K. AGYEMANG, P. JEANNIN, A.S. GRIEVE, M.L. BAH and R.H. D WINGER
Introduction
Materials and methods
Results
Conclusion
References
N'Dama cattle have been known for some time to be trypanotolerant (Foy, 1911; Chandler, 1952; Desowitz, 1959; Murray et al., 1982). A survey carried out jointly by the ILCA, FAO UNEP on trypanotolerant livestock in eighteen West and Central African countries showed that the N'Dama breed is hardy and produces quite well under the harsh environmental conditions where they are kept (ILCA, 1979). When the productivity of N'Dama cattle was compared on a per unit body weight basis, with other larger zebu breeds of cattle present in Africa, it was found that the N'Dama is as productive as the other larger breeds in low trypanosomiasis risk situations. On the other hand in a high tsetse challenge area the zebu breeds do not survive well. In the few attempts made so far to characterize the breed, the contribution of milk yield to the overall productivity of N'Dama cattle has been either poorly estimated or entirely ignored. This is a result of the paucity of data on milk offtake collected over reasonable lengths of time and on a large number of cows under both village and ranch management. The milk production studies reported here were designed to fill this vacuum of knowledge by providing information on the patterns and levels of milk production of N'Dama cows under different village management systems. To achieve these objectives, a milk recording scheme was initiated in four villages in The Gambia.
The Republic of The Gambia lies on the west coast of Africa between latitude 13°04' and 13°05' north and on longitude 13°47' and 16°50' west. The climate is Sudano-Guinean. Average annual precipitation for six years (1981-1986) was 724 mm. The annual rainfall for 1986 was 762 mm. The rainfall is unimodal and is of short duration from July through October, followed by a long dry season from November through June. The total amounts of precipitation recorded during 1986 were 1135, 1206 and 598 mm for Gunjur, Pirang and Keneba, respectively. These three villages, although situated in different geographical, climatic and hence nutritional environments, have similar herd ownership and herd management arrangements. Animals are all milked twice a day. The fourth village, Nioro Jattaba, with annual precipitation of 804 mm during 1986, has different herd ownership and management arrangements and milks once a day. Sampling started in October 1985 at Gunjur and Keneba and in June 1986 at Pirang and Nioro Jattaba.
Herd management
Under the village management system animals are tethered over night on grounds close to the homestead. Pregnant cows are not managed differently from the rest of the animals in the herds. Cows usually calve in the tethering area but occasional carvings in the grazing area are observed. Calvings occur throughout the year but over 80X occur from July through December with the peak calving occurring in August-September. Milking starts one to three weeks after calving. Morning milking starts approximately at 0600 hours and evening milking at 1800 to 2200 hours depending on the season of the year. Cows are handmilked with the calf at foot. Milk-letdown is initiated by a brief moment of suckling by the calf. After 5-10 minutes of milking, the calf is allowed to be suckled by the dam, after which more milk is extracted.
Milk recording
A total of 636 cows are currently being recorded of which 201 have completed or terminated lactation. These cows calved after initial registration and ear-tagging of herds and have known calving dates. Milk offtake for human consumption was measured for individual cows at morning and evening milkings once a month at 25-35 day intervals. A sample of the morning milking was taken and analysed to determine fat percentage. Protein percentage determination was started in May 1987. The suckling calf of each cow was weighed at the time of milk measurement.
Data preparation and analyses
Milk measurement for morning and evening, milk-fat and protein determinations, weight of suckling calf and dates of calving and milking were stored on micro-computer files for each cow-calf pair for each month. The morning and evening offtakes were added to obtain a daily offtake. This was used to estimate the cumulative monthly offtake for each cow by the Test Interval Method (Wiggans and Grossman, 1980) where previous and current offtakes are weighted and the sum is multiplied by the interval between the sampling period. The monthly offtakes were then aggregated to provide cumulative offtakes from post-partum to 2, 4, 6, 8, 10 and 12 months for each cow.
