J.E. Fleischer, A.R. Barnes, B. Awumbila,
K. Amaning-Kwarteng and C.K. Tieku
Department of Animal Science
University of Ghana
Legon, Accra, Ghana
Abstract
Introduction
Materials and methods
Results
Discussion
Conclusion
Acknowledgement
References
An experiment was carried out to find the grain and crop residue yields, the nutritive value of the crop residues, the harvest and potential utility indices of three varieties of maize.
The maize varieties used were "Ex-Volta", Poll.-16 and "Legon Composite 4". The maize seeds were sown after ploughing and harrowing and fertilised with a compound fertiliser (20%N 20% P2O5 and 20 K2O) and also sulphate of ammonia. All three varieties were harvested at 65, 95 and 125 days after planting. After harvesting, the grains were reserved. Both the grains and crop residue were dried and weighed. The crop residue was then analysed for crude protein content, cell wall constituents and in vitro dry-matter digestibility. The harvest index of the grain and the potential utility of the whole crop was then calculated.
Grain yield of the three varieties, Ex-Volta, Pol. 18 and Legon Composite 4 increased from 1.04, 0.56 and 0.03 t ha-1 at the initial harvest to 4.87, 5.67 and 4.07 t ha-1 at the final harvest. On the contrary there was a significant (P<0.01) decline in the crop residue yield of all three varieties with advancing growth. The crop residue: grain ratio ranged between 1.1 and 1.8:1 for the three varieties at different stages of growth.
The various botanical fractions showed a mixed trend of development. Whereas the leaves continuously declined with advancing growth period, other parts increased or decreased initially and later showed an opposite trend of development.
Crude protein content declined considerably with advancing age in all three varieties and all were below 8%. Cell wall constituent on the contrary increased with advancing age and only the difference in ADL between Ex-Volta and Composite 4 was significant.
In vitro dry-matter digestibility significantly (P<0.01) declined from 80% to 64% with advancing age. No varietal differences were observed. Harvest index of grain increased with advancing age. Ex-Volta and Pol. -16 had a significantly higher harvest index then Composite 4. Potential utility index was very high (78-82%) and remained constant throughout the growth period. No varietal differences were however observed.
The natural Grasslands constitute the main feed resources for ruminants in many countries. However, whereas Land area under grazing has remained constant over the years, communal grazing areas have been subjected to increasing Livestock population pressure and fluctuating rainfall (Qureshi, 1986). Thus fluctuating feed resources continues to hamper animal production. This means that alternative feed resources unsuitable for human consumption but which can be valuable for animal feeding purposes must be given more attention (Lenten and EL-Harith, 1985; Fleischer, 1986). One such feed resource is the maize crop residue.
Maize (Zea mays L) is one of the crops widely grown by most peasant farmers in the West African subregion. It is estimated that grain yields range between 0.2 and 2.7 mt ha-1 (FAO, 1983, 1986). Powell (1985) estimated that the straw: grain ratio of maize was 2:1. This means that twice as much crop residue as grain which could be a very important feed for the ruminants is produced.
The maize crop residue consists of various plant fractions which have different nutrient contents and digestibilities (Hacker and Minson, 1981; Fleischer et al, 1987). However, not much work has been carried out on crop residue variation between different maize varieties.
The objectives of this study therefore were to find the grain yield, crop residue yield, nutritive value of the crop residue, the harvest index of the crop and the potential utility index of whole crops from different maize varieties.
The experiment was carried out at the Department of Animal Science, University of Ghana at Legon. The area has a subhumid climate. The annual rainfall is 934.2 mm p.a. bimodally distributed. The major season begins in March/April and ends in July while the minor season is from September to November. Temperatures are fairly uniform with a maximum and minimum of 32.5 ± 1.7 and 27.7 ± 1.1°C respectively. Relative humidities are high during the rainy season, being 90-100%, but may drop to about 40% or below during the dry season. Potential evapotranspiration is about 1800 mm p.a.
The soil is part of the Nyibenya-Hacho complex which is light-textured clay and free-draining (Brammer, 1960; Hall and Jenik, 1979).
Planting material
Three varieties of maize were used. These were "Ex-Volta", "Pol.-16" and "Legon Composite 4". which mature at 65, 95 and 125 days, respectively, after planting. Germination tests performed prior to sowing indicated 95% germination for all three varieties.
