Indice
-
Precedente - Siguiente![]()
Fuentes de
energia
Combustibles
Combustibles sólidos
Leña
Residuos agrícolas.
Combustibles liquidas
Combustibles gaseosos
Cálculo del aire necesario para la combustión
Exceso de aire
Control de la combustión
Hornos para combustibles sólidos
Hornos para combustibles en polvo
La dificultad económica para adquirir derivados del petróleo con fines energéticos hizo que muchos paises vdvieran a concentrar esfuerzos en al uso más intensivo de Las fuentes renovables de energía, tales corno la leña, los residuos agrícolas y la energía solar. Por ejemplo, la prohibición de usar derivados del petróleo para el secado de granos, decretada en el Brasil en 1981, obligó a la utilización de leña y de residuos agricolas por parte de las empresas almacenadoras estatales y privadas.
En el secado de granos, el método más empleado es el de temperaturas elevadas. Con este método, el consumo de energía puede ser, en ciertos casos, superior al 60% del total de la energía consumida en la producción y tratamiento del grano.
Las exigencias actuales son, por tanto, de optimización del uso de las fuentes energéticas convencionales y, al misma tiempo, de fomentar la elaboración de estudios en el uso de fuentes de energía renovables.
El estudio de la viabilidad del uso de la energía solar, e incluso el aprovechamiento de la biomasa para el calentamiento del aire, no ha recibido la atención debida. En la gran mayoría de los casos, las investigaciones en este campo han llegado a soluciones tecnológicas adaptadas a las situaciones que se presentan en los paises más desarrollados, ubicados en reglones en clima templado. En el Brasil, por ejemplo, las cuestiones relativas a posibles alteraciones del modelo energético global comenzaron a intensificarse a partir de fines de los años 70.
El calentamiento del aire destinado al secado de productos agrícolas tiene como principales fuentes de energía:
a) los combustibles, tales como la leña, los
residuos agrícolas y los derivados del petróleo;
b) la energía eléctrica, por medio de resistencias eléctricas;
y c) la captación de energía solar.
Las sustancias que se pueden quemar, liberando calor, se llaman combustibles. i a principal característica combustible es su poder calorífico. El poder calorífico de un combustible es la cantidad de energía que se produce en la combustión completa de una unidad de masa o de volumen. El poder calorífico depende de las características químicas del combustible y se clasifica como superior (Hs) e inferior (Hi). El poder calorífico superior tiene en cuenta el calor que proviene de la condensación del vapor de agua presente en los productos de combustión; el poder calorífico inferior no tiene en cuenta ese calor.
Por el hecho de que el agua está contenida en los productos de combustión en estado de vapor, se usa generalmente el poder calorífico inferior, al que también se conoce como liquido o práctico. En el Cuadro 3 aparecen los valores de algunos combustibles.
Entre los principales combustibles sólidos se cuentan la leña, los residuos agrícolas, el carbón mineral y el carbón vegetal.
La leña presenta una gran diversidad de características fisicoquimicas que es preciso estudiar, según la aplicación que se desee darle. El contenido de humedad, la composición química y el poder calorífico de la leña son aspectos que hay que conocer para la construcción y el funcionamiento de los hornos.
El contenido de humedad de la leña recién cortada varia entre el 40 y el 50%; luego de estar expuesta a la intemperie, en época no lluviosa, la humedad promedio de la leña baja aproximadamente al 25% (PENEDO, 1981).
La composición química porcentual de la leña aparece en el Cuadro 4. Se observa que el contenido de azufre de la leña es insignificante, lo que disminuye el riesgo de contaminación con este combustible. El Cuadro 5 presenta la composición aproximada de la leña. El elevado contenido de materias volátiles influye en la temperatura mínima exigida para la combustión completa. El contenido de ceniza de la corteza de la leña es mayor que en el interior del tronco y se sitúa alrededor del 3,0%. i a temperatura de fusión de las cenizas es relativamente alta, es decir de 1300 a 1500°C, y normalmente no constituye un factor limitante en el proceso de combustión, en vista de que las temperaturas necesarias son más bajas.
El poder calorífico de la leña (Hi) varía en función de la clase de leña utilizada (Cuadro 6) y del contenido de humedad de la leña (Cuadro 7).