All data were analysed by least-squares methodology (Harvey, 1977) using fixed-effects models. Three seasons of calving were defined: wet season (July-October), early dry season (November-December) and late dry season (January-June). Daily milk offtake and milk-fat and milk-protein percents were analysed with a model that included site, herds within site, stage of lactation in weeks, calf parity, calf sex, month and year of extraction and cow age group. Cumulative monthly milk offtake, calf growth and estimated milk yield were analysed with a similar model, except that the stage of lactation was replaced by the number of days in milk as a covariate. The different levels of each, effect in the model will be evident in the estimated least-squares means table associated with each trait analysed.
The pattern of milk offtake was studied using four thousand measurements of daily milk offtake which were recorded once a month in the three villages where cows are milked twice a day. Similarly, patterns in milk-fat and milk-protein percent were studied using 2,300 and 1,100 determinations, respectively. The use of all measurements meant that different cows' information might have been used for estimation at different points along the lactation. The use of all measurements allowed the estimation for all weeks on the lactation curve even though cows were sampled only once a month. Keown et al. (1986) used monthly milk measurements to develop lactation curves that estimated yields for all days from calving to 305 days.
The relationships among calf growth, milk offtake and milk yield, were studied by calculating calf growth over the intervals in which the milk offtake was measured. Milk offtake for the first to twelfth months in lactation and the growth of the calf were available for correlation analyses. In addition milk offtake and calf growth during the first three months post-partum (0-3mth), the second three months (3-6mth), the third (6-9mth) and the next three months (9-12mth) were calculated. The latter information was used in estimating total milk yield, that is, the amount of milk that would have been produced by the cow had the calf not suckled. Calf growth was converted to milk using conversion factors of Montsma (1962) based on N'Dama cows kept under station conditions. The factors used in this study were 1 kg of calf growth to 8 kg milk, which was an average factor for the period 0-13, 0-26 and 0-36 weeks. Montsma's factors for these periods were 8.0, 8.2 and 7.9, respectively.
Trends in daily milk offtake
Analyses of daily milk offtake from cows in various stages of lactation showed that the highest daily milk offtake, 1.7 kg/cow/day, took place when cows were 4-6 weeks post-partum (Figure 1). The initial peak period was similar for all the calving seasons. Cows that calved in the early dry season had the highest peak extraction at 1.8 kg/cow/day. These cows enjoyed the benefits of the rainfall with the accompanying feed availability during their last 5-6 months of pregnancy and were in better body condition than the cows whose pregnancy lasted through the dry season. Cows that calved in the late dry season (January through June) showed another peak at about 24 weeks post-partum. Since the majority of cows in this group calved in January and February the second peak, which was higher than the initial peak, was a response to the onset of the subsequent rainfall season which began in July. Similarly, cows that calved in the early dry season (November-December) showed a second but minor peak 33-35 weeks post partum, which again coincided with the onset of rains in July.
Figure 1. Daily milk offtake from N'Dama cows at various stages of lactation by season of calving.
Figure 2. Effect of season of calving on daily milk offtake.
The peak period of extraction observed in this study agrees with results obtained for both European dairy breeds and crosses between N'Dama cows and Jersey bulls. Sada and Vohradsky (1968) observed peak yields between day 31 and 60 post-partum for F1 N'Dama x Jersey crosses which were milked completely, as opposed to the partial milking in this study.
Daily milk offtake was also influenced by month of extraction. Milk offtake from cows that calved in the late dry season declined steadily from 1.25 kg/day/cow to 0.8 over a period of 5-6 months post-partum, but increased sharply to 1.5 kg (Figure 2), at the beginning of the rainy season. A similar pattern was observed for cows that calved during the early dry season. Montsma (1962) made similar observations on N'Dama cows calving in the dry season.
Thus while the rate of decline of the milk offtake in relation to progression of lactation showed a close resemblance to a typical lactation curve for milk yield, seasonal effects exerted a significant influence on the milk offtake curve.