Cultivation and harvesting
The experiment was laid out in a completely randomised design. After ploughing and harrowing the field was divided into plots each of 4.50 m x 3.50 m. Each plot was assigned to each variety. Seeds of the three varieties (obtained from the Crop Science Department, University of Ghana, Legon) were sown at the rate of three seeds per hill in rows. Planting distances were 0.75 m between rows and 0.25 m within rows. Two weeks after planting, the plants were thinned to one plant per hill, and a compound fertilizer (20% N. 20% N P2O5 and 20% K2O) applied at the rate of 100 kg ha-1. Six weeks after planting, the field was top-dressed with sulphate of ammonia (21% N) at the rate of 50 kg ha-1. The field was hand-irrigated at regular intervals, and weed clearing was done manually using the hoe and cutlass.
Harvesting of plants was done at 65, 95 and 125 days post-planting. At harvest, the plants were separated into grain and crop residues. Some of the crop residues were further separated into leaves, leaf sheaths, stems, husk, cobs and tassel. These plant fractions were then dried in the oven at 70°C for more than 48 hours and weighed. After weighing samples were bulked and ground with a Wiley Mill to pass through 1 mm sieve and stored until analyses.
The ground crop residues were analysed for crude protein by the Kjeldhal method, for cell wall constituents by the method of Goering and Van Soest (1970) and in vitro dry-matter digestibility (IVDMD) by the method of Minson and McLeod (1972).
The harvest and potential utility indices of the crop were calculated as follows:

Yield
Grain and crop residue yield of the three maize varieties at different harvests are shown in Figure 1. Total dry-matter yield increased with increasing growth period (P=0.01) but did not significantly differ (P> 0.05) among varieties.
Grain yield increased significantly (P< 0.01) with increasing growth period. At the initial harvest, the grain yield of the three varieties Ex-Volta, Poll-16 and Legon Composite 4 was 1.04, 0.56 and 0.03 and increased to 4.87, 5.67 and 4.07 t ha respectively at the final harvest. Except for the difference between Legon Composite 4 and the others which was statistically significant (P<0.05), none of the varietal differences in grain yield was statistically significant (P< 0.05).
Crop residue yield significantly decreased (P< 0.01) with increasing growth period. The magnitude of the decreases was 21.2%, 11.8% and 14.7% for Ex-Volta, Poll-16 and Legon Composite 4 respectively. Significant differences (P< 0.01) were also observed among varieties. Legon Composite 4 gave the highest yield of crop residue. This was followed by Poll-16. At the second and third harvests when the maize fairly matured, the ratio of crop residue to grain was 1.3 and 1.1, 1.6 and 1.1, 1.8 and 1.7 to 1 for Ex-Volta, Poll-16 and Composite 4, respectively.
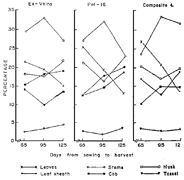
Changes in The percentage composition of the various morphological fractions of the crop residues are shown in Figure 2. The trend of developmental changes was mixed for the various botanical fractions. The proportion of leaves continuously declined in all varieties with advancing growth period. On the contrary, the other fractions either increased initially and later declined or declined initially and later increased.
Proportional yields of the various botanical fractions of the residues are shown in Figure 3. Except for a few such as tassel, cobs and husks, the amounts of the various plant fractions decreased (P>0.05) with advancing growth period. Slight varietal differences were also observed but these were not statistically significant (P> 0.05).
Chemical analyses
Chemical composition of the crop residues are shown in Table 1. Crude protein content declined considerably (P<0.01) with increasing growth period. On the contrary, only slight and non-significant (P>0.05) varietal differences were observed.
The cell wall constituents i.e. NDF, ADF, cellulose and ADL contents significantly increased (P< 0.01) with increasing growth period. Ex-Volta had the highest amount of cell wall constituents at the initial harvest but a mixed trend was observed at the later harvests. These varietal differences in neutral-detergent fibre, acid-detergent fibre and cellulose were however, not statistically significant (P>0.05). Ex-Volta had a significantly higher ADL content (P<0.05) than Composite 4. The differences between the other two were however, not significant.
In vitro dry-matter digestibility (IVDMD) of the crop residues is shown in Table 2. IVDMD decreased significantly (P< 0.01) with increasing growth period. Ex-Volta had similar IVDMD as Composite 4 and these were about 1-4% higher than that of Poll-16 at the second or third harvest. These differences were however, not statistically significant (P> 0.05).