Cuadro 3.Poder calorífero Inferior (Hi) de algunos combustibles por metro cúbico en condiciones normales de temperatura y presion
| Combustión | Hi | Fuente | |
| kj/kg | kj/m³ | ||
| Alcohol etílico | 24388 | (1) | |
| Bagazo de caña | 9200 a 13800 | (2) | |
| Biogás | 17086 | (3) | |
| Caña de maíz | (1) | ||
| 20 % de humedad | 13400 | (1) | |
| Carbón mineral | |||
| - antracita | 21673 a 32312 | (4) | |
| - lignito | 14666 a 19322 | (4) | |
| Carbón vegetal | 27450 | (5) | |
| Cáscara de arroz | 16218 | (6) | |
| Cáscara de babaçu | 16720 | (2) | |
| Gas de gasógeno | 5200 | (7) | |
| Gas natural | 29313 a 70641 | (4) | |
| Gasolina | 44000 | (4) | |
| GLP | 49000 a 50150 | (8) | |
| Leña 20% de humedad 50% de humedad | 15412 | (9) | |
| 8715 | (9) | ||
| Petroleo diesel | 47725 | (1) | |
| Querosén | 43091 | (4) | |
| Olote (coronta) de maíz | |||
| - 20% de humedad | 15195 | (1) | |
| - 30% de humedad | 13348 | (1) | |
Fuente: (1) CLAAR II et al. (1981)
(2) DECOURT (1977)
(3) CETEC (1981)
(4) MARK'S (1978)
(5) JUVILLAR (1980)
(6) PITAKARNNOP (1983)
(7) GOSS et al. (1983)
(8) ASHRAE (1985)
(9) SIQUEIRA (1981)
Cuadro 4.Composicon química porcentual de la leña en funcion del contenido de humedad, en porcentaje, en peso
| Compuesto químico |
Contenido de humedad (% b.h.) | ||
| 0 | 20 | 40 | |
| Carbono | 50,30 | 40,24 | 30,18 |
| Hidrógeno | 6,20 | 4,96 | 3,72 |
| Oxigeno | 43,08 | 34,46 | 25,85 |
| Nitrógeno | 0,04 | 0,03 | 0,02 |
| Azufre | 0,00 | 0,00 | 0,00 |
| Cenizas | 0,37 | 0,31 | 0,23 |
| Total | 100,00 | 100,00 | 100,00 |
Fuente: DINIZ (1981)
Cuadro 5.Analisis aproximado de la lena, en porcentaje, base seca
| Materiales volátiles | 80,0 |
| Carbono fino | 19,5 |
| Cenizas | 0,5 |
Fuente: MITRE (1982)
Cuadro 6.Poder calorífico inferior de la leña seca
| Especie | Hi (KJ/Kg) | Fuente |
| Eucalipto | 19228 | (1) |
| Pino | 20482 | (1) |
| Cedro | 18066 | (2) |
| Ciprés | 21443 | (2) |
| Encino | 19500 | (2) |
| Media | 19744 | (2) |
Fuente:
(1) MITRE (1982)
(2) DINIZ (1981)
Cuadro 7.Poder calorifico inferior de la lena* en function del contenido de humedad
| Contenido de humedad | Hi (KJ/Kg) |
| 0 | 19880 |
| 10 | 17644 |
| 20 | 15412 |
| 30 | 13180 |
| 40 | 10947 |
| 50 | 8715 |
| 60 | 6483 |
Fuente: DINIZ (1981)
*No se distinguió la especie de leña.
Una de las preocupaciones de los consumidores de leña es el abastecimiento seguro. El uso exclusivo de leña procedente de las reservas naturales, sin tomar medidas para su racionalización, podrá provocar la escasez del producto. Una alternativa es la reforestacion y otra el uso de reservas nativas de manera autosostenida. Una tercera opción seria la de mejorar el aprovechamiento de los residuos agrícolas, tanto los de la explotación de bosques como los de la actividad agropecuaria.
El potencial energético de los residuos agrícolas es elevado. A titulo de ejemplo, se estima que el 12% de los residuos de la producción de arroz bastaría para el secado de este producto. Al mismo tiempo, el uso de residuos agrícolas con fines energéticos depende de la disponibilidad de dicho insumo a un costo económicamente viable y de la adaptación de los sistemas de calentamiento de aire al tipo de residuo utilizado, o de la adaptación del insumo energético utilizado a los sistemas de calentamiento existentes.
La fabricación de briquetas de combustibles en polvo se ocupa para el aprovechamiento de los hornos apropiados para leña. Para ello, se recurre al método de aglutinar este material en bloques prensados susceptibles de ser quemados (DECOURT, 1977).