Milk-fat yield and percent
Information on fat percent was available for 155 cows from the month of calving to the tenth month of sampling. The mean fat yield was 18.8 (s.d. 6.4) kg with a coefficient of variation of 26.8%. The highest fat yield per cow was 40 kg and the lowest was 5 kg.
Site and parity effects were significant on fat yield. Cows of parity 2-4 had highest fat yields. Ten-month fat yield was highly correlated, 0.85, with milk offtake.
Fat percent of N'Dama milk was 3% for cows in very early lactation and 7% in late lactation (Figure 3) with a mean of 5.2% for 25-30 weeks of lactation. The rate of increase of fat percent as the lactation advanced appeared to be similar for the three seasons of calving.
The increase in milk-fat percent over the lactation period was similar to that observed for F1 N'Dama/Jersey crosses by Sada and Vohradsky (1968) who reported a range from 5.05% in the first month post-partum to 6.82% during the tenth month of lactation. The mean, 5.6%, occurred between the fifth and sixth month post-partum. The mean fat percent observed in this study (5.2%) compares favourably with N'Dama/Jersey cross. The high fat percent of N'Dama cattle kept under management systems where milk offtake is an important aspect of the village economy is highly desirable. The milk left for the suckling calf should be of as high quality as possible to ensure adequate growth.
Figure 4. Effect of season of calving on fat percent of daily milk offtake.
Fat percent was highest for the seasons of the year when milk offtake was lowest (Figure 4). Fat percent decreased, even for cows in advanced lactation, when cows responded to onset of rains with increased milk yields. Thus an inverse relationship between milk offtake and fat percent was observed. Such a relationship has also been observed among F1 Jersey/N'Dama cows which were completely milked (Sada and Vohradsky, 1968).
Milk protein percent
Milk protein percent increased from a mean of 2.6% for cows in 16 weeks in lactation to a mean of 3.5% for cows in the 50-54 weeks in lactation. The mean was higher for cows that calved in the wet and early dry season than for cows that calved in the late dry season. Like milk-fat, the increase in milk-protein percent as the lactation advances is desirable for suckling calves as the milk available for suckling decreases. The increases in protein percent as a result of increased feed quantity and possibly quality with the onset of the rains is shown in Figure 5.
Figure 5. Effect of season of calving on protein percent of daily milk offtake.
Quantity of milk offtake for human consumption
To quantify the amount of milk extracted for human consumption from N'Dama cows during the entire lactation length or portion of the lactation length and to assess the relationships between milk offtake, calf growth and estimated milk yield, the records of 231 cows that had either completed lactation or had been milked to the twelfth month of lactation were selected. Included in this group were 19 cows that terminated lactation abruptly either because the calf died or the cow became sick but which were milked for 6 months or more before termination of lactation occurred. Forty-one cows were selected from the village with a once-a-day milking.
Monthly milk offtake
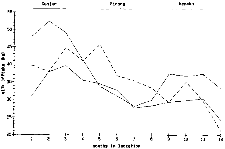
The amount of milk extracted from cows for human use during the first 12 months in lactation is depicted in Figure 6 for the three villages where twice-a-day milking was practiced. Monthly offtake declined steadily after two months in lactation until about the eighth to nineth month when there was an upturn in the lactation curves, reaching minor peaks during the 10th-11th month in lactation. The minor peaks reflected the onset of rains and hence availability of more grazing. The effect of season of calving on monthly offtake was similar to that demonstrated in Figure 1 for daily offtake. Cows which calved in the mid-rainy season months, August-September, reached a low milk yield 8-9 months post-partum (April-May). The occurrence of rains in June
July resulted in an increased milk yield as measured by offtake. Similarly, there was a larger increase in milk yield for cows which calved in the early dry season (November-December). These cows were only 6-7 months in lactation and showed a higher response to increased amounts of grazing pasture. Thus, a season of calving and stage of lactation interaction exists and does affect both milk yield and offtake. months in lactation
Figure 6. Monthly milk offtake per cow at various stages of lactation by site.