Figure 2. Percentage or botanical fractions of three varieties or maize at different growth periods
Figure 3: Botanical fractions of the crop residue of three varieties of maize at various stages of harvest.
Table 1. Chemical composition of three varieties of maize crop residues at different harvests (in % dry-matter basis).
|
Chemical constituent |
Days from sowing to harvest |
Varieties Ex-Volta |
Poll-16 |
Legon Composite 4 |
|
Crude protein |
65 |
5.66 |
7.00 |
7.61 |
|
95 |
2.75 |
3.47 |
3.09 |
|
|
125 |
2.68 |
2.74 |
2.60 |
|
|
Neutral-detergent fibre |
65 |
63.78 |
59.07 |
59.00 |
|
95 |
79.92 |
79.32 |
77.26 |
|
|
125 |
49.58 |
47.12 |
49.49 |
|
|
Acid-detergent fibre |
65 |
33.73 |
31.82 |
31.62 |
|
95 |
45.63 |
45.61 |
42.85 |
|
|
125 |
49.58 |
47.12 |
49.49 |
|
|
Cellulose |
65 |
27.28 |
25.86 |
26.60 |
|
95 |
36.63 |
36.58 |
34.64 |
|
|
125 |
38.48 |
37.65 |
40.02 |
|
|
Acid-detergent lignin |
65 |
6.45 |
5.96 |
5.02 |
|
95 |
9.00 |
9.03 |
8.21 |
|
|
125 |
11.10 |
9.47 |
9.41 |
Table 2. In vitro dry-matter digestibility of three varieties of maize crop residues at different harvests (in % dry-matter basis).
|
Days from sowing to harvest |
Varieties |
||
|
Ex-Volta |
Poll-16 |
Composite 4 |
|
|
65 |
80.1 |
80.0 |
80.2 |
|
95 |
67.9 |
63.6 |
67.0 |
|
125 |
64.5 |
63.5 |
65.6 |
Harvest index of grains (HI) and potential utility index (UI) of the whole crop are shown in Table 3. Harvest indices significantly increased (P<0.01) with increasing growth period particularly between the first and harvest. There were no significant differences between the harvest indices of Ex-Volta and Poll -16 but these two were significantly higher (P<0.05) than those of Composite 4.
Table 3. Harvest index of grain (Hl(G)) and potential utility index (UI) of whole crop of three varieties of maize.
|
Days from growing to harvest |
Harvest index (%) |
Potential utility index (%) |
||||
|
Ex-Volta |
Poll-16 |
Composite 4 |
Ex-Volta |
Poll-16 |
Composite 4 |
|
|
65 |
8.2 |
13.1 |
0.4 |
81.7 |
82.6 |
80.3 |
|
95 |
43.3 |
38.4 |
35.7 |
81.8 |
77.6 |
78.8 |
|
125 |
48.7 |
48.3 |
37.2 |
81.7 |
81.1 |
78.4 |
No significant differences (P> 0.05) were observed in the potential utility index of the maize crop residue between varieties and advancing maturity. The potential utility however, remained fairly constant and far higher than the harvest indices.
The increase in dry-matter yields with increasing growth period is consistent with other published results (Raymond, 1969; Lutz et al, 1971). The particularly low grain yield of Composite 4 at the first harvest could be attributed to the fact that it was harvested too early relative to its maturity stage (125 days). Ex-Volta had relatively low grain yield considering that its postulated maturity period was 65 days post-planting. The results obtained suggested that the best time of harvesting this variety of maize might be at least 95 days and not 65 days post-planting.
The final grain yields of 4.87, 5.87 and 4.07 t ha-1 for Ex-Volta, Pol. -16 and Legon Composite 4 varieties, respectively, are higher than the range of reported grain yields of between 0.20 and 2.7 t ha-1 (FAO, 1983, 1986). They are however, still lower than the potential maximum yield of 6.25 t ha-1 indicated by Dadson (1975). These differences could be due to a number of factors including genotype, environment, cultural and economic constraints which may determine the adoption of a particular cropping system and also for minimising the influence of the limiting factors (Loomis and Gerakis, 1975).
With advancing growth there was a decrease in the yield of crop residue. While this may partly have been due to old leaves falling off and some losses of plant tops (Westselaar and Farquhaar, 1980), it may also partly be due to a change in the physiological state of the plant resulting in a shift in the source-sink relations in the distribution of photosynthates (Wareing and Patrick, 1975).
