento no deberán afectar al nivel de residuos presentes. De ser necesario se deberán extraer porciones adicionales para realizar análisis repetidos y de confirmación.
4.1 Los resultados analíticos deberán obtenerse de muestras que se encontraban en condiciones idóneas para el análisis, y deberán ser corroborados por datos aceptables sobre control de la calidad (por ej.: relativos a la calibración de instrumentos y a la recuperación de plaguicidas. Véase Volumen 2, Sección 4.2 del Codex Alimentarius, "Directrices sobre buenas prácticas de laboratorio en el análisis de residuos de plaguicidas"). Los resultados no deberán corregirse con miras a la recuperación. Cuando se compruebe que un residuo excede de un LMR, se confirmará su identidad y su concentración mediante el análisis de una más porciones analíticas adicionales.
4.2 El LMR del Codex se aplicará a la muestra a granel.
4.3 El lote se ajusta al LMR del Codex cuando el resultado o resultados del análisis no superen el LMR.
4.4 Cuando los resultados obtenidos con la muestra a granel excedan del LMR, la decisión de que el lote no es conforme deberá tener en cuenta: i) los distintos resultados obtenidos a partir de muestras de laboratorio aplicadas o porciones analíticas replicadas, según proceda, ii) la exactitud y precisión del análisis, indicadas por los datos justificativos del control de la calidad.
|
|
Número mínimo de muestras primarias que han de tomarse
de un lote |
||
|
a) Productos cárnicos |
|
|
|
|
|
lote no sospechoso |
1 |
|
|
lote sospechoso |
16-30 aproximadamente |
(véase nota(i) infra) |
|
|
b) Productos de origen vegetal, huevos y productos lácteos |
|
|
|
|
|
i) Productos, envasados o a granel, que pueden considerarse bien mezclados
u homogéneos |
1 |
véase nota (d) en la definición del lote, Anexo 1 |
|
ii) Productos, envasados o a granel, que pueden no estar bien mezclados
o no ser homogéneos |
|
véase nota(ii) infra |
|
|
o bien: |
|
|
|
|
|
Peso del lote, en kg. |
|
|
|
< 50 |
|
3 |
|
|
50 - 500 |
|
5 |
|
|
> 500 |
|
10 |
|
|
ó |
|
|
|
|
|
Número de latas, cajas u otros recipientes del lote |
|
|
|
1-25 |
|
1 |
|
|
26-100 |
|
5 |
|
|
> 100 |
|
10 |
|
i) Si no se puede determinar mediante una inspección visual la localización de las unidades contaminadas dentro de un lote de productos cárnicos o lácteos, el número de muestras que habrán de tomarse del lote sospechoso dependerá del grado de confianza necesario (véase el Cuadro 2).ii) Para los productos integrados por unidades grandes, únicamente en la categoría A, el número mínimo de muestras primarias debe ser conforme al número mínimo de unidades que se requiere para la muestra de laboratorio (véase el Cuadro 4)
|
Incidencia de los residuos infractores en el
lote |
Número mínimo de muestras (n0)
necesarias para detectar residuos infractores con una probabilidad
del: |
||
|
% |
90% |
95% |
99% |
|
90 |
1 |
- |
2 |
|
80 |
- |
2 |
3 |
|
70 |
2 |
3 |
4 |
|
60 |
3 |
4 |
5 |
|
50 |
4 |
5 |
7 |
|
40 |
5 |
6 |
9 |
|
35 |
6 |
7 |
11 |
|
30 |
7 |
9 |
13 |
|
25 |
9 |
11 |
17 |
|
20 |
11 |
14 |
21 |
|
15 |
15 |
19 |
29 |
|
10 |
22 |
29 |
44 |
|
5 |
45 |
59 |
90 |
|
1 |
231 |
299 |
459 |
|
0,5 |
460 |
598 |
919 |
|
0,1 |
2302 |
2995 |
4603 |
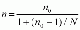
a) El cuadro se basa en el supuesto de un muestreo aleatorio.b) Cuando el número de muestras primarias indicado en el Cuadro 2 es un 10% aproximadamente superior a las unidades en el lote total, el número de muestras primarias podrá ser menor y deberá calcularse del modo siguiente:
donde
n = número mínimo de muestras primarias que habrán de tomarsec) Cuando se toma una sola muestra primaria, la probabilidad de detectar una infracción es igual a la incidencia de los residuos infractores.
n0 = número de muestras primarias indicado en el Cuadro 2
N = número de unidades en el lote que pueden constituir una muestra primariad) Este Cuadro no deberá utilizarse para determinar la probabilidad de detectar una infracción en un lote de productos de origen vegetal. Dado que para estos productos se preparan muestras compuestas, para determinar la probabilidad ha de conocerse la distribución estadística de los residuos en el lote.