The appearance of minor peaks on naturally-declining lactation curves in response to rainfall strongly suggests that the height of the lactation curve of village animals and hence milk output could be increased with strategic feed supplementation to lactating cows. Riley (unpublished) fed groundnut meal at rates of 3 kg/head/week and 6 kg/head/week to two groups of cows which calved in the middle and early dry season months (August-December) for a period of 5 months. The results showed that the rate of decline in milk offtake during the period January-June (see Figure 2) was slowed for the cows receiving the supplement as compared with a control group. The milk offtake during the five months were 56.6, 77.4 and 103.1 kg for the control, 3 kg/week and 6 kg/week group, respectively. The suckling calves of the supplemented groups showed superior growth over the period.
Cumulative milk offtake
The mean cumulative milk offtakes from calving to 2, 4, 6, 8, 10 and 12 months were 85.8 (s.d. 39.4), 167.0 (s.d. 62.2), 243.8 (s.d. 79.4), 301.5 (s.d. 92.0), 367.1 (s.d. 100.0) and 434.0 (s.d. 125.3) kg, respectively. Site or village effects were significant for milk offtake up to the 10th month. Season of calving had an effect on milk offtake up to 8 months in lactation. Estimated least-squares means are presented in Table 1.
Table 1. Estimated least-squares means for cumulative milk offtake per cow at various stages of lactation.
|
Variable |
Milk Offtake (kg) |
|||
|
No. |
0-2 mth |
0-4 mth |
0-6 mth |
|
|
Overall mean |
231 |
83.0 |
167.5 |
237.9 |
|
Site |
||||
|
Gunjur |
110 |
67.5 |
146.9 |
213.5 |
|
Pirang |
33 |
80.5 |
168.9 |
248.5 |
|
Keneba |
88 |
101.1 |
186.9 |
251.8 |
|
Cow age group |
||||
|
Young ones |
93 |
81.3 |
162.6 |
231.6 |
|
Old cows |
138 |
84.7 |
172.4 |
244.3 |
|
Sex of calf |
||||
|
Male |
123 |
82.3 |
170.0 |
241.1 |
|
Female |
108 |
83.6 |
165.1 |
234.6 |
|
Season of calving |
||||
|
Wet season |
132 |
94.8 |
190.2 |
267.3 |
|
Early dry season |
68 |
79.7 |
158.6 |
223.8 |
|
Late dry season |
31 |
74.6 |
153.8 |
222.7 |
|
Parity |
||||
|
1 |
64 |
75.6 |
157.4 |
226.3 |
|
2-4 |
124 |
90.5 |
180.4 |
256.4 |
|
>4 |
43 |
83.0 |
165.0 |
231.1 |
Table 1 (cont.)
|
Variable |
No. |
0-8 mth |
No. |
0-10 mth |
No. |
0-12 mth |
|
Overall mean |
231 |
302.5 |
179 |
367.4 |
142 |
434.2 |
|
Site | ||||||
|
Ganjur |
107 |
271.9 |
92 |
328.9 |
72 |
397.1 |
|
Pirang |
32 |
238.8 |
24 |
379.5 |
18 |
444.4 |
|
Keneba |
79 |
306.7 |
63 |
293.6 |
52 |
461.2 |
|
Cow age group | ||||||
|
Old adults |
87 |
297.8 |
75 |
371.9 |
65 |
447.7 |
|
Young adults |
131 |
307.1 |
104 |
362.8 |
77 |
420.7 |
|
Season of calving | ||||||
|
Wet season |
128 |
326.3 |
115 |
380.7 |
94 |
449.6 |
|
Early dry season |
60 |
285.7 |
43 |
373.5 |
34 |
434.5 |
|
Late dry season |
30 |
295.3 |
21 |
347.9 |
14 |
418.5 |
|
Sex of calf | ||||||
|
Male |
116 |
309.0 |
100 |
375.0 |
82 |
440.3 |
|
Female |
102 |
296.0 |
79 |
359.7 |
60 |
428.1 |
|
Parity | ||||||
|
1 |
60 |
288.2 |
53 |
340.8 |
47 |
393.9 |
|
2-4 |
121 |
325.2 |
99 |
393.8 |
78 |
463.8 |
|
>4 |
37 |
294.1 |
27 |
367.5 |
17 |
450.0 |
No. = number of animals.