The observation that no significant differences were found among varieties means that the grain yields were the same and therefore, at least within a similar ecological zone, any of the varieties may be used. This observation was however, contrary to those of Giesbrecht (1969) and Lutz et al (1971) who noted that late varieties of maize do better than early varieties when water and nutrients are not limiting.
The changes in the botanical fractions of the crop residue were similar to that observed with Green Panic and Rhodes grass (Fleischer, 1986) which are also in the grass family. The slight varietal differences observed were however, due to the different time lag in the occurrence of physiological changes in the different varieties.
Changes in the crude protein content followed trends similar to published results (Gonske and Keeney, 1969; Fleischer, 1986, 1987). These were mainly due to the fact that with advancing maturity plant fractions with structural roles increase while at the same time soluble components of the protein are transferred to more actively growing points. Unfortunately, the crude protein contents of the crop residues at both the 95th and 125th day harvests were lower than the threshold value of 8.0% indicated by Milford and Minson (1966). Consequently, it can be expected that intake and utilization of the crop residues would be low unless supplemented with a nitrogen-rich source.
Changes in the cell wall constituents also followed a trend similar to other published results (Fleischer, 1986, 1987). The low values of cell wall constituents at day 65 was because the plants had just moved from the vegetative to the reproductive phase. Also beyond that period the bulk of the crop residues was made up of stems, leaf sheaths, cobs and husks all of which either offer structural support and/or protection either to the plant or the grain (Esau, 1965). Thus, they contain mainly structural carbohydrates which give them strength to fulfil their roles.
IVDMD declined with advancing growth period. This is consistent with many published reports (Raymond, 1969) and it is because with increasing maturity the crop residue is largely composed of plant fractions with structural roles and therefore lower digestibility (Hacker and Minson, 1981; Fleischer, 1987).
Even though Ex-Volta was about 1.6% units higher in ADL at the third harvest compared to either Poll-16 or Composite 4 it had slightly more soluble cell wall constituent than the others. A similar observation has been made by others (McLeod and Minson, 1974; Fleischer, 1987). The non-significant difference in digestibility among varieties is contrary to the observations made by Reed et al, (1986) who, working with twenty-four varieties of sorghum, observed that the high grain-yielding varieties can also give a reasonable amount of crop residues with high nutritive value. In the present experiment, even though Poll-16 gave the highest grain yield, Composite 4 gave the highest crop residue yield with the highest digestibility.
The present work has shown that grain yield of the three varieties of maize increased with increasing growth period. Consequently, harvest index also increased with advancing growth period. On the contrary, significant decline with advancing growth period as well as varietal differences were observed in the crop residue yield. Nevertheless, the ratio of crop residue to grain was 1.1 - 1.8:1.
Except for a few morphological fractions which differed in their contribution to the total crop residues, small but non-significant varietal differences were observed.
Crude protein content decreased with advancing growth period but the varietal differences were not significant. Nevertheless, the crude protein contents were below the critical levels necessary to influence intake. Again, all the cell wall constituents increased with advancing growth period. However, except for the ADL content of Ex-Volta which was significantly higher (P< 0.05) than that of Composite 4, no significant varietal differences were observed.
In vitro dry-matter digestibility declined with advancing growth period but there were no significant varietal differences.
Potential utility indices were the same for the three varieties of maize and did not vary with advancing growth period. The values were also higher than those of the harvest indices suggesting that farmers could increase their income if the crop residues was also used as animal feed.
The authors are grateful to Mr. Abubakari Yakubu for helping with the chemical analyses and in vitro dry-matter determination. They are also grateful to the University of Ghana Research and Conferences Committee for making funds available for the work.
Arkel, Van H. 1978. The forage and grain yield of sorghum and maize as affected by soil moisture conservation, lodging and harvesting losses. Neth. J. Agric. Sci. 26: 181-190.
Brammer, H. 1960. A brief account of agricultural conditions and factors affecting agricultural development on the South-Eastern Coastal Plains-Cyclost Report. Ghana Ministry of Food and Agriculture, Kumasi.
Capper, B.S.; Thompson, E.; Mekui, M. and Anderson, W. 1984. Cereal straw evaluation. ICARDA Ann. Rep. pp. 295-303.
Dadson, R.B. 1975. Crop production: The desire to achieve national self-sufficiency. Universitat 4: 162-174.
