يحتوى موقع التخزين بالوزارة بدور السلام على العديد من الاصناف المستعملة كالسيارات والإطارات والمكاتب والآلات الكاتبة والبراميل والبطاريات. ويوجد أيضا" خارج هذا المخزن مبيدات "بطل استخدامها"، أما الأصناف المستعملة بصورة متكررة فهي مخزونة بالداخل.
والمبنى الذي توجد به المبيدات مبني بالطوب الأحمر وله أرضية من الاسمنت بدون نظام للصرف أو حواف مرتفعة. ويمكن أن تنساب السوائل من ألارضية إلى التربة مباشرة. ويبدو السقف سليما ولا توجد به مظاهر للتسرب.
وتخزن الاصناف بعلو ثلاث بالات، مما يضع حملا" مفرطا على الكثير من الصناديق الموجودة في البالات السفلى. وبهذا يزداد احتمال تحطم العبوات والصناديق. وقد يتسبب هذا في إتلاف مواد التغليف الرئيسية ويزيد من احتمال تسرب محتوياتها أو تناثرها علي المغلفات الأخرى وأرضية المبنى. ولا يطبق نظام الداخل أولا" يخرج أولا"، مما يعني أن الإمدادات الجديدة تخزن على الأقدام منها، وهذا يؤدي إلي وجود أصناف عتيقة غير مستعملة ومهجورة.
وتمتد خارج المبنى لمسافة ثلاثة أمتار سقيفة من صفائح معدنية مضلعة. ويوجد تحت السقيفة أصناف غير مستخدمة بالإضافة إلى بعض المبيدات المستخدمة (المحفوظة في صناديق مغلفة بأغشية بلاستيكية لاصقة) التي لا يمكن تخزينها بالداخل. ويوجد مع المبيدات بعض الإطارات والبطاريات وغيرها. وأرضيات هذه السقيفة غير مرصوفة، بل إن جميع الاصناف تخزن على الرمل مباشرة. وبعض هذه المبيدات مغطى بغطاء قماشي سميك. ويوجد تحت هذا الغطاء القماشي بعض العبوات البلاستيكية (الجراكن) المطعجة والتي انسكبت أو تبخرت منها بعض السوائل، تاركة المواد الصلبة. وبمضي الزمن تشققت هذه العبوات البلاستيكية وأصبحت هشة.
ولم يمكن التأكد من تلوث التربة بالمبيدات، ولكن توجد كمية من الزيت على التربة. ويقع موقع التخزين هذا بالقرب من منطقة سكنية وسوق، كما يوجد بئر للمياه على بعد مائة متر من المبنى.
يستعمل الجدول 1 لحصر كل المبيدات التي تسربت أو انسكبت في الموقع.

(2) البيانات المكتوبة بالخط الداكن هي استنتاجات تتعلق بهذا المخزن الافتراضي
الآن يستعمل الجدول 2 لتقدير أي من المبيدات المتسربة محدث للتلوث.

الخلاصة
هل الكميات المتسربة من المبيدات محدثة التلوث؟ نعم/لا
إذا كانت الإجابة نعم، تذكر أسماء المبيدات المحدثة للتلوث في الجدو ل 3 واستمر مع الخطوات من 2 إلى 6 لكل مبيد من المبيدات الملوثة.

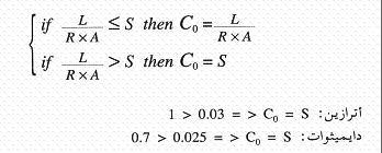
يستخدم الجدولان 4 وه لحساب C0 وهي تركيز المبيد في التربة عند نقطة التسرب أو الأنسكاب).




يستخدم الجدول 6 المدرج أدناه للتنبؤ بانتقال المبيدات نحو المياه الجوفية

الخلاصة
التلوث يصل إلى المياه الجوفية لأن منسوبها > 5م، استمر مع الخطوة 3
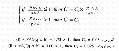
بعد ذلك يستخدم الجدول 7 لتعيين C1 ، تركيز المبيد في المياه الجوفية.



أولا"، يستخدم الجدول 8 لتقدير ما إذا كانت المبيدات المحدثة للتلوث يمكن أن تنتشر عن طريق الرياح.

ثانيا"، يستخدم الآن الجدول 9 لوصف حالة المخزن.

الخلاصة
المخزن يعتبر مقفلا"
المخزن يعتبر نصف مفتوح
المخزن يعتبر مفتوحاً
يستخدم الآن الشكل 1 لتحديد ما إذا كانت الانبعاثات من المخزن يحتمل أن تكون عالية.