|
Clasificación de los productos |
Ejemplos |
Naturaleza de las muestras primarias que han de tomarse |
Tamaño mínimo de cada muestra de laboratorio |
|
|
Categoría B, Productos alimenticios primarios de origen animal |
||||
|
1. |
Carnes de mamíferos, tipo 06, grupo 030 |
|
|
|
|
Nota: para hacer cumplir los LMR de plaguicidas liposolubles, se tomarán
las muestras según la sección 2 infra. |
||||
|
1.1 |
Mamíferos grandes, canales enteras o medias canales, habitualmente
de 10 kg. o más |
vacunos |
diafragmas enteros o partes de diafragma, complementados con músculo
cervical, cuando sea necesario |
0,5 kg. |
|
1.2 |
Mamíferos pequeños canales enteras |
conejos |
canales enteras o cuartos traseros |
0,5 kg. después de quitar la piel y los huesos |
|
1.3 |
Partes de carnes de mamíferos, frescas/refrigeradas/congeladas
envasadas o no |
cuartos |
unidades enteras, o bien una porción de una unidad grande |
0,5 kg. después de quitar los huesos |
|
1.4 |
Partes de carne de mamíferos, congeladas a granel |
cuartos |
o bien una sección transversal congelada de un recipiente
ó la totalidad (o porciones) de partes de carnes |
0,5 kg., después de quitar los huesos |
|
2. |
Grasas de mamíferos, incluidas grasas de canal, tipo 06,
grupo 031 |
|||
|
Nota: las muestras de grasa extraídas como se indica en 2.1, 2.2
y 2.3 se podrán utilizar para determinar la conformidad de la grasa
o del producto entero con los LMR correspondientes |
||||
|
2.1 |
Mamíferos grandes, en el momento del sacrificio, canales enteras
o medias canales |
vacunos |
grasa renal, abdominal o subcutánea de un solo animal |
0,5 kg. |
|
2.2 |
Mamíferos pequeños, en el momento del sacrificio, canales
enteras o medias canales |
|
grasa abdominal o subcutánea de uno o más animales |
0,5 kg. |
|
2.3 |
Partes de carnes de mamíferos |
patas |
o bien grasa visible, recortada de una o varias unidades |
0,5 kg. |
|
|
|
ó una o varias unidades enteras o porciones de una
o varias unidades enteras, cuando la grasa no sea recortable |
2 kg. |
|
|
2.4 |
Tejido adiposo de mamíferos a granel |
- |
unidades tomadas con un instrumento de muestreo en 3 lugares como mínimo |
0,5 kg. |
|
Categoría B, productos alimenticios primarios de origen animal |
||||
|
3. |
Despojos de mamíferos, tipo 06, grupo 032 |
|
|
|
|
3.1 |
Hígado de mamíferos, fresco/refrigerado/congelado |
- |
hígado o hígados enteros, o parte de hígado |
0,4 kg. |
|
3.2 |
Riñón de mamíferos fresco/refrigerado/congelado |
- |
1 o ambos riñones de uno o más animales |
0,20 kg. |
|
3.3. |
Corazón de mamíferos, fresco/refrigerado/congelado |
- |
corazón o corazones enteros, o sólo porción del
ventrículo, si éste es grande |
0,4 kg. |
|
3.4 |
Otros despojos de mamíferos, frescos/refrigerados/congelados |
tripas sesos |
parte o unidad entera de uno o más animales, o sección
transversal tomada del producto congelado a granel |
0,5 kg. |
|
4. |
Carne de aves, tipo 07, grupo 036 |
|||
|
Nota: para hacer cumplir los LMR de plaguicidas liposolubles, se tomarán
las muestras según la sección 5 infra |
||||
|
4.1 |
Aves, canales de tamaño grande |
Pavos |
muslos, patas y otras partes de carne oscura |
0,5 kg. después de quitar la piel y los huesos |
|
4.2 |
Aves, canales de tamaño medio 500 g-2 kg. |
Patos |
muslos, patas u otras partes de carne oscura de 3 aves como mínimo |
0,5 kg. después de quitar la piel y los huesos |
|
4.3 |
Aves, canales de tamaño pequeño canales <
500 g |
codornices |
canales de 6 aves como mínimo |
0,20 kg. de tejido muscular |
|
4.4 |
Partes de aves frescas/refrigeradas/congeladas, envasadas al por
menor o al por mayor |
patas cuartos |
unidades envasadas, o partes individuales |
0,5 kg. después de quitar la piel y los huesos |
|
Categoría B, Productos alimenticios primarios de origen animal |
||||
|
5. |
Grasas de aves, incluida grasa de canales, tipo 07, grupo 037
|
|||
|
Nota: las muestras de grasa extraídas como se indica en 5.1 y
5.2 se podrán utilizar para determinar la conformidad de la grasa
o del producto entero con los LMR correspondientes |
||||
|
5.1 |
Aves, en el momento del sacrificio, canales enteras o partes de canales |
pollos |
unidades de grasa abdominal de 3 aves como mínimo |
0,5 kg. |
|
5.2 |
Partes de carne de aves |
patas |
o bien grasa visible, recortada de una o varias unidades |
0,5 kg. |
|
|
|
o bien una o varias unidades enteras o porciones de una
o varias unidades enteras, cuando la grasa no sea recortable |
2 kg. |
|
|
5.3 |
Tejido adiposo de aves a granel |
- |
unidades tomadas con un instrumento de muestreo en 3 lugares como mínimo |
0,5 kg. |
|
6. |
Despojos de aves, tipo 07, grupo 038 |
|
|
|
|
6.1 |
Despojos de aves comestibles, excepto el hígado graso de gansos
y patos y productos similares de alto valor |
|
unidades de 6 aves como mínimo, o sección transversal tomada
de un recipiente |
0,2 kg. |
|
6.2 |
Hígado graso de gansos y patos y productos similares de alto
valor |
|
unidad de un ave o recipiente |
0,05 kg. |
|
Categoría E, Alimentos elaborados de origen animal |
||||
|
7. |
Productos alimenticios secundarios de origen animal, tipo 16, grupo 080 carnes secas Productos derivados comestibles de origen animal, tipo 17, grupo 085 grasas animales elaboradas Alimentos manufacturados (de un solo ingrediente) de origen animal, tipo 18 Alimentos manufacturados (de varios ingredientes) de origen animal,
tipo 19 |
|||
|
7.1 |
Productos de mamíferos o aves, triturados, cocinados, enlatados,
deshidratados, fundidos o elaborados de otro modo, incluidos productos
de varios ingredientes |
jamón |
unidades envasadas, o sección transversal representativa de un
recipiente, o bien unidades (incluidos jugos, si los hay) tomadas
con un instrumento de muestreo |
0,5 kg. ó 2 kg. si el contenido de grasa es inferior
al 5% |
Los productos se clasifican de conformidad con el Codex Alimentarius5.Para determinar el número de muestras primarias necesarias, véase el Cuadro 1.