Las briquetas se pueden fabricar con un aglutinante distinto del material combustible o, en caso necesario, mediante su propio poder aglutinante. Por ejemplo, la lignina, componente de la cáscara del arroz, se funde a temperaturas elevadas y se puede usar como aglutinante. i as sustancias aglutinantes deben cumplir los requisitos de bajo costo, bajo contenido de cenizas y alto poder calorífico. Se han utilizado como aglutinantes, entre otros, la goma de fécula de mandioca, los residuos de matadero, la brea y el alquitrán vegetal.
Las briquetas de carbón están en uso hace largo tiempo y su estudio data de varios decenios atrás. Las briquetas de residuos agrícolas vienen mereciendo mayor atención debido a la crisis energética mundial.
El petróleo es una sustancia oleaginosa constituida por una mezcla de compuestos orgánicos (hidrocarburos). El petróleo crudo no tiene utilización práctica, pero luego de su destilación se obtienen subproductos tales como la gasolina, el querosén, el petroleo diesel y el petroleo combustible, los cuales, pese a ser combustibles excelentes, en algunos países no son de uso general en el secado de granos, por su elevado costo.
El petróleo de esquisto se asemeja al petróleo y se obtiene de ciertas rocas petrolíferas llamadas esquistos. El alcohol etílico es una sustancia que se obtiene por la destilación del caldo fermentado de varias materias primas, principalmente caña de azúcar, mandioca y betarraga, etc. Es un producto renovable, al contrario del petróleo y los esquistos.
Los combustibles gaseosos se obtienen de la mezcla de gases. Entre ellos, se cuentan el gas licuado de petroleo (GLP) y el gas natural. Por ser subproductos del petróleo, en varios de los paises en desarrollo el uso de estos combustibles en el secado de productos agrícolas está bastante limitado por razones económicas.
El biogás derivado de la fermentación de residuos orgánicos no está indicado para el secado de granos, porque el biodigestor tendría que ser de dimensiones muy grandes para atender la demanda energética en el proceso de secado.
El gas de gasógeno es un gas pobre, producto de la combustión incompleta de combustibles y sendos, tales como el carbón vegetal y la leña. El gas resultante contiene monóxido de carbono e hidrógeno como sustancias combustibles. Este gas se puede usar como combustible para mover motores estacionarios, los cuales impulsan ventiladores. No obstante, es preciso estudiar la viabilidad técnica y económica del uso del gas de gasógeno con este fin. El aire que sirve para refrigerar el motor y el que se emplea para enfriar el gasógeno se pueden usar en el secado de granos (Figura 31), lo que aumenta la eficiencia del procedimiento.
La combustión es el conjunto de reacciones químicas exotérmicas en las que interviene el oxigeno, produciendo energía aprovechable, luego de que el combustible se calienta hasta la temperatura de Ignición. En el Cuadro 8 aparecen las temperaturas de ignición de algunos combustibles, al nivel del mar.
La temperatura de ignición es aquella a la cual la energía que se genera en la reacción es superior a la energía que se pierde en el ambiente, lo cual permite mantener la combustión. La temperatura de ignición depende de la presión ambiental, del comburente (aire u oxigeno puro) y del combustible que se emplee.
Cuadro 8.Temperaturas de ingnición al nivel del mar
| Combustible | Temperatura (oC) |
| Carbon mineral | |
| -antracita | 500 |
| -lignita | 250-450 |
| Carbon vegetal | 240-400 |
| Coque | 700 |
| Etano | 470-630 |
| Gas de gasógeno | 700-800 |
| Gasolina | 266-427 |
| GLP | 500 |
| Madera (seca) | 300 |
| Metano | 640-750 |
| Monóxi do de carbono | 655 |
Fuente: DINIZ (1981)
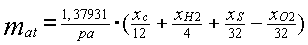
Cálculo del aire necesario para la combustión
Para calcular la cantidad teórica de aire necesario para la combustión m at, hay que conocer las proporciones de carbono xc, hidrógeno xH2, oxigeno xO2 y azufre xs presentes en el combustible, y la masa especifica del aire pa, de acuerdo con la ecuación:
ec.3
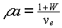
La masa especifica del aire se calcula sobre la base del volumen especifico ve y la razón de humedad W, según la ecuación:
ec.4
A titulo de ilustración se propone el siguiente ejercicio:
¿qué cantidad teórica de aire se necesita para la combustión de leña, suponiendo que su humedad es del 20% Y que el aire de combustión tiene una razón de humedad W = 0,20 kg/kg y el volumen especifico Ve = 0,87 m /kg ?