الخلاصة
حدثت انبعاثات عالية بالموقع
حدثت انبعاثات متوسطة بالموقع
حدثت انبعاثات منخفضة بالموقع
المياه الجوفية
تعد قائمة بالمواقع والاشياء المعرضة للتلوث التي قد تتأثر بتلوث المياه الجوفية في المنطقة المجاورة للمخزن مباشرة (في حدود دائرة نصف قطرهـا 300 متر). والمواقع المعرضة للتلوث بالمبيدات عن طريق المياه الجوفية هي الآبار والينابيع والأنهار والبحيرات والخزانات المائية والبرك.

يحدد الاتجاه الرئيسي لسريان المياه الجوفية، وفي عدم وجود قياسات لمناسيب المياه الجوفية يمكن استخدام الاتجاه الأكثر انحدارا حسب طبوغرافية المنطقة. يتبع ذلك تحديد ربيع أسفل المجرى(downstream quadrant ) برسم خطين تكون الزاوية بين كل منهما وبين اتجاه الخط الرئيسي لسريان المياه الجوفية هي 45ْ كما هو موضح بالشكل 2.
يتم الكشف بعد ذلك عن النقاط والمواقع المعرضة للتلوث وهي تلك الواقعة ضمن ربع الدائرة المبينة في الشكل 2. يشار إلى هذه النقاط بأنها "معرضة للخطر".

المناطق المعرضة للتلوث هي بئر على بعد 100 متر من المخزن
الرياح
يستخدم الجدول 11 لتسجيل جميع المواقع المعرضة للتلوث في المنطقة المجاورة للمخزن (في حدود دائرة نصف قطرها 300 متر)، والتي يمكن أن تكون الطبقة السطحية للتربة قد لوثت بواسطة الرياح.




معامل التصحيح fg للاترازين=0،7
معامل التصحيح fg للدايميثويت=0،6
يستعمل بعد ذلك الجدول 13 لحساب التركيزات عند النقاط المعرضة للتلوث C8


بالنسبة لأي بحيرة أو خزان أو بركة بها ماء حجمه (V) تحسب نسبة الاختلاط (ms)من المعادلات:

بالنسبة للمبيد:...........= RXA/ Q
ونسبة الاختلاط mgللمبيد-............
يلي ذلك حساب معامل التصحيح (fs) والذي يأخذ بالاعتبار الانتشار الهيدروليكي. ويستخدم الشكل 4 أدناه لمعرفة قيمة (fs) المصاحبة لقيمة المسافة النسبة (d) والتي تم حسابها من الجدول 12.

معامل التصحيح fg للمبيد-............
ثم يستخدم الجدو ل 14 التالي لحساب تركيزات المبيدات عند النقاط المعرضة C8

الخلاصة
المبيد لا يحدث تلوثا"، لذا لا توجد نقاط معرضة للتلوث بالمياه الجوفية
النقاط المعرضة للتلوث بالرياح
في الخطوة 4 السالفة (الشكل1) تم تحديد مستوى الانبعاث بواسطة الرياح (عالية- متوسطة- منخفضة). ويتم الآن استخدام الأشكال 5 و 6 و 7 لمعرفة كمية الترسب عند نقاط التعرض للتلوث.



المبيد لا يحدث تلوثا"، لذا لا توجد نقاط معرضة للتلوث
يستخدم الجدول 15 لمعرفة أهم طرائق التعرض للتلوث.

الخلاصة
طريقة التلوث المحتملة عند موقع البئر هي مياه الشرب
انتقل للخطوة 8
لا توجد مواقع معرضة للتلوث الرياح.
يستعمل الجدول 16 لمقارنة التركيزات المتنبأ بها في الخطوة 6 مع التركيزات المسموح بها.


الخلاصة
إن مستوى التعرض المسموح به بالنسبة لمياه الشرب قد تم تجاوزها بالنسبة
لكل من الأترازين والدايميثيويت.والتلوث يشكل خطورة على صحة الإنسان
يستعان بالملحق 3، لتحديد التركيزات المسموح بها بالنسبة لأهم طرائق التعرض للتلوث، وتسجل هذه البيانات في الجدول 17 أدناه:

بعد ذلك، يستخدم الجدول 18 لتحديد مستوى الترسب المسموح به.

بعد ذلك يستعمل الجدول 19 لمقارنة الكميات الفعليه للترسب الناتجة من الخطوة 6 بمستويات الترسب المسموح بها.

الخلاصة
إن الترسب الحادث على بعد........متر من المخزن أقل من مستوى الترسب المسمح به
إن الترسب على بعد........متر من المخزن أعلى من مستوى الترسب المسموح به،
لذا فإن تلوث التربة السطحية يشكل تهديدا" لصحة الإنسان
يستعمل الجدول 20 لمعرفة الأوضاع السائدة.

الخلاصة
إجراءات المتابعة ضرورية