|
Clasificación de los productos |
Ejemplos |
Naturaleza de las muestras primarias que han de tomarse |
Tamaño mínimo de cada muestra de laboratorio |
|
|
Categoría A, Productos alimenticios primarios de origen vegetal |
||||
|
1. |
Todas las frutas, tipo 1, grupos 001-008 |
|||
|
1.1 |
Productos frescos de tamaño pequeño, unidades
generalmente < 25g |
varias bayas |
unidades enteras, envasadas, o tomadas con un instrumento de muestreo |
1 kg. |
|
1.2 |
Productos frescos de tamaño medio, unidades de 25-250 g,
generalmente |
manzanas |
unidades enteras |
1 kg. |
|
1.3 |
Productos frescos de tamaño grande, generalmente unidades
>250 g |
coles |
unidades enteras |
2 kg. |
|
2. |
Legumbres, tipo 2, grupo 015 |
soja |
|
1 kg. |
|
Cereales en grano, tipo 3, grupo 020 |
arroz, trigo |
|
1 kg. |
|
|
Nueces de árbol, tipo 4, grupo 022 |
excepto cocos |
|
1 kg. |
|
|
Semillas oleaginosas, tipo 4, grupo 023 |
maní (cacahuete) |
|
500 g |
|
|
Semillas para la fabricación de bebidas dulces, tipo 4,
grupo 024 |
café en grano |
|
500 g |
|
|
3. |
Hierbas aromáticas, tipo 5, grupo 027 |
perejil fresco |
unidades enteras |
0,5 kg. |
|
|
otros productos frescos |
|
0,2 kg. |
|
|
(para las hierbas aromáticas secas véase: Categoría
D, tipo 12, en la sección 5 de este Cuadro) |
|
|
|
|
|
Especias, tipo 5, grupo 028 |
secas |
unidades enteras o tomadas con un instrumento de muestreo |
0,1 kg. |
|
|
Categoría C, Productos forrajeros primarios |
||||
|
4. |
Productos forrajeros primarios de origen vegetal, tipo 11 |
|||
|
4.1 |
Leguminosas forrajeras y otras forrajes y piensos |
|
unidades enteras o tomadas con un instrumento de muestreo |
1 kg. |
|
4.2 |
Paja, heno y otros productos secos |
|
unidades tomadas con un instrumento de muestreo |
0,5 kg. |
|
Categoría D, Alimentos elaborados de origen vegetal |
||||
|
5. |
Productos alimenticios secundarios de origen vegetal, tipo 12, frutos secos, hortalizas, hierbas aromáticas, productos de cereales molidos Productos derivados de origen vegetal, tipo 13, tés, aceites vegetales, zumos (jugos), subproductos para pienso y productos varios Alimentos manufacturados (de un solo ingrediente) de origen vegetal, tipo 14. Alimentos manufacturados (de varios ingredientes) de origen vegetal,
tipo 15, incluidos los productos con ingredientes de origen animal en
los que predomina(n) el(los) ingrediente(s) de origen vegetal, y grupo
078, panes. |
|||
|
5.1 |
Productos de alto valor unitario |
|
unidades envasadas o tomadas con un instrumento de muestreo |
0,1 kg.* |
|
5.2 |
Productos sólidos de baja densidad a granel |
lúpulo |
unidades envasadas o tomadas con un instrumento de muestreo |
0,2 kg. |
|
5.3 |
Otros productos sólidos |
pan |
unidades envasadas u otras enteras, o tomadas con un instrumento de muestreo |
0,5 kg. |
|
5.4 |
Productos líquidos |
aceites vegetales |
unidades envasadas o tomadas con un instrumento de muestreo |
0,5 l ó 0,5 kg. |
|
* De un producto de valor extraordinariamente elevado podrá tomarse
una muestra de laboratorio más pequeña, pero el motivo de
ello deberá anotarse en el registro de muestreo. |
||||
Los productos se clasifican de conformidad con el Codex Alimentarius5.Para determinar el número de muestras primarias necesarias, véase el Cuadro 1.
|
Clasificación de los productos |
Ejemplos |
Naturaleza de las muestras primarias que han de tomarse |
Tamaño mínimo de cada muestra de laboratorio |
||||||
|
Categoría B, Productos alimenticios primarios de origen animal |
|||||||||
|
1. |
Huevos de aves, tipo 7, grupo 039 |
||||||||
|
1.1 |
Huevos, excepto los de codornices y aves similares, enteros o en distintas
porciones |
huevos enteros o unidades tomadas con un instrumento de muestreo |
12 huevos de gallina enteros, 6 huevos de ganso o pato enteros |
||||||
|
1.2 |
Huevos de codornices y aves similares |
huevos enteros |
24 huevos enteros |
||||||
|
Categoría E, Alimentos elaborados de origen animal |
|||||||||
|
2. |
Productos alimenticios secundarios de origen animal, tipo 16, grupo 082 leches desnatadas, leches evaporadas y leches en polvo Productos derivados comestibles de origen animal, tipo 17, grupo 086 grasas lácteas, grupo 087 mantequillas, aceites de mantequilla, natas (cremas), natas (cremas) en polvo, caseínas, etc. Alimentos manufacturados (de un solo ingrediente) de origen animal, tipo 18, grupo 090 Alimentos manufacturados (de varios ingredientes) de origen animal,
tipo 19, grupo 092 (incluidos productos con ingredientes de origen vegetal
en los que predomina(n) el(los) ingrediente(s) de origen animal |
||||||||
|
2.1 |
Lechas líquidas, leches en polvo, leches y natas (cremas) evaporadas,
natas (cremas), helados a base de productos lácteos, yogures |
unidades envasadas o tomadas con un instrumento de muestreo |
0,5 l (producto líquido) ó 0,5 kg. (producto
sólido) |
||||||
|
Notas. i) Las leches y natas (cremas) evaporadas a granel deberán mezclarse perfectamente antes del muestreo, raspando el material adherido a los lados y en el fondo de los recipientes y agitando bien. Antes de tomar la muestra de laboratorio se extraerán unos 2 ó 3 litros, volviendo a agitar bien los recipientes.