Los valores de xc, xH2 y xO2 se pueden obtener en el Cuadro 3. Entonces, por la ecuación 4:
![]()
![]()
y por la ecuación 3:
![]()
![]()
El exceso de aire, n, en la combustión, significa que la cantidad de aire es mayor que el que se necesita para la combustión completa. El exceso de aire en la combustión sirve para asegurar la mezcla perfecta e íntima del combustible con el aire, debido al breve lapso en que ambos permanecen juntos. La cantidad de aire en exceso depende básicamente del tipo de combustible.
Los combustibles sólidos son los que más exigen exceso de aire, esto es, del 30 al 60% más que la cantidad calculada para la combustión. Los combustibles líquidos exigen un exceso del 10 al 30% y los gaseosos, del 5 al 20%. El exceso de aire, n, se puede expresar en función de la cantidad de aire calculada, mu' y de la cantidad real de aire, m, de manera que:
ec.5
Para la leña con 20% de humedad y con un 50% de exceso de aire, resulta que la cantidad de aire necesario para la combustión seria de:
mat = 1,50x4,15
mat = 6,23 m³ kg-1
El control de la combustión se debe efectuar mediante el análisis de la variación en el contenido de C02 de los gases de combustión, el cual varia según el exceso de aire que se utiliza en la combustión. Por eso, cuando se necesita vigilar el exceso de aire en un proceso de combustión, se analiza el contenido de C02 presente en los gases de combustión. El Cuadro 9 ilustra la variación en el contenido de C02 en los gases de combustión, de acuerdo con el exceso de aire empleado. El contenido de C02 se puede medir con analizadores del tipo ORSAT.
El horno es el lugar donde se quema el combustible, es decir, donde la energía química potencial del combustible se transforma en energía térmica. En el horno se quema el combustible en contacto con cierta cantidad recomendada de aire en exceso; puede haber una pequeña pérdida de energía al ambiente. La energía liberada se incorpora a los gases antes de salir del horno y todos los compuestos volátiles se deben quemar antes de salir de éste.
Cuadro 9.Variación del contenido de gas carbónico, CO2, en los gases de combustión con diferentes proporciones de exceso de aire, n
| n (%) | CO2(%) |
| 0 | 20,0 |
| 10 | 18,4 |
| 20 | 16,8 |
| 30 | 15,5 |
| 40 | 14,4 |
| 50 | 13,4 |
| 60 | 12,6 |
| 70 | 11,8 |
| 80 | 11,2 |
| 90 | 10,6 |
| 100 | 10,1 |
Fuente: DINIZ (1981)
El tamaño y la forma del horno dependen del tipo de combustible, del dispositivo que se use para quemarlo y de la cantidad de energía se debe liberar en un lapso determinado.
El volumen del horno depende de la tasa de liberación de energía. Dicha tasa en función del tipo de horno, de la longitud y temperatura de la llama, del exceso de aire y de la turbulencia. En general, la tasa de liberación de energía varia entre 120 y 580 kW/m³ (100.000 a 500.000 kcal/h m³).
En cuanto a la naturaleza de los combustibles,
los hornos se clasifican en:
hornos para combustible sólido;
hornos para combustible sólido pulverizado;
hornos para combustible liquido; y
hornos para combustible gaseoso.
El primer tipo se analizará con más detalle en este trabajo, en vista del potencial de su empleo en el secado de granos.
Hornos para combustibles sólidos
-Horno de fuego directo
La quema de leña en troncos ofrece dificultades de contacto intimo entre el aire y el combustible, pues la combustión es un fenómeno de superficie. Esta deficiencia se puede obviar aumentando la turbulencia y trozando la leña, con lo cual se eleva el costo operativo.
La Figura 32 es un esquema de un tipo de horno adecuado para quemar lena trozada. En los hornos de carga manual las parrillas no deben tener más de 2 m. de largo. Deben estar dotadas de una puerta de carga por cada metro de ancho, para facilitar la carga de leña.