** = P<0.01,
mth = months
Site
Up to the eighth month, milk offtake was higher in Keneba than in Gunjur and Pirang. The most readily notable difference in milking practices at Gunjur and Keneba sites is the frequency and duration of evening milking during the dry season. Herds in Keneba are tethered closer to the homestead than in Gunjur and offer the herdsman the opportunity to milk more frequently and more completely during the late dry season when cows return to tethering grounds as late as 2200 hours. Some cows in Gunjur are only partially milked or not milked at all under those circumstances.
Herd Management
There were large differences among herds within villages in milk offtake. The largest differences among herds occurred in Gunjur village. Differences in choice of grazing areas, frequency of milking, period elapsing between calving and first milking and frequency of watering are some of the factors that are expected to influence milk yield and milk offtake under the village conditions. Milk offtake was lowest in the largest herds in all three villages and highest for the smallest herds. The reason may be that in the larger herds once a herdsman extracts a certain predetermined amount of milk, the rest of the lactating cows are only partially milked.
Lactation length and yield
A total of 172 cows in the sampling scheme at the twice milking situations have completed or terminated the lactation which was initiated when sampling started in 1985. Seventy-seven percent were terminated normally which resulted in the weaning of a calf, while 12% resulted from the death of the calf. The remaining 11% of cows terminated lactation because of sickness or death. The cows with normal termination in this study represent those cows with an average lactation, since an additional 80 cows were still being milked beyond the twelfth month. The inclusion of these cows raised the average lactation length to 375 (s.d. 90) days with lactation offtake of 437 (s.d. 196) kg. The lactation length and yield of 132 cows that completed the lactation by weaning a calf were 366 (s.d. 94) days and 391.0 kg, respectively. The highest milk offtake per cow was 778 kg over a lactation length of 481 days. Lactation length was not significantly influenced by any of the factors studied. Lactation milk offtake was significantly influenced by the sex of suckling calf and parity. Estimated least-squares means are presented in Table 2. About 50 kg more milk was extracted from cows of parity greater than four compared to cows of lower parities. Thus the results so far suggest that average lactation length of N'Dama cows was longer than 12 months for cows which completed a normal lactation and that the presence of the calf is crucial to continued milk offtake.
Table 2. Estimated least squares means for lactation length and lactation milk offtake per cow.
|
Variable |
No. |
Lactation length (days) |
Lactation milk offtake (kg) |
|
Overall mean |
132 |
346 |
378.5 |
|
Site | |||
|
Gunjur |
56 |
353 |
317.8 a |
|
Pirang |
18 |
319 |
390.8 ab |
|
Keneba |
58 |
367 |
427.0 b |
|
Season of calving | |||
|
Wet (Jul-Oct) |
62 |
349 |
391.2 |
|
Early dry (Nov-Dec) |
48 |
366 |
379.0 |
|
Late dry (Jan-dun) |
22 |
322 |
365.3 |
|
Cow age group | |||
|
Young adults |
47 |
343 |
355.4 |
|
Old adults |
77 |
349 |
401.6 |
|
Sex of calf | |||
|
Male |
62 |
359 |
405.7 a |
|
Female |
70 |
333 |
351.2 b |
|
Parity | |||
|
1 |
33 |
382 |
404.8 a |
|
2-4 |
70 |
346 |
404.4 a |
|
>4 |
29 |
309 |
326.4 b |
Estimated means for herds are omitted for briefness. Within variable groups, means followed by same letter are not significantly different at a 5% probability level.