|
|||||||||
|
2.2 |
Mantequilla y aceites de mantequilla |
mantequilla, mantequilla de suero, emulsiones para untar de bajo contenido
de grasa, que contienen grasa de mantequilla, aceite de mantequilla deshidratada,
grasa de leche deshidratada |
unidades enteras o partes de unidades envasadas, o bien unidades tomadas
con un instrumento de muestreo |
0,2 kg. ó 0,2 l |
|||||
|
Nota. Se tomarán muestras de mantequilla a granel con un mínimo
de dos núcleos. Las pastillas o rollos > 250 g se dividirán
en 4 partes y se tomarán como unidades los cuartos opuestos. |
|||||||||
|
2.3 |
Quesos, incluidos quesos elaborados |
||||||||
|
unidades de 0,3 kg. o más grandes |
|
unidades enteras o tomadas con un instrumento de muestreo |
0,5 kg. |
||||||
|
unidades < 0,3 kg. |
|
unidades enteras o tomadas con un instrumento de muestreo |
0,3 kg. |
||||||
|
Notas. Las muestras de queso con una base circular se tomarán
haciendo dos cortes radiales desde el centro. Las muestras de quesos con
una base rectangular se tomarán haciendo dos cortes paralelos a
los lados |
|||||||||
|
2.4 |
Productos a base de huevo líquidos, congelados o desecados |
|
unidades tomadas de manera aséptica con un instrumento de muestreo |
0,5 kg. |
|||||
Los productos se clasifican de conformidad con el Codex Alimentarius5.Para determinar el número de muestras primarias necesarias, véase el Cuadro 1.
Porción analítica
Cantidad representativa de material extraído de la muestra analítica, de tamaño apropiado para medir la concentración de residuos.
Nota. Podrá utilizarse un instrumento de muestreo para extraer la porción analítica.
Muestra analítica
El material destinado al análisis, preparado a partir de la muestra de laboratorio separando la porción del producto que ha de analizarse5,6 y luego mezclando, triturando, cortando finamente, etc., para poder prescindir de porciones analíticas con el mínimo error de muestreo.5,6.
Nota. La preparación de la muestra analítica deberá reflejar el procedimiento utilizado para establecer los LMR del Codex, por lo que la porción del producto que ha de analizarse puede incluir partes que normalmente no se consumen.
Muestra a granel
Para los productos de origen vegetal, total combinado y perfectamente mezclado de las muestras primarias tomadas de un lote. Para los productos cárnicos y lácteos, muestra primaria perfectamente mezclada.
Notas.
a) Las muestras primarias deberán proporcionar material suficiente para que se puedan extraer de la muestra a granel todas las muestras de laboratorio.Muestra de laboratoriob) Cuando se preparen muestras de laboratorio independientes durante la recogida de la muestra o muestras primarias, la muestra a granel será la suma conceptual de las muestras de laboratorio en el momento de tomar las muestras del lote.
Muestra enviada al laboratorio o recibida por éste. Cantidad representativa de material extraído de la muestra a granel.
Notas.
a) La muestra de laboratorio puede ser la totalidad o una parte de la muestra a granel.Loteb) Las unidades no se cortarán ni romperán para obtener la muestra o muestras de laboratorio, salvo en los casos de subdivisión de unidades especificados en el Cuadro 3.
c) Podrán prepararse muestras repetidas de laboratorio
Cantidad de un producto alimenticio entregado en un momento determinado, del cual el funcionario encargado del muestreo sabe o supone que tiene características uniformes, como por ejemplo origen, productor, variedad, envasador, tipo de envasado, marcas, consignador, etc. Un lote sospechoso es aquel del que, por cualquier motivo, se sospecha que contiene residuos excesivos. Un lote no sospechoso es aquel del que no hay motivos para sospechar que pudiera contener residuos excesivos.
Notas:
a) Cuando una remesa está constituida por lotes respecto de los cuales pueda determinarse que proceden de diferentes productores, etc., cada lote se considerará por separado.Muestra primariab) Una remesa puede estar constituida por uno o más lotes.
c) Cuando no puedan establecerse con claridad las dimensiones o límites de cada lote en una remesa de gran envergadura, cada uno de los vagones, camiones, compartimientos de barcos, etc., que constituyan una serie podrá considerarse un lote independiente.
d) Un lote puede estar mezclado, por ejemplo, a causa de los procesos de clasificación o fabricación.
Una o más unidades tomadas de un solo lugar en un lote.
Notas:
a) El lugar de donde se toma la muestra primaria en el lote se elegirá de preferencia en modo aleatorio, pero cuando esto sea materialmente imposible, el lugar se elegirá al azar en las partes accesibles del lote.Muestrab) El número de unidades necesarias para una muestra primaria estará determinado por el número de muestras primarias que hayan de tomarse del lote y por el tamaño mínimo y número de muestras de laboratorio que se necesiten.
c) Tratándose de productos vegetales, huevos y productos lácteos, cuando se tome más de una muestra primaria de un lote, cada una de ellas contribuirá aproximadamente en la misma proporción a la muestra a granel.
d) Cuando las unidades sean de tamaño de mediano a grande y la mezcla de la muestra a granel no dé lugar a que la muestra o muestras de laboratorio sean más representativas, o cuando la mezcla pudiera dañar las unidades (por ejemplo huevos, fruta blanda), las unidades podrán asignarse aleatoriamente a las muestras de laboratorio múltiples en el momento de tomar la muestra o muestras primarias.
e) Cuando se toman muestras primarias a intervalos en el curso de la carga o descarga de un lote, el "lugar" del muestreo es un punto en el tiempo.
f) Las unidades no se cortarán ni romperán para obtener la muestra o muestras primarias, salvo en los casos de subdivisión de unidades especificados en el Cuadro 3.
Una o más unidades seleccionadas entre una población de unidades, o una porción de material seleccionada entre una cantidad mayor de material.
Muestreo
Procedimiento empleado para extraer y constituir una muestra.