Esau, K. 1965. Plant anatomy. John Wiley and Sons, London, N.Y. 767 pp.
Fleischer, J.E. 1986. Harnessing Ghana's renewal energy resources for increased protein production. In: Proc. Ghana National Conference on Population and National Reconstruction, Legon, 7-10 April 1986.
Fleischer, J.E. 1987. A study of the growth and nutritive value of Green panicum (Panicum maximum var trichoglume cv Petrie) and Rhodes grass (Chloris gayana Kunth). OAU/STRC Bull. Anim. Hlth. and Prod. 35(3): 229-237.
Food and Agriculture Organization. 1983. Integrating crops and livestock in West Africa. FAO Animal Production Paper No. 41, FAO, Rome. 112 pp.
Food and Agriculture Organization. 1986. Production Year Book Vol. 40. FAO, Rome.
Giesbrecht, J. 1969. Effect of population and row spacing on the performance of four corn (Zea mays L) hybrids. Agron. J. 61: 439-441.
Gonske, R.G. and Keeney, D.R. 1969. Effect of fertilization nitrogen variety and maturity on dry-matter yield of corn grown for silage. Agron. J. 61: 72-75.
Goering, H.K. and Van Soest, P.J. 1970. Forage fibre analysis (apparatus, reagents, procedures and some applications). Agriculture Handbook No. 379. US Dept. of Agriculture, Washington, D.C. 20 pp.
Hacker, J.B. and Minson, D.J. 1981. The digestibility of plant parts. CAB Herb. Abstr. 51 (9): 459-482.
Jenik, Jan and Nall, J.B. 1976. Plant communities of the Accra plains, Ghana. Folia Geobot. Phytotax., Praha 11: 163-212.
Loomis, R.S. and Gerakis, P.A. 1975. Productivity in agricultural ecosystems. In: J.P. Cooper (ed.), Photosynthesis and productivity in different environments. IBP-3, Camb. Univ. Press, Cambridge. pp. 145-172.
Lutz, J.A.; Camper, H.M. and Jones, G.D. 1971. Row spacing and population effects on corn yields. Agron. J. 63: 12-14.
McLeod, M.N. and Minson, D.J. 1974. Differences in carbohydrate fractions between Lolium perenne and two tropical grasses of similar dry-matter digestibility. J. Agric. Sci. (Camb.) 82: 449-454.
Menken, U. ter and El-Harith, E.A. 1985. Feeding farm animals on unused resources in the tropics and sub-tropics. Anim. Res. and Dev. 22: 116-127.
Minson, D.J. and McLeod, M.N. 1972. The in vitro technique: Its modifications for estimating digestibility of large numbers of tropical pasture samples. C.S.I.R.O., Div. of Trop. Past. Tech. Pap. No. 8. CSIRO, Melbourne, Australia. 15 pp.
Perry, L.J. 1974. Crop residues grazed by cattle. Farm Ranch and Home Quarterly 21(3):21-22. Inst. Agric. and Resources, Univ. Nebraska, Lincoln.
Powell, M. 1985. Contribution of fractionated crop residues grazed by cattle. Farm Ranch and Home Quarterly 21(3):21-22. Institute of Agriculture and National Resources, University of Nebraska, Lincoln.
Qureshi, A.W. 1986. Recent trends in livestock development in Africa and the Middle East. In: Nuclear and related techniques for animals in harsh environment. IAEA Proceedings (IAEA-SR-115/1). pp. 17-37.
Raymond, W.F. 1969. Nutritive value of forage crops. Adv. in Agron. 21: 1-108.
Reed, J.D.; Tedla, A. and Jutzi, S. 1986. Large differences in digestibility of crop residues from sorghum varieties. ILCA Newsletter 5(1): 56. ILCA, Addis Ababa, Ethiopia.
Wareing, P. and Patrick, J. 1975. Source-sink relationship and partition of assimilates in the plant. In: J.P. Cooper (ed.), Photosynthesis and productivity in different environments. IBP-3, Camb. Univ. Press, Cambridge. pp. 481-499.
Weber, D.W.; Vetter, R.L. and Gray, U. 1970. Grazing corn harvest refuse by beef cows. J. Anim. Sci. 31: 1030 Abst. No. 80.
Westselaar, R. and Farquhaar, A.D. 1980. Nitrogen losses from tops of plants. Adv. in Agron. 33: 263-302.