Calving interval
A precise estimate of the average calving interval is not yet available as most of the cows are yet to calve for the second time. Of the 86 cows that calved in October/December 1985 to March 1986 at Gunjur and Keneba 52 had calved again by the end of September 1987, with an average calving interval of 18.5 months. Since these represent more or less "early carvers" an approximate calving interval of N'Dama cows under village conditions is about 21 months. This observation is supported by herd-structure data. Touchberry (1967), reported a mean calving interval of 15.3 months for N'Dama cattle kept under station conditions. Although the nutritional environments at station and village production systems may not be comparable, the difference of 5.2 months between the cited and the current study suggests that there is scope for improvement in the long calving intervals observed under village conditions.
Figure 7. Calf growth by village and by stage of lactation.
Calf growth in relation to milk offtake
Calf growth to twelve months of age, shown in Figure 7, was better in Gunjur and Pirang than in Keneba suggesting an inverse relationship between calf growth and milk offtake as the pattern of calf growth was the opposite of that observed for milk offtake (see Figure 6). Other evidence for this apparent inverse relationship was observed when calf growth and milk offtake in the first twelve months post-partum in herds in Gunjur were ranked. The relationship between calf growth and milk offtake was examined by the use of correlation analysis. The correlation coefficients for the twelve months were mostly positive and significant (P<0.01). The highest correlations were observed during the first, seventh, ninth and twelfth months post-partum. These periods represent milk yield peaks as reflected in offtake.
The pattern of the correlation coefficients may suggest that though the contracted herdsman does compete with the suckling calf his extraction habit is not irrational but rather based on a strategy aimed at keeping the calf alive while at the same time providing himself with reasonable quantities of milk. This strategy results in high offtake in periods when the cow is expected to produce higher amounts of milk.
Comparisons between once- and twice-a-day milking
Cumulative milk offtake from 41 cows in Jattaba, the growth of the calves of these cows and estimated milk yield over three month intervals were compared with the average of twice-a-day milking situations. Milk offtake during the four, three months were 55.8, 52.0, 53.9 and 67.9% of the average offtake from twice-a-day milking situations. Conversely calf growth rates were 121.8, 134.6, 106.0 and 160.0% of the average calf growth in a twice-a-day milking situation. If 1 kg of calf growth is assumed to be equivalent to 8 kg of milk (Montsma, 1962), the average milk yields by cows in the twice-a-day milking situation were 266.8, 218.1, 192.1 and 233.0 kg for the four periods, respectively. The results for milk offtake, calf growth and milk yield from calving to 12 months in lactation for cows in the two situations, presented in Table 3, suggest that if the conversion factor used in this study is close to the true value, then the extra milk not extracted does not translate to calf growth on a proportional basis. Perhaps other herd management factors such as frequency of watering, frequency in changing tethering site and selection of grazing sites for calves may be as important as the amount of milk left for the calf. The ratio of milk offtake to total milk yield was 0.48 in twice-a-day milking. The corresponding figure for once-a-day milking was 0.28.
Table 3. Comparison of production parameters between twice- and once-a-day milking situations.
|
Parameter |
Twice milking a day |
Once milking a day |
Difference |
|
12 mth milk offtake (MO) kg |
430.0 |
245.6 |
182.4 |
|
12 mth calf growth (CG) kg |
60.0 |
79.0 |
-19.0 |
|
12 mth milk yield kg |
910.0 |
877.0 |
33.0 |
|
MO/MY |
0.48 |
0.28 |
0.20 |
|
#Calf mortality to 365 days (%) |
8.0 |
13.0 |
5.0 |
|
Calving interval (days) |
? |
? |
? |
Milk yield = (CG x 8) + MO
F = 8.0
#Calves born June 1986-October 1986.