Instrumento de muestreo
i) Instrumento, como por ejemplo una cuchara, pala, broca, cuchillo o varilla, empleado para extraer una unidad de material a granel, de envases (como bidones, quesos grandes) o de unidades de productos cárnicos que sean demasiado grandes para ser utilizadas como muestras primarias.Notas.ii) Instrumento, como por ejemplo una caja separadora, empleado para preparar una muestra de laboratorio a partir de una muestra a granel, o para preparar una porción analítica a partir de una muestra analítica.
a) En las normas de la ISO8,9,10 y de la FIL11 se describen instrumentos de muestreo específicos.Funcionario encargado del muestreob) Para tomar muestras de materiales como paja u hojas sueltas, la mano del funcionario encargado del muestreo podrá considerarse un instrumento de muestreo.
Persona capacitada en materia de procedimientos de muestreo y autorizada por las autoridades competentes para tomar muestras cuando sea necesario.
Nota: El funcionario encargado del muestreo es responsable de todos los procedimientos que conducen a la obtención de la muestra o muestras de laboratorio, incluidos su preparación, envasado y envío. El funcionario debe comprender que es necesario observar sistemáticamente los procedimientos de muestreo especificados, proporcionar una documentación completa con respecto a las muestras y colaborar estrechamente con el laboratorio.
Tamaño de la muestra
Número de unidades, o cantidad de material, que constituyen la muestra.
Unidad
La parte discreta más pequeña de un lote que deberá extraerse para formar la totalidad o parte de una muestra primaria.
Nota.
Las unidades se delimitarán como se indica a continuación.
a) Frutas y hortalizas frescas. Cada fruta, hortaliza o racimo natural de estas (por ejemplo uvas) entero constituirá una unidad, salvo en el caso de que sea pequeño. Las unidades de productos pequeños envasados podrán delimitarse según se indica en el apartado d) infra. Cuando se pueda utilizar un instrumento de muestreo sin dañar el material, podrán crearse unidades por este medio. Las frutas u hortalizas frescas no deberán cortarse ni romperse para obtener unidades.b) Animales grandes o partes u órganos de estos. Una unidad estará formada por una porción, o la totalidad, de una parte u órgano determinado. Las partes u órganos podrán cortarse para formar unidades.
c) Animales pequeños, o partes u órganos de estos. Cada animal entero, o parte u órgano completo de un animal, podrá formar una unidad. Si están envasados, las unidades podrán delimitarse según se indica en el apartado d) infra. Cuando se pueda utilizar un instrumento de muestreo sin afectar a los residuos, podrán crearse unidades por este medio.
d) Materiales envasados. Se tomarán como unidades los envases discretos más pequeños. Cuando los envases más pequeños sean muy grandes, serán objeto de un muestreo a granel, según se indica en el apartado e) infra. Cuando los envases más pequeños sean muy pequeños, un conjunto de envases podrá formar una unidad.
e) Materiales a granel y envases grandes (como bidones, quesos, etc.) que sean demasiado grandes para ser utilizados individualmente como muestras primarias. Las unidades se crearán con un instrumento de muestreo.

1. Organización Internacional de Normalización, 1979. Norma Internacional ISO 950: Muestreo de cereales (en grano).
2. Organización Internacional de Normalización, 1979. Norma Internacional ISO 951: Muestreo de legumbres en sacos
3. Organización Internacional de Normalización, 1980. Norma Internacional ISO 1839: Muestreo de té.
4. Federación Internacional de Lechería, 1985. Norma Internacional 50B de las FIL: Métodos de muestreo para la leche y los productos lácteos.
5. Programa Conjunto FAO/OMS sobre Normas Alimentarias (1993). "Parte del producto a la que se aplican los límites máximos del Codex para residuos y que se analiza". Codex Alimentarius, Volumen 2, Sección 4.1, págs. 413-423. FAO, Roma. ISBN: 92-5-303271-5.