Dimensiones
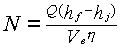
El primer paso para calcular las dimensiones de los hornos para combustibies sólidos consiste en calcular la potencia N necesaria para calentar el aire, la cual es función de la cantidad de aire que hay que calentar, Q, de la masa especifica del aire Pa, del incremento de temperatura buscado ?T, del calor específico del aire, cp,y del rendimiento térmico estimado del horno, homo, de acuerdo con la ecuación 6:
ec.6
También se puede estimar la potencia N mediante datos obtenidos del gráfico psicrométrico. Si se conoce el punto de estado Inicial del aire, antes de calentarlo, y el Incremento de temperatura buscado, se puede determinar en el gráfico psicrométrico la entalpia inicial del aire, hi, la entalpia final, hf, y el volumen especifica del aire, Ve, en las condiciones iniciales. Así, se puede calcular la potencia por medio de la expresión siguiente:
ec.7
y la masa de combustible mc en kg h-1 que se ha de consumir será:
mc = 3600N/Hi ec.8
Figura 32. Horno de leña, del tipo de fuego directo.
A continuación, se mostrará un método empírico que consiste en calcular la superficie de la parrilla y el volumen del horno.
El cálculo de la superficie de la parrilla del horno se puede hacer en función de la tasa de combustión. La tasa de combustión Sc, que es el valor de la cantidad de combustible que se va a quemar por unidad de área de la parrilla, es variable entre los diversos tipos de combustibles y se expresa en kg/hm². Si se trata de leña, paja, bagazo de caña, quemados en horno con parrilla plana, con carga manual y aire forzado, la tasa de combustión varía entre 150 y 300 kg/h m². Si se trata de carbón, quemado en horno con parrilla plana, con carga manual y aire forzado, la tasa de combustión varia entre 200 y 300 kg/h m². Por tanto, la tasa de combustión es un valor estimado. Luego de haber estimado la tasa de combustión, se calcula la superficie de la parrilla S, sobre la base de la masa de combustible que se ha de consumir mc, mediante la expresión:
ec.9
La razón entre la superficie libre de la parrilla y la superficie total fluctúa entre 0,2 y 0,5, si se trata de parrilla con carga manual, y entre 0,1 y 0,3, si se trata de parrilla con carga mecánica.
El cálculo del volumen útil del horno VF depende de la potencia necesaria para calentar el aire N, y de la tasa de liberación de energía K, que varia entre 175 y 233 kW/m³, en el caso de leñas, pujas, bagazo de caña y carbón. Se tiene, entonces:
ec.10
El volumen calculado de un horno corresponde a la zona de combustión. En hornos para combustibles sólidos hay normalmente dos zonas de combustión, esto es, el lugar de carga del combustible y el lugar de combustión de las materias volátiles.
Como ejemplo, se calcula el área de la parrilla y el volumen de un horno para leña, con carga manual y parrilla plana, sabiendo que:
Q = 4,0 m³/s
cp= 1,0 kJ/kg °C
DT = 60°C T =
20°C
h= 0,70 W =
0,012 kg/kg
hi = 13.500 kJ/kg
Ve = 0,845 m³/kg
Por la ecuación 4, la masa especifica del aire es:
ra =(1+0,012)/0,845 = 1,198 kg/m³
Por la ecuación 6, la potencia necesaria para calentar el aire es:
![]()
La masa de combustible que se ha de consumir será:
mc=410,7x3600/13.500=109,5kg.de lena/hora
El área de la parrilla se podrá calcular mediante la ecuación 9, suponiendo que Nc = 250 kg/h m²:
S = 109,5/250 = 0 44 m²
El volumen útil del horno se puede calcular por medio de la ecuación 10, suponiendo que K = 200 kW/m³:
VF = 410,7/200 = 2,05 m³
Hornos para combustibles en polvo
Los hornos para combustibles en polvo, como por ejemplo la cáscara de arroz y la cáscara de café, presentan una mayor velocidad de reacción, debido a la reducción de tamaño de las partículas.
En estos hornos el combustible pulverizado se quema en suspensión, con menor cantidad de aire en exceso (15 a 20%), lo que permite una mayor temperatura de la llama. El tipo más simple de estos hornos es el de parrilla inclinada (Figura 33), con alimentación por eje giratorio con ranuras. La rotación del eje y el tamaño de las ranuras se deben calcular de acuerdo con la cantidad de combustible que se ha de quemar (véase el cálculo del horno para combustibles sólidos).
La tasa de liberación de energía de esos hornos varia entre 420 y 840 kW/m³ (100.000 a 200.000 kcal/h/m³), lo que corresponde, aproximadamente, a un consumo de combustible de 15 a 25 kg/h/m³.
Figura 33. Horno para combustibles en polvo.