Calf mortality
Of the 29 cows that terminated or completed lactation in Jattaba, 20% did not wean of a calf because the calf died. In the twice-a-day milking situations the figure was 12%. Using information from all recorded herds in the four villages, average calf mortality from birth to 365 days for a group of calves born from June 1986 to October 1986 was 13.0% for the once-a-day milking situation and 8.0% for twice-a-day milking situations. This result may suggest that calf mortality may not be directly related to milk offtake or frequency of milking.
Productivity index
When the estimation of calving intervals is complete it will be possible to compare the productivity of cattle in these two situations. The results so far suggest that the overall productivity of N'Dama cattle under village conditions is enhanced by some amount of milk offtake for human use. The contribution of milk offtake to the overall productivity of N'Dama cattle under village conditions could be assessed more completely if comparable data existed on village herds where no milking is practiced.
The introduction of a milk-recording scheme in village production systems which comprise a wide range of ecological zones, herd management levels and ages of cows has enabled us, within a relatively short time, to obtain a fairly accurate picture of the production characteristics of N'Dama cattle. The results so far show that under the village production management systems an N'Dama cow with an average body weight of 220 kg is able to produce 390-420 kg of milk, which is 1.8-1.9 times the body weight. Within the same period the N'Dama cow raises a calf to 75 kg weight. The estimated price of the milk produced is equivalent to the sale price of a 3 year old bull weighing 200 kg.
This performance from N'Dama cattle in production systems with minimal inputs is remarkable. It is hoped that in the very near future more complete information on lactation length and calving interval will enable us to accurately calculate productivity indices for N'Dama cattle and thus fully quantify the contribution of milk to the overall productivity of N'Dama cattle.
Acknowledgements
The authors wish to express their gratitude to the Directors of the International Trypanotolerance Centre, The Gambia, for their continued support for this study. The authors are also grateful to Drs. D. Clifford and C. Hoste for their suggestions on this article.
Chandler, R.L. 1952. Comparative tolerance of West African N'Dama cattle to trypanosomiasis. Ann. Trop. Med. Parasitol. 46: 127-134.
Desowitz, R.S. 1959. Studies on immunity and host parasite relationships. I. The immunological response of resistant and susceptible breeds of cattle to trypanosomal challenge. Ann. Trop. Med. Parasitol. 53: 293-313.
Foy, H.A. 1911. Third report on experimental work on animal Trypanosomiasis. J. Trop. Med. Hygiene 20: 303-308.
Harvey, W.R. 1977. Users' Guide for Least-Squares and Maximum Likelihood Computer Program. Columbus: The Ohio State University.
ILCA. 1979. Trypanotolerant Livestock in West and Central Africa: Monograph 2, International Livestock Centre for Africa, Addis Ababa.
Keown, J.F., R.W. Everett, N.B. Empet and L.H. Wadell. 1986. Lactation curves. J. Dairy Sci. 69: 769-781.
Montsma, G. 1960. Observations of milk yield and calf growth and conversion rate, on three types of cattle in Ghana. Trop. Agri. 37: 293-302.
Montsma, G. 1962. Observations on milk yield and calf growth and conversion rate, on three types of cattle in Ghana - II. Effects of plane of nutrition. Trop. Agri. 39: 123-129.
Murray, M., W.I. Morrison and D.D. Whitelaw. 1982. Host susceptibility to African Trypanosomiasis: Trypanotolerance. Adv. in Parasitol 21: 1-68.
Riley, J.A. Consultant's Report to the Inter-national Trypanotolerance Centre, Banjul, The Gambia. (unpublished).
Sada, J. and F. Vohradsky. 1968. Milk yield and butter fat content of F1 Generation Jersey x Indigenous Breeds of Ghana. Beitrage zur Trop. and Subtrop. Landwirt and Tropenveterin. 62-69.
Touchberry, R.W. 1967. A study of the N'Dama cattle at Musaia Animal Husbandry Station in Sierra Leone. Bull. Agric. Exp. Sta. No. 724.
Wiggans, G.R. and M. Grossman. 1980. Computing lactation records from sample-day production. Dairy Herd Improvement Letter 56: 1-6.