6. Programa Conjunto FAO/OMS sobre Normas Alimentarias (1993). "Clasificación del Codex de Alimentos y Piensos". Codex Alimentarius, volumen 2, sección 2, págs. 152-384. FAO, Roma. ISBN: 92-5-303271-8.
|
Número |
Producto |
LMR (mg/kg) |
|
|
|
|
|
|
|
|
|
22 |
DIAZINON |
|
|
|
|
PE 840 |
Huevos de gallina |
0,02 |
(*) |
|
|
PM 840 |
Carne de pollo |
0,02 |
(*) |
|
|
PO 840 |
Despojos comestibles de pollo |
0,02 |
(*) |
|
|
|
|
|
|
|
|
75 |
PROPOXUR |
|
|
|
|
VL 482 |
Lechugas arrepolladas |
0,5 |
|
(a) |
|
VR 589 |
Patatas, papas |
0,02 |
(*) |
(a) |
|
|
|
|
|
|
|
95 |
ACEFATO |
|
|
|
|
VB 400 |
Brécol |
2 |
|
|
|
VB 41 |
Coles, arrepolladas |
2 |
|
|
|
VB 404 |
Coliflor |
2 |
|
|
|
VO 448 |
Tomate |
1 |
|
|
|
|
|
|
|
|
|
100 |
METAMIDOFOS |
|
|
|
|
VB 41 |
Coles, arrepolladas |
0,5 |
|
|
|
VB 404 |
Coliflores |
0,5 |
|
|
|
|
|
|
|
|
|
190 |
TEFLUBENZURON |
|
|
|
|
VB 402 |
Coles de Bruselas |
0,5 |
|
|
|
VB 41 |
Coles, arrepolladas |
0,2 |
|
|
|
FS 14 |
Ciruelas (incluidas las Ciruelas pasas) |
0,1 |
|
|
|
FP 9 |
Frutas pomaceas |
1 |
|
|
|
VR 589 |
Patatas (papas) |
0,05 |
(*) |
|
|
|
|
|
|
|
|
192 |
FENARIMOL |
|
|
|
|
DH 1100 |
Lúpulo desecado |
5 |
|
|
|
|
|
|
|
|
|
195 |
FLUMETRIN |
|
|
|
|
MM 812 |
Carne de vacuno |
0,2 |
(grasa) V |
|
|
ML 812 |
Leche de vaca |
0,05 |
F V |
|
|
|
|
|
|
|
|
196 |
TEBUFENOZIDE |
|
|
|
|
FP 9 |
Frutas pomaceas |
1 |
|
|
|
CM 649 |
Arroz descascarado |
0,1 |
|
|
|
TN 678 |
Nueces de nogal |
0,05 |
|
|
|
(*) |
En el límite de determinación o próximo
al mismo. |
|
|
|
|
(Grasa) |
El LMR se aplica a la grasa de la carne. |
|
|
|
|
F |
El residuo es liposoluble y los LMR para productos
lácteos se derivan según se explica en las Notas Explicativas del
Volumen 2B del Codex Alimentarius; |
|
|
|
|
V |
El LMR se aplica también a los usos veterinarios;
y |
|
|
|
|
(a) |
Proyecto Revisado de Límite Máximo para Residuo
de Plaguicida |
|
Número |
Producto |
LMR (mg/kg) |
|
|
|
|
|
|
|
|
|
15 |
CLORMEQUAT |
|
|
|
|
GC 640 |
Cebada |
0,5 |
|
(a) |
|
AS 640 |
Paja y forraje seco de cebada |
20 |
|
|
|
SO 691 |
Semillas de algodón |
0,5 |
|
|
|
AF 647 |
Forraje verde de avena |
20 |
|
|
|
AS 647 |
Paja y forraje seco de avena |
20 |
|
(a) |
|
FP 230 |
Peras |
10 |
|
(a) |
|
|
|
|
|
|
|
SO 495 |
Semillas de colza |
5 |
|
|
|
OC 495 |
Aceite de colza sin refinar |
0,1 |
(*) |
|
|
GC 650 |
Centeno |
3 |
|
(a) |
|
CM 650 |
Salvado de centeno sin elaborar |
10 |
|
|
|
AF 650 |
Forraje verde de centeno |
20 |
|
|
|
AS 650 |
Paja y forraje seco de centeno |
20 |
|
(a) |
|
CF 1251 |
Harina integral de centeno |
3 |
|
|
|
GC 654 |
Trigo |
2 |
|
(a) |
|
CM 654 |
Salvado de trigo, sin elaborar |
5 |
|
|
|
CF 1211 |
Harina de trigo |
0,5 |
|
|
|
AS 654 |
Paja y forraje seco de trigo |
20 |
|
(a) |
|
CF 1212 |
Harina integral de trigo |
2 |
|
|
|
|
|
|
|
|
|
22 |
DIAZINON |
|
|
|
|
MM 814 |
Carne de caprino |
2 |
(grasa) V |
|
|
MO 98 |
Riñones de vacuno, caprino, porcino y ovino |
0,03 |
V |
|
|
MO 99 |
Hígado de vacuno, caprino, porcino y ovino |
0,03 |
V |
|
|
MM 97 |
Carne de vacuno, porcino y ovino |
2 |
(grasa) V |
(a) |
|
|
|
|
|
|
|
100 |
METAMIDOFOS |
|
|
|
|
FS 247 |
Melocotones (duraznos) |
1 |
|
|
|
VO 448 |
Tomate |
1 |
|
|
|
|
|
|
|
|
|
105 |
DITIOCARBAMATOS |
|
|
|
|
TN 672 |
Pacanas |
0,1 |
(*) T Z |
|
|
FS 12 |
Frutas de hueso |
7 |
T h, Z |
|
|
FB 275 |
Fresas |
5 |
H |
|
|
|
|
|
|
|
|
117 |
ALDICARB |
|
|
|
|
VR 589 |
Patatas, papas |
0,5 |
|
|
|
|
|
|
|
|
|
194 |
HALOXIFOP |
|
|
|
|
FI 327 |
Banano |
0,05 |
(*) |
|
|
PE 840 |
Huevos de gallina |
0,01 |
(*) |
|
|
PM 840 |
Carne de pollo |
0,01 |
(*) |
|
|
PO 840 |
Despojos comestibles de pollo |
0,1 |
|
|
|
FC 1 |
Frutos cítricos |
0,05 |
(*) |
|
|
SO 691 |
Semillas de algodón |
0,2 |
|
|
|
OC 691 |
Aceite de semillas de algodón sin refinar |
0,5 |
|
|
|
AM 1051 |
Forraje seco de remolacha |
0,3 |
|
|
|
FB 269 |
Uvas |
0,05 |
(*) |
|
|
SO 697 |
Maní |
0,05 |
|
|
|
VP 63 |
Guisantes |
0,2 |
|
|
|
FP 9 |
Frutas pomaceas |
0,05 |
(*) |
|
|
VR 589 |
Patatas, papas |
0,1 |
|
|
|
VD 70 |
Legumbres |
0,2 |
|
|
|
SO 495 |
Semillas de colza |
2 |
|
|
|
OC 495 |
Aceite de colza sin refinar |
5 |
|
|
|
OR 495 |
Aceite comestible de colza |
5 |
|
|
|
CM 1206 |
Salvado de arroz, sin elaborar |
0,02 |
(*) |
|
|
CM 649 |
Arroz descascarado |
0,02 |
(*) |
|
|
CM 1205 |
Arroz pulido (blanco) |
0,02 |
(*) |
|
|
OC 541 |
Aceite de soja, sin refinar |
0,2 |
|
|
|
OR 541 |
Aceite de soja, refinado |
0,2 |
|
|
|
VR 596 |
Remolacha azucarera |
0,3 |
|
|
|
SO 702 |
Semillas de girasol |
0,2 |
|
|
|
|
|
|
|
|
|
196 |
TEBUFENOZIDE |
|
|
|
|
FB 269 |
Uvas |
0,5 |
|
|
LMRE
|
Número |
Producto |
LMRE (mg/kg) |
|
|
|
21 |
DDT |
|
|
|
|
|
|
|
|
|
|
MM 95 |
Carne (de mamíferos distintos de los mamíferos
marinos) |
5 |
(grasa) |
(a) |
|
(*) |
En el límite de determinación o próximo
al mismo. |
|
|
|
|
(Grasa) |
El LMR se aplica a la grasa de la carne. |
|
|
|
|
V |
El LMR se aplica también a los usos veterinarios;
y |
|
|
|
|
T |
El LMR es temporal, independientemente del estado de
formulación de la IDA, hasta que se haya proporcionado y evaluado la
información necesaria. |
|
|
|
|
z, h |
Basado en ensayos con: z, ziram, y h, tiram. El compuesto
indicado con mayúscula era el compuesto al que principalmente se refiere
el LMR; y |
|
|
|
|
(a) |
Proyecto Revisado de Límite Máximo para Residuo
de Plaguicida |
|
Número |
Producto |
LMR (mg/kg) |
|
|
|
|
|
81 |
CLOROTALONILO |
|
|
FB 264 |
Moras |
10 |
|
FC 1 |
Frutos cítricos |
5 |
|
VD 534 |
Frijoles comunes, secos |
0,5 |
|
FB 272 |
Frambuesas rojas y negras |
10 |
|
|
|
|
|
127 |
FENOTRIN |
|
|
GC 0640 |
Cebada |
2 |
|
CM 0649 |
Arroz descascarillado |
0,1 |
|
GC0651 |
Sorgo |
2 |
|
GC 0654 |
Trigo |
2 |
|
CM 0654 |
Salvado de trigo sin elaborar |
5 |
|
CF 1211 |
Harina de trigo |
1 |
|
CF 1210 |
Germen de trigo |
5 |
|
CF 1212 |
Pan integral |
2 |
LÍMITES MÁXIMOS DEL CODEX PARA RESIDUOS QUE HAN DE SER SUSTITUIDOS POR LOS LÍMITES MÁXIMOS REVISADOS PARA RESIDUOS
|
Número |
Producto |
LMR (mg/kg) |
|
|
|
|
|
|
|
17 |
CLORPIRIFOS |
|
|
|
FC 1 |
Frutos cítricos |
0,3 |
|
|
|
|
|
|
|
31 |
DIQUAT |
|
|
|
OR 691 |
Aceite comestible de semillas de algodón |
0,1 |
|
|
GC 645 |
Maíz |
0,1 |
|
|
VR 589 |
Patatas (papas) |
0,05 |
|
|
OR 495 |
Aceite comestible de colza |
0,1 |
|
|
GC 649 |
Arroz |
5 |
|
|
CM 649 |
Arroz descascarado |
0,2 |
|
|
OR 700 |
Aceite de sésamo |
0,1 |
|
|
SO 702 |
Semillas de girasol |
0,5 |
|
|
CF 1211 |
Harina de trigo |
0,2 |
|
|
|
|
|
|
|
51 |
METIDATION |
|
|
|
FB 269 |
Uvas |
0,2 |
|
|
FP 230 |
Peras |
1 |
|
|
|
|
|
|
|
59 |
PARATION-METILO |
|
|
|
VB 0040 |
Hortalizas del género Brassica |
0,2 |
|
|
|
|
|
|
|
75 |
PROPOXUR |
|
|
|
VL 482 |
Lechugas arrepolladas |
3 |
|
|
VR 589 |
Patatas, papas |
0,1 |
(*) |
(*) En el límite de determinación o próximo al mismo.
Se ofrecen a continuación las listas finales o provisionales de compuestos que habrá de examinar la Reunión Conjunta FAO/OMS sobre Residuos de Plaguicidas (JMPR) desde 1998 hasta 2004.
PROGRAMA DE LA JMPR DE 1998
|
Evaluaciones toxicológicas |
Evaluaciones de Residuos |
|
NUEVOS COMPUESTOS |
NUEVOS COMPUESTOS |
|
|
|
|
kresoxim-metilo |
kresoxim-metilo |
|
|
|
|
REEVALUACIONES PERIODICAS |
REEVALUACIONES PERIODICAS |
|
|
|
|
amitraz (122) |
|
|
|
amitrol (079) |
|
|
benomilo (069)/carbendazim (072)/tiofanato-metilo
(077) |
|
bitertanol (144) |
|
|
|
2,4-D (020) |
|
|
demeton-S-metilo (073)/oxidemeton-metilo (166) |
|
dicloran (083) |
dicloran (083) |
|
|
dimetoato (027)/ometoato (055)/formotion (042) |
|
difenilamina (030) |
|
|
endosulfan (032) |
|
|
etoxiquin (035) |
|
|
|
folpet (041) |
|
|
hidracida maléica (102) |
|
metiocarb (132) |
|
|
|
|
|
EVALUACIONES |
EVALUACIONES |
|
|
|
|
bentazona (172) |
bentazona (172) |
|
dinocap (087) |
dinocap (087) |
|
|
disulfoton (074) |
|
|
glufosinato-amonio (175) |
|
|
hexitiazox (176) |
|
|
miclobutanil (181) |
|
fosmet (103) |
|
|
|
procimidona (136) |
|
|
quintoceno (064) |
|
|
tebufenozida (196) |
|
tiofanato-metil (77) |
|
Abril de 1998
PROGRAMA DE LA JMPR DE 1999
|
Evaluaciones toxicológicas |
Evaluaciones de Residuos |
|
NUEVOS COMPUESTOS |
NUEVOS COMPUESTOS |
|
|
|
|
pirifenox |
pirifenox |
|
piriproxifen |
piriproxifen |
|
|
|
|
REEVALUACIONES PERIODICAS |
REEVALUACIONES PERIODICAS |
|
|
|
|
|
bitertanol (144) |
|
clorpirifos (017) |
|
|
|
diflubenzuron (130) |
|
dimetipin (151) |
|
|
etoprofos (149) |
|
|
|
etoxiquin (035) |
|
|
fenamifos (085) |
|
imazalil (110) |
|
|
|
malation (049) |
|
|
metiocarb (132) |
|
|
|
|
permetrin (120) |
|
|
2-fenilfenol (056) |
2-fenilfenol (056) |
|
propargita (113) |
|
|
piretrinas (063) |
|
|
|
|
|
EVALUACIONES |
EVALUACIONES |
|
|
|
|
|
buprofezin (173) |
|
|
cletodim (187) |
|
|
etefon (106) |
|
|
etion (034) |
|
|
fenpropimorf (188) |
|
|
fenpiroximato (193) |
|
|
fosalona (060) |
|
|
|
|
PTU (150) |
|
Abril de 1998
PROGRAMA PROVISIONAL DE LA JMPR DE 2000
|
Evaluaciones toxicológicas |
Evaluaciones de Residuos |
|
NUEVOS COMPUESTOS |
NUEVOS COMPUESTOS |
|
|
|
|
clorprofam |
|
|
|
fipronilo |
|
imidacloprid |
|
|
|
|
|
REEVALUACIONES PERIODICAS |
REEVALUACIONES PERIODICAS |
|
|
|
|
acefato (095) |
|
|
|
amitraz (122) |
|
|
captan (007)* |
|
|
clorpirifos (017) |
|
|
cipermetrin (118) |
|
deltametrin (135) |
|
|
|
difenilamina (030) |
|
dodina (084) |
|
|
|
endosulfan (032) |
|
fenitrotion (037) |
|
|
metamidofos (100) |
|
|
|
metomilo (094)/tiodicarb (154) |
|
|
paration (058) |
|
|
paration-metilo (059) |
|
|
piperonil butoxido (062) |
|
|
piretrinas (063) |
|
tiodicarb (154) |
|
|
vamidotion (078) |
|
|
|
|
|
EVALUACIONES |
EVALUACIONES |
|
|
|
|
|
aldicarb (117) |
|
|
clorfenvinfos (014) |
|
|
clormequat (015) |
|
|
DDT (021) |
|
|
fention (039) |
|
fipronil |
|
* Por confirmar la disponibilidad de datos.
Abril de 1998
PROGRAMA PROVISIONAL DE LA JMPR DE 2001
|
Evaluaciones toxicológicas |
Evaluaciones de Residuos |
|
NUEVOS COMPUESTOS |
NUEVOS COMPUESTOS |
|
|
|
|
|
clorprofam |
|
esfenvaleriato* |
|
|
|
imidacloprid |
|
espinosad |
espinosad |
|
|
|
|
REEVALUACIONES PERIODICAS |
REEVALUACIONES PERIODICAS |
|
|
|
|
|
carbarilo (008) |
|
|
dimetipin (151) |
|
|
dodina (084) |
|
|
etoprofos (149) |
|
|
fenitrotion (037) |
|
|
imazalil (110) |
|
mecarbam (124) |
|
|
metopreno (147) |
|
|
oxamilo (126) |
|
|
|
permetrin (120) |
|
procloraz (142) |
|
|
|
propargita (113) |
|
triazofos (143) |
|
|
|
|
|
EVALUACIONES |
EVALUACIONES |
|
|
|
|
|
diquat (031) |
|
lindano (048) |
|
* Sustancia química de sustitución de fenvaleriato.
Abril de 1998
PROGRAMA PROVISIONAL DE LA JMPR DE 2002
|
Evaluaciones toxicológicas |
Evaluaciones de Residuos |
|
NUEVOS COMPUESTOS |
NUEVOS COMPUESTOS |
|
|
|
|
|
esfenvaleriato* |
|
|
|
|
REEVALUACIONES PERIODICAS |
REEVALUACIONES PERIODICAS |
|
|
|
|
|
acefato (095) |
|
cihexatin (067) |
|
|
|
deltametrin (135) |
|
|
metamidofos (100) |
|
|
oxamilo (126) |
|
|
pirimifos-metilo (086) |
|
|
procloraz (142) |
|
propamocarb (148) |
|
|
|
triazofos (143) |
|
|
vamidotion (078) |
|
|
|
|
EVALUACIONES |
EVALUACIONES |
|
|
|
|
tolilfluanida (162) |
tolilfluanida (162) |
Abril de 1998
PROGRAMA PROVISIONAL DE LA JMPR DE 2003
|
Evaluaciones toxicológicas |
Evaluaciones de Residuos |
|
NUEVOS COMPUESTOS |
NUEVOS COMPUESTOS |
|
|
|
|
REEVALUACIONES PERIODICAS |
REEVALUACIONES PERIODICAS |
|
|
|
|
bendiocarb (137) |
|
|
|
cihexatin (067) |
|
|
lindano (048) |
|
|
mecarbam (124) |
|
|
metopreno (147) |
|
|
propamocarb (148) |
|
|
propineb |
Abril de 1998
PROGRAMA PROVISIONAL DE LA JMPR DE 2004
|
Evaluaciones toxicológicas |
Evaluaciones de Residuos |
|
NUEVOS COMPUESTOS |
NUEVOS COMPUESTOS |
|
|
|
|
REEVALUACIONES PERIODICAS |
REEVALUACIONES PERIODICAS |
|
|
|
|
|
bendiocarb (137) |
Abril de 1998
ANEXO: COMPUESTOS CANDIDATOS PARA UN EXAMEN PERIODICO TODAVIA NO PROGRAMADO
|
Azociclotin[40] |
Glifosato[41] |
|
Cihalotrin[42] |
Metalaxil[43] |
|
Clofentazin[44] |
Paraquat[45] |
|
Fenvaleriato[46] |
Pirimicarb[47] |
|
Flucitrinato[48] |
Quinometionato[49] |
|
Forato[50] |
Triadimefon[51] |
|
Fosfamidon[52] |
Triforina
(residuos)[53] |
Abril de 1998